Abstract
The combined use of di-2-pyridyl ketone, (py)2CO, and acetates (MeCO2−) in nickel(II) chemistry in H2O-MeCN under basic conditions (Et3N) afforded the coordination cluster [Ni11(OH)6(O2CMe)12{(py)2C(OH)(O)}4(H2O)2] (1) in 80% yield, where (py)2C(OH)(O)− is the monoanion of the gem-diol form of (py)2CO. The complex contains a novel core topology. The core of 1 comprises a central non-linear {Ni3(μ2-OH)4}2+ subunit which is connected to two cubane {Ni4(OH)(μ3-OR)2(μ3-OR′)}4+ subunits [RO− = (py)2C(OH)(O)− and R′O− = MeCO2−] via the OH− groups of the former which become μ3. The linkage of the Ni3 subunit to each Ni4 subunit is completed by two η1:η1:μ2 and one η1:η3:μ4 MeCO2− groups. Peripheral ligation is provided by two terminal monodentate MeCO2− and two terminal aqua ligands. The (py)2C(OH)(O)− ligands adopt the η1:η1:η3:μ3 coordination mode. From the twelve MeCO2− ligands, two are η1, two η1:η3:μ4 and eight adopt the syn, syn η1:η1:μ2 coordination mode; four of the latter bridge NiII centers at opposite faces of the cubane subunits. Complex 1 is the largest nickel(II)/(py)2CO-based ligand coordination cluster discovered to date and has an extremely rare nuclearity (Ni11) in the cluster chemistry of nickel(II). Variable-temperature, solid state dc susceptibility, and variable-field magnetization studies at low temperatures were carried out on complex 1. The study of the data reveals an S = 3 ground state, which has been well rationalized in terms of known magnetostructural correlations and the structural features of 1. An attempt has also been made to interpret the magnetic properties of the undecanuclear cluster in a quantitative manner using four exchange interaction parameters and the obtained J values are discussed. The role of H2O in the solvent medium that led to 1, and the high nickel(II) and acetate to di-2-pyridyl ketone reaction ratio employed for its preparation, on the nuclearity and identity of the cluster are critically analyzed.
1. Introduction
The chemistry of polynuclear complexes (coordination clusters) of 3d metals at intermediate oxidation states continues to attract intense attention from many research groups around the world. There are several reasons for this, but the three most important ones are the aesthetically pleasing structures that many such complexes possess [1,2], the search for models of metal-containing sites in biology [3,4], and various aspects of Molecular Magnetism—including high-spin molecules [5], Single-Molecule Magnets (SMMs) [6,7], and Molecular Magnetic Refrigerants [8,9].
Nickel(II) coordination clusters have been receiving increasing attention in the field of Molecular Magnetism. This 3d8 metal ion has shown promise in the synthesis of SMMs [7] and spin-phonon traps [10], with the former taking advantage of its significant single-ion anisotropy and the latter of its paramagnetic nature when the metal ion is confined in a highly symmetric cluster. These characteristics justify the interest of our groups in the chemistry of nickel(II) coordination clusters [11,12,13,14,15].
A synthetic challenge involves discovering simple and efficient approaches to the incorporation of many metal ions in a small, single molecular entity, simultaneously building useful magnetic properties into the resulting system. In the development of new synthetic routes to coordination clusters, the choice of primary organic ligands is always a key issue. A popular efficient ligand for the preparation of coordination clusters is di-2-pyridyl ketone, (py)2CO (Scheme 1). Water and alcohols (ROH; R ≠ H) have been shown to add to the reactive carbonyl group upon coordination of the carbonyl oxygen and/or the 2-pyridyl nitrogen atoms, forming the ligands (py)2C(OH)2 [the gem-diol form of (py)2CO] and (py)2C(OR)(OH) [the hemiketal form of (py)2CO], respectively (Scheme 1). The exciting structural chemistry of the (py)2CO-based clusters [16,17] stems from the ability of the deprotonated ligands (py)2C(O)22−, (py)2C(OH)(O)− and (py)2C(OR)(O)− to exhibit more than 15 distinct bridging coordination modes (with the simultaneous formation of one or two five-membered chelating rings) ranging from μ2 to μ5.
Scheme 1.
Di-2-pyridyl ketone, (py)2CO, and its neutral gem-diol, (py)2C(OH)2, and hemiketal, (py)2C(OR)(OH), forms. Note that (py)2C(OH)2, (py)2C(OR)(OH) and their anionic derivatives (not shown) do not exist as free species, but exist only as ligands in their respective metal complexes. Mn+ is a metal ion (n = 2, 3).
A modern trend for the synthesis of coordination clusters is the simultaneous employment of two bridging ligands in the reaction systems (a combination of ligands or ligand “blends”). The loss of a degree of synthetic control is more than compensated for by the vast diversity of structural types expected (and indeed observed) using a combination of ligands [18]. Often, the second ligand is a simple carboxylate ion, RCO2−, which is famous for exhibiting a huge variety of coordination modes.
Restricting further discussion to NiII/(py)2CO/MeCO2− chemistry, a variety of nickel(II) coordination clusters have been prepared from this general reaction system that contain both acetate groups and derivatives of (py)2CO. These clusters are [Ni4(O2CMe)4{(py)2C(OH)(O)}4] [19,20], [Ni4(O2CMe)3{(py)2C(OH)(O)}4]X (X = ClO4, MeCO2) [20,21], [Ni4(O2CMe)2{(py)2C(OH)(O)}4(H2O)2](ClO4)2 [20,22] and [Ni9X2(O2CMe)8{(py)2C(O)2}4] (X = OH, N3) [23]. The mononuclear complexes [Ni{(py)2C(OH)2}2](O2CMe)2 [24] and [Ni (O2CMe){(py)2CO}{(py)2C(OH)2}](ClO4) [20] have also been structurally characterized. All the above mentioned Ni4 and Ni9 complexes were prepared in commercially available organic solvents that contain little H2O (1%–3%). We wondered whether nickel(II) acetate clusters containing derivatives of (py)2CO could be isolated from solvent mixtures comprising large amounts of H2O. We also made another observation studying the literature: the MeCO2−:(py)2C(OH)(O)−, (py)2C(O)22− ratio in the clusters ranges from 1:2 to 2:1. We wondered if clusters containing higher such ratios could be prepared; we considered it possible that complexes with higher than 2:1 MeCO2−:(py)2C(OH)(O)−, (py)2C(O)22− ratios would also have high nuclearities. This paper gives positive answers to these two questions by describing the preparation, structural characterization, and magnetic study of a novel Ni11 cluster prepared in a H2O-rich organic solvent and having a 3:1 MeCO2−:(py)2C(OH)(O)− stoichiometry.
2. Experimental Section
2.1. Materials and Physical Measurements
All manipulations were performed under aerobic conditions using materials and solvents (Alfa Aesar, Aldrich, Karlsruhe, Germany and Tanfrichen, Germany, respectively) as received. Elemental analyses (C, H, N) were performed by the University of Patras microanalytical service. FT-IR spectra (4000–400 cm−1) were recorded using a Perkin-Elmer (Waltham, Ma, USA) 16PC FT-IR spectrometer with samples prepared as KBr pellets. Variable-temperature magnetic susceptibility measurements were performed using a DSM5 Quantum Design (San Diego, CA, USA) SQUID magnetometer operating at dc field of 0.3 T in the 300–30 K range and 0.02 T in the 30–2.0 K range to avoid saturation effects. Diamagnetic corrections were applied to the observed paramagnetic susceptibilities using Pascal’s constants.
2.2. Synthesis of [Ni11(OH)6(O2CMe)12{(py)2C(OH)(O)}4(H2O)2]∙1.2MeCN∙3.2H2O (1∙1.2MeCN∙3.2H2O)
A solution of (py)2CO (0.092 g, 0.50 mmol) in MeCN (5 mL) was slowly added to a solution of Ni(O2CMe)2∙4H2O (0.0248 g, 1.00 mmol) in H2O (10 mL), and to the resulting green solution Et3N (0.139 mL, 1.00 mmol) was added. The reaction mixture was stirred for a further 1 h, filtered to remove a small quantity of green solid and the filtrate was left undisturbed in a closed flask at room temperature. X-ray quality, green needles of the product were formed in a period of 4 d. The crystals were collected by filtration, washed with cold MeCN (2 × 1 mL) and Et2O, and dried in air. Typical yields were in the range 75%–80% (based on the NiII available). The complex was satisfactorily analyzed as lattice MeCN-free, i.e., as 1∙3.2H2O Anal. calc. for C68H88.4N8Ni11O43.2 (found values in parentheses): C 34.68 (34.81), H 3.79 (3.68), N 4.76 (4.71)%.
2.3. Single-Crystal X-ray Crystallography
A suitable crystal of 1∙1.2MeCN∙3.2H2O (0.05 × 0.08 × 0.30 mm) was mounted in air and covered with epoxy glue. Diffraction data were collected on a Rigaku (Tokyo, Japan) R-AXIS SPIDER Image Plate diffractrometer at room temperature using graphite-monochromated Cu Kα radiation. Data collection (ω-scans) and processing (cell refinement, data reduction, and Empirical absorption correction) were performed using the CrystalClear program package [25]. Important crystallographic data are listed in Table 1. The structures were solved by direct methods using SHELXS-97 [26] and refined by full-matrix least-squares techniques on F2 with SHELXL-2014/6 [27]. Further experimental crystallographic details for 1∙1.2MeCN∙3.2H2O: 2θmax = 130.0°, 693 parameters refined, (Δ/σ)max = 0.020, (Δρ)max/(Δρ)min = 0.78/−0.57 e Å−3. All H atoms of the cluster molecule, except those of the acetate methyl groups, were located by difference maps and were refined isotropically. The H atoms of the methyl groups, were refined at calculated positions with Uiso(H) = 1.5Ueq (carrier atom). All non-H atoms were refined anisotropically. The non-H atoms of the MeCN and H2O solvent molecules were refined isotropically with partial occupancies. The H atoms of the solvent molecules were not located and were not included in the refinement. The X-ray crystallographic data for the complex in a CIF format have been deposited with CCDC (reference number CCDC 1481082). They can be obtained free of charge at http://www.ccdc.cam.ac.uk/conts/retrieving.html, or from the Cambridge Crystallographic Data Centre, 12 Union Road, Cambridge CB2 1EZ, UK; Fax: +44-1223-336-033; or e-mail: deposit@ccdc.cam.ac.uk.
Table 1.
Crystallographic data for cluster 1∙1.2∙MeCN∙3.2H2O.
3. Results and Discussion
3.1. Synthetic Comments and IR Discussion in Brief
A variety of Ni(O2CMe)2∙4H2O/(py)2CO reaction systems in solvent mixtures comprising an organic solvent and H2O were tested. Several parameters were systematically explored, such as the reaction ratio, the absence/presence of an external base, the nature of the organic solvent, the absence/presence of a counterion (Bun4N+, ClO4−, PF6−, …), the temperature, the pressure (solvothermal conditions) and the crystallization method, before arriving at the optimized procedure described in the Experimental Section. The 2:1:2 Ni(O2CMe)2∙4H2O/(py)2CO/Et3N reaction mixture in MeCN-H2O (1:2 v/v) gave a green solution from which were subsequently isolated green crystals of [Ni11(OH)6(O2CMe)12{(py)2C(OH)(O)}4(H2O)2]∙1.2MeCN∙3.2H2O (1∙1.2MeCN∙3.2H2O) in a high yield (~80%). Assuming that 1 is the only product from this reaction system, its formation can be summarized by Equation (1):
Increasing the NiII:(py)2CO reaction ratio in MeCN-H2O from 2:1 to 3:1 gives again the cluster 1 at comparable yields. It should be mentioned at this point that the absence of Et3N from the reaction mixture (in the same solvent system) does not lead to 1, but—instead—to a green non-crystalline powder which could not be characterized. We could not isolate nickel(II) acetate clusters containing the doubly deprotonated derivative of the gem-diol form of (py)2CO, i.e., NiII/MeCO2−/(py)2C(O)22− complexes, in H2O-containing organic solvents, even performing hundreds of reactions at various concentrations of external bases and adding bulky cations in the reaction mixtures.
In the IR spectrum of 1, the medium-to-strong intensity broad band covering the whole 3550–3150 cm−1 region and exhibiting several sub-maxima is assigned to the ν(OH) vibrations of the coordinated hydroxide (OH−), (py)2C(OH)(O)− and aqua groups, as well as to this vibration from the lattice H2O molecules. The spectrum does not exhibit a band in the region of the carbonyl stretching vibration [ν(CO)] as expected from the absence of carbonyl-containig (py)2CO ligands in the complex, with the nearest band at ~1595 cm−1 assigned to a pyridyl stretching vibration—this band also has a νas(CO2) character—raised from 1582 cm−1 upon coordination; this spectroscopic feature has been observed earlier [28] upon complex formation involving hydration of (py)2CO. Several bands appear in the 1600–1380 region; these are due to contributions from the stretching vibrations of the pyridyl ring, the νas(CO2) and νs(CO2) modes of the MeCO2− ligands (which are of three different types, vide infra), and the δ(CH3) vibrations. An overlap is possible, and this renders exact assignments and studies of the coordination shifts rather impossible.
3.2. Description of Structure
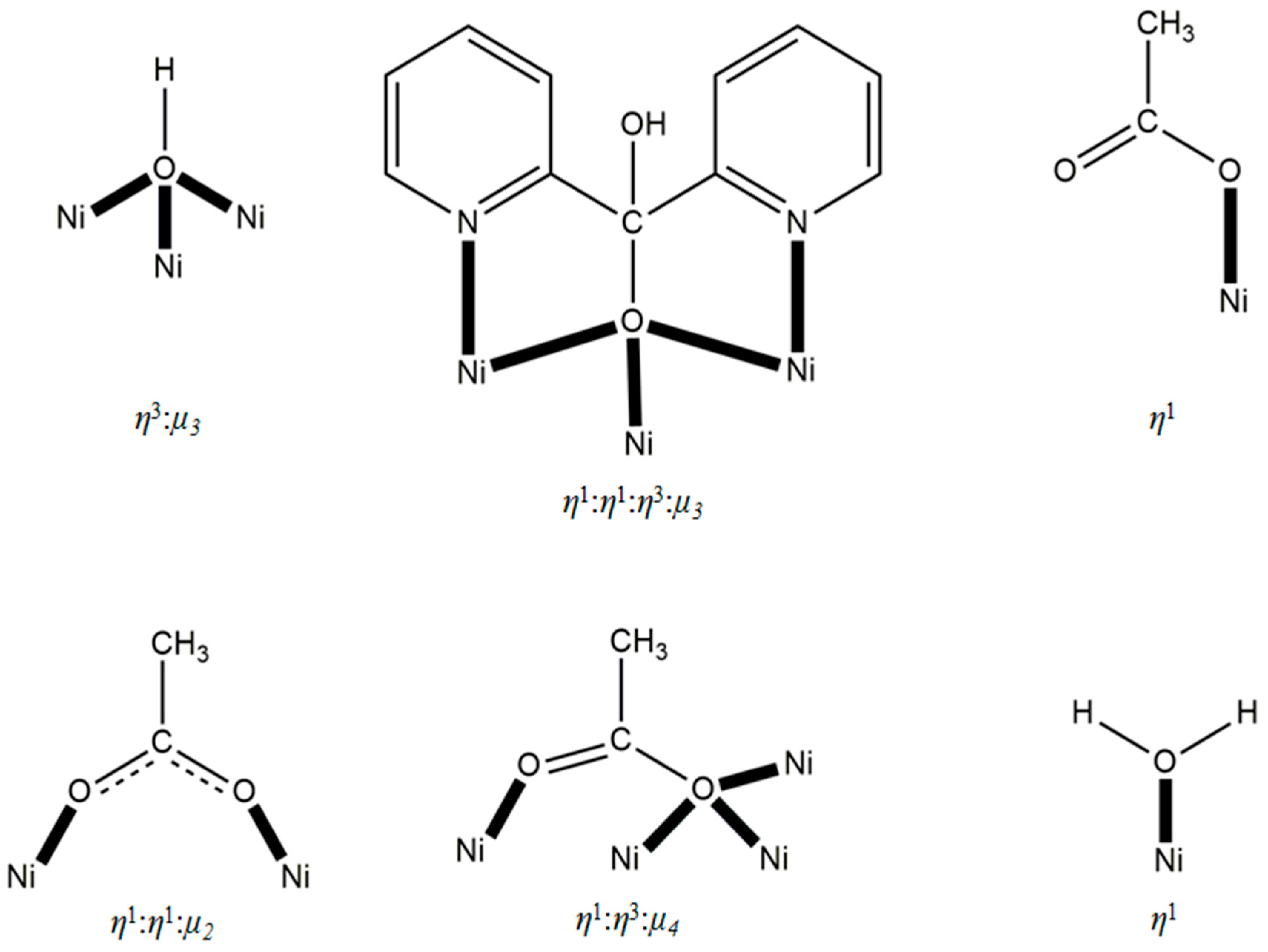
The molecular structure of 1∙1.2MeCN∙3.2H2O is shown in Figure 1. The coordination modes of all the ligands present in the cluster are shown in Figure 2; other structural plots of the compound are presented in Figure 3, Figure 4, Figure 5 and Figure 6.
Figure 1.
Partially labelled plot of the molecule [Ni11(OH)6(O2CMe)12{(py)2C(OH)(O)}4(H2O)2] that is present in the structure of 1∙1.2MeCN∙3.2H2O. The thick dashed yellow lines indicate the intramolecular H bonds. Symmetry operation used to generate equivalent atoms: (′) −x + ½, y, −z + 2.
Figure 2.
The coordination modes of all the ligands that are present in the structure of 1∙1.2MeCN∙3.2H2O and the η/μ notation that describes these modes.
Figure 3.
The {Ni11(μ3-OH)6(μ3-OR)4(μ3-OR′)2}10+ core of 1∙1.2MeCN∙3.2H2O, where RO− = (py)2C(OH)(O)− and R′O− = MeCO2−. Atoms O11, O12, O13, O11′, O12′, O13′ are hydroxido oxygen atoms, while O72, O72′ are the triply-bridging oxygen atoms of the two symmetry-related η1:η3:μ4 MeCO2− groups; atoms O1, O21, O1′, O21′ are the triply-bridging oxygen atoms of the η1:η1:η3:μ3 (py)2C(OH)(O)− ligands.
Figure 4.
Layers formed by cluster molecules of 1 parallel to the (10−1) plane. The thick dashed orange lines indicate the intermolecular C30–H30∙∙∙O42 H bond (and its symmetry equivalent); see Table 3 for metric parameters. Atom C30 belongs to a (py)2C(OH)(O)− ligand and O42 is a coordinated acetato oxygen.
Figure 5.
Chains formed by cluster molecules of 1 along the c axis. The thick dashed turquoise lines indicate the intermolecular C8–H8∙∙∙O1W H bond (and its symmetry equivalent); see Table 3 for metric parameters. Atom C8 belongs to a (py)2C(OH)(O)− ligand and O1W is the oxygen atom of the coordinated H2O molecule.
Figure 6.
A partial plot of the 3D architecture of 1∙1.2MeCN∙3.2H2O along the c axis showing the channels formed; the dots in the channels indicate the positions of solvent molecules.
Selected interatomic distances and bond angles, and details of the H-bonding interactions in the complex are shown in Table 2 and Table 3, respectively.
Table 2.
Selected interatomic distances (Å) and bond angles (°) for cluster [Ni11(OH)6(O2CMe)12{(py)2C(OH)(O)}4(H2O)2]∙1.2MeCN∙3.2H2O (1∙1.2MeCN∙3.2H2O).
Table 3.
Intra- and intermolecular H bonds in the crystal structure of cluster 1∙1.2MeCN∙3.2H2O a, b, c.
Complex 1∙1.2MeCN∙3.2H2O crystallizes in the monoclinic space group I2/a. Its structure consists of undecanuclear cluster [Ni11(OH)6(O2CMe)12{(py)2C(OH)(O)}4(H2O)2], and solvate MeCN and H2O molecules; the latter two will not be further discussed. The cluster molecule possesses a crystallographic two-fold symmetry axis passing through Ni5; thus, there are six crystallographically independent NiII atoms. The cluster molecule consists of 11 NiII atoms held together by six μ3-OH− ions (O11, O12, O13, O11′, O12′, O13′), four η1:η1:η3:μ3 (py)2C(OH)(O)− ligands (the triply-bridging oxygen atoms are O1, O21 and their symmetry equivalent), and two η1:η3:μ4 (their oxygen atoms are O71/O72 and O71′/O72′) and eight syn, syn η1:η1:μ2 (their oxygen atoms are O41/O42, O51/O52, O61/O62′, O81/O82 and symmetry equivalent) MeCO2− groups; where multiple n values are given, they are indicating the hapticity of each donor atom rather than the whole (py)2C(OH)(O)− or MeCO2− group, that is, the number of NiII atoms to which a donor atom is attached. Peripheral ligation is provided by two terminal monodentate MeCO2− groups (their ligating atoms are O91, O91′) and two terminal aqua ligands (O1W, O1W′) on Ni6 and Ni6′. The core (Figure 3) can be described as a central, non-linear {Ni3(μ2-OH)4}2+ subunit linked to two {Ni4(μ3-OH)(μ3-OR)2(μ3-OR′)}4+ distorted cubane subunits [RO− = (py)2C(OH)(O)− and R′O− =MeCO2−] via two OH− groups of the former to each of the latter; thus, the four OH− groups of the trinuclear subunit become μ3. The linkage of the central, non-linear Ni3 submit to each Ni4 subunit is completed by two η1:η1:μ2 and one η1:η3:μ4 MeCO2− ligands. The whole core is {Ni11(μ3-OH)6(μ3-OR)4(μ3-OR′)2}10+.
In the crystallographically independent, distorted cubane subunit, the four NiII atoms (Ni1, Ni2, Ni3, Ni4) and the deprotonated μ3-O atoms [O11 from a hydroxido group, O1 and O21 from the (py)2C(OH)(O)− ligands, O72 from a MeCO2− ion] occupy alternate vertices of the cube. Thus, the subunit consists of two interpenetrating concentric tetrahedra, one of four metal ions and the other of four triply-bridging oxygen atoms. The two opposite Ni1O1Ni3O11 and Ni2O2Ni4O72 faces of the cube are capped by two syn, anti η1:η1:μ2 MeCO2− groups (O41/O42 and O51/O52, respectively), that lie across the face diagonals. As a result the Ni1∙∙∙Ni3 [2.928(1) Å] and Ni2∙∙∙Ni4 [3.002(1) Å] are shorter than the other intracubane Ni∙∙∙Ni distances [3.024(1)–3.440(1) Å] and the Ni–O–Ni angles [84.0(1)°–94.3(1)°] are more acute than the four faces not bridged in this fashion. This means that from the eight η1:η1:μ2 acetate groups, four bridge NiII ions within the cubane subunits and four (O81/O82, O61/O62′ and their symmetry equivalent) bridge Ni6, Ni6′ of the central Ni3 subunit and metal ions (Ni3, Ni4 and their symmetry equivalent) that belong to the cubane subunits. There are two types of Ni–O (hydroxido, alkoxido, acetato) bonds for each metal ion within the cubane subunits: the first is rather short at an average distance of 2.019(3) Å, the second bond is of intermediate strength at an average distance of 2.093(3) Å, whereas the third bond is longer at an average bond length of 2.202(3) Å. The cube deviates significantly from the ideal geometry. The internal cube angles (O–Ni–O) at the metal vertices average 81.3(1)°, whereas the corresponding angles at the triply-bridging oxygen corners (Νi–O–Ni) are much larger averaging 96.9(1)°. This deviation arises primarily from the different nature of the μ3-O atoms and the resulting different Ni-(μ3-O) bond lengths for a given metal ion, as well as from the presence of two bridging acetates within the cube.
Atoms Ni3, Ni4, Ni5, and Ni6 are bound to an O6 set of donor atoms, and Ni1 and Ni2 form NiO4N2 chromophores. Thus, all the NiII atoms are six-coordinate with distorted octahedral geometries, the main distortion arising from the relatively small bite angle of the chelating NNiO parts of the (py)2C(OH)(O)− groups [75.9(1)°–80.0(1)°]. The Ni–N and Ni–O bond lengths lie well within the ranges reported for other octahedral nickel(II) complexes with O- and/or N-ligation [11,12,13,14,15,18,19,20,21,22,23,24]. The Ni(2, 3 ,4) bond distances to the triply-bridging oxygen atom (O72) of the η1:η1:μ4 MeCO2− group [average 2.234(3) Å] are significantly larger than the other Ni–O (acetate) bond lengths. Although Ni4 complexes containing the cubane core are well known in the literature [13,14,20,21,22], the {Ni4(μ3-OH) (μ3-OR)2(μ3-OR′)}4+ core with three different types of triply-bridging oxygen atoms present in 1 has not been observed either in a discrete Ni4 cluster or as a recognizable subfragmnet of higher nuclearity nickel(II) clusters.
Within the cluster molecule, there are five H bonds of intermediate strength. The donors are the intracubane hydroxido group (O11), the unbound –OH groups of the (py)2C(OH)(O)− ligands and the coordinated H2O molecule (and their symmetry equivalent). The acceptors are the non-coordinated (O92) and coordinated (O41, O61, O82, O91′) acetato oxygen atoms (and their symmetry equivalent). The Ni11 molecules are arranged in layers parallel to the (10-1) plane through C30–H30∙∙∙O42 H bonds (Figure 4). Cluster molecules belonging to different layers interact through C8–H8∙∙∙O1W H bonds forming chains along the c axis. Viewing down the c axis, we observe that cluster molecules in neighboring layers are arranged on this axis in an eclipsed way forming channels that are occupied by solvent molecules.
Complex 1 is the largest nickel(II)/di-2-pyridyl ketone-based coordination cluster discovered. While the number of high-nuclearity, non-organometallic complexes of nickel(II) with O- and/or N-based ligands and without metal-metal bonding continues to grow rapidly [11,15,29,30,31,32,33] (the record nuclearity is 26 [29]), some nuclearities remain rare. Undecanuclear nickel(II) complexes are particularly rare, and complex 1 thus becomes a new member of the small family of Ni11 clusters [34,35,36,37,38]; the metal topology and core of 1 are novel.
3.3. Magnetochemistry
Direct current (dc) magnetic susceptibility data (χM) on a dried polycrystalline, analytically pure sample of 1 were collected in the 2.0–300 K range. The data are plotted as χMT vs. T product in Figure 7. The room temperature χMT value is 14.17 cm3·K·mol−1, slightly higher than the spin-only value of 13.31 cm3·K·mol−1 (with g = 2.2) expected for a cluster of 11 non-interacting S = 1 NiII centers. The χMT product decreases gradually with decreasing temperature in the range 300–100 K and rapidly in the range 100–10 K to reach a minimum value of 6.11 cm3·K·mol−1, before increasing slightly at lower temperatures to reach a final value of 6.39 cm3·K·mol−1 at 2.0 K. Magnetization experiments up to 5 T at 2.0 K (inset of Figure 7) show a saturation value of M/NμB = 6.4. Fit of the reduced magnetization (Figure 8) in the 0–5 T and 1.8–6.8 K ranges gave a good agreement for an S = 3 spin level and g = 2.10. The D value of 0.6 cm−1 is indicative of a weak anisotropy of the ground state and consequently no out-of-phase susceptibility signals were seen in the ac experiments. Thus, the low temperature χMT value and the Brillouin shape of the magnetization plot allow us to propose an unambiguous well-isolated S = 3 ground state for compound 1.
Figure 7.
χMT vs. T and M/NμB vs. dc field at 2 K plots (inset) for compound 1. Solid lines are the fits of the data; see the text for the fit parameters.
Figure 8.
Reduced magnetization plots for compound 1; the data were collected at increments of 1 K in the 1.8–6.8 K range under fields up to 5 T. Solid lines are the fits of the experimental data that give S = 3 and D = 0.6 cm−1.
In order to provide a qualitative explanation of the magnetic properties of 1, we assume as main interactions those provided by the monatomic oxygen bridges, which can be analyzed based on well-established magnetostructural correlations in nickel(II) complexes [11,12,13,14,15,18,20,21,22,34,39,40,41,42,43,44,45,46,47,48,49]. The linkage between the external cubanes and the central Ni3 subunit involves four Ni–O(hydroxido)–Ni units (Figure 3) with bond angles in the 117.1°–125.3°; these angles are expected to propagate antiferromagnetic exchange interactions. The most important parameter in the magnetostructural correlations of Ni4 cubanes with four triply-bridging oxygen atoms has been reported [20,39,40,41,42,43,44,45,46,47,48,49] to be the average Ni–O–Ni angle of a cubane face. A ferromagnetic exchange is observed for Ni–O–Ni angles lower than 99° and the positive coupling value increases as the angle decreases. However, Ni–O–Ni angles in the vicinity of, or larger than, 99° lead to antiferromagnetic interactions and the absolute value increases as the angle increases. It has also been established [49] that if a cubane possesses at least two opposite faces with average Ni–O–Ni bond angles close to 105°, the antiferromagnetic Ni∙∙∙Ni interactions for these faces prevail over the ferromagnetic Ni∙∙∙Ni interactions in the other faces leading to S = 0 for the whole cubane. This is the case in cluster 1. The Ni1O1Ni2O21, Ni3O11Ni4O72, Ni1O1Ni3O11, Ni2O21Ni4O72, Ni2O1Ni3O72, and Ni1O11Ni4O21 faces of the crystallographically-independent Ni4 cubane subunit have average Ni–O–Ni bond angles of 94.5°, 96.3°, 90.6°, 89.2°, 105.4°, and 105.2°, respectively, and a local S = 0 value is expected for this subunit (and its symmetry equivalent). Thus the observed S = 3 ground state for the whole cluster should arise from ferromagnetic exchange interactions within the central Ni3 subunit. The small values of 97.8° and 95.9° for the Ni5–O13–Ni6 (and its symmetry equivalent Ni5–O13′–Ni6′) and Ni5–O12–Ni6′ (and its symmetry equivalent Ni5–O12′–Ni6) bond angles, respectively, fully justify the ferromagnetic Ni5∙∙∙Ni6/Ni5∙∙∙Ni6′ exchange interactions. A schematic plot of the core of 1 with the proposed alignment of the local spins is shown in Scheme 2. This alignment, based on the above discussion, leads to the S = 3 ground state.
Scheme 2.
Schematic plot of the core of 1 with the proposed alignment of the local spins that results in the S = 3 ground state. The faces of the two cubes depicted in green color correspond to the Ni2O1Ni3O72 and Ni1O11Ni4O21 (and their symmetry equivalent) cubane faces of the real structure that are characterized by large average Ni–O–Ni angles (105.4° and 105.2°, respectively). These bond angles are responsible for the dominant antiferromagnetic coupling within each cubane subunit. The central trimeric {Ni(OH)2Ni(OH)2Ni}2+ subunit is characterized by small Ni–O–Ni angles (95.9°, 97.8°) which are compatible with weak ferromagnetic coupling. The coupling between the central Ni3 subunit and the external cubanes should be the strongest interaction, antiferromagnetic in nature, due to the large Ni–O–Ni bond angles involved (117.1°–125.3°).
In order to check the above mentioned qualitative approach, a fit of the experimental magnetic susceptibility data was attempted on the basis of the exchange interactions shown in Scheme 3 and the derived Hamiltonian of Equation (2):
Scheme 3.
Magnetic exchange coupling scheme for 1. The J1, J2, J3, and J4 interactions are fully described in the text. The spin carriers S1, S2, S3, S4, S5, S6, S7, S8, S9, S10, and S11 correspond to the metal centers Ni1, Ni2, Ni3, Ni4, Ni5, Ni6, Ni6′, Ni1′, Ni2′, Ni3′, and Ni4′, respectively, of the real structure.
The coupling constant J1 corresponds to the intracubane exchange interactions characterized by low Ni–O–Ni bond angles (the Ni1∙∙∙Ni2, Ni3∙∙∙Ni4, Ni1∙∙∙Ni3, Ni2∙∙∙Ni4 and their symmetry equivalent exchange interactions in the real structure), J2 corresponds to the intracubane exchange interactions in two opposite faces of the cubane characterized by large Ni–O–Ni bond angles (the Ni1∙∙∙Ni4, Ni2∙∙∙Ni3 and their symmetry equivalent exchange interactions in the real structure), J3 corresponds to the intratrimer exchange interactions (the Ni5∙∙∙Ni6 and Ni5∙∙∙Ni6′ exchange interactions in the real structure) and J4 corresponds to the exchange interactions between the central trinuclear fragment and the two cubanes (the Ni6∙∙∙Ni3, Ni5∙∙∙Ni3, Ni5∙∙∙Ni4, Ni6′∙∙∙Ni4 and their symmetry equivalent interactions in the real structure). The fit performed with the PHI program [50] gives the best-fit parameters J1 = +2.7 cm−1, J2 = −4.8 cm−1, J3 = +1.9 cm−1, J4 = −6.4 cm−1, g = 2.31 with R = 1.9 × 10−6. The absolute J values are not fully reliable due to the possibilities of other solutions that could give reasonable fits, but their signs and relative magnitudes are in excellent agreement with the expected exchange interactions based on the structural characteristics of 1.
4. Concluding Comments and Perspectives
The present work extends the body of results that emphasize the ability of the anionic forms of (py)2CO to form interesting structural types in the chemistry of 3d-metal coordination clusters. The use of both (py)2CO and MeCO2− in a reaction with nickel(II) in H2O-MeCN under basic conditions has led to cluster 1, the highest nuclearity NiII/(py)2CO-based ligand complex to date, showing that (py)2CO can indeed support high nuclearity chemistry when combined with appropriate ancillary ligands, such as simple carboxylates. The cluster exhibits some novel features, the most impressive one being the simultaneous presence of three different types of acetate coordination. It is also impressive that oxygen atoms of three ligands, i.e., OH−, MeCO2−, and (py)2C(OH)O−, are triply-bridging. The work described above also demonstrates the synthetic novelty that arises when MeCO2− is used in conjunction with (py)2CO in solvent media containing large concentrations of H2O and when the metal ion is in excess. Concerning the role of H2O, it is obvious that H2O is responsible for the formation of large concentrations of OH− ions in basic media that favor products completely different compared with those seen previously. As far as the role of the excess of the metal ion in the reaction mixture is concerned, this favors high nuclearities and permits the ancillary ligand (the MeCO2− in the present case) to play a decisive role in the construction of the cluster, as observed in 1 in which the ratio of ancillary ligand:primary ligand in the product is 3. The magnetic study revealed that 1 possesses an S = 3 around state which has been rationalized in terms of the structural characteristics of the cluster, and known magnetostructural correlations for dinuclear and polynuclear nickel(II) complexes. An attempt has also been made to interpret the magnetic properties of 1 in a quantitative manner using four exchange interactions, and the obtained signs and relative magnitudes for the coupling constants are in perfect agreement with what would be expected. The four NiII atoms in each cubane subunit are antiferromagnetically coupled and the S = 3 value in the ground state of the cluster thus derives from the ferromagnetic alignment of the local spins in the central Ni3 subunit.
We have no reason to believe that this research area is exhausted of new significant results. Indeed, experiments in progress in our laboratories are producing additional and exciting products, and our belief is that we have seen only the tip of the iceberg in metal/(py)2CO/carboxylate chemistry in mixed H2O-organic solvent media using high metal and ancillary ligand to (py)2CO reaction ratios. As far as future perspectives are concerned, analogues of 1 with other RCO2− groups are not known to date, and it is currently not evident whether the preparation and stability of such Ni11 clusters are dependent on the particular nature of the R substituent on the carboxylate. The use of other organic solvents (e.g., alcohols, Me2CO, MeNO2….), always in combination with H2O, is also unexplored in this chemistry, and ongoing studies are unearthing interesting new products. Since the μ3-OH− groups in 1 propagate both antiferromagnetic and ferromagnetic exchange interactions, we also plan to pursue the substitution of the OH− bridges by end-on N3− groups in order to introduce more or exclusively ferromagnetic components in the superexchange scheme [23,51].
Supplementary Files
Supplementary File 1Acknowledgments
Albert Escuer thanks the DGICT project CTQ2015-63614-P for funding. This research has also been co-financed by the European Union (European Social Fund-ESF) and Greek National Funds through the Operational Program “Educational and Lifelong Learning” of the National Strategic Reference Framework (NSRF)-Research Funding Programs: THALES. Investing in knowledge society through the European Social Fund (to Spyros P. Perlepes and Catherine P. Raptopoulou).
Author Contributions
Constantinos G. Efthymiou and Ioannis Mylonas-Margaritis conducted the synthesis and conventional characterization of the cluster; the former also contributed to the interpretation of the results. Catherine P. Raptopoulou and Vassilis Psycharis collected crystallographic data, solved the structure, performed structure refinement, and interpreted structural results; the latter also studied the supramolecular features of the crystal structure and wrote the relevant part of the paper. Albert Escuer perfomed the magnetic measurements, interpreted the results, and wrote the relevant part of the paper. Constantina Papatriantafyllopoulou and Spyros P. Perlepes coordinated the research, contributed to the interpretation of the results, and wrote parts of the paper.
Conflicts of Interest
The authors declare no conflict of interest.
References
- Vinslava, A.; Tasiopoulos, A.J.; Wernsdorfer, W.; Abboud, K.A.; Christou, G. Molecules at the Quantum-Classical Nanoparticle Interface: Giant Mn70 Single-Molecule Magnets of ~4 nm Diameter. Inorg. Chem. 2016, 55, 3419–3430. [Google Scholar] [CrossRef] [PubMed]
- Brechin, E.K. Using tripodal alcohols to build high-spin molecules and single-molecule magnets. Chem. Commun. 2005, 5141–5153. [Google Scholar] [CrossRef] [PubMed]
- Zhang, C.; Chen, C.; Dong, H.; Shen, J.-R.; Dau, H.; Zhao, J. A synthetic Mn4Ca-cluster mimicking the oxygen-evolving center of photosynthesis. Science 2015, 348, 690–693. [Google Scholar] [CrossRef] [PubMed]
- Glatzel, P.; Schroeder, H.; Pushkar, Y.; Boron, T., III; Mukherjee, S.; Christou, G.; Pecoraro, V.L.; Messinger, J.; Yachandra, V.K.; Bergmann, U.; et al. Electronic Structural Changes of Mn in the Oxygen-Evolving Complex of Photosystem II during the Catalytic Cycle. Inorg. Chem. 2013, 52, 5642–5644. [Google Scholar] [CrossRef] [PubMed]
- Ako, A.M.; Hewitt, I.J.; Mereacre, V.; Clérac, R.; Wernsdorfer, W.; Anson, C.E.; Powell, A.K. A Ferromagnetically Coupled Mn19 Aggregate with a Record S = 83/2 Ground Spin State. Angew. Chem. Int. Ed. 2006, 45, 4926–4929. [Google Scholar] [CrossRef] [PubMed]
- Bagai, R.; Christou, G. The Drosophila of single-molecule magnetism: [Mn12O12(O2CR)16(H2O)4]. Chem. Soc. Rev. 2009, 38, 1011–1026. [Google Scholar] [CrossRef] [PubMed]
- Milios, C.J.; Winpenny, R.E.P. Cluster-Based Single-Molecule Magnets. Struct. Bond. 2015, 164, 1–109. [Google Scholar]
- Evangelisti, M.; Luis, F.; De Jongh, L.J.; Affronte, M. Magnetothermal properties of molecule-based materials. J. Mater. Chem. 2006, 16, 2534–2549. [Google Scholar] [CrossRef]
- Shaw, R.; Laye, R.H.; Jones, L.F.; Low, D.M.; Talbot-Eeckelaers, C.; Wei, Q.; Milios, C.J.; Teat, S.; Helliwell, M.; Raftery, J.; et al. 1,2,3-Triazolate-Bridged Tetradecametallic Transition Metal Clusters [Mn14(L)6O6(OMe)18X6] (M = FeIII, CrIII and VIII/IV) and Related Compounds: Ground-State Spins Ranging from S = 0 to S = 25 and Spin-Enhanced Magnetocaloric Effect. Inorg. Chem. 2007, 46, 4968–4978. [Google Scholar] [CrossRef] [PubMed]
- Carretta, S.; Santini, P.; Amoretti, G.; Affronte, M.; Candini, A.; Ghirri, A.; Tidmarsh, I.S.; Laye, R.H.; Shaw, R.; McInnes, E.J.L. High-Temperature Slow Relaxation of the Magnetization in Ni10 Magnetic Molecules. Phys. Rev. Lett. 2006, 97, 207201-1–207201-4. [Google Scholar] [CrossRef] [PubMed]
- Stamatatos, T.C.; Escuer, A.; Abboud, K.A.; Raptopoulou, C.P.; Perlepes, S.P.; Christou, G. Unusual Structural Types in Nickel Cluster Chemistry from the Use of Pyridyl Oximes: Ni5, Ni12Na2 and Ni14 Clusters. Inorg. Chem. 2008, 47, 11825–11838. [Google Scholar] [CrossRef] [PubMed]
- Papatriantafyllopoulou, C.; Stamatatos, T.C.; Wernsdorfer, W.; Teat, S.J.; Tasiopoulos, A.J.; Escuer, A.; Perlepes, S.P. Combining Azide, Carboxylate, and 2-Pyridyloximate Ligands in Transition-Metal Chemistry: Ferromagnetic NiII5 Clusters with a Bowtie Skeleton. Inorg. Chem. 2010, 49, 10486–10496. [Google Scholar] [CrossRef] [PubMed]
- Alexopoulou, K.I.; Raptopoulou, C.P.; Psycharis, V.; Terzis, A.; Tangoulis, V.; Stamatatos, T.C.; Perlepes, S.P. Solvent-Dependent Access to Two Different NiII4 Core Topologies from the First Use of Pyridine-2,6-dimethanol in Nickel(II) Cluster Chemistry. Aust. J. Chem. 2012, 65, 1608–1619. [Google Scholar] [CrossRef]
- Perlepe, P.S.; Athanasopoulou, A.A.; Alexopoulou, K.I.; Raptopoulou, C.P.; Psycharis, V.; Escuer, A.; Perlepes, S.P.; Stamatatos, T.C. Structural and magnetic variations in tetranuclear NiII clusters: the effect of the reaction solvent and ligand substitution on product identity. Dalton Trans. 2014, 43, 16605–16609. [Google Scholar] [CrossRef] [PubMed]
- Alexopoulou, K.I.; Terzis, A.; Raptopoulou, C.P.; Psycharis, V.; Escuer, S.P.; Perlepes, S.P. NiII20 “Bowls” from the Use of Tridentate Schiff Bases. Inorg. Chem. 2015, 54, 5615–5617. [Google Scholar] [CrossRef] [PubMed]
- Papaefstathiou, G.S.; Perlepes, S.P. Families of Polynuclear Manganese, Cobalt, Nickel and Copper Complexes Stabilized by Various Forms of Di-2-pyridyl Ketone. Comments. Inorg. Chem. 2002, 23, 249–274. [Google Scholar] [CrossRef]
- Stamatatos, T.C.; Efthymiou, C.G.; Stoumpos, C.C.; Perlepes, S.P. Adventures in the Coordination Chemistry of Di-2-pyridyl Ketone and Related Ligands: From High-Spin Molecules and Single-Molecule Magnets to Coordination Polymers, and from Structural Aesthetics to an Exciting New Reactivity Chemistry of Coordinated Ligands. Eur. J. Inorg. Chem. 2009, 2009, 3361–3391. [Google Scholar]
- Katsenis, A.D.; Kessler, V.G.; Papaefstathiou, G.S. High-spin Ni(II) clusters: Triangles and planar tetranuclear complexes. Dalton Trans. 2011, 40, 4590–4598. [Google Scholar] [CrossRef] [PubMed]
- Jedner, S.B.; Schwöppe, H.; Nimir, H.; Rompel, A.; Brown, D.A.; Krebs, B. Ni(II) complexes as models for inhibited urease. Inorg. Chim. Acta 2002, 340, 181–186. [Google Scholar] [CrossRef]
- Efthymiou, C.G.; Raptopoulou, C.P.; Terzis, A.; Boča, R.; Korabic, M.; Mrozinski, J.; Perlepes, S.P.; Bakalbassis, E.G. A Systematic Exploration of Nickel(II)/Acetate/Di-2-pyridyl Ketone Chemistry: Neutral and Cationic Clusters, and a Novel Mononuclear Complex. Eur. J. Inorg. Chem. 2006, 2236–2252. [Google Scholar] [CrossRef]
- Tong, M.-L.; Zheng, S.-L.; Shi, J.-X.; Tong, Y.-X.; Lee, H.K.; Chen, X.-M. Synthesis, crystal structures and properties of six cubane-like transition metal complexes of di-2-pyridyl ketone in gem-diol form. J. Chem. Soc. Dalton Trans. 2002, 1727–1734. [Google Scholar] [CrossRef]
- Li, Y.-M.; Zhang, J.-J.; Fu, R.-B.; Xiang, S.-C.; Sheng, T.-L.; Yuan, D.-Q.; Huang, X.-H.; Wu, X.-T. Three new cubane like transition metal complexes of di-2-pyridyl ketone in gem-diol form: Syntheses, crystal structures and properties. Polyhedron 2006, 25, 1618–1624. [Google Scholar] [CrossRef]
- Papaefstathiou, G.S.; Escuer, E.; Vicente, R.; Font-Bardia, M.; Solans, X.; Perlepes, S.P. Reactivity in polynuclear transition metal chemistry as a means to obtain high-spin molecules: Substitution of μ4-OH− by η1, μ4-N3− increases nine times the ground-state S value of a nonanuclear nickel(II) cage. Chem. Commun. 2001, 2414–2415. [Google Scholar] [CrossRef]
- Ji, B.; Deng, D.; Wang, Z.; Liu, X.; Miao, S. Structure of an infinite helical water chain and discrete lattice water in metal-organic framework structures. Struct. Chem. 2008, 19, 619–623. [Google Scholar] [CrossRef]
- CrystalClear, version 1.40; Rigaku/MSC: The Woodlands, TX, USA, 2005.
- Sheldrick, G.M. SHELXS 97, Program for Structure Solution; University of Göttingen: Göttingen, Germany, 1997. [Google Scholar]
- Sheldrick, G.M. Crystal structure refinement with SHELXL. Acta Crystallogr. Sect. C 2015, 71, 3–8. [Google Scholar] [CrossRef] [PubMed]
- Stamatatos, T.C.; Raptopoulou, C.P.; Perlepes, S.P.; Boudalis, A.K. The first non-acetato members of the bis(anion)octacarboxylatotetrakis{di-2-pyridyl-methanediolate(-2)enneametal(II) family of complexes: Synthesis, X-ray structures and magnetism of [M9(N3)2(O2CCMe3)8{(py)2CO2}4] (M = Co, Ni). Polyhedron 2011, 30, 3026–3033. [Google Scholar] [CrossRef]
- Athanasopoulou, A.A.; Pilkington, M.; Raptopoulou, C.P.; Escuer, A.; Stamatatos, T.C. Structural aesthetics in molecular nanoscience: A unique Ni26 cluster with a ‘rabbit-face’ topology and a discrete Ni18 ‘molecular chain’. Chem. Commun. 2014, 50, 14942–14945. [Google Scholar] [CrossRef] [PubMed]
- Foguet-Albiol, D.; Abboud, K.A.; Christou, G. High-nuclearity homometallic iron and nickel clusters: Fe22 and Ni24 complexes from the use of N-methyldiethanolamine. Chem. Commun. 2005, 4282–4284. [Google Scholar] [CrossRef] [PubMed]
- Muche, S.; Levacheva, I.; Samsonova, O.; Plam, L.; Christou, G.; Bakowsky, U.; Holyńska, M. A Chiral, Low-Cytotoxic [Ni15]-Wheel Complex. Inorg. Chem. 2014, 53, 7642–7649. [Google Scholar] [CrossRef] [PubMed]
- Wix, P.; Kostakis, G.E.; Blatov, V.A.; Proserpio, D.M.; Perlepes, S.P.; Powell, A.K. A Database of Topological Representations of Polynuclear Nickel Compounds. Eur. J. Inorg. Chem. 2013, 2013, 520–526. [Google Scholar] [CrossRef]
- Dearden, A.L.; Parsons, S.; Winpenny, R.E.P. Synthesis, Structure and Preliminary Magnetic Studies of a Ni24 Wheel. Angw. Chem. Int. Ed. 2001, 40, 152–154. [Google Scholar] [CrossRef]
- Athanasopoulou, A.A.; Raptopoulou, C.P.; Escuer, A.; Stamatatos, T.C. Rare nuclearities in Ni(II) cluster chemistry: A Ni11 cage from the first use of N-salicylidene-2-amino-5-chlorobenzoic acid in metal cluster chemistry. RSC Adv. 2014, 4, 12680–12684. [Google Scholar] [CrossRef]
- Brechin, E.K.; Clegg, W.; Murrie, M.; Parsons, S.; Teat, S.J.; Winpenny, R.E.P. Nanoscale Cages of Manganese and Nickel with “Rock Salt” Cores. J. Am. Chem. Soc. 1998, 120, 7365–7366. [Google Scholar] [CrossRef]
- Brechin, E.K.; Parsons, S.; Winpenny, R.E.P. Uncapped and polar capped prisms of cobalt and nickel. J. Chem. Soc. Dalton Trans. 1996, 3745–3746. [Google Scholar] [CrossRef]
- Benelli, C.; Blake, A.J.; Brechin, E.K.; Coles, S.J.; Graham, A.; Harris, S.G.; Meier, S.; Parkin, A.; Parsons, S.; Seddon, A.M.; et al. A Family of Polynuclear Cobalt and Nickel Complexes Stabilized by 2-Pyridonate and Carboxylate Ligands. Chem. Eur. J. 2000, 6, 883–896. [Google Scholar]
- Nikiforova, M.E.; Kiskin, M.A.; Bogomyakov, A.S.; Aleksandrov, G.G.; Sidorov, A.A.; Mironov, V.S.; Eremenko, I.L. Synthesis, structure, and magnetic properties of new pyridonate-pivalate nickel(II) complex, [Ni11(OH)2(mhp)8(Piv)10(HCO2)2(H2O)2(Hmhp)2(HPiv)2] (mhp = 6-methyl-2-pyridonate), containing formate bridges. Inorg. Chem. Commun. 2011, 14, 362–365. [Google Scholar] [CrossRef]
- Halcrow, M.A.; Sun, J.-S.; Huffman, J.C.; Christou, G. Structural and Magnetic Properties of [Ni4(μ3-OMe)4(dbm)4(MeOH)4] and [Ni4(η1, μ3-N3)4(dbm)4(EtOH)4]. Magnetostructuctal Correlations for [Ni4X4]4+ Cubane Complexes. Inorg. Chem. 1995, 34, 4167–4177. [Google Scholar] [CrossRef]
- El Fallah, M.S.; Rentschler, E.; Caneschi, A.; Gatteschi, D. Synthesis, crystal structure and magnetic properties of the tetranuclear complex [Ni4(OCH3)4(dbm)4(CH3OH)4](C2H5)2O. Inorg. Chim. Acta 1996, 247, 231–235. [Google Scholar] [CrossRef]
- Escuer, A.; Font-Bardia, M.; Kumar, S.B.; Solans, X.; Vicente, R. Two new nickel(II) cubane compounds derived from pyridine-2-methoxide (Pym): {Ni4(Pym)4Cl4(CH3OH)4} and {Ni4(Pym)4(N3)4(CH3OH)4}. Crystal structures and magnetic properties. Polyhedron 1999, 18, 909–914. [Google Scholar] [CrossRef]
- Clemente-Juan, J.M.; Chansou, B.; Donnadieu, B.; Tuchagues, J.-P. Synthesis, Structure, and Magnetic Properties of the Low-Symmetry Tetranuclear Cubane-like Nickel Complex [Ni4(pypentO)(pym)(μ3-OH)2(μ3-Oac)2(NCS)2(OH)2]. Inorg. Chem. 2000, 39, 5515–5519. [Google Scholar] [CrossRef] [PubMed]
- Boskovic, C.; Rusanov, E.; Stoeckli-Evans, H.; Güdel, H.U. New tri- and tetranuclear transition metal spin clusters incorporating a versatile polydentate Schiff base ligand. Inorg. Chem. Commun. 2002, 5, 881–886. [Google Scholar] [CrossRef]
- Mukherjee, S.; Weyhermüller, T.; Bothe, E.; Wieghardt, K.; Chaudhuri, P. Single-Atom O-Bridged Urea in a Dinickel(II) Complex with NiII4, CuII2 and CuII4 Complexes of a Pentadentate Phenol-Containing Schiff Base with (O,N,O,N,O)-Donor Atoms. Eur. J. Inorg. Chem. 2003, 863–875. [Google Scholar] [CrossRef]
- Paine, T.K.; Rentschler, E.; Weyhermüller, T.; Chaudhuri, P. Polynuclear Nickel(II) Complexes: Preparation and Magnetic Properties of NiII4, NiII5 and NiII6 Species with Ligands containing OXO (X = S, Se, or N) Donor Atoms. Eur. J. Inorg. Chem. 2003, 3167–3178. [Google Scholar] [CrossRef]
- Aromi, G.; Batsanov, A.S.; Christian, P.; Helliwell, M.; Roubeau, O.; Timco, G.A.; Winpenny, R.E.P. Synthesis, structure and magnetic properties of hydroxyquinaldine-bridged cobalt and nickel cubanes. Dalton Trans. 2003, 4466–4471. [Google Scholar] [CrossRef]
- Moragues-Cánovas, M.; Helliwell, M.; Ricard, L.; Riviѐre, E.; Wernsdorfer, W.; Brechin, E.; Mallah, T. An Ni4 Single-Molecule Magnet: Synthesis, Structure and Low-Temperature Magnetic Behaviour. Eur. J. Inorg. Chem. 2004, 2014, 2219–2222. [Google Scholar] [CrossRef]
- Papaefstathiou, G.S.; Escuer, A.; Mautner, F.A.; Raptopoulou, G.; Terzis, A.; Perlepes, S.P.; Vicente, R. Use of the Di-2-pyridyl Ketone/Acetate/ Dicyanamide “Blend” in Manganese(II), Cobalt(II) and Nickel(II) Chemistry: Neutral Cubane Complexes. Eur. J. Inorg. Chem. 2005, 879–893. [Google Scholar] [CrossRef]
- Papatriantafyllopoulou, C.; Efthymiou, C.G.; Raptopoulou, C.P.; Vicente, R.; Manessi-Zoupa, E.; Psycharis, V.; Escuer, A.; Perlepes, S.P. Initial use of the di-2-pyridyl ketone/sulfate “blend” in 3d-metal cluster chemistry: Preparation, X-ray structures and physical studies of zinc(II) and nickel(II) cubanes. J. Mol. Struct. 2007, 829, 176–188. [Google Scholar] [CrossRef]
- Chilton, N.F.; Anderson, R.P.; Turner, L.D.; Soncini, A.; Murrax, K.S. PHI: A Powerful New Program for the Analysis of Anisotropic Monomeric and Exchange-Coupled Polynuclear d- and f-block Complexes. J. Comput. Chem. 2013, 34, 1164–1175. [Google Scholar] [CrossRef] [PubMed]
- Papaefstathiou, G.S.; Perlepes, S.P.; Escuer, A.; Vicente, R.; Font-Bardia, M.; Solans, X. Unique Single-Atom Binding of Pseudohalogeno Ligands to Four Metal Ions Induced by Their Trapping into High-Nuclearity Cages. Angew. Chem. Int. Ed. 2001, 40, 884–886. [Google Scholar] [CrossRef]
© 2016 by the authors; licensee MDPI, Basel, Switzerland. This article is an open access article distributed under the terms and conditions of the Creative Commons Attribution (CC-BY) license (http://creativecommons.org/licenses/by/4.0/).










