In-Vivo In-Vitro Screening of Ocimum basilicum L. Ecotypes with Differential UV-B Radiation Sensitivity
Abstract
1. Introduction
2. Materials and Methods
2.1. Plant Material, In Vitro Growth Conditions
2.2. Culture System
2.3. UV-B Exposure
2.4. Determination of Rosmarinic Acid
2.5. Chlorophyll a Fluorescence
2.6. Statistical Analysis
3. Results
3.1. Visual Effects of UV-B Exposures
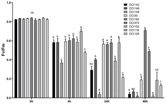
3.2. Chlorophyll a Fluorescence
3.3. Effect of High UV-B Light Exposure on the Rosmarinic acid (RA) Content
4. Discussion
Supplementary Materials
Author Contributions
Funding
Data Availability Statement
Conflicts of Interest
References
- Frohnmeyer, H.; Staiger, D. Ultraviolet-B Radiation-Mediated Responses in Plants. Balancing Damage and Protection. Plant. Physiol. 2003, 133, 1420–1428. [Google Scholar] [CrossRef]
- Agrawal, S.B.; Rathore, D.; Singh, A. Combined effects of enhanced ultraviolet-B radiation and mineral nutrients on growth, biomass accumulation and yield characteristics of two cultivars of Vigna radiata L. J. Environ. Biol. 2006, 27, 55–60. [Google Scholar]
- Pandey, J.; Chaplot, K. Effects of enhanced UV-B radiation on physiological and biochemical characteristics of wheat. Res. Crops 2007, 8, 401–405. [Google Scholar]
- Yao, X.; Liu, Q. Changes in morphological, photosynthetic and physiological responses of Mono Maple seedlings to enhanced UV-B and to nitrogen addition. Plant. Growth Regul. 2006, 50, 165–177. [Google Scholar] [CrossRef]
- Hu, Z.; Li, H.; Chen, S.; Yang, Y. Chlorophyll content and photosystem II efficiency in soybean exposed to supplemental ul-traviolet-B radiation. Photosynthetica 2013, 51, 151–157. [Google Scholar] [CrossRef]
- He, Y.-Y.; Häder, D.-P. Involvement of reactive oxygen species in the UV-B damage to the cyanobacterium Anabaena sp. J. Photochem. Photobiol. B Biol. 2002, 66, 73–80. [Google Scholar] [CrossRef]
- Zhang, X.-R.; Chen, Y.-H.; Guo, Q.-S.; Wang, W.-M.; Liu, L.; Fan, J.; Cao, L.-P.; Li, C. Short-term UV-B radiation effects on morphology, physiological traits and accumulation of bioactive compounds in Prunella vulgaris L. J. Plant. Interact. 2017, 12, 348–354. [Google Scholar] [CrossRef]
- Trivellini, A.; Lucchesini, M.; Maggini, R.; Mosadegh, H.; Sulca Villamarin, T.S.; Vernieri, P.; Mensuali-Sodi, A.; Pardossi, A. La-miaceae phenols as multifaceted compounds: Bioactivity, industrialprospects and role of “positive-stress”. Ind. Crops Prod. 2016, 83, 241–254. [Google Scholar] [CrossRef]
- Kalaji, H.M.; Jajoo, A.; Oukarroum, A.; Brestic, M.; Zivcak, M.; Samborska, I.A.; Cetner, M.D.; Łukasik, I.; Goltsev, V.; Ladle, R.J. Chlorophyll a fluorescence as a tool to monitor physiological status of plants under abiotic stress conditions. ACTA Physiol. Plant. 2016, 38, 1–11. [Google Scholar] [CrossRef]
- Govindjee, R. Sixty-three years since Kautsky: Chlorophyll a fluorescence. Aus. J. Plant Physiol. 1995, 22, 131–160. [Google Scholar] [CrossRef]
- Stirbet, A.; Govindjee, R. On the relation between the Kautsky effect (chlorophyll a fluorescence induction) and Photosystem II: Basics and applications of the OJIP fluorescence transient. J. Photochem. Photobiol. B Biol. 2011, 104, 236–257. [Google Scholar] [CrossRef]
- McKay, D.L.; Blumberg, J.B. A review of the bioactivity and potential health benefits of peppermint tea (Mentha piperita L.). Phytother. Res. 2006, 20, 619–633. [Google Scholar] [CrossRef]
- Wojdylo, A.; Oszmianski, J.; Czemerys, R. Antioxidant activity and phenolic compounds in 32 selected herbs. Food Chem. 2007, 105, 940–949. [Google Scholar] [CrossRef]
- Carović-Stanko, K.; Orlić, S.; Politeo, O.; Strikić, F.; Kolak, I.; Milos, M.; Satovic, Z. Composition and antibacterial activities of essential oils of seven Ocimum taxa. Food Chem. 2010, 119, 196–201. [Google Scholar] [CrossRef]
- Boffetta, P.; Couto, E.; Wichmann, J.; Ferrari, P.; Trichopoulos, D.; Bueno-De-Mesquita, H.B.; Van Duijnhoven, F.J.B.; Büchner, F.L.; Key, T.; Boeing, H.; et al. Fruit and Vegetable Intake and Overall Cancer Risk in the European Prospective Investigation Into Cancer and Nutrition (EPIC). J. Natl. Cancer Inst. 2010, 102, 529–537. [Google Scholar] [CrossRef] [PubMed]
- Zabka, M.; Pavela, R.; Prokinova, E. Antifungal activity and chemical composition of twenty essential oils against significant indoor and outdoor toxigenic and aeroallergenic fungi. Chemosphere 2014, 112, 443–448. [Google Scholar] [CrossRef]
- Bozin, B.; Mimica-Dukic, N.; Simin, N.; Anackov, G. Characterization of the volatile composition of essential oils of some la-miaceae species and the antimicrobial and antioxidant activities of the entire oils. J. Agric. Food Chem. 2000, 54, 1822–1828. [Google Scholar] [CrossRef] [PubMed]
- Petersen, M.; Simmonds, M.S. Rosmarinic acid. Phytochemistry 2003, 62, 121–125. [Google Scholar] [CrossRef]
- Makri, O.; Kintzios, S. Ocimum sp. (Basil): Botany, Cultivation, Pharmaceutical Properties, and Biotechnology. J. Herbs, Spices Med. Plants 2007, 13, 123–150. [Google Scholar] [CrossRef]
- Labra, M.; Miele, M.; Ledda, B.; Grassi, F.; Mazzei, M.; Sala, F. Morphological characterization, essential oil composition and DNA genotyping of Ocimum basilicum L. cultivars. Plant. Sci. 2004, 167, 725–731. [Google Scholar] [CrossRef]
- Vieira, R.F.; Grayer, R.J.; Paton, A.; Simon, J.E. Chemical characterization of basil (Ocimum spp.) based on volatile oils. Flav. Frag. J. 2006, 21, 214–221. [Google Scholar] [CrossRef]
- Prakash, V. Leafy Spices; Apple Academic Press: Palm Bay, FL, USA, 2019; p. 114. [Google Scholar]
- Marotti, M.; Piccaglia, R.; Giovanelli, E. Differences in Essential Oil Composition of Basil (Ocimum basilicumL.) Italian Cultivars Related to Morphological Characteristics. J. Agric. Food Chem. 1996, 44, 3926–3929. [Google Scholar] [CrossRef]
- Kiferle, C.; Lucchesini, M.; Mensuali-Sodi, A.; Maggini, R.; Raffaelli, A.; Pardossi, A. Rosmarinic acid content in basil plants grown in vitro and in hydroponics. Open Life Sci. 2011, 6, 946–957. [Google Scholar] [CrossRef]
- Mosadegh, H.; Trivellini, A.; Ferrante, A.; Lucchesini, M.; Vernieri, P.; Mensuali, A. Applications of UV-B lighting to enhance phenolic accumulation of sweet basil. Sci. Hortic. 2018, 229, 107–116. [Google Scholar] [CrossRef]
- Murashige, T.; Skoog, F. A Revised Medium for Rapid Growth and Bio Assays with Tobacco Tissue Cultures. Physiol. Plant. 1962, 15, 473–497. [Google Scholar] [CrossRef]
- Mosadegh, H.; Trivellini, A.; Lucchesini, M.; Ferrante, A.; Maggini Vernieri, P.; Mensuali Sodi, A. UV-B physiological changes under conditions of distress and eustress in sweet basil. Plants 2019, 8, 396. [Google Scholar] [CrossRef] [PubMed]
- Maggini, R.; Tozzini, L.; Pacifici, S.; Raffaelli, A.; Pardossi, A. Growth and accumulation of caffeic acid derivatives in Echinacea angustifolia DC. var. angustifolia grown in hydroponic culture. Ind. Crop. Prod. 2012, 35, 269–273. [Google Scholar] [CrossRef]
- Srivastava, S.; Cahill-David, M.; Conlan-Xavier, A.; Adholeya, A. A novel in vitro whole plant system for analysis of poly-phenolics and their antioxidant potential in cultivars of Ocimum basilicum. J. Agri. Food Chem 2014, 62, 10064–10075. [Google Scholar] [CrossRef] [PubMed]
- Melis, A. Photosystem-II damage and repair cycle in chloroplasts: What modulates the rate of photodamage in vivo? Trends Plant. Sci. 1999, 4, 130–135. [Google Scholar] [CrossRef]
- Coffey, A.; Prinsen, E.; Jansen, M.; Conway, J. The UVB photoreceptor UVR8 mediates accumulation of UV-absorbing pigments, but not changes in plant morphology, under outdoor conditions. Plant. Cell Environ. 2017, 40, 2250–2260. [Google Scholar] [CrossRef] [PubMed]
- Yu, G.H.; Li, W.; Yuan, Z.Y.; Cui, H.Y.; Lv, C.G.; Gao, Z.P.; Han, B.; Gong, Y.Z.; Chen, G.X. The effects of enhanced UV-B radiation on photosynthetic and biochemical activities in super-high-yield hybrid rice Liangyoupeijiu at the reproductive stage. Photosynthesis 2013, 51, 33–44. [Google Scholar] [CrossRef]
- Wang, Z.X.; Chen, L.; Ai, J.; Qin, H.Y.; Liu, Y.X.; Xu, P.L.; Jiao, Z.Q.; Zhao, Y.; Zhang, Q. TPhotosynthesis and activity of photosystem II in response to drought stress in Amur Grape (Vitis amurensis Rupr.). Photosynthetica 2012, 50, 189–196. [Google Scholar] [CrossRef]
- Ferrante, A.; Trivellini, A.; Malorgio, F.; Carmassi, G.; Vernieri, P.; Serra, G. Effect of seawater aerosol on leaves of six plant species potentially useful for ornamental purposes in coastal areas. Sci. Hortic. 2011, 128, 332–341. [Google Scholar] [CrossRef]
- Mathur, S.; Mehta, P.; Jajoo, A. Effects of dual stress (high salt and high temperature) on the photochemical efficiency of wheat leaves (Triticum aestivum). Physiol. Mol. Biol. Plants 2012, 19, 179–188. [Google Scholar] [CrossRef] [PubMed]
- Trivellini, A.; Gordillo, B.; Rodríguez-Pulido, F.J.; Borghesi, E.; Ferrante, A.; Vernieri, P.; Quijada-Morín, N.; González-Miret, M.L.; Heredia, F.J. Effect of salt stress in the regulation of anthocyanins and color of Hibiscus flowers by digital image analysis. J. Agric. Food Chem. 2014, 62, 697–6966. [Google Scholar] [CrossRef] [PubMed]
- Toscano, S.; Trivellini, A.; Ferrante, A.; Romano, D. Physiological mechanisms for delaying the leaf yellowing of potted geranium plants. Sci. Hortic. 2018, 242, 146–154. [Google Scholar] [CrossRef]
- Force, L.; Critchley, C.; Van Renson, J.J.S. New fluorescence parameters for monitoring photosynthesis in plants. 1. The effect of illumination on the fluorescence parameters of the JIP-test. Photosynt. Res. 2003, 78, 17–33. [Google Scholar] [CrossRef]
- Strasser, B.J.; Strasser, R.J. Measuring Fast Fluorescence Transients to Address Environmental Questions: The JIP-Test. In Photosynthesis: From Light to Biosphere; Springer Science and Business Media LLC: Heidelberg, Germany, 1995; pp. 4869–4872. [Google Scholar]
- Albert, K.R.; Mikkelsen, T.N.; Ro-Poulsen, H.; Arndal, M.F.; Michelsen, A. Ambient UV-B radiation reduces PSII performance and net photosynthesis in high Arctic Salix arctica. Environ. Exp. Bot. 2011, 73, 10–18. [Google Scholar] [CrossRef]
- Jansen, M.A.K.; Biswas, D.K. Natural variation in UV-B protection amongst Arabidopsis thaliana accessions. Emir. J. Food Agric. 2012, 24, 621–623. [Google Scholar] [CrossRef]
- Piccini, C.; Cai, G.; Dias, M.C.; Romi, M.; Longo, R.; Cantini, C. UV-B Radiation Affects Photosynthesis-Related Processes of Two Italian Olea europaea (L.) Varieties Differently. Plants 2020, 9, 1712. [Google Scholar] [CrossRef] [PubMed]
- Strasser, R.J.; Srivastava, A.; Tsimilli-Michael, M. The fluorescence transient as a tool to characterize and screen photosynthetic samples. In Probing Photosynthesis: Mechanisms, Regulation and Adaptation; Yunus, M., Pathre, U., Mohanty, P., Eds.; Taylor & Francis: London, UK, 2000; pp. 445–483. [Google Scholar]
- Strasser, R.J.; Michael, M.T.; Srivastava, A. Analysis of the chlorophyll a fluorescence transient. In Advances in Photosynthesis and Respiration; Papageorgiou, G., Govindjee, Eds.; Springer: Dordrecht, The Netherlands, 2010; Volume 19, pp. 321–362. [Google Scholar]
- Lu, C.; Zhang, J.; Zhang, Q.; Li, L.; Kuang, T. Modification of photosystem II photochemistry in nitrogen deficient maize and wheat plants. J. Plant. Physiol. 2001, 158, 1423–1430. [Google Scholar] [CrossRef]
- Castro, F.A.; Campostrini, E.; Torres-Netto, A.; Viana, L.H. Relationship between photochemical efficiency (JIP-test param-eters) and portable chlorophyll meter readings in papaya plants. Braz. J. Plant. Physiol. 2011, 23, 295–304. [Google Scholar] [CrossRef][Green Version]
- Mehta, P.; Jajoo, A.; Mathur, S.; Bharti, S. Chlorophyll a fluorescence study revealing effects of high salt stress on Photosystem II in wheat leaves. Plant. Physiol. Biochem. 2010, 48, 16–20. [Google Scholar] [CrossRef] [PubMed]
- Fghire, R.; Anaya, F.; Ali, O.I.; Benlhabib, O.; Ragab, R.; Wahbi, S. Physiological and photosynthetic response of quinoa to drought stress. Chil. J. Agric. Res. 2015, 75, 174–183. [Google Scholar] [CrossRef]
- Tongra, T.; Mehta, P.; Mathur, S.; Agrawala, D.; Bhartia, S.; Los, D.A.; Allakhverdiev, S.L.; Jajoo, A. Computational analysis of fluorescence induction curves in intact spinach leaves treated at different pH. Biosystems 2011, 103, 158–163. [Google Scholar]
- Zushi, K.; Kajiwara, S.; Matsuzoe, N. Chlorophyll a fluorescence OJIP transient as a tool to characterize and evaluate response to heat and chilling stress in tomato leaf and fruit. Sci. Hortic. 2012, 148, 39–46. [Google Scholar] [CrossRef]
- Kolb, C.A.; Käser, M.A.; Kopecký, J.; Zotz, G.; Riederer, M.; Pfündel, E.E. Effects of natural intensities of visible and ultraviolet radiation on epidermal ultraviolet screening and photosynthesis in grape leaves. Plant Physiol. 2001, 127, 863–875. [Google Scholar] [CrossRef] [PubMed]
- Liu, Y.; Liu, J.; Abozeid, A.; Wu, K.-X.; Guo, X.-R.; Mu, L.-Q.; Tang, Z.-H. UV-B Radiation Largely Promoted the Transformation of Primary Metabolites to Phenols in Astragalus mongholicus Seedlings. Biomolecules 2020, 10, 504. [Google Scholar] [CrossRef]
- Rácz, A.; Czégény, G.; Csepregi, K.; Hideg, É. Ultraviolet-B acclimation is supported by functionally heterogeneous phenolic peroxidases. Sci. Rep. 2020, 10, 1–13. [Google Scholar] [CrossRef]
- Del Valle, J.C.; Buide, M.L.; Whittall, J.B.; Valladares, F.; Narbona, E. UV radiation increases phenolic compound protection but decreases reproduction in Silene littorea. PLoS ONE 2020, 15, e0231611. [Google Scholar] [CrossRef] [PubMed]
- Marwat, S.K.; Khan, M.S.; Ghulam, S.; Anwar, N.; Mustafa, G.; Usman, K. Phytochemical constituents and pharmacological activities of sweet Basil-Ocimum basilicum L. (Lamiaceae). Asian J. Chem. 2011, 23, 3773. [Google Scholar]
- Bertoli, A.; Lucchesini, M.; Mensuali-Sodi, A.; Leonardi, M.; Doveri, S.; Magnabosco, A.; Pistelli, L. Aroma characterisation and UV elicitation of purple basil from different plant tissue cultures. Food Chem. 2013, 141, 776–787. [Google Scholar] [CrossRef]
- Ghasemzadeh, A.; Ashkani, S.; Baghdadi, A.; Pazoki, A.; Jaafar, H.Z.E.; Rahmat, A. Improvement in Flavonoids and Phenolic Acids Production and Pharmaceutical Quality of Sweet Basil (Ocimum basilicum L.) by Ultraviolet-B Irradiation. Mollecules 2016, 21, 1203. [Google Scholar] [CrossRef] [PubMed]
- Sakalauskaite, J.; Viskelis, P.; Duchovskis, P.; Dambrauskiene, E.; Sakalauskiene, S.; Samuoliene, G.; Brazaityte, A. Supple-mentary UV-B irradiation effects on basil (Ocimum basilicum L.) growth and phytochemical properties. J. Food Agric. Environ. 2012, 10, 342–346. [Google Scholar]
- Sakalauskaite, J.; Viskelis, P.; Dambrauskiene, E.; Sakalauskiene, S.; Samuoliene, G.; Brazaityte, A.; Duchovskis, P.; Ur-bonaviciene, D. The effects of different UV-B radiation intensities on morphologicaland biochemical characteristics in Ocimum basilicum L. J. Sci. Food Agric. 2013, 93, 1266–1271. [Google Scholar] [CrossRef] [PubMed]
- Nitz, G.M.; Schnitzler, W.H. Effect of PAR and UV-B radiation on the quality and quantity of the essential oil in sweet basil (Ocimum basilicum L.). In Proceedings of the VII IS on Protocol Culture Mild Winter Climates; Cantliffe, D.J., Stoffella, P.J., Shwa, N., Eds.; Acta Horticulturae: Kissimmee, FL, USA, 2004; Volume 659, pp. 375–382. [Google Scholar]
- Jansen, M.A.K.; van den Noort, R.E.; Adillah Tan, M.Y.; Prinsen, E.; Lagrimini, L.M.; Thorneley, R.N.F. Phenol-Oxidizing Pe-roxidases Contribute to the Protection of Plants from Ultraviolet Radiation Stress. Plant Physiol. 2001, 126, 1012–1023. [Google Scholar] [CrossRef]
- Landry, L.G.; Chapple, C.; Last, R.L. Arabidopsis Mutants Lacking Phenolic Sunscreens Exhibit Enhanced Ultraviolet-B Injury and Oxidative Damage. Plant. Physiol. 1995, 109, 1159–1166. [Google Scholar] [CrossRef] [PubMed]
- Lee, H.J.; Cho, H.S.; Park, E.; Kim, S.; Lee, S.Y.; Kim, C.S.; Kim, D.K.; Kim, S.J.; Chun, H.S. Rosmarinic acid protects human dopa-minergic neuronal cells against hydrogen peroxide-induced apoptosis. Toxicology 2008, 250, 15–109. [Google Scholar] [CrossRef]




| O. basilicum Stock No. | Country of Origin (Location) | Coordinate | Elevation above the Sea Level (m) |
|---|---|---|---|
| OCI142 | Maldives | N4 E73 | 8 |
| OCI148 | Maldives | N4 E73 | 8 |
| OCI149 | Maldives | N4 E73 | 8 |
| OCI30 | Argentina | N2 W75 | 1559 |
| OCI102 | Romania | N44 E26 | 83 |
| OCI126 | Georgia | N39 E116 | 49 |
| OCI370 | Spain | N40 W3 | 665 |
| OCI118 | Togo | N8 0-1E | 481 |
| OCI160 | Cuba | N21 W80 | 41 |
| O. basilicum Ecotypes | ||||||||||
|---|---|---|---|---|---|---|---|---|---|---|
| OCI142 | OCI148 | OCI149 | OCI30 | OCI160 | OCI370 | OCI102 | OCI118 | OCI126A | ||
| ABS/RC | 0 h | 3.32 a | 3.28 a | 2.77 a | 3.24 a | 3.41 a | 3.47 a | 3.25 a | 3.36 a | 3.29 a |
| 4 h | 4.30 b | 4.41 b | 5.58 b | 4.54 b | 3.54 a | 4.50 b | 4.60 b | 5.51 b | 4.98 b | |
| 24 h | 7.2 c | 4.07 b | 13.93 c | 6.36 b | 4.25 b | 5.29 cb | 14.45 c | 4.63 c | 10.61 c | |
| 48 h | 20.04 d | 17.32 c | 19.16 d | 12.20 d | 4.80 c | 5.98 c | 17.20 d | 13.18 d | 16.57 d | |
| TRo/RC | 0 h | 2.73 a | 2.81 a | 2.92 a | 2.91 a | 2.87 a | 2.83 a | 2.85 a | 2.74 a | 2.71 a |
| 4 h | 2.49 b | 2.45 b | 2.45 b | 2.76 ab | 2.72 a | 2.80 a | 2.68 b | 2.44 b | 2.34 b | |
| 24 h | 2.11 b | 2.11 c | 2.03 c | 2.42 b | 2.64 b | 2.42 b | 2.33 b | 2.01 c | 1.84 c | |
| 48 h | 1.83 c | 1.91 d | 1.55 d | 1.79 c | 2.41 c | 2.12 c | 1.60 c | 1.69 d | 1.67 d | |
| ETo/RC | 0 h | 1.59 a | 1.38 a | 1.56 a | 1.55 a | 1.48 a | 1.47 a | 1.38 a | 1.56 a | 1.43 a |
| 4 h | 1.48 a | 1.22 b | 1.21 b | 1.13 b | 1.40 a | 1.39 a | 1.22 b | 1.21 b | 0.86 b | |
| 24 h | 1.22 b | 1.07 c | 0.91 c | 0.94 c | 1.29 b | 1.01 b | 1.07 c | 0.91 c | 0.81 b | |
| 48 h | 0.40 c | 0.38 d | 0.62 c | 0.68 c | 1.07 c | 0.79 c | 0.38 d | 0.62 c | 0.59 c | |
| DIo/RC | 0 h | 0.59 a | 0.54 a | 0.50 a | 0.59 a | 0.57 a | 0.55 a | 0.60 a | 0.52 a | 0.58 a |
| 4 h | 1.81 b | 1.96 b | 3.55 b | 2.08 b | 1.73 b | 2.08 b | 1.92 b | 1.06 b | 2.48 b | |
| 24 h | 5.37 c | 3.17 c | 3.67 b | 1.93 b | 1.82 b | 2.83 b | 12.11 c | 1.57 c | 8.94 c | |
| 48 h | 17.93 b | 15.53 d | 19.01 b | 12.40 c | 2.4 c | 3.97 c | 20.74 c | 16.49 c | 18.43 c | |
| RC/CS0 | 0 h | 309.49 a | 338.16 a | 333.60 a | 322.97 a | 337.83 a | 318.81 a | 314.83 a | 361.82 a | 330.61 a |
| 4 h | 317.62 a | 282.03 b | 303.69 a | 258.04 b | 299.57 a | 270.30 a | 262.83 b | 246.09 b | 181.67 b | |
| 24 h | 230.80 b | 277.51 b | 172.92 b | 242.12 b | 255.90 b | 201.19 b | 187.22 c | 150.25 c | 155.27 b | |
| 48 h | 41.45 c | 43.58 c | 49.89 c | 67.11 c | 225.90 c | 163.07 c | 35.86 d | 68.43 d | 76.04 c | |
Publisher’s Note: MDPI stays neutral with regard to jurisdictional claims in published maps and institutional affiliations. |
© 2021 by the authors. Licensee MDPI, Basel, Switzerland. This article is an open access article distributed under the terms and conditions of the Creative Commons Attribution (CC BY) license (https://creativecommons.org/licenses/by/4.0/).
Share and Cite
Mosadegh, H.; Trivellini, A.; Maggini, R.; Ferrante, A.; Incrocci, L.; Mensuali, A. In-Vivo In-Vitro Screening of Ocimum basilicum L. Ecotypes with Differential UV-B Radiation Sensitivity. Horticulturae 2021, 7, 101. https://doi.org/10.3390/horticulturae7050101
Mosadegh H, Trivellini A, Maggini R, Ferrante A, Incrocci L, Mensuali A. In-Vivo In-Vitro Screening of Ocimum basilicum L. Ecotypes with Differential UV-B Radiation Sensitivity. Horticulturae. 2021; 7(5):101. https://doi.org/10.3390/horticulturae7050101
Chicago/Turabian StyleMosadegh, Haana, Alice Trivellini, Rita Maggini, Antonio Ferrante, Luca Incrocci, and Anna Mensuali. 2021. "In-Vivo In-Vitro Screening of Ocimum basilicum L. Ecotypes with Differential UV-B Radiation Sensitivity" Horticulturae 7, no. 5: 101. https://doi.org/10.3390/horticulturae7050101
APA StyleMosadegh, H., Trivellini, A., Maggini, R., Ferrante, A., Incrocci, L., & Mensuali, A. (2021). In-Vivo In-Vitro Screening of Ocimum basilicum L. Ecotypes with Differential UV-B Radiation Sensitivity. Horticulturae, 7(5), 101. https://doi.org/10.3390/horticulturae7050101

