Next Article in Journal
Exogenous Trimethylamine N-Oxide (TMAO) Improves Apple Rootstock Drought Tolerance Through Physiological Modulation
Previous Article in Journal
Phytochemical Composition and Bioactivity of Different Fruit Parts of Opuntia robusta and Opuntia ficus-indica: Conventional Versus NADES-Based Extraction
 
 
Font Type:
Arial Georgia Verdana
Font Size:
Aa Aa Aa
Line Spacing:
Column Width:
Background:
Article

Sustainable Greenhouse Grape-Tomato Production Implementing a High-Tech Vertical Aquaponic System

by
Ioanna Chatzigeorgiou
1,2,
Maria Ravani
1,
Ioannis A. Giantsis
3,
Athanasios Koukounaras
2,
Aphrodite Tsaballa
1 and
Georgios K. Ntinas
1,*
1
Institute of Plant Breeding and Genetic Resources, Hellenic Agricultural Organization-DIMITRA (ELGO-DIMITRA), 57001 Thermi, Thessaloniki, Greece
2
Department of Horticulture, School of Agriculture, Aristotle University of Thessaloniki, 54124 Thessaloniki, Greece
3
Department of Animal Production, School of Agriculture, Aristotle University of Thessaloniki, 54124 Thessaloniki, Greece
*
Author to whom correspondence should be addressed.
Horticulturae 2026, 12(1), 100; https://doi.org/10.3390/horticulturae12010100
Submission received: 23 December 2025 / Revised: 13 January 2026 / Accepted: 15 January 2026 / Published: 17 January 2026

Abstract

Growing pressure on water resources and mineral fertilizer use calls for innovative and resource-efficient agri-food systems. Aquaponics, integrating aquaculture and hydroponics, represents a promising approach for sustainable greenhouse production. This study, aiming to explore alternative water and nutrient sources for greenhouse tomato production without compromising plant adaptability or yield, evaluated the co-cultivation of grape tomato and rainbow trout in a vertical decoupled aquaponic system under controlled greenhouse conditions. Two aquaponic nutrient strategies were tested: unmodified aquaponic water (AP) and complemented aquaponic water (CAP), with conventional hydroponics (HP) as a control, in a Deep Water Culture hydroponic system. Plant performance was assessed through marketable yield and physiological parameters, while system performance was evaluated using combined-biomass Energy Use Efficiency (EUE), Freshwater Use Efficiency (fWUE) and Nitrogen Use Efficiency (NUE), accounting for both plant and fish production. CAP significantly improved tomato yield (9.86 kg m−2) compared to AP (2.40 kg m−2), although it remained lower than HP (12.14 kg m−2). Fresh WUE was comparable between CAP and HP (9.22 vs. 9.24 g L−1), demonstrating effective water reuse. In contrast, EUE and NUE were lower in CAP, reflecting the additional energy demand of the recirculating aquaculture system and nutrient limitations of fish wastewater. These results highlight aquaponics as a water-efficient production system while emphasizing that optimized nutrient management and energy strategies are critical for improving its overall sustainability and performance.

Graphical Abstract

1. Introduction

Global warming, increased greenhouse gas emissions, fossil fuel and water scarcity, along with land degradation, are the consequences of the intensification of human activities driven by the growing demands of an expanding population. Agriculture accounts for approximately 70% of the global freshwater resources, being the main water user worldwide, while also being a major source of water pollution from nutrients, pesticides and other contaminants, leading to significant environmental costs [1]. Various international and regional regulatory frameworks have been developed to mitigate the impacts of environmental degradation, aiming to promote sustainable resource management [2,3]. Within these frameworks, the need to increase the production of safe and nutritious food to meet the growing demand of the expanding population is emphasized, along with the necessity for sustainable natural resource management [2,4].
Greenhouse production and particularly hydroponic cultivation represent a core component of controlled environment agriculture and offer a sustainable solution to contemporary horticultural challenges. By integrating advanced technologies, it enables reductions in environmental impact and improvements in resource use efficiency, which are critical priorities in the context of climate change and increasing pressure on natural resources [5,6]. Compared to conventional soil-based systems, hydroponic production provides multiple advantages, including increased crop yields, earliness and improved product quality, as well as enhanced water and nutrient use efficiency [7,8,9]. Moreover, hydroponic cultivation enables optimized growth by eliminating soil-related constraints and minimizing the need for pesticides through effective pathogen control [8]. These advantages make hydroponics an appealing crop cultivation method in controlled environments. However, hydroponic systems often require substantial amounts of fertilizers to meet the precise nutrient demands of plants in soilless systems, which can pose a significant environmental burden [3].
Aquaponics, a sustainable farming method integrating recirculating aquaculture and hydroponics, is increasingly recognized as a viable solution to address the environmental impacts of conventional agriculture and enhance food security [10]. In aquaponic systems, ammonia excreted by fish grown in a Recirculating Aquaculture System (RAS) is converted to nitrite and then nitrate with the help of Nitrosomonas and Nitrobacter autotrophic bacteria, respectively [11]. Accumulated dissolved nutrients gradually reach nutrient concentrations similar to those of a hydroponic nutrient solution, due to the minimum water exchange, making fish wastewater a viable alternative source of nutrient-rich water [12]. Fish wastewater from the RAS is then directed to a hydroponic cultivation system, where nutrients are absorbed by the plants, enabling the treated water to be recirculated back into the RAS with reduced nutrient concentrations that could otherwise be harmful to the fish. Aquaponic systems can sustain freshwater consumption and minimize mineral fertilizer use, while providing both marketable vegetable crops and fish [10,12,13].
Plant species such as lettuce and other leafy greens are commonly cultivated in aquaponic systems, while tomatoes represent the most prevailing fruit crop [14]. Among fish species, tilapia (Oreochromis niloticus) is the most widely used, followed by ornamental fish, whereas trout is less commonly reared [14]. The requirements of different fish species vary significantly, regarding factors such as water quality, temperature, solids removal and stocking density affecting both production costs and system design. The plant choice is closely related to the fish species selected, as factors mainly including water pH and nutrient requirements of the plants, along with the nutrient limits acceptable to the fish, need to be considered [15]. This is particularly relevant in coupled aquaponic systems, where the hydroponic unit is integrated into the RAS and fish wastewater is continuously recirculated [12]. The nutrient balance of the circulating solutions is another critical factor influencing the performance of aquaponic systems and determines the extent to which plant nutrient demands can be achieved without compromising fish health. Simulation modeling approaches have been proposed as essential tools to predict nutrient dynamics and optimize management strategies in aquaponics [16,17]. The need to independently control each subsystem and optimize production in both components has led to the development of decoupled aquaponic systems (or double recirculating aquaponic system—DRAPS), where the plant and fish units operate separately and water is not transferred from the plants to the fish [18,19].
Coupled aquaponic systems have been widely studied before in various combinations of fish and vegetables or fruit crops [20,21,22,23,24]. However, fewer studies have focused on decoupled aquaponic systems and most of the existing research has primarily evaluated tilapia farming. Monsees et al. [25] compared a decoupled and a coupled aquaponic system using tilapia and tomato plants, while Schmautz et al. [26] evaluated tomato productivity and quality across three hydroponic methods within the same fish–plant combination. Aslanidou et al. [27] compared a coupled and decoupled aquaponic system using tilapia along with parsley, basil, cucumber and tomato cultivation, finding that the decoupled system performed better in terms of yield across all plant species examined. Similar findings were reported by Suhl et al. [28] and Delaide et al. [29], who both compared decoupled aquaponic systems with conventional hydroponic units using African catfish and pikeperch, respectively, in tomato co-cultivation. Both studies reported no significant differences between the decoupled system and the hydroponic controls.
Farming of rainbow trout, a fish of significant economic interest in many European countries [30], has predominantly been combined with leafy vegetables [31,32,33], showing promising results in terms of marketable yield. The use of aquaponic water has generally favored leafy green productivity, particularly when combined with biostimulant applications. In contrast, limited evidence is available for fruiting crops. To our knowledge, rainbow trout has been combined with cherry tomato cultivation only once, under three different water salinity levels [34] in a haloponic system, where elevated salinity significantly reduced tomato yield, highlighting the sensitivity of fruiting crops to water quality constraints.
Considering the ever-growing global concern over water scarcity and environmental sustainability, this study evaluated the cultivation of a grape-tomato cultivar in combination with rainbow trout rearing within a vertical decoupled aquaponic system, aiming to explore alternative water and nutrient sources for greenhouse tomato production without compromising plant adaptability or yield. Two aquaponic configurations, a complemented aquaponic treatment and a plain aquaponic treatment, were evaluated primarily based on plant performance, including final marketable fruit yield and physiological responses, to assess crop adaptability under different nutrient regimes. Fish production data were also incorporated into the analysis through Resource Use Efficiency metrics (Energy Use Efficiency, Freshwater Use Efficiency and Nitrogen Use Efficiency), providing a holistic assessment of the system’s overall sustainability and productivity.

2. Materials and Methods

2.1. System Design and Growth Conditions

The experiment was conducted from October 2022 to June 2023 in a two-level pilot greenhouse located within the premises of the Sustainable Agricultural Structures and Renewable Energy Resources Lab (SASRER Lab), IPBGR, Hellenic Agricultural Organization-Dimitra, Thessaloniki, Greece (40°32′16.98″ N, 22°59′57.3684″ E). The greenhouse comprised a total area of 106.4 m2 aboveground for plant cultivation and 52.6 m2 underground for the Recirculating Aquaculture System (RAS), forming an integrated vertical decoupled aquaponic system (Scheme 1). The vertical decoupled aquaponic system was described in detail by [31].
Heating was provided by a heat pump to maintain an optimal air temperature of 20.0 ± 3.5 °C, while natural ventilation was achieved through roof vents. Both the roof vents and heat pump were regulated by a Programmable Logic Controller (PLC) system (PR-18DCDAI-R-N, Rievtech Electronic Co., Nanjing, China), which adjusted operations based on real-time air temperature measurements inside the greenhouse. Environmental parameters, including air temperature, air relative humidity (RH) and Photosynthetically Active Radiation (PAR), as well as external weather data, were continuously monitored by the PLC and recorded at 10 min intervals using a GP2 Data Logger (Delta-T Devices Ltd., Cambridge, UK). The water temperature, pH, Electrical Conductivity (EC) and Dissolved Oxygen (DO) in the rearing system were also continuously monitored using a PLC system and maintained at optimal levels. An air conditioning unit, set at 18.0 °C, regulated the air temperature of the underground rearing system. Consequently, the water temperature did not exceed 19.0 °C. The monitoring and control system, on both levels, ensured stable environmental conditions, supporting the health and growth of the aquatic and plant components in the aquaponic system.
Rainwater collected from the greenhouse gutters was utilized for both the RAS and hydroponic system. Approximately 8 m3 of water was continuously recirculating within the underground aquaculture system. The RAS consisted of two fish tanks, a buffer tank, a mechanical/biological filter (Combi Bio 15, ProfiDrum UK, Nottinghamshire, UK), a biological filter containing ceramic rings to facilitate the main nitrification process and two storage tanks (sumps). Each tank was provided with oxygen through an air pump (RB60-620, KAWAKE AIRVAC Co., Ltd., Taipei, Taiwan), operating intermittently based on dissolved oxygen sensor feedback, in order to maintain dissolved oxygen levels between 7 and 8 mg L−1. to maintain adequate oxygen levels. The water in the fish tanks was circulated within the rearing system via pipes and pumps, with a UV lamp (Helix Max 2.0 55 W, AB Aqua Medic GmbH, Bissendorf, Germany) used for water disinfection. Additionally, pipes and a pump connected the aboveground and underground areas of the greenhouse, enabling the controlled diversion of water from the RAS to the greenhouse cultivation tanks as needed, based on cultivation requirements.
Deep Water Culture (DWC) was selected as the hydroponic cultivation method, as its low infrastructure requirements and high buffering capacity [8] make it a robust system, allowing for tighter control over nutrient dynamics and minimizing operational errors, an important factor when the water source originates from fish rearing. Moreover, in contrast to open-loop drip systems that typically result in higher water consumption [8], or closed-loop media beds that may cause fluctuations in nutrient composition [35], DWC offers a practical balance between water-use efficiency and nutrient stability, aligning with the sustainability objectives of this study.
Inside the greenhouse, the DWC system was implemented using galvanized steel tanks, filled with nutrient solution (NS), prepared at different concentrations, resulting in three distinct treatments: Complemented Aquaponic (CAP), Aquaponic (AP) and Hydroponic/Control (HP). The standard hydroponic solution (HP) was prepared using rainwater as the primary source and formulated with the Nutrisense software (https://nutrisense.online/ (accessed on 15 October 2022)). Fish wastewater from the RAS was analyzed monthly to determine its nutrient composition. This wastewater was used either without modification as the Aquaponic treatment (AP) or enriched with mineral fertilizers to create the Complemented Aquaponic treatment (CAP), achieving nutrient concentrations equivalent to HP. The CAP treatment, resembling a decoupled aquaponic configuration, served as a substitute for a typical hydroponic setup, designed to evaluate whether fish wastewater could replace freshwater and reduce fertilizer demand without compromising plant performance. In contrast, the AP treatment represented a conventional coupled aquaponic configuration, where fish wastewater could potentially be recirculated back to the RAS. Similarly to HP, the CAP solution was also prepared using Nutrisense software, with the analyzed fish wastewater entered as the primary water source. Based on this input, the software calculated the additional nutrients required to match a standard tomato hydroponic solution. The fertilizers used for both the CAP and the control were weighed and mixed, using a magnetic stirrer, before added to the DWC tanks. To avoid altering the NS’s composition, pH was not adjusted in any of the treatments. Nonetheless, pH, EC and water temperature of the cultivation tanks were monitored weekly using a portable measuring device (HI-98129, Hanna Instruments, Inc., Woonsocket, RI, USA). Additionally, DO levels were regularly assessed with a portable oxygen meter (HI-9142, Hanna Instruments, Inc., Woonsocket, RI, USA) to ensure that oxygen availability in the root zone remained within acceptable levels for optimal plant growth. To maintain adequate oxygen and ensure uniform nutrient distribution, each tank was equipped with an independent water recirculation pump and an air pump, both operating continuously throughout the cultivation period. Water flow in the RAS and the DWC system is schematically presented in Scheme 2.

2.2. Plant and Fish Material

An indeterminate grape-tomato cultivar (Lycopersicon esculentum ‘Lobello F1’) was selected for the experiment due to its widespread consumption in Greece and its adaptability to various planting periods and growing conditions. Uniform healthy plantlets, averaging 15 cm in height and supplied by AGRIS Company (AGRIS, Kleidi Imathia, Greece), were transplanted into small net pots (51 mm in diameter) and subsequently placed into floating rafts of foam board, within the DWC system, allowing direct root contact with the NS. The seedlings were evenly distributed across the tanks, resulting in a density of 4 plants m−2.
Rainbow trout (Oncorhynchus mykiss) was chosen due to its status as the predominant freshwater species cultivated in Europe, coupled with its high market value, while being the most important reared fish in Greece [36]. At the onset of plant cultivation in the greenhouse, the fish had an average initial weight of 26.48 ± 1.64 g and an average length of 13.19 ± 0.27 cm. They were evenly distributed in the two fish tanks, each containing 150 fish, resulting in approximately 7.94 kg as the total initial fish biomass of the system. Fish were fed daily on a quantity corresponding to 1.3–1.8% of their total weight, depending on the fish weight growth. The feed (Optiline 1P S, Skretting, Stavanger, Norway) contained 44.0–41.0% protein, 22.0–24.0% fat, 3.0% fiber, 7.5–7.0% ash and 1.2–1.1% phosphorus according to the supplier and depending on the different pellet sizes provided on each growth stage of the fish. Weight samples were frequently taken to ensure that the total fish weight would not exceed 10–12 kg per tank.

2.3. Crop Evaluation

The applied treatments were primarily evaluated based on marketable fruit yield, on Fresh Weight (FW) (g m−2), which served as the key indicator of cultivation performance. However, a further analysis was conducted to gain deeper insights into plant adaptation by incorporating photosynthetic activity assessments, along with Chlorophyll Content Index (CCI) and chlorophyll fluorescence measurements.
Tomato fruit harvest began 84 Days After Transplanting (DAT) and was conducted weekly until the end of the experiment. On each harvest day, marketable fruits at the light red to red maturity stages (Stages V and VI), according to the USDA (United States Department of Agriculture) color classification, were harvested, counted and weighted per plant.
Flowers were counted weekly (though not recorded), and excess flowers were pruned to maintain 12–14 flowers per truss, as specified in the cultivar’s documentation. Regarding plant growth, height measurements were taken periodically from the base of the shoot to the terminal growing point. Additionally, total plant biomass per treatment was determined by summing the weight of leaves removed throughout the production period and the stem weight, which was recorded on the final day of the experiment.
A portable infrared gas analyzer (LCi-SD Portable Photosynthesis System, ADC BioScientific Ltd., Hoddesdon, UK) was used to determine photosynthetic rate (A—μmol m−2 s−1), transpiration rate (E—mmol m−2 s−1) and stomatal conductance (gs—mmol m−2 s−1). Measurements were conducted in situ, at seven different time points throughout the cultivation period. Each time, 6 randomly selected plants per treatment were measured on the youngest fully expanded leaf, under full sunlight.
Leaf CCI was determined using a non-destructive method with a portable chlorophyll meter (CCM-200 plus, Opti-Sciences, Hudson, NH, USA). Three measurements were taken, in situ, at different time points throughout the cultivation period, with 20 randomly selected leaves per treatment measured each time. Readings were taken on the central point of the youngest fully expanded leaf, between the midrib and the leaf margin, ensuring uniformity in measurement. Results provide the relative chlorophyll content, as the ratio between transmittance at 931 nm to 653 nm, expressed as a percentage (%).
Chlorophyll fluorescence measurements were conducted four times during the cultivation period, at different time points. Each time, readings were taken after 15 min of dark adaptation, on the youngest fully expanded leaf of 6 randomly selected plants per treatment. A pocket Plant Efficiency Analyzer (PEA) chlorophyll fluorometer (Hansatech, King’s Lynn, UK), along with the manufacturer-supplied software (PEA Plus 1.0.0.1 Hansatech), was used to determine the maximal quantum yield of PSII photochemistry (Fv/Fm), which was automatically calculated by the instrument.

2.4. System Sustainability Assessment

Resource use efficiency indicators, including the combined biomass-based Freshwater Use Efficiency (fWUE), Energy Use Efficiency (EUE) and Nitrogen Use Efficiency (NUE), were assessed to evaluate the integrated performance and sustainability of the system as a whole, encompassing both plant and fish production as a single functional unit. This whole-system approach reflects the inherently integrated nature of aquaponic systems, as widely adopted in the literature.
Fresh WUE was the primary indicator for assessing the effectiveness of water reuse and its contribution to the system’s sustainability. Nitrogen Use Efficiency (NUE) was calculated to evaluate the impact of reduced mineral nitrogen fertilizer inputs on crop productivity, while EUE was used to assess the energetic cost associated with the operation of the integrated system.
Freshwater and energy use efficiencies were calculated (Equation (1)) at the system level, treating each aquaponic configuration as a unified production system. This approach captures the integrated performance of aquaponic systems, where water is reused across trophic levels and contributes simultaneously to plant and fish production. This methodology reflects the way aquaponic systems are functionally designed and evaluated, providing a holistic assessment compared to conventional hydroponic production. Water and Energy Use Efficiency were expressed as the ratio of total produced output to the corresponding resource input, as follows:
RUE   =   FWplants   +   FWfish   kg Input   L   or   kWh ,
For the aquaponic treatments (AP and CAP), system output was defined as the combined fresh biomass, calculated as the sum of the fresh weight (FW) of marketable tomato fruits per treatment and the net increase in fish biomass during the cultivation period. This combined output was selected to capture the dual-production character of aquaponic systems and to enable a holistic comparison with the hydroponic control. For the hydroponic treatment (HP), output was limited to the FW of marketable tomato fruits, as no fish production was involved.
Inputs, measured in liters (L) for Freshwater Use Efficiency (fWUE) and in kilowatt-hours (kWh) for Energy Use Efficiency (EUE), are presented in Table 1.
Water input was assessed at the system level, explicitly accounting for freshwater inputs only, in order to quantify the effectiveness of water reuse within the aquaponic configurations. For the AP and CAP treatments of the DWC, the system operated was integrated with the RAS. Within this configuration, water was continuously recirculated internally between fish tanks and filtration units, as well as the plant cultivation tanks, depending on the plants’ needs. The initial amount of freshwater needed to operate the RAS was accounted for, as well as all subsequent freshwater additions required to compensate for consumptive losses, primarily resulting from plant water uptake and evapotranspiration in the DWC unit. Water transferred from the RAS to the plant cultivation tanks was considered consumed only when it resulted in a net reduction in system water volume and therefore required replenishment with freshwater in the RAS to maintain constant operating levels. Plant water consumption was quantified based on measured reductions in water level in the cultivation tanks. Each volume of water consumed by the plants was assumed to be fully replaced by freshwater input to the RAS.
Energy input for the AP and CAP treatments included the total electrical energy consumed by both the fish rearing system and the greenhouse cultivation infrastructure, reflecting the integrated operation of the aquaponic system. In contrast, energy input for the HP treatment accounted solely for greenhouse cultivation, as no aquaculture components were present. Differences in total energy input between the two fish-including treatments resulted from variations in the cultivation period. Energy consumption was recorded using kilowatt-hour meters installed in both the fish rearing system and the greenhouse.
Nitrogen Use Efficiency (NUE) was calculated (Equation (2)) as the Partial Factor Productivity (PFP) of the applied nitrogen [28,37] for the CAP and HP treatment. It was determined using the ratio of harvested marketable fruit yield (Y—yield in kg ha−1) to the amount of nitrogen in the applied nitrogen fertilizers (F—fertilizers in kg ha−1):
PFP   =   Y   ( kg   ha 1 )   F   ( kg   ha 1 )
The fruit yield of each treatment was converted into kilograms (kg) and scaled to hectares (ha). Similarly, nitrogen was determined in the total amount of applied fertilizers and scaled per hectare (Table 1).

2.5. Water Sampling and Analysis

Water samples were collected from the fish rearing system approximately once a month throughout the cultivation period to assess nutrient concentrations. Samples were infiltrated and analyzed using an inductively coupled plasma–optical emission spectrometry (ICP-OES) instrument (Avio 220 Max ICP-OES Scott/Cross-Flow Configuration, PerkinElmer, Shelton, CT, USA) to quantify all micro- and macronutrients, excluding nitrogen compounds.
Nitrogen analysis focused on nitrate (NO3) determination, as preliminary measurements conducted prior to the experiment consistently showed negligible concentrations of ammonium and non-detectable levels of nitrite in the fish wastewater, indicating that nitrification bacteria were well established in the system. Based on these results, further routine monitoring of ammonium and nitrite during the experiment was deemed unnecessary, along with adjustments to the NS regarding ammonium. Nitrate concentrations were measured using a spectrophotometer by assessing absorbance at two distinct wavelengths (210 nm and 275 nm) in a solution of 50 mL of the water sample with 1 mL of hydrochloric acid (HCl), according to the APHA 4500-NO3 B method.

2.6. Foliar Analysis

Foliar analysis was performed three times during the cultivation period to provide more complete information on nutrient uptake and plant adaptation to the different NSs. The youngest, fully expanded leaves of every treatment plant were pooled to create 6 replications per treatment. Plant tissue samples were thoroughly rinsed with tap water followed by distilled water, then oven-dried at 68 °C for 48 h before being finely ground. A portion of the ground material (1 g) was subjected to dry ashing in a muffle furnace at 515 °C for 5 h. The resulting ash was dissolved in 5 mL of 6 N HCl and subsequently diluted with distilled water to a final volume of 50 mL. For macronutrient analysis, a 2 mL aliquot of this solution was further diluted to 50 mL with distilled water. The concentrations of phosphorus (P), potassium (K), calcium (Ca), magnesium (Mg), iron (Fe), manganese (Mn), zinc (Zn) and copper (Cu) were quantified using inductively coupled plasma optical emission spectrometry (ICP-OES). Total nitrogen (N) content was determined using the Kjeldahl method. Macronutrient concentrations were expressed as a percentage of dry weight (DW), whereas micronutrient concentrations were reported in parts per million (ppm or mg kg−1).

2.7. Statistical Analysis

For statistical analysis, 20 plants per treatment were taken into consideration. All data collected were initially subjected to data normality assessment using both the Shapiro–Wilk and Kolmogorov–Smirnov tests. Since all datasets met the assumption of normality, one-way analysis of variance (ANOVA) was conducted, followed by Tukey’s HSD post hoc test for pairwise comparisons. Mean comparisons were considered statistically significant at p ≤ 0.05. Statistical analyses were conducted using the IBM SPSS Statistics (version 28.0; IBM Corp, Armonk, NY, USA), while GraphPad Prism (Version 10.4.1 (627); 1992–2024 GraphPad Software LLC, Boston, MA, USA) was used for data visualization.
Foliar analysis was performed three times during the experiment, and the results were evaluated using two approaches: (1) comparing the three treatments at each time point to assess differences between them, and (2) comparing the three time points within each treatment to examine the progression of nutrient uptake over time.
Measurements of photosynthesis, CCI and fluorescence, which were taken at multiple time points throughout the cultivation period, were not analyzed across time points. This was due to the influence of diurnal variations, which could introduce inconsistencies, making temporal comparisons unreliable.

3. Results and Discussion

Cultivation lasted approximately nine months, from October 2022 to June 2023, regarding plants in the CAP and HP treatments. In AP treatment, due to critical nutrient deficiencies, plants completely collapsed by the end of May, while severe, irreversible deterioration was noted before. The average greenhouse temperature throughout the cultivation period was 19.86 °C, reaching as low as 10.2 °C in December and as high as 31.3 °C in June. The corresponding outdoor temperatures were 13.4 °C (average), −5.29 °C (minimum) and 36.75 °C (maximum) (Figure A1 and Table A1).

3.1. Nutrient Solution

At the beginning of the experiment, fish wastewater—characterized by high NO3 saturation due to the absence of prior water exchange—was analyzed to quantify nutrient concentrations and facilitate the appropriate adjustment of the CAP NS. Electrical conductivity and pH of the fish wastewater were measured at 0.62 mS cm−1 and 6.61, respectively. The initial composition of the nutrient solution applied to all treatments at the beginning of the experiment is presented in Table A2. Nitrate was identified as the predominant nutrient, with concentrations of nearly 120 mg L−1. Approximately, 5% of the fish wastewater was diverted weekly to the DWC system and refilled with freshwater, leading to maintaining NO3 of the RAS at 159.53 ± 57.11 mg L−1.
Fish wastewater was utilized as is for the AP treatment, while for the CAP treatment, it was supplemented with fertilizers to approximate the nutrient concentrations of the HP treatment. A vegetative nutrient solution was applied in the HP and CAP treatments until early December, after which it was replaced with a formulation suitable for the fruiting stage. Nitrates derived from the RAS covered approximately 21% of the total nitrate needs. However, achieving full nutrient equivalence to HP concentrations in both vegetative and fruit-setting NSs proved challenging due to the inherent ion imbalance of the fish wastewater. This imbalance hindered the precise adjustment of nutrient levels in the CAP treatment, resulting in 4% total savings in nitrogen fertilizers applied, and in varying degrees of deviation from the control, as evident from the average presented in Table 2 and the statistically significant differences in most of the examined macronutrients. Additionally, NO3 concentrations in the CAP treatment experienced a sharp increase in March, due to a short system imbalance on the RAS that led to NO3 overaccumulation. The discrepancy between the CAP and HP treatments in NO3 concentrations gradually diminished over the following month. A comparison of the average phosphorus concentration in the nutrient solution between the CAP and HP treatments indicates only minor differences on average. However, phosphorus levels in the CAP nutrient solution were slightly higher during the vegetative phase but lower during the fruit-setting phase. Micronutrients are also presented in Table 2, providing a general overview of their concentrations. Reported NO3 concentrations of the aquaponic wastewater, in a rainbow trout RAS, may vary significantly, ranging from as low as 4.61 mg L−1 [33] to 314 mg L−1 [21] and even 627 mg L−1 [32] depending on factors such as fish growth stage, stocking density and feeding regimen [21,23]. The NO3 concentrations recorded in the present study align more closely with those reported by Aguirre et al. [20] in a strawberry aquaponic cultivation. However, other nutrients, such as phosphorus (P), potassium (K+) and calcium (Ca2+), were found at considerably lower levels. Specifically, phosphorus (P2O5—P) in fish wastewater had an average concentration of 0.90 ± 0.41 mg L−1, while potassium (K+) was at 3.61 ± 1.15 mg L−1 (Table 2).
Electrical conductivity and pH, as measured weekly, indicated a mild reduction in pH values, while EC increased from 1.54 and 1.58 mS cm−1, respectively, for HP and CAP in the vegetative stage, to 2.22 and 2.67 mS cm−1 in the fruit-set NS. PH dropped to as low as 4.63 in HP and 4.27 in CAP, while the average pH was lower in CAP throughout the experiment. Aquaponics’ treatment pH varied from 5.02 to 6.33. Despite the observed variations and the absence of a pH buffer solution, all recorded pH values remained within the acceptable range of 4 to 7, as reported by Bugbee [38]. However, the relatively low pH values in the present study, combined with imbalances of the NS and lower nutrient availability in the AP treatment, may have ultimately influenced plant nutrient uptake and total fruit yield.

3.2. Foliar Nutrient Analysis

Foliar analysis, conducted at three distinct time points of the fruiting stage, provided valuable insights into plant adaptability across the three applied treatments (Figure 1A and Table A3). Nitrogen (N) uptake and assimilation by the plants are closely aligned with the temporal variations in NO3 concentrations in the NS. As expected, both the CAP and HP treatments exhibited significantly higher nitrogen levels compared to the AP treatment at all time points, reflecting the substantially lower NO3 concentration in the aquaponic NS. Notably, nitrogen concentration in the leaves of the CAP treatment was significantly higher than in the control (HP) at the second time point, likely due to the temporary spike in NO3 levels observed in the CAP nutrient solution during March and early April. Phosphorus (P) concentrations were significantly lower in the AP treatment, as expected based on the NS composition. Additionally, phosphorus levels in plant leaves were significantly higher in the CAP treatment compared to the HP, at the second and third time points, in contrast with phosphorus concentration in the nutrient solution. The observed phosphorus accumulation in plant tissues implies a possible higher phosphorus removal rate in CAP plants than in HP plants, aligning with findings from Yang et al. [22]. Potassium (K) concentrations also corresponded closely to NS levels, which remained relatively equal between the CAP and HP treatments but were significantly lower in the AP NS. In contrast, despite the differences observed in the nutrient solution, calcium (Ca2+) uptake and accumulation in plant leaves did not significantly differ among treatments at any time point. This finding may be attributed to the timing of leaf sampling, which coincided with the fruit-setting stage, a phase in which tomato plants require less calcium compared to the vegetative stage [38]. Consequently, the Ca2+ concentration in the AP NS may have been sufficient to meet the plant’s physiological demands at that stage. Similarly, while magnesium (Mg2+) levels were significantly lower in the AP nutrient solution, foliar Mg concentrations were significantly higher in the AP treatment compared to CAP and HP. In plant cells, Mg2+ plays a crucial role in respiration and photosynthesis and is an integral component of the chlorophyll molecule’s ring structure [39]. Under stress conditions, magnesium absorbed by the roots may not be fully utilized for chlorophyll synthesis or photosynthesis, leading to its accumulation in plant tissues. Additionally, stress-induced chlorophyll breakdown can release magnesium, which remains unbound within the cells [39]. This combination of reduced metabolic demand and chlorophyll degradation likely explains the elevated magnesium concentrations observed in AP plants grown under the stress of long-term nutrient deficiency.
Overall, plant nutrient uptake decreased significantly over time across all treatments, with the most pronounced reduction observed at the end of the experiment (Figure 1B). These findings contrast with those of Schmautz et al. [26], who reported an increase in nutrient uptake over time. The observed decline in nutrient uptake may be attributed to extremely low DO levels (0.8–1.5 mg L−1) in the cultivation tank towards the end of the experiment. This reduction in DO, likely resulting from excessive root growth, may have impaired root respiration and subsequently reduced active nutrient transport. Nonetheless, most macronutrient concentrations in the CAP treatment were within the optimal nutrient range as defined by Bugbee and Neokleous [38,40] and were comparable to those in the HP treatment. Despite the low nitrate concentration in the AP NS, no nitrogen deficiency symptoms were observed in the leaves, as total nitrogen concentrations were within the reported levels. However, plants grown in AP exhibited severe potassium deficiency, which is critical during the fruit-setting stage.
Plants grown in the coupled aquaponic system developed by Monsees et al. [25] showed slightly higher average nutrient concentrations compared to their decoupled aquaponic system, in contrast to the present study, in which plants of the CAP demonstrated a significantly higher nutrient concentration than the plants grown in the AP system. The differences in nutrient uptake between the studies may be attributed to variations in nutrient solution composition and the use of different hydroponic systems, which likely influenced nutrient availability and plant uptake efficiency.

3.3. Plant Growth and Yield

All transplanted plants had an average initial height of 0.15 m. By the end of the experiment, they reached heights of 4.82 m, 5.19 m and 3.47 m for the HP, CAP and AP treatments, respectively. Plants grown in the CAP consistently exhibited greater heights compared to those in the HP throughout the duration of the experiment (Figure A2). Notably, AP plants were taller than the control HP plants during the first trimester; however, they were significantly thinner. Consistent with the observed plant height, the total fresh weight of the plant shoot was also marginally higher in CAP than in the HP treatment, with values of 81.74 kg and 70.66 kg, respectively. In contrast, the total fresh weight of the AP cultivation was only 6.23 kg, clearly demonstrating the inadequacy of the AP plants in supporting optimal growth. No significant differences were observed in flowering time among treatments, with flowering evenly occurring approximately one week after transplanting.
Plants grown in CAP developed fruits up to the 25th truss on average, closely matching the HP plants, which reached the 24th truss. Conversely, plants cultivated in the AP nutrient solution only reached the 14th truss on average, indicating a significantly lower fruiting potential compared to the other treatments. Harvesting commenced at 77 DAT for the AP treatment and at 83 DAT for both CAP and HP.
Despite comparable plant growth between the CAP and HP treatments, the average total marketable yield per plant differed significantly (Figure 2A), with CAP yielding in total 18.78% less than HP. Specifically, CAP produced 9.86 kg m−2, while HP produced 12.14 kg m−2. Plants in the AP treatment produced only 2.40 kg m−2. All reported yields were lower than those observed by Schmautz et al. [26] in a DWC aquaponic cherry tomato cultivation, likely due to differences in fish species selection and nutrient solution conditions, as indicated by the higher EC reported in their study. Direct comparisons with other studies regarding fruit yield cannot be made consistently due to variations in experimental conditions. However, regarding the general comparison, several studies have reported no significant differences between a decoupled or a complemented aquaponic system and a standard hydroponic system [24,27,29], contrary to our findings. A possible explanation for this could be the higher nitrogen fertilization applied to the CAP plants of the present study, during the fruit-setting stage, due to a mishandling of the RAS that led to NO3 overaccumulation, as well as the ion imbalance inherited from the fish wastewater. Increased nitrogen fertilization is known to promote vegetative growth, thereby hindering carbohydrate accumulation and fruit formation, also causing the delay of fruit ripening and reduce of the total fruit yield [41]. The total fruit number produced per treatment supports this explanation, as the differences between the number of tomatoes produced by the CAP and HP treatments were not statistically significant (Figure 2B). This suggests that while the CAP treatment produced a similar number of fruits to the control, they were significantly smaller in average weight compared to those from the HP treatment. It has to be also stated that, in line with the usual practice of rainbow trout farming in Greece, which is mostly composed of small family businesses that rarely use antibiotics, solely for disease treatment and never as growth promoters [30], we did not use antibiotics in our experimentation. Particularly, fish rearing was conducted under controlled environmental conditions, without the application of antibiotics throughout the experimental period, whereas no sign of bacterial infection was observed in fish during this period. Thus, potential impacts on crop safety were not determined in our study.

3.4. Physiological Parameters

Photosynthetic parameters, including photosynthetic rate (A—μmol m−2 s−1), transpiration rate (E—mmol m−2 s−1) and stomatal conductance (gs—mmol m−2 s−1), were taken at seven timepoints during the cultivation period (Figure 3). The results provide sufficient evidence to support the observed total fruit yield, particularly for the AP treatment, which not only yielded the lowest but also exhibited a significantly lower photosynthetic rate, transpiration rate and stomatal conductance at almost every time point. In contrast, although the CAP and HP treatments showed significant differences in total fruit yield, their photosynthetic parameters did not consistently differ significantly from each other across the various time points. Photosynthetic rate might be high enough, without fruit yield necessarily increasing, if photosynthetic assimilates are not effectively transported to the reproductive organs (fruits). This may occur due to competition of fruits with other plant organs, such as leaves or stems, for assimilates, which can occur if growth conditions favor vegetative growth (e.g., high nitrogen availability) [39].
Chlorophyll Content Index reflects the chlorophyll concentration in plant leaves, which is closely linked to photosynthetic capacity and overall plant health. Typically, higher CCI values indicate greater chlorophyll content and potential for photosynthetic activity, while a decline in CCI suggests stress-induced chlorophyll degradation or impaired synthesis [42]. Values recorded at the second time point are particularly revealing of the overall stress condition in AP plants, showing significantly lower measurements compared to CAP and HP treatments (Figure 4). Additionally, the third time point highlights subtle differences between CAP and HP treatments, which contrast with the photosynthetic rate measurements taken on the same day and the corresponding foliar analysis regarding total nitrogen concentration. This suggests that CAP plants likely utilized chlorophyll more efficiently for photosynthesis. In a Soil and Plant Analyzer Development (SPAD) measurement by [24], chlorophyll content in the aquaponic treatment was significantly lower than the hydroponic treatment, consistent with the results observed at the second time point of the present study, although the difference was more pronounced in the latter.
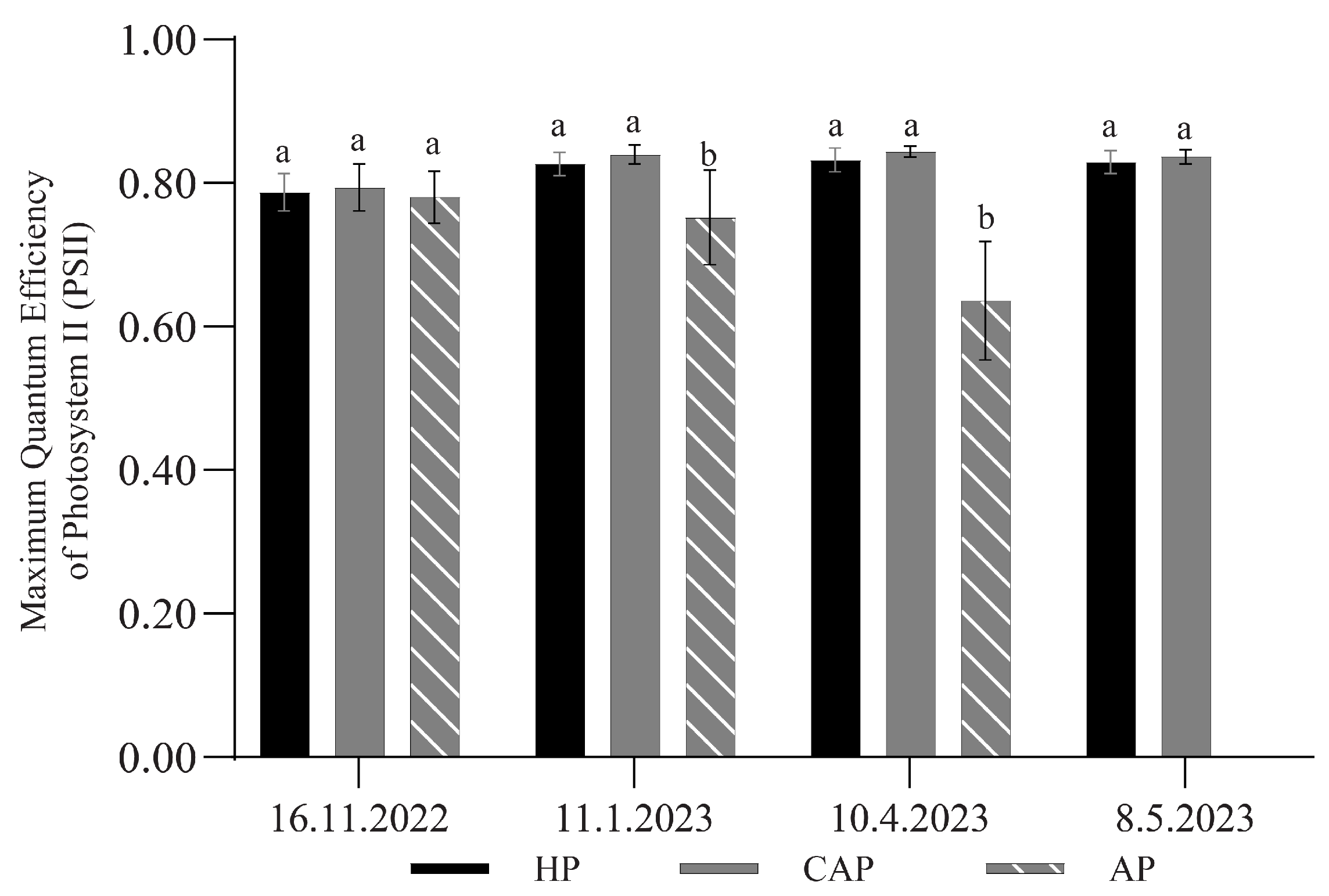
The Fv/Fm ratio serves as an effective indicator for assessing the functionality of PSII in plants subjected to environmental stress. This ratio compares the fluorescence level of a dark-adapted leaf before photosynthesis begins -minimum fluorescence (Fo)—with the peak fluorescence level (Fm), which occurs when a saturating light source has closed the maximum number of reaction centers. The variable fluorescence (Fv) is calculated as the difference between maximum and minimum fluorescence. Typically, increased plant stress leads to fewer open reaction centers, resulting in a reduced Fv/Fm ratio [43]. A comparison of Fv/Fm ratio data in the present study (Figure 5) reveals an increasing stress condition in the AP treatment over the measured time points. This stress is statistically significant compared to the CAP and HP treatments, which do not differ from each other and show no indications of stress.
In summary, the physiological parameters measured throughout the cultivation period indicate that plants grown in the CAP nutrient solution did not experience stress and possessed the potential to achieve yields comparable to those of the HP treatment. In contrast, plants grown in the AP nutrient solution exhibited severe nutrient deficiencies, leading to significant stress and substantially lower yields.

3.5. System Sustainability Assessment

An aquaponic system requires additional water and energy inputs compared to conventional hydroponics due to the demands of the recirculating aquaculture system (RAS). However, it simultaneously offers the added benefit of crop and fish production with no additional freshwater use and with minimal fertilizer application. In the present study, assessing water and energy use efficiency by considering both outputs -fruit yield and fish production- provides a comprehensive evaluation of resource utilization of the whole system, offering valuable insights into the overall efficiency and sustainability of the system.
Fresh WUE (g L−1) was similar in HP (9.24 g L−1) and CAP (9.22 g L−1), suggesting that the simultaneous production of fish can offset the increased water consumption, despite the lower total fruit yield in CAP compared to HP (Table 3). Nonetheless, AP treatment exhibited a significantly lower fWUE (5.50 g L−1), due to its substantially reduced fruit yield, indicating that fish wastewater alone is insufficient to support fruit plant growth in the absence of adequate nutrient supply. Direct comparison with previously published fWUE values is challenging due to substantial methodological differences in how water use efficiency is defined and calculated across studies. For instance, Suhl et al. [28] also reported similar levels of fWUE between decoupled aquaponic systems and hydroponic controls; however, in that study, fWUE for crop production was calculated exclusively based on marketable plant yield per unit of freshwater input, while fish production and RAS water use were evaluated separately. Similarly, Aslanidou et al. [27] applied a dual approach, calculating WUE separately for tomato production in coupled and decoupled aquaponic systems and fish growth, pointing out that the coupled aquaponic system had the highest crop WUE.
Despite integrating fish production, the CAP treatment exhibited lower EUE (22.75 g kWh−1) compared to the HP treatment (53.78 g kWh−1), while the AP treatment recorded the lowest value (14.92 g kWh−1) (Table 3). These results suggest that the significantly higher energy consumption associated with operating the RAS was not sufficiently offset by the combined output of fish biomass and tomato yield. As a result, the total EUE of the aquaponic system (in both CAP and AP treatments) remained substantially lower compared to the hydroponic control. Similar trends have been consistently reported in previous studies, where electricity demand for water recirculation, aeration and pumping has been identified as a major environmental hotspot in aquaponic and other RAS-based systems [21,44]. In fact, electricity may account for up to 50% of total global warming potential in such systems [44], underscoring that improving energy efficiency and transitioning toward renewable energy sources are key priorities for the sustainable development of aquaponics.
Regarding NUE, the HP treatment exhibited slightly higher values compared to CAP, while this index was not calculated for the AP treatment due to the lack of external nitrogen input. The lower NUE in CAP compared to HP suggests that while CAP received additional nutrients from fish wastewater and required less external nitrogen fertilization, the significantly reduced yield was not sufficient to balance the lower external nitrogen input. Considering total mineral fertilizer application, decoupled aquaponics of Aslanidou et al. [27] and Suhl et al. [28] demonstrated greater mineral fertilizer use efficiency compared to the control, which also contradicts the present study’s findings on nitrogen use efficiency. Different fish species, leading to different accepted nutrient limitations in the fish wastewater may explain the observed differences.
Overall, the results indicate that a decoupled aquaponic system can match hydroponics in WUE when fish production is accounted for but remains energy-intensive unless RAS energy demands are effectively addressed. Nonetheless, a comprehensive evaluation of aquaponic systems should also consider economic parameters, including equipment, labor and energy costs. Such factors should be carefully addressed in future studies, particularly at larger or commercial scales, to complement environmental and agronomic assessments.

4. Conclusions

In the present study, cultivation of a grape-tomato cultivar in combination with rainbow trout rearing within a vertical decoupled aquaponic system was evaluated, aiming to identify alternative water and nutrient sources for sustainable greenhouse production. To our knowledge, this specific combination of plant-fish has not been previously studied. Integrating rainbow trout into an aquaponic system was shown to supply approximately 21% of the crop nitrogen demand; however, the inherent ionic imbalance of fish wastewater necessitated additional fertilizer inputs to sustain plant productivity. Plants grown under the AP treatment exhibited significantly lower yields and, more critically, severe nutrient-deficiency stress that ultimately led to plant collapse. Complemented aquaponic plants yielded 18.78% less than the control (HP—hydroponic), yet physiological measurements indicated the absence of stress and the potential for achieving optimal productivity under improved nutrient management. More importantly, CAP plant production relied exclusively on water reuse from the RAS, with no additional freshwater input to the cultivation. Resource Use Efficiency emerged as a key factor in system performance and evaluation. While CAP effectively utilized fish wastewater as an alternative water source, achieving fWUE comparable to the HP, its energy demand was substantially higher, reflecting the additional requirements of operating the RAS. This highlights the need for future strategies focused on energy optimization and the integration of renewable energy sources. Overall, this study represents a meaningful step toward integrating indoor fish farming of economic value with high-value crop production, clearly demonstrating both the challenges and opportunities of aquaponic systems. These findings contribute to the ongoing exploration of decoupled aquaponic systems, offering a basis for further refinement and innovation.

Author Contributions

Conceptualization, G.K.N.; methodology, I.C.; validation, I.C. and M.R.; formal analysis, I.C.; investigation, I.C. and M.R.; resources, G.K.N. and A.T.; data curation, I.C. and M.R.; writing—original draft preparation, I.C.; writing—review and editing, G.K.N., A.K. and I.A.G.; visualization, I.C.; supervision, A.T., A.K. and G.K.N.; project administration, A.T. and G.K.N.; funding acquisition, G.K.N. All authors have read and agreed to the published version of the manuscript.

Funding

This research has been co-funded by the European Regional Development Fund of the European Union and Greek national funds through the Operational Program Competitiveness, Entrepreneurship and Innovation, under the call RESEARCH—CREATE—INNOVATE (project code: T1EDK-00756).

Institutional Review Board Statement

The Ethics approval for the experimental use of the rainbow trout (Oncorhynchus mykiss) was granted by the University of Western Macedonia local ethics committee given the protocol code 101, whereas fish receipt was confirmed by the Department of Aquaculture Development, Greek Ministry of Rural Development and Food, Decision number 167/41275/02–06-2022.

Data Availability Statement

The original contributions presented in this study are included in the article. Further inquiries can be directed to the corresponding author.

Acknowledgments

We gratefully acknowledge Pella state hatchery (Hydrobiological station of Pella) for providing the fish used in this study, and AGRIS Company (AGRIS, Kleidi, Imathia, Greece) for supplying the tomato plantlets. We also extend our thanks to Areti Bountla, Institute of Soil and Water Resources of ELGO-DIMITRA (Thermi, Greece), for assisting with the water sampling and foliar analyses throughout the experiment. The authors have reviewed and edited the output and take full responsibility for the content of this publication.

Conflicts of Interest

The authors declare no conflicts of interest. The funders had no role in the design of the study; in the collection, analyses, or interpretation of data; in the writing of the manuscript; or in the decision to publish the results.

Abbreviations

The following abbreviations are used in this manuscript:
NSNutrient Solution
ECElectrical Conductivity
HPHydroponic
CAPComplemented Aquaponic
APAquaponic (plain)
RUEResources Use Efficiency
fWUEFreshwater Use Efficiency
EUEEnergy Use Efficiency
NUENitrogen Use Efficiency

Appendix A

Figure A1. Average daily greenhouse and outdoor temperature (°C) during the cultivation period.
Figure A1. Average daily greenhouse and outdoor temperature (°C) during the cultivation period.
Horticulturae 12 00100 g0a1
Table A1. Monthly greenhouse and ambient temperature (°C mean ± SD) during the cultivation period.
Table A1. Monthly greenhouse and ambient temperature (°C mean ± SD) during the cultivation period.
Average Monthly Temperature (°C)
GreenhouseAmbient
Oct21.06 ± 5.5416.42 ± 4.55
Nov18.63 ± 5.3215.37 ± 4.36
Dec17.55 ± 3.1010.8 ± 3.72
Jan18.96 ±3.389.61 ± 4.26
Feb19.33 ± 2.967.85 ± 5.98
Mar19.25 ± 2.3811.49 ± 4.15
Apr20.04 ± 2.8013.89 ± 3.93
May20.30 ± 2.7918.00 ± 3.60
Jun23.72 ± 3.0823.69 ± 4.66
Table A2. Initial nutrient solution composition applied in the hydroponic (HP), complemented aquaponic (CAP) and aquaponic (AP) treatments at the beginning of the experiment. Values represent measured concentrations used to establish treatment-specific nutrient profiles.
Table A2. Initial nutrient solution composition applied in the hydroponic (HP), complemented aquaponic (CAP) and aquaponic (AP) treatments at the beginning of the experiment. Values represent measured concentrations used to establish treatment-specific nutrient profiles.
Initially Applied Nutrient Solution
TreatmentHPCAPAP
Electrical Conductivity (EC—mS cm−1)2.482.130.62
pH5.056.236.61
Macronutrients (mg L−1)
Nitrate (NO3)661.75542.23119.93
Phosphorus (P2O5—P)32.7039.440.88
Potassium (K+)167.38158.511.44
Calcium (Ca2+)76.9693.4731.19
Magnesium (Mg2+)46.4536.627.67
Micronutrients (mg L−1)
Iron (Fe)0.910.92Non-detectable
Zinc (Zn)0.821.190.08
Manganese (Mn)0.100.110.01
Figure A2. Mean (±SD) of plant height at five time points regarding the different treatments (HP—Hydroponics, CAP—Complemented Aquaponic, AP—Aquaponic).
Figure A2. Mean (±SD) of plant height at five time points regarding the different treatments (HP—Hydroponics, CAP—Complemented Aquaponic, AP—Aquaponic).
Horticulturae 12 00100 g0a2
Table A3. Leaf mineral concentrations (Macronutrients—% and Micronutrients—ppm), as means ± SD per time point, for Complemented Aquaponics (CAP) and Aquaponics (AP) treatments, in comparison to a standard Hydroponic solution (HP/Control).
Table A3. Leaf mineral concentrations (Macronutrients—% and Micronutrients—ppm), as means ± SD per time point, for Complemented Aquaponics (CAP) and Aquaponics (AP) treatments, in comparison to a standard Hydroponic solution (HP/Control).
Time PointTreatmentMacronutrients (%)Micronutrients (ppm)
NPKCaMgFeZnMnCuB
3-FebHP4.25 ± 0.241.98 ± 0.2210.25 ± 1.555.75 ± 0.230.81 ± 0.0675.05 ± 3.43101.42 ± 36.91281.13 ± 30.2131.79 ± 6.3890.85 ± 10.47
CAP4.32 ± 0.162.09 ± 0.1610.47 ± 0.715.39 ± 0.340.94 ± 0.0677.44 ± 11.7795.79 ± 30.44229.68 ± 12.4433.67 ± 3.7387.65 ± 14.65
AP3.07 ± 0.090.90 ± 0.080.51 ± 0.085.51 ± 0.553.07 ± 0.1566.96 ± 22.3746.57 ± 10.9841.23 ± 5.4114.43 ± 3.5978.96 ± 8.17
2-MayHP3.88 ± 0.171.20 ± 0.165.73 ± 1.033.01 ± 1.260.49 ± 0.0699.61 ± 13.3930.02 ± 9.99193.00 ± 54.3917.43 ± 1.6680.39 ± 20.09
CAP4.32 ± 0.181.78 ± 0.255.12 ± 0.782.47 ± 1.020.48 ± 0.0698.27 ± 9.4425.40 ± 1.72166.83 ± 71.0117.33 ± 2.4386.73 ± 25.41
AP3.27 ± 0.380.36 ± 0.050.29 ± 0.063.70 ± 0.491.26 ± 0.1245.17 ± 5.8722.68 ± 0.4670.30 ± 11.210.42 ± 1.5433.31 ± 3.43
29-JunHP2.95 ± 0.310.64 ± 0.124.09 ± 0.331.00 ± 0.140.32 ± 0.03106.37 ± 16.6750.17 ± 14.71153.35 ± 24.9618.46 ± 2.5669.96 ± 9.42
CAP3.16 ± 0.420.95 ± 0.284.42 ± 0.841.02 ± 0.370.34 ± 0.09116.97 ± 16.3840.58 ± 10.96102.63 ± 24.3315.55 ± 2.8262.08 ± 12.15

References

  1. United Nations. The United Nations World Water Development Report 2021: ‘Valuing Water’; UNESCO: Paris, France, 2021. [Google Scholar]
  2. FAO. Water for Sustainable Food and Agriculture A Report Produced for the G20 Presidency of Germany; FAO: Rome, Italy, 2017. [Google Scholar]
  3. Ravani, M.; Georgiou, K.; Tselempi, S.; Monokrousos, N.; Ntinas, G.K. Carbon Footprint of Greenhouse Production in EU—How Close Are We to Green Deal Goals? Sustainability 2024, 16, 191. [Google Scholar] [CrossRef]
  4. Charles, H.; Godfray, J.; Beddington, J.R.; Crute, I.R.; Haddad, L.; Lawrence, D.; Muir, J.F.; Pretty, J.; Robinson, S.; Thomas, S.M.; et al. Food Security: The Challenge of Feeding 9 Billion People. Science 2010, 327, 812–818. [Google Scholar] [CrossRef] [PubMed]
  5. Fernández, J.A.; Orsini, F.; Baeza, E.; Oztekin, G.B.; Muñoz, P.; Contreras, J.; Montero, J.I. Current Trends in Protected Cultivation in Mediterranean Climates. Eur. J. Hortic. Sci. 2018, 83, 294–305. [Google Scholar] [CrossRef]
  6. Ntinas, G.K.; Kadoglidou, K.; Tsivelika, N.; Krommydas, K.; Kalivas, A.; Ralli, P.; Irakli, M. Performance and Hydroponic Tomato Crop Quality Characteristics in a Novel Greenhouse Using Dye-Sensitized Solar Cell Technology for Covering Material. Horticulturae 2019, 5, 42. [Google Scholar] [CrossRef]
  7. Barbosa, G.L.; Almeida Gadelha, F.D.; Kublik, N.; Proctor, A.; Reichelm, L.; Weissinger, E.; Wohlleb, G.M.; Halden, R.U. Comparison of Land, Water, and Energy Requirements of Lettuce Grown Using Hydroponic vs. Conventional Agricultural Methods. Int. J. Environ. Res. Public Health 2015, 12, 6879–6891. [Google Scholar] [CrossRef]
  8. Savvas, D.; Gruda, N. Application of Soilless Culture Technologies in the Modern Greenhouse Industry—A Review. Eur. J. Hortic. Sci. 2018, 83, 280–293. [Google Scholar] [CrossRef]
  9. Nicola, S.; Hoeberechts, J.; Fontana, E. Comparison between Traditional and Soilless Culture Systems to Produce Rocket (Eruca sativa) with Low Nitrate Content. Acta Hortic. 2005, 697, 549–555. [Google Scholar] [CrossRef]
  10. Maucieri, C.; Nicoletto, C.; Junge, R.; Schmautz, Z.; Sambo, P.; Borin, M. Hydroponic Systems and Water Management in Aquaponics: A Review. Ital. J. Agron. 2018, 13, 1012. [Google Scholar] [CrossRef]
  11. Tyson, R.V.; Simonne, E.H.; White, J.M.; Lamb, E.M. Reconciling Water Quality Parameters Impacting Nitrification in Aquaponics: The Ph Levels. In Proceedings of the 117th Conference of Florida State Horticultural Society, Orlando, FL, USA, 6–8 June 2004; Volume 117, pp. 79–83. [Google Scholar]
  12. Rakocy, J.E.; Masser, M.P.; Losordo, T.M. Recirculating Aquaculture Tank Production Systems: Aquaponics-Integrating Fish and Plant Culture; SRAC: Stoneville, MS, USA, 2003. [Google Scholar]
  13. Lennard, W.A.; Leonard, B.V. A Comparison of Three Different Hydroponic Sub-Systems (Gravel Bed, Floating and Nutrient Film Technique) in an Aquaponic Test System. Aquac. Int. 2006, 14, 539–550. [Google Scholar] [CrossRef]
  14. Allen Pattillo, D.; Hager, J.V.; Cline, D.J.; Roy, L.A.; Hanson, T.R. System Design and Production Practices of Aquaponic Stakeholders. PLoS ONE 2022, 17, e0266475. [Google Scholar] [CrossRef]
  15. Rakocy, J.E. Integrating and Plant Culture. In Aquaculture Production Systems. Aquaponics; Tidwell, J., Ed.; John Wiley & Sons, Inc.: Hoboken, NJ, USA, 2012; pp. 343–386. [Google Scholar]
  16. Cerozi, B.S.; Fitzsimmons, K. Phosphorus Dynamics Modeling and Mass Balance in an Aquaponics System. Agric. Syst. 2017, 153, 94–100. [Google Scholar] [CrossRef]
  17. Goddek, S.; Körner, O. A Fully Integrated Simulation Model of Multi-Loop Aquaponics: A Case Study for System Sizing in Different Environments. Agric. Syst. 2019, 171, 143–154. [Google Scholar] [CrossRef]
  18. Goddek, S.; Espinal, C.A.; Delaide, B.; Jijakli, M.H.; Schmautz, Z.; Wuertz, S.; Keesman, K.J. Navigating towards Decoupled Aquaponic Systems: A System Dynamics Design Approach. Water 2016, 8, 303. [Google Scholar] [CrossRef]
  19. Kloas, W.; Groß, R.; Baganz, D.; Graupner, J.; Monsees, H.; Schmidt, U.; Staaks, G.; Suhl, J.; Tschirner, M.; Wittstock, B.; et al. A New Concept for Aquaponic Systems to Improve Sustainability, Increase Productivity, and Reduce Environmental Impacts. Aquac. Environ. Interact. 2015, 7, 179–192. [Google Scholar] [CrossRef]
  20. Aguirre July, P.; Torres-Mesa, A.; Perez-Trujillo María, M.; Rubio-Castro Silvia, A.; Gómez-Ramírez, E. Evaluation of Fragaria x ananassa in an Aquaponic System with Oncorhynchus mykiss and Substrate Culture Conditions. Aquac. Aquar. Conserv. Legis. 2023, 16, 2589–2600. [Google Scholar]
  21. Birolo, M.; Bordignon, F.; Trocino, A.; Fasolato, L.; Pascual, A.; Godoy, S.; Nicoletto, C.; Maucieri, C.; Xiccato, G. Effects of Stocking Density on the Growth and Flesh Quality of Rainbow Trout (Oncorhynchus mykiss) Reared in a Low-Tech Aquaponic System. Aquaculture 2020, 529, 735653. [Google Scholar] [CrossRef]
  22. Yang, T.; Kim, H.J. Comparisons of Nitrogen and Phosphorus Mass Balance for Tomato-, Basil-, and Lettuce-Based Aquaponic and Hydroponic Systems. J. Clean. Prod. 2020, 274, 122619. [Google Scholar] [CrossRef]
  23. Yang, T.; Kim, H.J. Nutrient Management Regime Affects Water Quality, Crop Growth, and Nitrogen Use Efficiency of Aquaponic Systems. Sci. Hortic. 2019, 256, 108619. [Google Scholar] [CrossRef]
  24. Yang, T.; Kim, H.J. Characterizing Nutrient Composition and Concentration in Tomato-, Basil-, and Lettuce-Based Aquaponic and Hydroponic Systems. Water 2020, 12, 1259. [Google Scholar] [CrossRef]
  25. Monsees, H.; Kloas, W.; Wuertz, S. Decoupled Systems on Trial: Eliminating Bottlenecks to Improve Aquaponic Processes. PLoS ONE 2017, 12, e0183056. [Google Scholar] [CrossRef]
  26. Schmautz, Z.; Loeu, F.; Liebisch, F.; Graber, A.; Mathis, A.; Bulc, T.G.; Junge, R. Tomato Productivity and Quality in Aquaponics: Comparison of Three Hydroponic Methods. Water 2016, 8, 533. [Google Scholar] [CrossRef]
  27. Aslanidou, M.; Elvanidi, A.; Mourantian, A.; Levizou, E.; Mente, E.; Katsoulas, N. Evaluation of Productivity and Efficiency of a Large-Scale Coupled or Decoupled Aquaponic System. Sci. Hortic. 2024, 337, 113552. [Google Scholar] [CrossRef]
  28. Suhl, J.; Dannehl, D.; Baganz, D.; Schmidt, U.; Kloas, W. An Innovative Suction Filter Device Reduces Nitrogen Loss in Double Recirculating Aquaponic Systems. Aquac. Eng. 2018, 82, 63–72. [Google Scholar] [CrossRef]
  29. Delaide, B.; Teerlinck, S.; Decombel, A.; Bleyaert, P. Effect of Wastewater from a Pikeperch (Sander lucioperca L.) Recirculated Aquaculture System on Hydroponic Tomato Production and Quality. Agric. Water Manag. 2019, 226, 105814. [Google Scholar] [CrossRef]
  30. Vasdravanidis, C.; Alvanou, M.V.; Lattos, A.; Papadopoulos, D.K.; Chatzigeorgiou, I.; Ravani, M.; Liantas, G.; Georgoulis, I.; Feidantsis, K.; Ntinas, G.K.; et al. Aquaponics as a Promising Strategy to Mitigate Impacts of Climate Change on Rainbow Trout Culture. Animals 2022, 12, 2523. [Google Scholar] [CrossRef]
  31. Chatzigeorgiou, I.; Ravani, M.; Papadopoulos, D.K.; Kelesidis, G.; Giantsis, I.A.; Tsaballa, A.; Koukounaras, A.; Ntinas, G.K. Greenhouse Production of Baby Leaf Vegetables Using Rainbow Trout Wastewater in a High-Tech Vertical Decoupled Aquaponic System. Front. Hortic. 2024, 3, 1418447. [Google Scholar] [CrossRef]
  32. Patloková, K.; Pokluda, R. Optimization of Plant Nutrition in Aquaponics: The Impact of Trichoderma harzianum and Bacillus mojavensis on Lettuce and Basil Yield and Mineral Status. Plants 2024, 13, 291. [Google Scholar] [CrossRef]
  33. Tunçelli, G.; Memiş, D. The Effect of Swimming Activity and Feed Restriction of Rainbow Trout (Oncorhynchus mykiss) on Water Quality and Fish-Plant Growth Performance in Aquaponics. J. Fish Biol. 2024, 104, 1493–1502. [Google Scholar] [CrossRef]
  34. Bordignon, F.; Birolo, M.; Fanizza, C.; Trocino, A.; Zardinoni, G.; Stevanato, P.; Nicoletto, C.; Xiccato, G. Effects of Water Salinity in an Aquaponic System with Rainbow Trout (Oncorhynchus mykiss), Black Bullhead Catfish (Ameiurus melas), Swiss Chard (Beta vulgaris), and Cherry Tomato (Solanum lycopersicum). Aquaculture 2024, 584, 740634. [Google Scholar] [CrossRef]
  35. Gruda, N.S. Advances in Soilless Culture and Growing Media in Today’s Horticulture—An Editorial. Agronomy 2022, 12, 2773. [Google Scholar] [CrossRef]
  36. Martsikalis, P.; Gkafas, G.A.; Apostolidis, A.; Exadactylos, A. Genetic Structure Profile of Rainbow Trout (Oncorhynchus mykiss) Farmed Strains in Greece. Turk. J. Fish. Aquat. Sci. 2014, 14, 749–757. [Google Scholar] [CrossRef]
  37. Dobermann, A. Nutrient Use Efficiency–Measurement and Management. In Proceedings of the Fertilizer Best Management Practices, Brussels, Belgium, 7–9 March 2007; International Fertilizer Industry Association (International Workshop): Brussels, Belgium, 2007; p. 259. [Google Scholar]
  38. Bugbee, B. Nutrient Management in Recirculating Hydroponic Culture. In Proceedings of the Acta Horticulturae, Palmerston North, New Zealand, 10–13 February 2003; International Society for Horticultural Science: Leuven, Belgium, 2004; Volume 648, pp. 99–112. [Google Scholar] [CrossRef]
  39. Taiz, L.; Zeiger, E. Plant Physiology, 3rd ed.; Oxford University Press (OUP): Oxford, UK, 2003; Volume 91. [Google Scholar]
  40. Neokleous, D. Hydroponics Manual; Ministry of Agriculture, Rural Development and the Environment: Athens, Greece, 2014. (In Greek)
  41. Olympios, C. The Technique of Cultivating Outdoor Vegetables; Stamoulis: Athens, Greece, 2015; pp. 95–97. (In Greek) [Google Scholar]
  42. Negrão, S.; Schmöckel, S.M.; Tester, M. Evaluating Physiological Responses of Plants to Salinity Stress. Ann. Bot. 2017, 119, 1–11. [Google Scholar] [CrossRef]
  43. Hosseinzadeh, S.R.; Amiri, H.; Ismaili, A. Evaluation of Photosynthesis, Physiological, and Biochemical Responses of Chickpea (Cicer arietinum L. cv. Pirouz) under Water Deficit Stress and Use of Vermicompost Fertilizer. J. Integr. Agric. 2018, 17, 2426–2437. [Google Scholar] [CrossRef]
  44. Chen, P.; Zhu, G.; Kim, H.J.; Brown, P.B.; Huang, J.Y. Comparative Life Cycle Assessment of Aquaponics and Hydroponics in the Midwestern United States. J. Clean. Prod. 2020, 275, 122888. [Google Scholar] [CrossRef]
Scheme 1. Scheme of the developed vertical decoupled aquaponic system [31].
Scheme 1. Scheme of the developed vertical decoupled aquaponic system [31].
Horticulturae 12 00100 sch001
Scheme 2. Schematic diagram of the water flow and experimental layout of the vertical decoupled aquaponic system. Arrows indicate water flow direction; solid lines denote continuous circulation within the aquaculture loop, whereas dashed lines indicate on-demand water supply to the hydroponic units. Different colors correspond to freshwater inputs and fish wastewater streams.
Scheme 2. Schematic diagram of the water flow and experimental layout of the vertical decoupled aquaponic system. Arrows indicate water flow direction; solid lines denote continuous circulation within the aquaculture loop, whereas dashed lines indicate on-demand water supply to the hydroponic units. Different colors correspond to freshwater inputs and fish wastewater streams.
Horticulturae 12 00100 sch002
Figure 1. Results of foliar analysis for the applied treatments (HP—Hydroponic, CAP—Complemented Aquaponic, AP—Aquaponic), (A) grouped and statistically analyzed based on the different time points, comparing each nutrient of the three treatments only within each time point. (B) grouped and statistically analyzed based on the treatments, comparing each nutrient between the three timepoints and only within each treatment. Columns (mean ± SD) with different letters are significantly different (p ≤ 0.05).
Figure 1. Results of foliar analysis for the applied treatments (HP—Hydroponic, CAP—Complemented Aquaponic, AP—Aquaponic), (A) grouped and statistically analyzed based on the different time points, comparing each nutrient of the three treatments only within each time point. (B) grouped and statistically analyzed based on the treatments, comparing each nutrient between the three timepoints and only within each treatment. Columns (mean ± SD) with different letters are significantly different (p ≤ 0.05).
Horticulturae 12 00100 g001
Figure 2. (A) Marketable yield and (B) number of marketable fruits, per plant of the applied treatments (HP—Hydroponics, CAP—Complemented Aquaponic, AP—Aquaponic). Columns (mean ± SD) with different letters are significantly different (p ≤ 0.05).
Figure 2. (A) Marketable yield and (B) number of marketable fruits, per plant of the applied treatments (HP—Hydroponics, CAP—Complemented Aquaponic, AP—Aquaponic). Columns (mean ± SD) with different letters are significantly different (p ≤ 0.05).
Horticulturae 12 00100 g002
Figure 3. (A) Photosynthetic Rate (A—μmol m−2 s−1), (B) Transpiration Rate (E—mmol m−2 s−1) and (C) Stomatal Conductance (gs—mmol m−2 s−1), at seven timepoints, for the applied treatments (HP—Hydroponics, CAP—Complemented Aquaponic, AP—Aquaponic). Columns (mean ± SD) with different letters are significantly different (p ≤ 0.05).
Figure 3. (A) Photosynthetic Rate (A—μmol m−2 s−1), (B) Transpiration Rate (E—mmol m−2 s−1) and (C) Stomatal Conductance (gs—mmol m−2 s−1), at seven timepoints, for the applied treatments (HP—Hydroponics, CAP—Complemented Aquaponic, AP—Aquaponic). Columns (mean ± SD) with different letters are significantly different (p ≤ 0.05).
Horticulturae 12 00100 g003
Figure 4. Chlorophyll Content Index (CCI) at three timepoints, for the applied treatments (HP—Hydroponics, CAP—Complemented Aquaponic, AP—Aquaponic). Columns (mean ± SD) with different letters are significantly different (p ≤ 0.05).
Figure 4. Chlorophyll Content Index (CCI) at three timepoints, for the applied treatments (HP—Hydroponics, CAP—Complemented Aquaponic, AP—Aquaponic). Columns (mean ± SD) with different letters are significantly different (p ≤ 0.05).
Horticulturae 12 00100 g004
Figure 5. The Fv/Fm ratio at four timepoints, for the applied treatments (HP—Hydroponics, CAP—Complemented Aquaponic, AP—Aquaponic). Columns (mean ± SD) with different letters are significantly different (p ≤ 0.05).
Figure 5. The Fv/Fm ratio at four timepoints, for the applied treatments (HP—Hydroponics, CAP—Complemented Aquaponic, AP—Aquaponic). Columns (mean ± SD) with different letters are significantly different (p ≤ 0.05).
Horticulturae 12 00100 g005
Table 1. System inputs for each examined indicator—energy, water and nitrogen—in terms of the Resource Use Efficiency of the applied treatments (HP—Hydroponic, CAP—Complemented Aquaponic, AP—Aquaponic).
Table 1. System inputs for each examined indicator—energy, water and nitrogen—in terms of the Resource Use Efficiency of the applied treatments (HP—Hydroponic, CAP—Complemented Aquaponic, AP—Aquaponic).
TreatmentResources Used
Energy (kWh)Water (L)Nitrogen (kg/ha)
HP677.003938.402193.83
CAP2707.706680.902104.16
AP2317.706284.30-
Table 2. Nutrient concentrations (macronutrients—mg L−1 and micronutrients—μg L−1), as applied in Complemented Aquaponics (CAP) and Aquaponics (AP) treatments, in comparison to a standard Hydroponic solution (HP), throughout the experiment. Average concentrations (±SD) of five timepoints are presented. Different letters indicate statistically significant differences among the treatments (p ≤ 0.05).
Table 2. Nutrient concentrations (macronutrients—mg L−1 and micronutrients—μg L−1), as applied in Complemented Aquaponics (CAP) and Aquaponics (AP) treatments, in comparison to a standard Hydroponic solution (HP), throughout the experiment. Average concentrations (±SD) of five timepoints are presented. Different letters indicate statistically significant differences among the treatments (p ≤ 0.05).
Applied Nutrient Solution
TreatmentHPCAPAP
Electrical Conductivity (EC—mS cm−1)2.09 ± 0.22 (b)2.54 ± 0.29 (a)0.41 ± 0.14 (c)
pH5.46 ± 0.74 (a)4.39 ± 0.20 (b)5.25 ± 0.67 (a)
Macronutrients (mg L−1)
Nitrate (NO3)752.82 ± 153.62 (b)928.46 ± 189.15 (a)159.53 ± 57.11 (c)
Phosphorus (P2O5—P)10.95 ± 5.75 (a)8.83 ± 2.03 (a)0.90 ± 0.41 (b)
Potassium (K+)370.03 ± 63.64 (a)383.55 ± 66.17 (a)3.61 ± 1.15 (b)
Calcium (Ca2+)128.86 ± 24.46 (b)180.61 ± 38.24 (a)30.18 ± 9.88 (c)
Magnesium (Mg2+)36.76 ± 10.41 (b)45.82 ± 12.71 (a)7.76 ± 5.29 (c)
Micronutrients (mg L−1)
Iron (Fe)0.85 ± 0.24 (a)1.01 ± 0.27 (a)0.03 ± 0.02 (a)
Zinc (Zn)0.18 ± 0.16 (a)0.33 ± 0.07 (a)0.08 ± 0.05 (a)
Manganese (Mn)0.20 ± 0.18 (a)0.56 ± 0.11 (a)0.03 ± 0.03 (a)
Table 3. Results of the Resources Use Efficiency-Energy Use Efficiency (EUE), Freshwater Use Efficiency (fWUE) and Nitrogen Use Efficiency (NUE) for the applied treatments (HP—Hydroponics, CAP—Complemented Aquaponic, AP—Aquaponic), considering fruit yield of the two cultivation tanks and the increase in fish weight during the experiment.
Table 3. Results of the Resources Use Efficiency-Energy Use Efficiency (EUE), Freshwater Use Efficiency (fWUE) and Nitrogen Use Efficiency (NUE) for the applied treatments (HP—Hydroponics, CAP—Complemented Aquaponic, AP—Aquaponic), considering fruit yield of the two cultivation tanks and the increase in fish weight during the experiment.
TreatmentFruit Yield (g)Fish Weight Increase (g)Energy Use Efficiency (g kWh−1)Freshwater Use
Efficiency
(g L−1)
Nitrogen Use Efficiency
(Fruit kg ha−1/Fertilizer kg ha−1)
HP36,407.94-53.789.2455.32
CAP29,589.4632,000.0022.759.2246.87
AP7187.5227,400.0014.925.50-
Disclaimer/Publisher’s Note: The statements, opinions and data contained in all publications are solely those of the individual author(s) and contributor(s) and not of MDPI and/or the editor(s). MDPI and/or the editor(s) disclaim responsibility for any injury to people or property resulting from any ideas, methods, instructions or products referred to in the content.

Share and Cite

MDPI and ACS Style

Chatzigeorgiou, I.; Ravani, M.; Giantsis, I.A.; Koukounaras, A.; Tsaballa, A.; Ntinas, G.K. Sustainable Greenhouse Grape-Tomato Production Implementing a High-Tech Vertical Aquaponic System. Horticulturae 2026, 12, 100. https://doi.org/10.3390/horticulturae12010100

AMA Style

Chatzigeorgiou I, Ravani M, Giantsis IA, Koukounaras A, Tsaballa A, Ntinas GK. Sustainable Greenhouse Grape-Tomato Production Implementing a High-Tech Vertical Aquaponic System. Horticulturae. 2026; 12(1):100. https://doi.org/10.3390/horticulturae12010100

Chicago/Turabian Style

Chatzigeorgiou, Ioanna, Maria Ravani, Ioannis A. Giantsis, Athanasios Koukounaras, Aphrodite Tsaballa, and Georgios K. Ntinas. 2026. "Sustainable Greenhouse Grape-Tomato Production Implementing a High-Tech Vertical Aquaponic System" Horticulturae 12, no. 1: 100. https://doi.org/10.3390/horticulturae12010100

APA Style

Chatzigeorgiou, I., Ravani, M., Giantsis, I. A., Koukounaras, A., Tsaballa, A., & Ntinas, G. K. (2026). Sustainable Greenhouse Grape-Tomato Production Implementing a High-Tech Vertical Aquaponic System. Horticulturae, 12(1), 100. https://doi.org/10.3390/horticulturae12010100

Note that from the first issue of 2016, this journal uses article numbers instead of page numbers. See further details here.

Article Metrics

Back to TopTop