Abstract
Seed hardness is a unique trait for edibility and an important breeding target for pomegranates. We compared changes in hormones during the development of soft- and hard-seeded varieties in order to identify key hormones and developmental stages that affect seed lignin synthesis and accumulation. During the development of pomegranate seeds, lignin accumulates significantly in the stereid layer, and the degree of lignification is higher in Shandazi than in Huazi cultivars. The results showed that the accumulation of lignin in the stereid layer of the outer pomegranate seed coat is the reason for the differences in seed hardness between the soft-seeded variety and the hard-seeded variety. The hardness of pomegranate seeds was positively correlated with endogenous indole-3-acetic acid (IAA) and jasmonic acid (JA), while it was negatively correlated with cytokinins (CTKs), abscisic acid (ABA), gibberellins (GAs), salicylic acid (SA), and strigolactones (SLs). The highest contents of IAA and JA were 8.615 ng·g−1 and 4.5869 ng·g−1, respectively, in the hard-seeded variety. In the soft-seeded variety, the maximum values of dihydrozeatin (DZ), dihydrozeatin-7-glucoside (DHZ7G), ABA, gibberellin A1 (GA1), SA, and 5-deoxystrigol (5-DS) were 281.82 ng·g−1, 1542.889 ng·g−1, 61.273 ng·g−1, 5.2556 ng·g−1, 21.15 ng·g−1, and 0.4494 ng·g−1, respectively. IAA, CTKs, ABA, GA1, and SA play major roles in the formation of lignin in pomegranate seeds, collectively determining seed hardness.
1. Introduction
Pomegranate (Punica granatum L.) is a perennial small tree or shrub of the order Myrtales, Lythraceae, Punica Linn. It is generally believed that pomegranate cultivation and domestication have a history dating back more than two thousand years in China [1]. Compared to other fruits like peach, pear, and apple, the edible part of the pomegranate is the outer seed coat. Pomegranate can be roughly categorized according to seed hardness into soft-seeded, semi soft-seeded (or semi hard-seeded), and hard-seeded varieties [2,3,4]. Soft-seeded pomegranates are preferred by most consumers as they can be chewed easily, while semi soft-seeded and hard-seeded pomegranates have a worse chewing experience. In view of this, seed hardness is one of the most important quality indicators for pomegranate fruit.
Pomegranate is a type of berry, and its seeds consist of three parts: the aril (outer seed coat), the seed coat (inner seed coat), and the embryo. From the perspective of plant development, the seed coat develops from the inner integument. Like most angiosperms, pomegranate has a double integument. The inner integument of plants such as Arabidopsis gradually degenerates during development as the outer seed coat accumulates more anthocyanins, eventually developing into a hard seed coat. The two layers of pomegranate integuments develop normally, forming two seed coat layers. The edible part, the aril, is rich in sugars, organic acids, and polyphenols and is developed from outer epidermal cells of the seed [5,6]. The seed coat layer arising from the integument contains high lignin, cellulose, and hemicellulose contents [7]. Observation of their microstructures reveals that the aril is composed of a parenchymatous cell layer and a palisade tissue layer, while the seed coat is composed of a cork layer, a stereid layer, and a parenchymatous cell layer [8]. The formation and aggregation of lignin monomers is well understood in model plants, such as Arabidopsis, tobacco, and aspen [9]. Lignin monomers are formed by the catalysis of a series of enzymes such as ammonia-lyases (Als) from phenylalanine or tyrosine, which are then polymerized into lignin under the action of polymerase [10,11]. In hawthorn (Crataegus spp.), the accumulation of lignin in the inner seed coat of soft-endocarp varieties is significantly lower than that of hard-endocarp varieties [12]. In the study of stone fruit trees such as peach, it was found that the accumulation and lignification of lignin in the endocarp are the main reasons for seed hardening [13].
Existing research on the gene linkage markers of soft seed traits in pomegranate suggests that seed hardness is controlled by major genes [14]. Multiple studies have found that the formation of cell walls in pomegranate seeds is mainly regulated by a hierarchical network of transcription factors, including NAC, WARK, MYB, and MYC, which participate in the synthesis of cellulose, hemicellulose, and lignin [15,16]. In many lignin-related transcription factor families, some MYB family genes are regulated by auxin and jasmonic acid [17]. The outer seed coat development marker gene INNER NO OUTER (INO) and its transcriptional regulator BELL1 (BEL1) have been positively selected in the process of genome evolution and specifically expressed in arils [18].
Many researchers have found that the regulation of endogenous hormones is closely related to lignin development, which not only requires the dynamic balance of multiple hormones but may also require the dominant role of a certain hormone at a specific period [19,20]. There is a concentration gradient of endogenous auxin in plant cambium differentiation and xylem development, which has position signaling and growth-promoting effects [21,22]. It was found that 50 mg/L and 100 mg/L indole-3-acetic acid (IAA) significantly promoted the accumulation of lignin in the inner skin of walnuts, while 150 mg/L and 200 mg/L IAA inhibited lignin synthesis [23]. Lignin formation for the primary phloem fibers and the secondary xylem in the stem of Coleus blumei Benth is controlled by IAA (0.1% w/w) and gibberellin A3 (GA3) [24]. Exogenous gibberellin (GA3) and cytokinin (6-benzylaminopurine) elevated lignin accumulation in secondary xylem development and the expression of genes involved in lignin biosynthesis in carrot taproot [25,26]. Foliar spraying with GA3 (10.0 mg·L−1) at the first blooming stage was found to significantly reduce seed hardness in pomegranate, but application of different concentrations of GA3 (10.0, 20.0, 30.0 mg·L−1) + 2, 4-D (10.0 mg·L−1) to the flower stalk increased the seed hardness [27].
Due to the significant difference in seed hardness between pomegranate soft seed varieties and hard seed varieties, we speculate that there should also be differences and some correlations in the changes in endogenous hormones during the seed development process. Therefore, this study measured the endogenous hormones and seed hardness of two pomegranate varieties at 60, 90, and 120 days after blooming to determine their change patterns and correlations.
2. Materials and Methods
2.1. Plant Materials
Two cultivars, Huazi (HZ), a soft-seeded cultivar with 1.28 kg/cm2 seed hardness, and Shandazi (SDZ), a hard-seeded cultivar with 8.13 kg/cm2 seed hardness, were collected from the pomegranate variety nursery at the National Horticultural Germplasm Resources Center in Zhengzhou, China (E113°22′13.6″, N34°57′9.97″), and grown under the same growth conditions. Pomegranate fruits were gathered at 60, 90, and 120 days after blooming (DAB), respectively (Figure 1). Nine morphologically normal fruits were sampled and divided into three groups to achieve three biological replicates. The seeds were removed and immediately frozen in liquid nitrogen and stored at −80 °C in a freezer until further analysis. The seeds of ‘Huazi’ and ‘Shandazi’ cultivars are abbreviated as HZ and SDZ, respectively. TA-XT Texture Analyzer was used to determine seed hardness. Ten seeds were taken from each sample for testing, and experiments were repeated three times. Days after blooming (DAB) is calculated starting from the day the bisexual pomegranate flowers are slightly open.
Figure 1.
Morphology of two varieties of pomegranate seeds in three developmental stages. (A–C) represent the seeds of ‘Shandazi’ at 60, 90, and 120 DAB. (D–F) represent seeds of ‘Huazi’ at 60, 90, and 120 DAB.
2.2. Microscopy Observation of Lignin in Pomegranate Seeds
Pomegranate seeds were embedded in paraffin and then cut into 7 μm slices using a pathology slicer (RM2016, Shanghai Leica Instrument Co., Ltd., Shanghai, China). After the slices were dried, they were stained with safranin o-fast green staining for 2 h and sealed with neutral gum. They were observed under an upright optical microscope (ECLIPSE E100, NIKON, Tokyo, Japan) and imaging system (DS-U3, NIKON, Tokyo, Japan). The cytoderm, which has lignified, has a red color and the color of the cellulose cell wall is green.
2.3. Reagents and Standards
Chromatography-grade methanol and acetonitrile were sourced from Merck (Darmstadt, Germany). Chromatography-grade formic acid and acetic acid were purchased from Sigma-Aldrich (St. Louis, MO, USA). Standard products (purity greater than 99%) were purchased from Olchemim Ltd. (Olomouc, Czech Republic) and isoReag (Shanghai, China). The 1 mg/mL standard mother liquor was prepared using an 80% methanol solution. The standard solution was stored in a refrigerator at 4 °C away from light for future use. Ultrapure water (Millipore, Bradford, PA, USA) was used in all experiments.
2.4. Sample Pre-Processing
A certain mass of the sample was accurately weighed and ground into a homogenate by adding liquid nitrogen under low light. Then, 4 mL of 80% methanol extractant was added and the sample was sonicated for 1 h, followed by soaking overnight at 4 °C in the dark. The mixed solution was then centrifuged at 10,000 r/min for 10 min, and the supernatant was collected. The residue was dissolved, combined with the supernatant, and resuspend after concentrating by nitrogen-blowing. Next, a 50 μL sample was dissolved in 1 mL methanol/water/formic acid (15:4:1, V/V/V) solution, mixed well, and concentrated until dry. The sample was resuspended in 100 μL 80% methanol (V/V) and filtered through a 0.22 μm membrane filter for further LC-MS/MS analysis.
2.5. UPLC-MS/MS Conditions
Sample analysis and data collection were completed through UPLC (ExionLC™AD, AB Sciex, Framingham, MA, USA) and MS/MS system (Applied Biosystems 6500 Triple Quadrupole, AB Sciex, Framingham, MA, USA). The UPLC conditions were as follows. The chromatographic column (Waters, Milford, MA, USA) was Waters ACQUITY UPLC HSS T3 C18 (100 mm × 2.1 mm i.d., 1.8 μm). The mobile phase was composed of ultrapure water (A) and acetonitrile (B), with 0.04% acetic acid added to both. The gradient elution process was 5% from 0 to 1 min, then with 95% B from 1 to 9 min, and finally 5% B from 9.1 to 12 min. The flow rate, column temperature, and injection volume were set to 0.35 mL/min, 40 °C, and 2 μL, respectively. The MS/MS conditions were as follows. The interface of the electric spray ion source was Electrospray Ionization (ESI), and the temperature was set at 550 °C. The mass spectrometry voltages in positive ion mode and negative ion mode were 5500 V and −4500 V, respectively, and the curtain gas (CUR) was determined to be 35 psi. Each ion pair was scanned and detected based on optimized declustering potential and collision energy.
2.6. Statistical Analysis
Comparative analysis of seed hardness was performed using Microsoft Excel 2013 and SPSS (version 25.0). The data were calculated as mean ± standard deviation. One-Way ANOVA was used to detect differences between two cultivars. A p-value < 0.05 was considered significantly different. The MWDB database (Meatware, Wuhan, China) was structured based on standard samples for qualitative analysis of mass spectrometry data. Quantitative analysis of mass spectrometry data was conducted using the multiple reaction monitoring (MRM) mode of a triple quadrupole mass spectrometer. Data processing was carried out using Analyst 1.6.3 software (AB Sciex, USA) and Multiquant 3.0.3 software (AB Sciex, USA). Data on phytohormone content were processed using unit variance scaling (UV). Heat maps were drawn using R software (Version 3.3.5), and hierarchical clustering analysis (HCA) was performed on the accumulation patterns of phytohormones among different samples. Phytohormones were screened according to the requirement of fold change ≥ 2 and fold change ≤ 0.5 and were considered to have significant differences between each other. The detected phytohormones were annotated using KEGG database (http://www.kegg.jp/kegg/ (accessed on 24 May 2024)), and phytohormones with significant differences were classified and enriched.
3. Results
3.1. Seed Development Comparison for Morphology and Hardness
The seed hardness of two pomegranate varieties was compared at the three key growth stages of 60, 90, and 120 DAB. The results showed that the hardness of the seeds in the ‘Huazi’ (HZ) cultivar was lower than that in the ‘Shandazi’ (SDZ) cultivar. The seed hardness of ‘Huazi’ at 90 DAB was the lowest, measured at 0.970 kg·cm−2, and the seed hardness of ‘Shandazi’ increased between 60 and 120 DAB. The maximum value of seed hardness was 8.124 kg·cm−2. These findings show that there is a significant difference in seed hardness between the two varieties in three different stages, as shown in Table 1. The present study as well as previous research showed a positive correlation between seed hardness and lignin content [15,28].
Table 1.
Seed hardness of ‘Huazi’ and ‘Shandazi’ cultivars at three stages.
3.2. Microscopic Examination of Lignin in Pomegranate Seeds
By examining the seed hardness at 60, 90, and 120 DAB, the results (Figure 2) showed that the mature pomegranate seed coat can be roughly divided into five layers, forming a circular structure formed by cells of different sizes and densities. These layers consist of a palisade layer (PL), a parenchymatous cell (PC), a stereid layer (STL), a cork layer (CL), and a parenchymatous cell layer, from the outside to the inside. The outermost layer is an edible vesicle, which is composed of large, long columnar, highly lignified cells, with the long axis of the cells perpendicular to the surface of the seed coat and a thickness of about 100–400 μm. It is composed of one to multiple layers of cells without gaps between them. Near the palisade layer is the parenchymatous cell layer, usually consisting of multiple rows of cells with a thickness of 200–600 μm, an irregular shape, and large intercellular gaps. The stereid layer is a lignified layer of cells that gradually become denser from the outside to the inside. In the cork layer, the thickness the cells is about 50 μm, and the intracellular protoplasts have degenerated, leaving only cork and thickened lignified cell walls without intercellular spaces. The innermost layer is the parenchymatous cell layer, which is composed of a single layer of cells arranged in an orderly manner. The increase in hardness of pomegranate seeds is accompanied by the lignification of the outer cell wall of the seed coat.
Figure 2.
Safranin O-Fast green staining showed lignin deposition in cell walls of seeds. The lignified cell wall appears red, with darker colors indicating greater lignin deposition. The cellulose cell wall appears green. (A) cell walls of ‘HZ’ (soft-seeded) at 60 DAB; (B) cell walls of ‘HZ’ at 90 DAB; (C) cell walls of ‘HZ’ at 120 DAB; (D) cell walls of ‘SDZ’ (hard-seeded) at 60 DAB; (E) cell walls of ‘SDZ’ at 90 DAB; (F) cell walls of ‘SDZ’ at 120 DAB. Note: PL: Palisade layer; PC: Parenchymatous cell; STL: Stereid layer; CK: Cork layer.
Through our observations, it was found that the stereid layer of the lignified seed coats of both pomegranate varieties presented a large red-colored area at 60 DAB, but the color was darker in ‘SDZ’. At 90 and 120 DAB, the red area and depth of the lignified stereid layer in the ‘SDZ’ seed coat were greater than those of the ‘HZ’ seed coat. The red area and depth of the lignified stereid layer in the seed coat of both pomegranate varieties revealed an initial decrease and then an increase at 60, 90, and 120 DAB. In addition, the lignified stereid layer of the seed coat in ‘SDZ’ was denser than that in ‘HZ’.
3.3. Cluster Analysis of Phytohormone Content in Pomegranate Seeds at Three Stages Between HZ and SDZ
We detected a total of fifty-one endogenous hormones from pomegranate seeds, including two abscisic acids and their derivatives, eleven auxins, twenty-one cytokinins, one ethylene, five GAs, eight jasmonic acids, two salicylic acids, and one SL. The clustering analysis results showed that the phytohormone content of the two varieties exhibited certain characteristics in each of the three stages (Figure 3). At 60 DAB, the contents of GA3, IP, tZ, and oT were high in HZ pomegranate seeds, while mT, tZR, JA, JA-ILE, JA-Val, OPDA, TRA, IAA, and IAA-Glu were mainly detected in SDZ. At 90 DAB, IAA-Ala, MeJA, SA, SAG, oTR, tZOG, iP9G, DHZR, ACC, ABA, and 5-DS were extensively detected in HZ pomegranate seeds, while IAA-Gly and 2MeScZR were detected in SDZ. At 120 DAB, BAPR, IPR, ABA, MEIAA, IAA-Glc, IAA-Asp, TRP, GA15, and GA20 were detected mainly in HZ pomegranate seeds, while H2JA, cZROG, OPC-6, BAP7G, mT9G, and ABA-GE were detected in SDZ.
Figure 3.
A cluster analysis heatmap of phytohormone content in pomegranate seeds at 60, 90, and 120 DAB between HZ and SDZ. Note: The horizontal axis represents the sample names from two varieties in three periods, the vertical axis (right side) represents hormone information, and the vertical axis (left side) represents classification of hormones. Different colors represent the values obtained after standardized processing of relative content, with red representing high contents and green representing lower contents. H2JA, cZROG, OPC-6, BAP7G, BAPR, mT9G, IPR, ABA-GE, ABA, MEIAA, IAA-Glc, IAA-Asp, OxIAA, GA1, TRP, GA15, GA20, mT, tZR, JA, TRA, JA-VAL, JA-ILE, IAA-Glu, IAA, OPDA, GA19, ACC, DHZR, DHZROG, IAA-Ala, tZOG, iP9G, K9G, DZ, DHZ7G, iP7G, cZR, GA3, IP, tZ, oT, IAN, 2MeScZR, ICAld, IAA-Gly, MEJA, SAG, oTR, 5DS, and SA refer to Dihydrojasmonic acid, cis-Zeatin-O-glucoside riboside, 3-oxo-2-(2-(Z)-Pentenyl)cyclopentane-1-hexanoic acid, N6-Benzyladenine-7-glucoside, 6-Benzyladenosine, meta-Topolin-9-glucoside, N6-isopentenyladenosine, ABA-glucosyl ester, Abscisic acid, Methyl indole-3-acetate, 1-O-indol-3-ylacetylglucose, Indole-3-acetyl-L-aspartic acid, 2-oxindole-3-acetic acid, Gibberellin A1, L-tryptophan, Gibberellin A15, Gibberellin A20, meta-Topolin, trans-Zeatin riboside, Jasmonic acid, Tryptamine, N-[(-)-Jasmonoyl]-(L)-valine, Jasmonoyl-L-isoleucine, Indole-3-acetyl glutamic acid, Indole-3-acetic acid, cis(+)-12-Oxophytodienoic acid, Gibberellin A19, 1-Aminocyclopropanecarboxylic acid, Dihydrozeatin ribonucleoside, Dihydrozeatin-O-glucoside riboside, N-(3-Indolylacetyl)-L-alanine, trans-Zeatin-O-glucoside, N6-Isopentenyl-adenine-9-glucoside, Kinetin-9-glucoside, Dihydrozeatin, Dihydrozeatin-7-glucoside, N6-Isopentenyl-adenine-7-glucoside, cis-Zeatin riboside, Gibberellin A3, N6-isopentenyladenine, trans-Zeatin, ortho-Topolin, 3-Indoleacetonitrile, 2-Methylthio-cis-zeatin riboside, Indole-3-carboxaldehyde, Indole-3-acetyl glycine, Methyl jasmonate, Salicylic acid 2-O-β-glucoside, ortho-Topolin riboside, 5-Deoxystrigol, and Salicylic acid, respectively.
3.4. Dynamic Changes in Phytohormone Content in Pomegranate Seeds at Three Stages Between HZ and SDZ
Across the three growth stages, the content of IAA in HZ pomegranate seeds first decreased and then increased (Figure 4A), while the IAA content in SDZ seeds gradually decreased. At 60 and 90 DAB, the content of IAA in HZ was lower than that in SDZ. At 60 DAB, the IAA content in the SDZ and HZ pomegranate seeds was the highest, with values of 8.615 ng·g−1 and 4.5869 ng·g−1, respectively. However, the content of IAA in HZ was higher than that in SDZ at 120 DAB. In the first two periods, the content of IAA in HZ pomegranate seeds was lower than that in SDZ seeds, but the IAA content in both was clearly opposite in the last period. Tryptophan (Trp), as a precursor for the biosynthesis of IAA, also underwent similar changes between HZ and SDZ. The TRP content in HZ pomegranate seeds was the highest at 120 DAB (Figure 4B), with a value of 8742.2 ng·g−1. At 60 DAB, the TRP content in SDZ pomegranate seeds was the highest, with a value of 5481.3 ng·g−1.

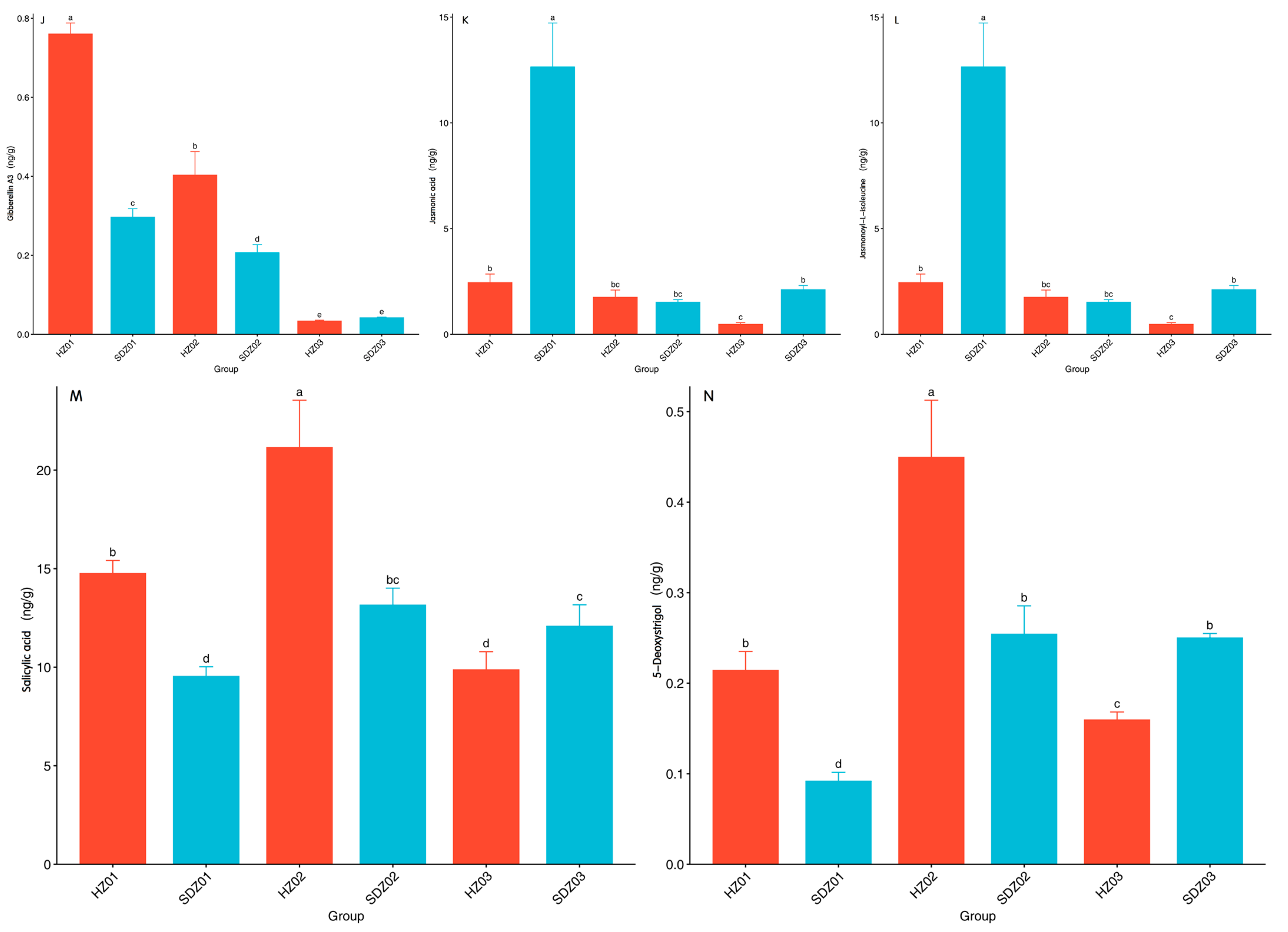
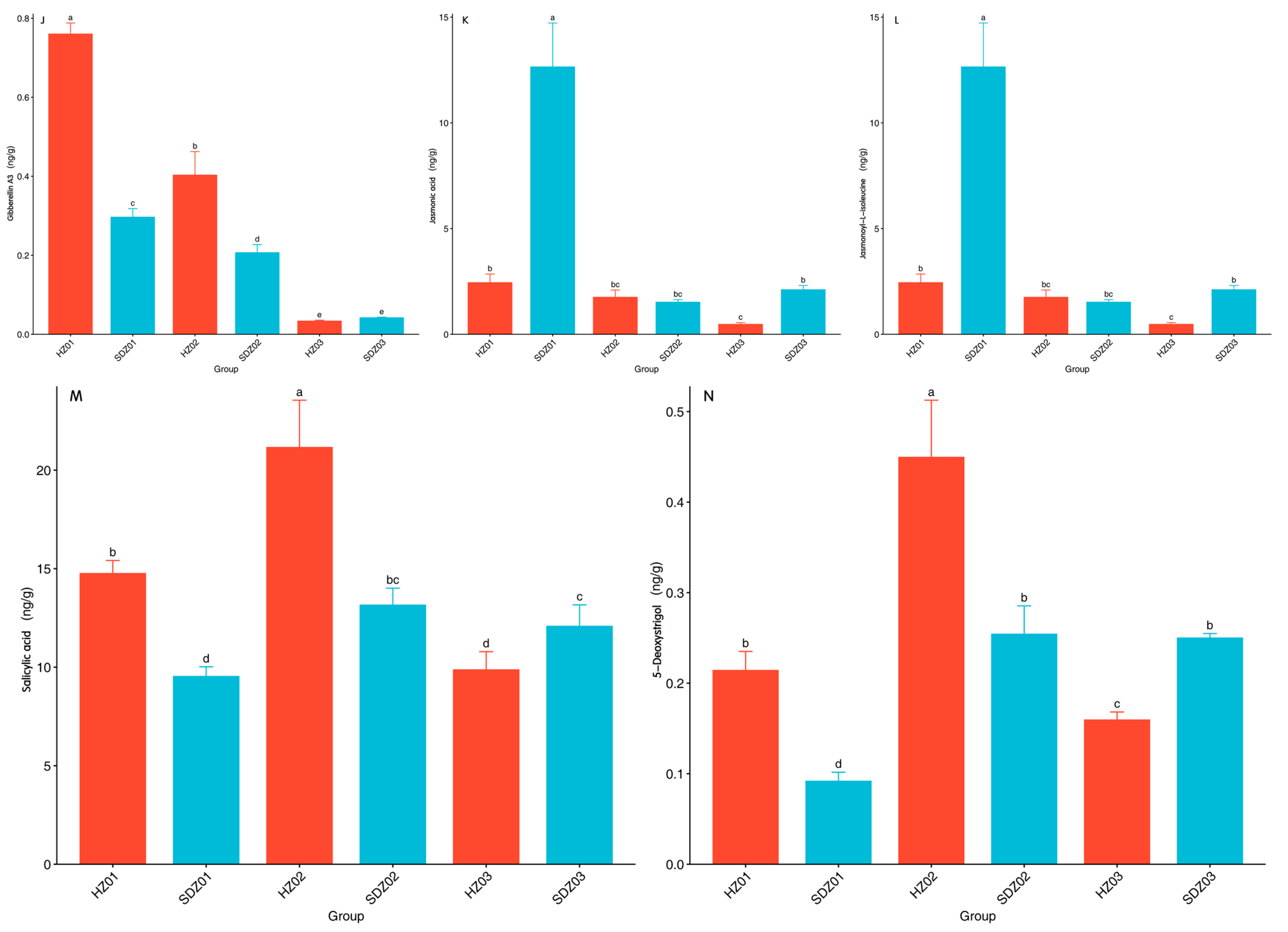
Figure 4.
Changes in indole-3-acetic acid (IAA), L-tryptophan (TRP), dihydrozeatin (DZ), dihydrozeatin-7-glucoside (DHZ7G), N6-isopentenyladenine (IP), trans-Zeatin (tZ), abscisic acid (ABA), 1-aminocyclopropanecarboxylic acid (ACC), gibberellin A1 (GA1), gibberellin A3 (GA3), jasmonic acid (JA), jasmonoyl-L-isoleucine (JA-ILE), salicylic acid (SA), and 5-deoxystrigol (5-DS) contents in pomegranate seeds at three stages between HZ01, HZ02, HZ03 and SDZ01, SDZ02, SDZ03. Note: The determination of the phytohormone contents is based on ultra-high-performance liquid chromatography–tandem mass spectrometry (UPLC-MS/MS) technology. The horizontal axis represents the sample names from two varieties in three periods, and the vertical axis represents hormone contents. Letters (a–e) represent significant difference, p < 0.05. (A) represents the changes in IAA content of two varieties at three periods. (B) represents the changes in TRP content of two varieties at three periods. (C) represents the changes in DZ content of two varieties at three periods. (D) represents the changes in DHZ7G content of two varieties at three periods. (E) represents the changes in IP content of two varieties at three periods. (F) represents the changes in tZ content of two varieties at three periods. (G) represents the changes in ABA content of two varieties at three periods. (H) represents the changes in ACC content of two varieties at three periods. (I) represents the changes in GA1 content of two varieties at three periods. (J) represents the changes in GA3 content of two varieties at three periods. (K) represents the changes in JA content of two varieties at three periods. (L) represents the changes in JA-ILE content of two varieties at three periods. (M) represents the changes in SA content of two varieties at three periods. (N) represents the changes in 5-DS content of two varieties at three periods.
The trend of dihydrozeatin (DZ) content in HZ pomegranate seeds was first to increase and then to decrease, with the maximum value of 281.82 ng·g−1 at 90 DAB (Figure 4C). The content of DZ in SDZ pomegranate seeds gradually decreased, and the value at 60 DAB was 26.152 ng·g−1. Dihydrozeatin-7-glucoside (DHZ7G), as a glucose conjugate of DZ, had no biological activity. The changes in the DHZ7G content in HZ and SDZ pomegranate seeds were consistent with the changes in DZ in both (Figure 4C,D). The contents of DZ and DHZ7G in HZ pomegranate seeds were significantly higher than those in SDZ at each stage. The N6-isopentenyladenine (IP) content in HZ and SDZ pomegranate seeds rapidly decreased, with the maximum values occurring at 60 DAB, which were 2.1439 ng·g−1 and 0.38778 ng·g−1, respectively (Figure 4E). The content of IP in HZ pomegranate seeds was significantly higher at each stage than in SDZ seeds. The trans-zeatin (tZ) content in HZ pomegranate seeds was sharply decreased in the first two periods, and the content was extremely low at 120DAB and could no longer be detected. At 60 DAB, the maximum content of tZ in HZ pomegranate seeds was 2.7271 ng·g−1. The content of tZ in SDZ pomegranate seeds at 60 DAB was 0.2850 ng·g−1 and could not be detected in the last two stages. In the first two stages, the content of tZ in HZ pomegranate seeds was higher than that in SDZ, but still could not be detected in the last stage (Figure 4F).
The ABA content in HZ pomegranate seeds first increased and then slightly decreased, while the ABA content in SDZ gradually increased (Figure 4G). At 90 DAB, the ABA content in HZ pomegranate seeds was the highest, with a value of 61.273 ng·g−1. The ABA content in SDZ pomegranate seeds was the highest at 120 DAB, with a value of 42.618 ng·g−1. At the same time, the ABA content in HZ pomegranate seeds was consistently higher than that in SDZ during the three stages. 1-aminocyclopropane-1-carboxylic acid (ACC) is a direct precursor for ethylene biosynthesis, and the ACC content was positively correlated with the biosynthesis of ethylene. The content of ACC in HZ pomegranate seeds first remained high and then gradually decreased, while the content of ACC in SDZ pomegranate seeds gradually decreased (Figure 4H). At 90 DAB, the ACC content in HZ pomegranate seeds was the highest, with a value of 177.19 ng·g−1. The ABA content in SDZ pomegranate seeds was the highest at 60 DAB, with a value of 119.47 ng·g−1. The contents of ABA and ACC in HZ pomegranate seeds were notably higher than in SDZ seeds in each period.
The content of gibberellin A1 (GA1) in HZ pomegranate seeds first decreased and then remained stable, with a maximum value of 5.2556 ng·g−1. The GA1 content in SDZ pomegranate seeds rapidly decreased in the first two stages and could not be detected in the third stage (Figure 4I). At 60 DAB, the maximum content of tZ in SDZ pomegranate seeds was 2.8711 ng·g−1. The content of GA1 in HZ pomegranate seeds was higher than that in SDZ at each stage. Across all three stages, the content of gibberellin A3 (GA3) in HZ pomegranate seeds rapidly decreased, while the content in SDZ pomegranate seeds decreased more gradually (Figure 4J). The maximum value of GA3 occurred at 60 DAB, with values of 0.7601 ng·g−1 and 0.2966 ng·g−1, respectively. In the first two periods, the content of GA1 in HZ pomegranate seeds was higher than that in SDZ seeds, but the GA1content of both cultivars was basically the same in the last period.
Across the three stages, the content of jasmonic acid (JA) in HZ pomegranate seeds decreased gradually (Figure 4K), and JA-isoleucine (JA-ILE) showed a similar trend. The maximum values of the JA and JA-ILE content were 2.4451 ng·g−1 and 0.2479 ng·g−1, respectively, at 60 DAB. The content of JA in SDZ pomegranate seeds first dropped sharply and then slowly rose over the three periods, and JA-ILE had a similar pattern (Figure 4L). At 60 DAB, the maximum values of JA and JA-ILE were 12.644 ng·g−1 and 0.7628 ng·g−1, respectively.
Additionally, the content of salicylic acid (SA) in HZ pomegranate seeds increased first and then decreased, and the changes in the SA content in SDZ seeds were also similar (Figure 4M). The maximum value of the SA content in HZ and SDZ was 21.15 ng·g−1 and 13.149 ng·g−1, respectively, at 90 DAB. The content of 5-deoxystrgol (5-DS) in HZ pomegranate seeds increased first and then decreased quickly, and the content of 5-DS in SDZ first increased rapidly and then maintained stability. The maximum value of 5-DS content in HZ and SDZ was 0.4494 ng·g−1 and 0.2540 ng·g−1, respectively, at 90 DAB (Figure 4N).
3.5. Statistical Analysis of Differential Phytohormone Contents in Pomegranate Seeds at Three Stages Between HZ and SDZ
The results of the comparative analysis showed that there were 28 significantly different phytohormones in HZ01_vs._SDZ01, of which 18 were upregulated and 10 were downregulated (Table 2). TRA was upregulated in three combinations, namely HZ01_vs._SDZ01, HZ02_vs._SDZ02, HZ03_vs._SDZ03, while IAA-Ala and IAA-Asp were downregulated in these comparisons (Table 3). IAA was downregulated in the HZ03_vs._SDZ03 comparison. In addition, in the comparisons of HZ01_vs._SDZ01, HZ02_vs._SDZ02, HZ03_vs._SDZ03, DZ, IP, and tZ were downregulated. Also, ABA was downregulated in the comparisons HZ01_vs._SDZ01 and HZ02_vs._SDZ02, but was upregulated in HZ01_vs._HZ02 and SDZ01_vs._SDZ02. In addition, GA1 and GA3 were downregulated in the comparisons of HZ01_vs._SDZ01, HZ02_vs._SDZ02, and HZ03_vs._SDZ03. JA, JA-ILE, and MEJA were upregulated in the HZ01_vs._SDZ01 and HZ03_vs._SDZ03 comparisons, while JA-ILE and MEJA were downregulated in HZ02_vs._SDZ02. Finally, in the comparisons of HZ01_vs._HZ02 and SDZ01_vs._SDZ02, ABA and 5-DS were upregulated, while TRA, IAA-Glu, IAA, IP, tZ, JA-ILE, and JA-VAL were downregulated.
Table 2.
A summary of statistics on the number of differential phytohormones.
Table 3.
The list of differentially expressed phytohormones in pomegranate seeds at three stages between HZ and SDZ.
3.6. KEGG Analysis of Differential Metabolites in Pomegranate Seeds at Three Stages Between HZ and SDZ
In HZ01_vs._SDZ01, differential metabolites were enriched in nine metabolic pathways, and in particular the pathways of carotenoid biosynthesis and alpha-linolenic acid metabolism were significantly enriched (Figure 5A). The pathway of plant hormone signal transduction was significantly enriched in HZ02_vs._SDZ02 (Figure 5B). There were sixteen metabolic pathways involved in the enrichment of differential metabolites in HZ03_vs._SDZ03, among which the pathways of tryptophan metabolism, plant hormone signal transduction, and indole alkaloid biosynthesis were significantly enriched (Figure 5C).
Figure 5.
KEGG enrichment plot of differential metabolites in pomegranate seeds at three stages between HZ and SDZ. (A) HZ01_vs._SDZ01; (B) HZ02_vs._SDZ02; (C) HZ03_vs._SDZ03. Note: The horizontal axis represents the Rich factor corresponding to each pathway, the vertical axis represents the pathway name. The color of the dot corresponds to the p-Value, where the redder the dot, the more significant the enrichment level. The size of the dots represents the number of enriched differential metabolites. The Rich factor is the ratio of the number of differential metabolites in the corresponding pathway to the total number of metabolites annotated by that pathway. The magnitude of the value indicates the degree of enrichment. Arrows indicate significantly enriched pathways.
4. Discussion
4.1. The Relationship Between Lignin Formation and Seed Hardness in Pomegranate
A previous study found that the seed coat begins to develop 40 days after blooming in pomegranate [15]. The formation of seed hardness is the process of the continuous accumulation of lignin in the cells of the inner seed coat and the gradual thickening of the secondary cell wall, that is, the process of inner seed coat cell wall lignification. In addition, it was found through anatomical observation that only part of the inner seed coat of soft-seed varieties was lignified, while the entire inner seed coat of hard-seed varieties was lignified, except for the cells around the vascular bundles [29]. In the study of the development of ginkgo seed coats, it was found that closer fruit maturity, the cell wall of the middle seed coat significantly thickens and becomes lignified, forming a multi-layer structure mainly composed of a large number of lignified tracheids [30]. The results of our study indicate that the degree of lignification of the outer cell wall of the mature seed coat was very high in the hard-seed pomegranate variety, and there were significant differences in the thickness of the outer cell wall of the lignified seed coat between the two varieties studied. Comparing the hard-seeded and soft-seeded varieties, the soft-seeded variety had thinner lignified cell walls and larger inner spaces within the cell walls. Therefore, the accumulation of lignin in the hard-seeded variety was higher than that in the soft-seeded variety during seed development, which may be an important reason for the softness of the latter’s seeds.
4.2. The Relationship Between the Content of IAA, CTKs, ABA, GAs, JA, SA, and SLs and the Hardness of Pomegranate Seeds
Phytohormone regulate the metabolic processes occurring in different tissues or organs of plants, even in the processes of cell aging and death, through the joint regulation of different hormones, thereby determining the quality of fruits [31,32].
Auxins are widely involved in various processes of plant growth and development, including embryo development; the morphogenesis of roots, stems, and leaves; fruit development; and polarity response [33,34]. During the hardening process of the inner skin of walnuts, the content of IAA consistently decreases during the incomplete hardening period and showed an upward trend in the later stage of hardening [35,36]. From the results of our study, it can be inferred that the accumulation and degree of development of seed lignin in the two pomegranate varieties were different. The AUX/IAA family of genes encoded a class of primary auxin-response-negative regulatory proteins and also a class of auxin-induced expression proteins, which regulated the expression of auxin response genes by interacting with specific auxin response factors (ARFs) [37]. An association analysis of genes and transcription factors related to lignin metabolism during the development of inner and outer seed coats found that AUX-IAA (Pgr000815) may be involved in the lignin metabolism, while AUX-IAA2 (Pgr011491.1), MYB (Pgr022940.1), and NAC66 (Pgr017424.1) may be involved in the metabolism of cellulose and hemicellulose [38].
Cytokinins play a role in the division and differentiation of plant vascular cells during cellular development and are essential for maintaining the structure and stability of procambial cells [19]. However, the function of cytokinins cannot be achieved without the cooperation of auxin [39]. Therefore, to maintain their structure in the same number of secondary wall cells in their seeds, soft-seeded pomegranate varieties need to maintain high concentrations of cytokinins, which is also the reason why their cytokinin content was always higher than that of hard-seeded varieties during the three fruit development stages in our analyses.
ABA is a very important plant hormone which can not only receive external environmental signals (including signals of drought, salt stress, low temperature, etc.) to participate in regulating plant growth and development, but which also plays an important role in fruit ripening [40]. This is consistent with the changes in endogenous ABA during the ripening process of peach (a concentration of ABA greater than 200 ng·g−1), mango (a concentration of ABA greater than 1000 ng·g−1), and cucumber fruits (a concentration of ABA more than 90 ng·g−1) [41,42,43]. During the process of fruit ripening, there is a decrease in fruit hardness due to the massive accumulation of ABA, which increases the activity of enzymes such as cell wall-degrading enzymes, pectinesterase, and polygalacturonase that can alter the structure of fruit cell walls [44]. However, some studies suggest that exogenous ABA treatment (at concentrations of ABA of 50 mg·L−1, 100 μM, and 25 mg·L−1) can promote the synthesis and accumulation of lignin in plants [25,45,46]. It can be inferred that high concentrations of endogenous ABA inhibit lignin synthesis during the development of pomegranate seeds, while low concentrations promote it.
Gibberellins (GAs) can regulate stem elongation, secondary growth, and lignification of xylem in plants [47]. The application of exogenous GA3 plays a positive promoting role in the lignification process of carrot (Daucus carota L.) roots, moso bamboo (Phyllostachys edulis), and sweet potato (Ipomoea batatas) vascular roots, as well as in increasing pear (Pyrus ussuriensis Maxim.) stone cell content [48,49,50,51]. Similarly, the content of endogenous hormones GA1 and GA3 in pomegranate fruits was higher in the soft-seeded variety than in the hard-seeded variety during the three developmental stages in our study. These findings confirm that gibberellins may participate in the regulation of plant xylem formation and development in multiple ways.
JA is an endogenous growth regulator that regulates the expression of downstream related genes in plants through the JA signaling pathway when stimulated by the environment or required for their own growth, thereby balancing plant growth [52]. JA participates in regulating lignin synthesis in Arabidopsis and melon stems in the form of active compounds when subjected to organ damage or external stress [53,54]. SA, as a small-molecule phenolic compound, is a plant growth regulator and important signaling molecule commonly found in plants [55]. SA can interfere with the signal transduction or response of gibberellin (GA), thereby inhibiting the expression of lignin synthesis-related enzyme genes in cells and affecting plant growth [56]. Strigolactones (SLs) are a novel class of plant hormones originated from the carotenoid pathway at the root and stem ends, closely related to lateral branch growth in plants [57]. 5-deoxystrigol (5-DS) is a precursor for the synthesis of SLs and is commonly found in many plants. The treatment of strawberry fruits during storage with 1 μM exogenous SL can significantly increase PAL and 4CL enzyme activity to promote lignin accumulation [58].
5. Conclusions
The results of this study indicate that the degree of cell wall lignification in pomegranate seeds increases with the development process, and there are differences in the thickness of stereid layer lignification among different pomegranate varieties. The seed hardness of pomegranate is mainly reflected in the accumulation of lignin in the stereid layer. The synthesis and accumulation of lignin in pomegranate seeds are regulated by multiple plant hormones, and there are also promotion and inhibition activities among hormones. A high level of IAA promotes the development of pomegranate seeds, and the transcription products of the IAA response factor accumulate in the seed coat. During the development of pomegranate seeds, the seed hardness is directly proportional to the content of endogenous IAA and JA and inversely proportional to the content of CTKs, ABA, GAs, SA, and SLs. In essence, the role of endogenous hormones is complex, and they may even have opposite effects at different concentration levels. IAA, CTKs, ABA, GA1, and SA play a major role in the formation of lignin in pomegranate seeds, collectively determining the seed hardness. The results of this study help us to further understand the role of endogenous hormones in regulating pomegranate seed hardness.
Author Contributions
H.L. and Z.L. jointly proposed the experimental ideas; H.L. and L.C. designed specific experimental plans and operational steps. H.L. and R.L. used software to analyze data. H.L. completed the writing of the initial draft. H.L. and Z.L. confirmed the reliability of the data and improved the original draft. All authors have read and agreed to the published version of the manuscript.
Funding
This work was supported by the National Key Research and Development Program of China (no. 2021YFD1600801) from the China Rural Technology Development Center, and the Agricultural Science and Technology Innovation Program (no. CAAS-ASTIP-2024-ZFRI-05) from Chinese Academy of Agricultural Sciences.
Data Availability Statement
The data that support the findings of this study are available from the corresponding author upon reasonable request.
Conflicts of Interest
The authors declare that they have no competing financial interests or personal relationships that may have influenced the work reported in this study.
References
- Cao, S.Y.; Hou, L.F. Introduction of Chapter one. In China Fruit Monograph-Punica Granatum, 1st ed.; China Forestry Publishing House: Beijing, China, 2013; pp. 1–2. [Google Scholar]
- Jalikop, S.H.; Kumar, P.S. Use of soft, semi-soft and hardseedled types of pomegranate (Punica granatum) for improvement of firuit attributes. Indian J. Agric. Sci. 1998, 68, 87–91. [Google Scholar]
- Melgarejo, P.; Sanchez, M.; Hernandez, Z.F.; Martnez, J.J.; Amoros, A. Parameters for determining the hardness and pleasantness of pomegranates (Punica granatum L.). Options Méditerr. Sér. A Sémin. Méditerr. 2000, 42, 225–230. [Google Scholar]
- Lu, L.J.; Gong, X.M.; Zhu, L.W. Study on seed hardness of pomegranate cultivars in China. J. Anhui Agric. Univ. 2006, 33, 356–359. [Google Scholar]
- Holland, D.; Hatib, K.; Bar-Ya’akoy, I. Pomegranate: Botany, horticulture, breeding. Hortic. Rev. 2009, 35, 127–191. [Google Scholar]
- Hang, Z.Q.; Han, Q.B.; Xu, J.S. Components analysis of Punica granatum L. seed. J. Anhui Agric. Sci. 2010, 38, 18740–18741. [Google Scholar]
- Dalimov, D.N.; Dalimova, G.N.; Bhatt, M. Chemical composition and lignins of tomato and pomegranate seeds. Chem. Nat. Compd. 2003, 39, 37–40. [Google Scholar] [CrossRef]
- Qin, G.H.; Liu, C.Y.; Xu, Y.L.; Li, Y.L.; Qi, Y.J.; Pan, H.F.; Yi, X.K.; Gao, Z.H. Microstructure observation of seed coats and its development of pomegranate (Punica granatum L.). Chin. J. Trop. Crops 2018, 39, 489–493. [Google Scholar]
- Boerjan, W.; Ralph, J.; Baucher, M. Lignin biosynthesis. Annu. Rev. Plant Biol. 2003, 54, 519–546. [Google Scholar] [CrossRef] [PubMed]
- Humphreys, J.M.; Chapple, C. Rewriting the lignin roadmap. Curr. Opin. Plant Biol. 2002, 5, 224–229. [Google Scholar] [CrossRef] [PubMed]
- Barros, J.; Shrestha, H.K.; Serrani-Yarce, J.C.; Engle, N.L.; Abraham, P.E.; Tschaplinski, T.J.; Hettich, R.L.; Dixon, R.A. Proteomic and metabolic disturbances in lignin-modifiedBrachypodium distachyon. Plant Cell 2022, 34, 3339–3363. [Google Scholar] [CrossRef] [PubMed]
- Dai, H.Y.; Han, G.F.; Yan, Y.J.; Zhang, F.; Liu, Z.C.; Li, X.M.; Li, W.R.; Ma, Y.; Li, H.; Liu, Y.X.; et al. Transcript assembly and quantification by RNA-Seq reveals differentially expressed genes between soft-endocarp and hard-endocarp Hawthorns. PLoS ONE 2013, 8, e72910. [Google Scholar] [CrossRef]
- Dardick, C.D.; Callahan, A.M.; Chiozzotto, R.; Schaaffer, R.J.; Piangnani, M.C.; Scorza, R. Stone formation in peach fruit exhibits spatial coordination of the lignin and flavonoid pathways and similarity to Arabidopsis dehiscence. BMC Biol. 2010, 8, 13–29. [Google Scholar] [CrossRef] [PubMed]
- Sarkhosh, A.; Zamani, Z.; Fatahi, R.; Ranjbar, H. Evaluation of genetic diversity among Iranian soft-seed pomegranate accessions by fruit characteristics and RAPD markers. Sci. Hortic. 2009, 121, 313–319. [Google Scholar] [CrossRef]
- Xue, H.; Cao, S.Y.; Li, H.X.; Zhang, J.; Niu, J.; Chen, L.N.; Zhang, F.H.; Zhao, D.G. De novo transcriptome assembly and quantification reveal differentially expressed genes between soft-seed and hard-seed pomegranate (Punica granatum L.). PLoS ONE 2017, 12, e0178809. [Google Scholar] [CrossRef]
- Xia, X.C.; Li, H.X.; Cao, D.; Luo, X.; Yang, X.W.; Chen, L.N.; Liu, B.B.; Wang, Q.; Jing, D.; Cao, S.Y. Characterization of a NAC transcription factor involved in the regulation of pomegranate seed hardness (Punica granatum L.). Plant Physiol. Biochem. 2019, 139, 379–388. [Google Scholar] [CrossRef]
- Demura, T.; Fukuda, H. Transcriptional regulation in wood formation. Trends Plant Sci. 2007, 12, 64–70. [Google Scholar] [CrossRef]
- Qin, G.H.; Xu, C.Y.; Ming, R.; Tang, H.B.; Guyot, R.; Kramer, E.M.; Hu, Y.D.; Yi, X.K.; Qi, Y.J.; Xu, X.Y.; et al. The pomegranate (Punica granatum L.) genome and the genomics of punicalagin biosynthesis. Plant J. 2017, 91, 1108–1128. [Google Scholar] [CrossRef]
- Fukuda, H. Signals that control plant vascular cell differentiation. Nat. Rev. Mol. Cell Biol. 2004, 5, 379–391. [Google Scholar] [CrossRef]
- Xiao, Y.; Yi, F.; Ling, J.J.; Yang, G.J.; Lu, N.; Jia, Z.R.; Wang, J.C.; Zhao, K.; Wang, J.H.; Ma, W.J. Genome-wide analysis of lncRNA and mRNA expression and endogenous hormone regulation during tension wood formation in Catalpa bungei. BMC Genom. 2020, 21, 609. [Google Scholar] [CrossRef] [PubMed]
- Uggla, C.; Sandberg, G.; Sundberg, B.; Moritz, T. Auxin as a positional signal in pattern formation in plants. Proc. Natl. Acad. Sci. USA 1996, 93, 9282–9286. [Google Scholar] [CrossRef] [PubMed]
- Tuominen, H.; Puech, L.; Fink, S.; Sundberg, B. A radial concentration gradient of indole-3-acetic acid is related to sec-ondary xylem development in hybrid aspen. Plant Physiol. 1997, 115, 577–585. [Google Scholar] [CrossRef]
- Li, Y.X.; Yu, S.Q.; Guo, Z.Z.; Fu, J.Z.; Lu, H.L.; Wang, H.X.; Zhang, R.; Mu, T.L.P. Effect of exogenous IAA on the growth and development of walnut endocarp. J. Fruit Sci. 2024, 41, 941–955. [Google Scholar]
- Aloni, R.; Tollier, M.T.; Monties, B. The role of auxin and gibberellin in controlling lignin formation in primary phloem fibers and in xylem of coleus blumei stems. Plant Physiol. 1990, 94, 1743–1747. [Google Scholar] [CrossRef]
- Jin, M.J.; Jiao, J.Q.; Zhao, Q.X.; Ban, Q.Y.; Gao, M.; Suo, J.T.; Zhu, Q.G.; Rao, J.P. Dose effect of exogenous abscisic acid on controlling lignification ofpostharvest kiwifruit (Actinidia chinensis cv. hongyang). Food Control 2021, 124, 107911. [Google Scholar] [CrossRef]
- Khadr, H.; Wang, Y.H.; Zhang, R.R.; Wang, X.R.; Xu, Z.S.; Xiong, A.S. Cytokinin (6-benzylaminopurine) elevates lignification and the expression of genes involved in lignin biosynthesis of carrot. Protoplasma 2020, 257, 1507–1517. [Google Scholar] [CrossRef]
- Chen, L.N.; Niu, J.; Liu, B.B.; Jing, D.; Luo, X.; Li, H.X.; Xia, X.C.; Yang, X.W.; Zhang, F.H.; Cao, D.; et al. Effects of foliar application of plant growth regulators at different flowering stages on fruit setting and quality in pomegranate. J. Fruit Sci. 2020, 37, 244–253. [Google Scholar]
- Zhang, S.M.; Gong, L.Y.; Cao, D.Q.; Zhang, Y.J.; Yang, J. Total lignin content in pomegranate seed coat and cloning and expression analysis of PgCOMT gene. J. Trop. Subtrop. Bot. 2015, 23, 65–73. [Google Scholar]
- Xie, X.B.; Huang, Y.; Tian, S.Y.; Li, G.L.; Cao, S.Y. Relationship of seed hardness development and microstructure of seed coat cell in soft seed pomegranate. Acta Hortic. Sin. 2017, 44, 1174–1180. [Google Scholar] [CrossRef]
- Wang, L.; Qi, Y.M.; Lu, Y.; Jin, B. Morphogenesis and structural characteristics of mesotesta in Ginkgo biloba L. J. Chin. Electron Microsc. Soc. 2009, 28, 573–578. [Google Scholar]
- Bowman, J.L.; Floyd, S.K. Patterning and Polarity in Seed Plant Shoots. Annu. Rev. Plant Biol. 2008, 59, 67–88. [Google Scholar] [CrossRef]
- Du, W.; Ding, J.; Ruan, C.J. Dynamic changes of endogenous hormone levels during the development of sea-buckthorn fruit. Chin. Bull. Bot. 2018, 53, 219–226. [Google Scholar]
- Pattison, R.J.; Csukasi, F.; Catalá, C. Mechanisms regulating auxin action during fruit development. Physiol. Plant. 2014, 151, 62–72. [Google Scholar] [CrossRef] [PubMed]
- Zheng, L.W.; Gao, C.; Zhao, C.D.; Zhang, L.Z.; Han, M.Y.; An, N.; Ren, X.L. Effects of brassinosteroid associated with auxin and gibberellin on apple tree growth and gene expression patterns. Hortic. Plant J. 2019, 5, 93–108. [Google Scholar] [CrossRef]
- Zhao, S.G.; Liu, K.; Wen, J.; Wang, H.X.; Zhang, Z.H.; Hua, L. Effect of GA3 and 6-BA on the development of walnut shell. Acta Hortic. Sin. 2019, 46, 2119–2128. [Google Scholar]
- Yu, S.Q.; Zhang, R.; Guo, Z.Z.; Song, Y.; Fu, J.Z.; Wu, P.Y.; Ma, Z.H. Dynamic changes of auxin and analysis of differentially expressed genes in walnut endocarp during hardening. Acta Hortic. Sin. 2021, 48, 487–504. [Google Scholar]
- Li, Y.Y.; Qi, Y.H. Advances in biological functions of Aux/IAA gene family in plants. Chin. Bull. Bot. 2022, 57, 30–41. [Google Scholar]
- Qin, G.H.; Liu, C.Y.; Li, J.Y.; Qi, Y.J.; Gao, Z.H.; Zhang, Z.L.; Yi, X.K.; Pan, H.F.; Ming, R.; Xu, Y.L. Diversity of metabolite accumulation patterns in inner and outer seed coats of pomegranate: Exploring their relationship with genetic mechanisms of seed coat development. Hortic. Res. 2020, 7, 10. [Google Scholar] [CrossRef] [PubMed]
- Fukuda, H. Tracheary element differentiation. Plant Cell 1997, 9, 1147–1156. [Google Scholar] [CrossRef]
- Leng, P.; Yuan, B.; Guo, Y.D. The role of abscisic acid in fruit ripening and responses to abiotic stress. J. Exp. Bot. 2014, 65, 4577–4588. [Google Scholar] [CrossRef]
- Cao, Y.Q.; Leng, P.; Pan, X.; Yan, Z.G.; Ren, J. Role of abscisic acid in fruit ripening of peach. Acta Hortic. Sin. 2009, 36, 1037–1042. [Google Scholar]
- Sakimin, S.Z.; Zora, S.; Gregory, M.S.; James, B.R. Role of brassinosteroids, ethylene, abscisic acid, and indole-3-acetic acid in mango fruit ripening. J. Plant Growth Regul. 2012, 31, 363–372. [Google Scholar]
- Wang, Y.P.; Wu, Y.; Ji, K.; Dai, S.J.; Hu, Y.; Sun, L.; Li, Q.; Chen, P.; Sun, Y.F.; Duan, C.R.; et al. The role of abscisic acid in regulating cucumber fruit development and ripening and its transcriptional regulation. Plant Physiol. Biochem. 2013, 64, 70–79. [Google Scholar] [CrossRef]
- Li, C.; Hou, B.Z. Molecular mechanism of abscisic acid in regulating fruit ripening. J. Fruit Sci. 2023, 40, 988–999. [Google Scholar]
- Peter, G.M.; David, M.C. Suppression by ABA of salicylic acid and lignin accumulation and the expression of multiple genes, in Arabidopsis infected with Pseudomonas syringae pv. Tomato. Funct. Integr. Genom. 2006, 7, 181–191. [Google Scholar]
- Zhang, Z.P.; Tan, Y.X.; Li, B.J.; Li, Y.C.; Bi, Y.; Li, S.Q.; Wang, X.J.; Zhang, Y.; Hu, D. Effects of exogenous abscisic acid treatment on periderm suberification of postharvest mini-tuber potato from aeroponic system and its possible mechanisms. Sci. Agric. Sin. 2023, 56, 1154–1167. [Google Scholar]
- Mauriat, M.; Moritz, T. Analyses of GA20ox- and GID1-over-expressing aspen suggest that gibberellins play two distinct roles in wood formation. Plant J. 2009, 58, 989–1003. [Google Scholar] [CrossRef] [PubMed]
- Wang, G.L.; Que, F.; Xu, Z.S.; Wang, F.; Xiong, A.S. Exogenous gibberellin enhances secondary xylem development and lignification in carrot taproot. Protoplasma 2017, 254, 839–848. [Google Scholar] [CrossRef] [PubMed]
- Zhang, H.X.; Wang, H.H.; Zhu, Q.; Gao, Y.b.; Wang, H.Y.; Zhao, L.Z.; Wang, Y.S.; Xi, F.H.; Wang, W.F.; Yang, Y.Q.; et al. Transcriptome characterization of moso bamboo (Phyllostachys edulis) seedlings in response to exogenous gibberellin applications. BMC Plant Biol. 2018, 18, 125. [Google Scholar] [CrossRef]
- Singh, V.; Sergeeva, L.; Ligterink, W.; Aloni, R.; Zemach, H.; Doron-Faigenboim, A.; Yang, J.; Zhang, P.; Shabtai, S.; Firon, N. Gibberellin promotes sweetpotato root vascular lignification and reduces storage-root formation. Front. Plant Sci. 2019, 10, 1320. [Google Scholar] [CrossRef]
- Wang, X.Q.; Shang, Y.; Liu, W.C.; Liu, C.; Du, G.D.; Lv, D.G. Effect of growth regulators, Ca and B fertilizers on calyx abscission, fruit quality, and lignin metabolism in Nanguo pear. J. Shenyang Agric. Univ. 2019, 50, 399–405. [Google Scholar]
- Lyons, R.; Manners, J.M.; Kazan, K. Jasmonate biosynthesis and signaling in monocots: A comparative overview. Plant Cell Rep. 2013, 32, 815–827. [Google Scholar] [CrossRef]
- Denness, L.; McKenna, J.F.; Segonzac, C.; Wormit, A.; Madhou, P.; Bennett, M.; Mansfield, J.; Zipfel, C.; Hamann, T. Cell wall damage-induced lignin biosynthesis is gegulated by a reactive oxygen species- and jasmonic acid-dependent process in Arabidopsis. Plant Physiol. 2011, 156, 1364–1374. [Google Scholar] [CrossRef]
- Liu, W.; Jiang, Y.; Jin, Y.Z.; Wang, C.H.; Yang, J.; Qi, H.Y. Drought-induced ABA, H2O2 and JA positively regulate CmCAD genes and lignin synthesis in melon stems. BMC Plant Biol. 2021, 21, 83. [Google Scholar] [CrossRef] [PubMed]
- Chen, Z.; Zheng, Z.; Huang, J.; Lai, Z.; Fan, B. Biosynthesis of salicylic acid in plants. Plant Signal. Behav. 2009, 4, 493–496. [Google Scholar] [CrossRef]
- Lina, G.G.; Luis, E.T.; Lisa, A.J.; Richard, A.D. Salicylic acid mediates the reduced growth of lignin down-regulated plants. Proc. Natl. Acad. Sci. USA 2011, 108, 20814–20819. [Google Scholar]
- Gomez-Roldan, V.; Fermas, S.; Brewer, P.B.; Puech-Pagès, V.; Dun, E.A.; Pillot, J.P.; Letisse, F.; Matusova, R.; Danoun, S.; Portais, J.C.; et al. Strigolactone inhibition of shoot branching. Nature 2008, 455, 189–194. [Google Scholar] [CrossRef] [PubMed]
- Huang, D.D.; Wang, Y.Y.; Zhang, D.C.; Dong, Y.F.; Meng, Q.X.; Zhu, S.H.; Zhang, L.L. Strigolactone maintains strawberry quality by regulating phenylpropanoid, NO, and H2S metabolism during storage. Postharvest Biol. Technol. 2021, 178, 111546. [Google Scholar] [CrossRef]
Disclaimer/Publisher’s Note: The statements, opinions and data contained in all publications are solely those of the individual author(s) and contributor(s) and not of MDPI and/or the editor(s). MDPI and/or the editor(s) disclaim responsibility for any injury to people or property resulting from any ideas, methods, instructions or products referred to in the content. |
© 2025 by the authors. Licensee MDPI, Basel, Switzerland. This article is an open access article distributed under the terms and conditions of the Creative Commons Attribution (CC BY) license (https://creativecommons.org/licenses/by/4.0/).





