Enhancing Succinic Acid Production by Sequential Adaptation of Selected Basfia succiniciproducens Strains to Arundo donax Hydrolysate
Abstract
1. Introduction
2. Materials and Methods
2.1. Experimental Design
2.2. Sequential Adaptation of B. succiniciproducens Strains
2.3. Growth Tolerance Tests to Different Inhibitory Mixtures
2.4. Growth in Inhibitory Mixture Containing Fermentation End-Products and Toxic Compounds
2.5. Study of Succinic Acid Production in Batch Fermentation
2.6. Optimization of Culture Conditions in Fermentation Processes
2.7. Calculation of Yields and Molar Ratios
2.8. Statistical Analysis and Data Visualization
3. Results and Discussion
3.1. Sequential Adaptation with Single Inhibiting Compound
3.2. Sequential Adaptation in a Mixture of Inhibitory Compounds
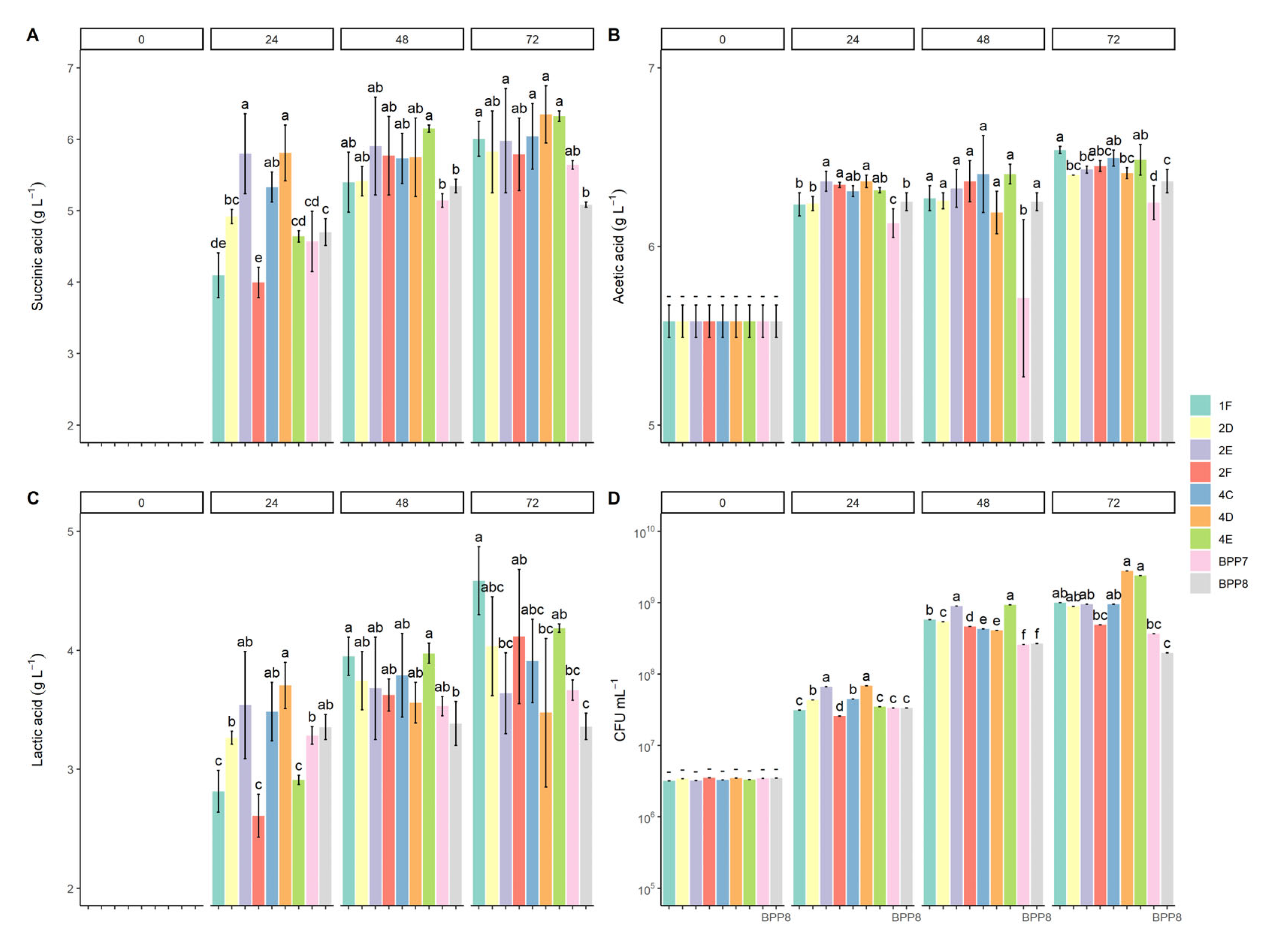
3.3. Performance of B. succiniciproducens BPP7 and BPP8 Adapted Bacterial Lines on A. donax Hydrolysate in Batch Fermentation Trial
3.4. Fermentation Trial
4. Conclusions
Author Contributions
Funding
Institutional Review Board Statement
Informed Consent Statement
Data Availability Statement
Conflicts of Interest
References
- Kim, W.J.; Ahn, J.H.; Kim, H.U.; Kim, T.Y.; Lee, S.Y. Metabolic Engineering of Mannheimia Succiniciproducens for Succinic Acid Production Based on Elementary Mode Analysis with Clustering. Biotechnol. J. 2017, 12, 1600701. [Google Scholar] [CrossRef] [PubMed]
- Pateraki, C.; Ladakis, D.; Stragier, L.; Verstraete, W.; Kookos, I.; Papanikolaou, S.; Koutinas, A. Pretreatment of Spent Sulphite Liquor via Ultrafiltration and Nanofiltration for Bio-Based Succinic Acid Production. J. Biotechnol. 2016, 233, 95–105. [Google Scholar] [CrossRef] [PubMed]
- Akhtar, J.; Idris, A.; Aziz, R.A. Recent Advances in Production of Succinic Acid from Lignocellulosic Biomass. Appl. Microbiol. Biotechnol. 2014, 98, 987–1000. [Google Scholar] [CrossRef] [PubMed]
- Saxena, R.K.; Saran, S.; Isar, J.; Kaushik, R. 27-Production and Applications of Succinic Acid. In Current Developments in Biotechnology and Bioengineering, Production, Isolation and Purification of Industrial Products; Pandey, A., Negi, S., Soccol, C.R., Eds.; Elsevier: Amsterdam, The Netherlands, 2017; pp. 601–630. ISBN 978-0-444-63662-1. [Google Scholar]
- Nghiem, N.P.; Kleff, S.; Schwegmann, S. Succinic Acid: Technology Development and Commercialization. Fermentation 2017, 3, 26. [Google Scholar] [CrossRef]
- Liu, Y.-J.; Li, B.; Feng, Y.; Cui, Q. Consolidated Bio-Saccharification: Leading Lignocellulose Bioconversion into the Real World. Biotechnol. Adv. 2020, 40, 107535. [Google Scholar] [CrossRef]
- Hariz, H.B.; Zaidi, S.A.S.; Luthfi, A.A.I.; Bukhari, N.A.; Sajab, M.S.; Markom, M.; Harun, S.; Tan, J.-P.; Ding, G.-T.; Abdul, P.M. Succinic Acid Production from Oil Palm Biomass: A Prospective Plastic Pollution Solution. Fermentation 2023, 9, 46. [Google Scholar] [CrossRef]
- Hijosa-Valsero, M.; Paniagua-García, A.I.; Díez-Antolínez, R. Assessment of Vine Shoots and Surplus Grape Must for Succinic Acid Bioproduction. Appl. Microbiol. Biotechnol. 2022, 106, 4977–4994. [Google Scholar] [CrossRef]
- Kuhnert, P.; Scholten, E.; Haefner, S.; Mayor, D.; Frey, J. Basfia Succiniciproducens Gen. Nov., Sp. Nov., a New Member of the Family Pasteurellaceae Isolated from Bovine Rumen. Int. J. Syst. Evol. Microbiol. 2010, 60, 44–50. [Google Scholar] [CrossRef]
- Dickson, R.; Mancini, E.; Garg, N.; Woodley, J.M.; Gernaey, K.V.; Pinelo, M.; Liu, J.; Mansouri, S.S. Sustainable Bio-Succinic Acid Production: Superstructure Optimization, Techno-Economic, and Lifecycle Assessment. Energy Environ. Sci. 2021, 14, 3542–3558. [Google Scholar] [CrossRef]
- Van der Werf, M.J.; Guettler, M.V.; Jain, M.K.; Zeikus, J.G. Environmental and Physiological Factors Affecting the Succinate Product Ratio during Carbohydrate Fermentation by Actinobacillus Sp. 130Z. Arch. Microbiol. 1997, 167, 332–342. [Google Scholar] [CrossRef]
- Lee, P.; Lee, S.; Hong, S.; Chang, H. Isolation and Characterization of a New Succinic Acid-Producing Bacterium, Mannheimia Succiniciproducens MBEL55E, from Bovine Rumen. Appl. Microbiol. Biotechnol. 2002, 58, 663–668. [Google Scholar] [CrossRef]
- Ahn, J.H.; Jang, Y.-S.; Lee, S.Y. Production of Succinic Acid by Metabolically Engineered Microorganisms. Curr. Opin. Biotechnol. 2016, 42, 54–66. [Google Scholar] [CrossRef]
- Yang, J.; Wang, Z.; Zhu, N.; Wang, B.; Chen, T.; Zhao, X. Metabolic Engineering of Escherichia coli and in Silico Comparing of Carboxylation Pathways for High Succinate Productivity under Aerobic Conditions. Microbiol. Res. 2014, 169, 432–440. [Google Scholar] [CrossRef]
- Cimini, D.; Argenzio, O.; D’Ambrosio, S.; Lama, L.; Finore, I.; Finamore, R.; Pepe, O.; Faraco, V.; Schiraldi, C. Production of Succinic Acid from Basfia Succiniciproducens up to the Pilot Scale from Arundo Donax Hydrolysate. Bioresour. Technol. 2016, 222, 355–360. [Google Scholar] [CrossRef]
- Ventorino, V.; Robertiello, A.; Cimini, D.; Argenzio, O.; Schiraldi, C.; Montella, S.; Faraco, V.; Ambrosanio, A.; Viscardi, S.; Pepe, O. Bio-Based Succinate Production from Arundo Donax Hydrolysate with the New Natural Succinic Acid-Producing Strain Basfia Succiniciproducens BPP7. BioEnergy Res. 2017, 10, 488–498. [Google Scholar] [CrossRef]
- Salvachúa, D.; Smith, H.; John, P.C.S.; Mohagheghi, A.; Peterson, D.J.; Black, B.A.; Dowe, N.; Beckham, G.T. Succinic Acid Production from Lignocellulosic Hydrolysate by Basfia Succiniciproducens. Bioresour. Technol. 2016, 214, 558–566. [Google Scholar] [CrossRef]
- Scholten, E.; Dägele, D. Succinic Acid Production by a Newly Isolated Bacterium. Biotechnol. Lett. 2008, 30, 2143–2146. [Google Scholar] [CrossRef]
- Salvachúa, D.; Mohagheghi, A.; Smith, H.; Bradfield, M.F.A.; Nicol, W.; Black, B.A.; Biddy, M.J.; Dowe, N.; Beckham, G.T. Succinic Acid Production on Xylose-Enriched Biorefinery Streams by Actinobacillus Succinogenes in Batch Fermentation. Biotechnol. Biofuels 2016, 9, 28. [Google Scholar] [CrossRef]
- Ladakis, D.; Michailidi, K.; Vlysidis, A.; Koutinas, A.; Kookos, I.K. Valorization of Spent Sulphite Liquor for Succinic Acid Production via Continuous Fermentation System. Biochem. Eng. J. 2018, 137, 262–272. [Google Scholar] [CrossRef]
- Stylianou, E.; Pateraki, C.; Ladakis, D.; Cruz-Fernández, M.; Latorre-Sánchez, M.; Coll, C.; Koutinas, A. Evaluation of Organic Fractions of Municipal Solid Waste as Renewable Feedstock for Succinic Acid Production. Biotechnol. Biofuels 2020, 13, 72. [Google Scholar] [CrossRef]
- Pennacchio, A.; Ventorino, V.; Cimini, D.; Pepe, O.; Schiraldi, C.; Inverso, M.; Faraco, V. Isolation of New Cellulase and Xylanase Producing Strains and Application to Lignocellulosic Biomasses Hydrolysis and Succinic Acid Production. Bioresour. Technol. 2018, 259, 325–333. [Google Scholar] [CrossRef] [PubMed]
- Chen, Y.; Nielsen, J. Biobased Organic Acids Production by Metabolically Engineered Microorganisms. Curr. Opin. Biotechnol. 2016, 37, 165–172. [Google Scholar] [CrossRef] [PubMed]
- Varriale, S.; Houbraken, J.; Granchi, Z.; Pepe, O.; Cerullo, G.; Ventorino, V.; Chin-A-Woeng, T.; Meijer, M.; Riley, R.; Grigoriev, I.V.; et al. Talaromyces Borbonicus, Sp. Nov., a Novel Fungus from Biodegraded Arundo Donax with Potential Abilities in Lignocellulose Conversion. Mycologia 2018, 110, 316–324. [Google Scholar] [CrossRef] [PubMed]
- Romano, I.; Ventorino, V.; Ambrosino, P.; Testa, A.; Chouyia, F.E.; Pepe, O. Development and Application of Low-Cost and Eco-Sustainable Bio-Stimulant Containing a New Plant Growth-Promoting Strain Kosakonia Pseudosacchari TL13. Front. Microbiol. 2020, 11, 2044. [Google Scholar] [CrossRef] [PubMed]
- Ventorino, V.; Robertiello, A.; Viscardi, S.; Ambrosanio, A.; Faraco, V.; Pepe, O. Bio-Based Chemical Production from Arundo Donax Feedstock Fermentation Using Cosenzaea Myxofaciens BPM1. BioResources 2016, 11, 6566–6581. [Google Scholar] [CrossRef]
- Nolasco, A.; Squillante, J.; Velotto, S.; D’Auria, G.; Ferranti, P.; Mamone, G.; Errico, M.E.; Avolio, R.; Castaldo, R.; Cirillo, T.; et al. Valorization of Coffee Industry Wastes: Comprehensive Physicochemical Characterization of Coffee Silverskin and Multipurpose Recycling Applications. J. Clean. Prod. 2022, 370, 133520. [Google Scholar] [CrossRef]
- Oreoluwa Jokodola, E.; Narisetty, V.; Castro, E.; Durgapal, S.; Coulon, F.; Sindhu, R.; Binod, P.; Rajesh Banu, J.; Kumar, G.; Kumar, V. Process Optimisation for Production and Recovery of Succinic Acid Using Xylose-Rich Hydrolysates by Actinobacillus Succinogenes. Bioresour. Technol. 2022, 344, 126224. [Google Scholar] [CrossRef]
- Fagnano, M.; Impagliazzo, A.; Mori, M.; Fiorentino, N. Agronomic and Environmental Impacts of Giant Reed (Arundo donax L.): Results from a Long-Term Field Experiment in Hilly Areas Subject to Soil Erosion. BioEnergy Res. 2015, 8, 415–422. [Google Scholar] [CrossRef]
- Ventorino, V.; Ionata, E.; Birolo, L.; Montella, S.; Marcolongo, L.; de Chiaro, A.; Espresso, F.; Faraco, V.; Pepe, O. Lignocellulose-Adapted Endo-Cellulase Producing Streptomyces Strains for Bioconversion of Cellulose-Based Materials. Front. Microbiol. 2016, 7, 2061. [Google Scholar] [CrossRef]
- Kawaguchi, H.; Hasunuma, T.; Ogino, C.; Kondo, A. Bioprocessing of Bio-Based Chemicals Produced from Lignocellulosic Feedstocks. Curr. Opin. Biotechnol. 2016, 42, 30–39. [Google Scholar] [CrossRef]
- Coppola, G.; Gaudio, M.T.; Lopresto, C.G.; Calabro, V.; Curcio, S.; Chakraborty, S. Bioplastic from Renewable Biomass: A Facile Solution for a Greener Environment. Earth Syst. Environ. 2021, 5, 231–251. [Google Scholar] [CrossRef]
- Cimini, D.; Zaccariello, L.; D’Ambrosio, S.; Lama, L.; Ruoppolo, G.; Pepe, O.; Faraco, V.; Schiraldi, C. Improved Production of Succinic Acid from Basfia Succiniciproducens Growing on A. Donax and Process Evaluation through Material Flow Analysis. Biotechnol. Biofuels 2019, 12, 22. [Google Scholar] [CrossRef]
- Binder, J.; Raines, R. Fermentable Sugars by Chemical Hydrolysis of Biomass. Proc. Natl. Acad. Sci. USA 2010, 107, 4516–4521. [Google Scholar] [CrossRef]
- Zou, L.; Jin, X.; Tao, Y.; Zheng, Z.; Ouyang, J. Unraveling the Mechanism of Furfural Tolerance in Engineered Pseudomonas Putida by Genomics. Front. Microbiol. 2022, 13, 1035263. [Google Scholar] [CrossRef]
- Becker, J.; Reinefeld, J.; Stellmacher, R.; Schäfer, R.; Lange, A.; Meyer, H.; Lalk, M.; Zelder, O.; von Abendroth, G.; Schröder, H.; et al. Systems-Wide Analysis and Engineering of Metabolic Pathway Fluxes in Bio-Succinate Producing Basfia Succiniciproducens. Biotechnol. Bioeng. 2013, 110, 3013–3023. [Google Scholar] [CrossRef]
- Abatenh, E.; Gizaw, B.; Tsegaye, Z.; Wassie, M. The Role of Microorganisms in Bioremediation-A Review. Open J. Environ. Biol. 2017, 2, 38–46. [Google Scholar] [CrossRef]
- D’ambrosio, S.; Alfano, A.; Cimini, D. Production of Succinic Acid From Basfia Succiniciproducens. Front. Chem. Eng. 2021, 3, 785691. [Google Scholar] [CrossRef]
- Ladakis, D.; Papapostolou, H.; Vlysidis, A.; Koutinas, A. Chapter 9—Inventory of Food Processing Side Streams in European Union and Prospects for Biorefinery Development. In Food Industry Wastes, Assessment and Recuperation of Commodities, 2nd ed.; Kosseva, M.R., Webb, C., Eds.; Academic Press: Cambridge, MA, USA, 2020; pp. 181–199. ISBN 978-0-12-817121-9. [Google Scholar]
- Palmqvist, E.; Hahn-Hägerdal, B. Fermentation of Lignocellulosic Hydrolysates. I: Inhibition and Detoxification. Bioresour. Technol. 2000, 74, 17–24. [Google Scholar] [CrossRef]
- Trček, J.; Mira, N.P.; Jarboe, L.R. Adaptation and Tolerance of Bacteria against Acetic Acid. Appl. Microbiol. Biotechnol. 2015, 99, 6215–6229. [Google Scholar] [CrossRef]
- Chauhan, S.; Mitra, S.; Yadav, M.; Kumar, A. Microbial Production of Lactic Acid Using Organic Wastes as Low-Cost Substrates. Phys. Sci. Rev. 2023, 3, 4. [Google Scholar] [CrossRef]
- Giacobbe, S.; Balan, V.; Montella, S.; Fagnano, M.; Mori, M.; Faraco, V. Assessment of Bacterial and Fungal (Hemi)Cellulose-Degrading Enzymes in Saccharification of Ammonia Fibre Expansion-Pretreated Arundo donax. Appl. Microbiol. Biotechnol. 2016, 100, 2213–2224. [Google Scholar] [CrossRef] [PubMed]


| Growth of Adapted Bacterial Line (bl) | ||||||
|---|---|---|---|---|---|---|
| MH + MIX g L−1 | BPP7 bl A † | BPP8 bl B † | BPP7 ϑ bl C † | BPP8 ϑ bl D † | BPP7 ς bl E † | BPP8 ς bl F † |
| (1) MH +30 SA, 2 AA, 3.75 LA, 1 F, | - | - | - | - | - | + |
| (2) MH + 30 SA, 2 AA, 3.75 LA, 1.8 HMF | - | - | + | + | + | + |
| (3) MH + 30 SA, 2 AA, 1 F, 1.8 HMF | - | - | - | - | - | - |
| (4) MH + 30 SA, 3.75 LA, 1 F, 1.8 HMF | - | - | + | + | + | + |
| (5) MH + 2 AA, 3.75 LA, 1 F, 1.8 HMF | - | - | - | - | - | - |
| (6) MH + 30 SA, 2 AA, 3.75 LA | - | - | + | + | + | + |
| (7) MH + 30 SA, 2 AA, 3.75 LA, 1 F, 1.8 HMF | - | - | - | - | - | - |
| (8) MH + 60 SA, 4 AA, 7.5 LA, 2 F, | - | - | - | - | - | - |
| (9) MH + 60 SA, 4 AA, 7.5 LA, 3.6 HMF | - | - | - | - | - | - |
| (10) MH + 60 SA, 4 AA, 2 F, 3.6 HMF | - | - | - | - | - | - |
| (11) MH + 60 SA, 7.5 LA, 2 F, 3.6 HMF | - | - | - | - | - | - |
| (12) MH + 4 AA, 7.5 LA, 2 F, 3.6 HMF | - | - | - | - | - | - |
| (13) MH + 60 SA, 4 AA, 7.5 LA | - | - | - | - | - | - |
| (14) MH + 60 SA, 4 AA, 7.5 LA, 2 F, 3.6 HMF | - | - | - | - | - | - |
| Adapted Bacterial Lines from B. succiniciproducens | Growth in MH + Inhibitory MIX |
|---|---|
| BPP7 ϑ 2C | - |
| BPP7 ϑ 4C | + |
| BPP7 ϑ 6C | - |
| BPP8 ϑ 2D | + |
| BPP8 ϑ 4D | + |
| BPP8 ϑ 6D | - |
| BPP7 ς 2E | + |
| BPP7 ς 4E | + |
| BPP7 ς 6E | - |
| BPP8 ς 1F | + |
| BPP8 ς 2F | + |
| BPP8 ς 4F | - |
| BPP8 ς 6F | - |
| Strains | |
| BPP7 | - |
| BPP8 | - |
| Adapted Bacterial Lines | Time (h) | MR † Succinic Acid | Yield SA/gluc g g−1 | Yield SA/(gluc + xyl) g g−1 | MR † Acetic Acid | MR † Lactic Acid |
|---|---|---|---|---|---|---|
| 4C | 24 | 0.24 ± 0.00 ab | 0.47 ± 0.03 ab | 0.37 ± 0.02 abc | 0.05 ± 0.01 ab | 0.16 ± 0.01 ab |
| 2D | 24 | 0.23 ± 0.00 bc | 0.45 ± 0.02 ab | 0.35 ± 0.00 cd | 0.05 ± 0.00 ab | 0.16 ± 0.00 ab |
| 4D | 24 | 0.25 ± 0.01 a | 0.50 ± 0.05 a | 0.42 ± 0.06 ab | 0.05 ± 0.01 a | 0.16 ± 0.00 ab |
| 2E | 24 | 0.25 ± 0.01 a | 0.50 ± 0.07 a | 0.42 ± 0.06 a | 0.06 ± 0.01 a | 0.16 ± 0.01 bc |
| 4E | 24 | 0.22 ± 0.00 c | 0.40 ± 0.02 bc | 0.32 ± 0.01 cde | 0.06 ± 0.01 a | 0.15 ± 0.00 c |
| 1F | 24 | 0.20 ± 0.01 d | 0.37 ± 0.03 c | 0.29 ± 0.01 de | 0.05 ± 0.00 ab | 0.15 ± 0.00 bc |
| 2F | 24 | 0.20 ± 0.01 d | 0.34 ± 0.02 c | 0.28 ± 0.02 e | 0.06 ± 0.01 a | 0.14 ± 0.01 c |
| Strains | ||||||
| BPP7 | 24 | 0.22 ± 0.01 c | 0.45 ± 0.05 ab | 0.36 ± 0.04 bc | 0.04 ± 0.01 b | 0.17 ± 0.01 a |
| BPP8 | 24 | 0.22 ± 0.00 c | 0.45 ± 0.03 ab | 0.37 ± 0.02 abc | 0.04 ± 0.01 ab | 0.17 ± 0.00 a |
| Adapted bacterial lines | ||||||
| 4C | 48 | 0.25 ± 0.00 ab | 0.49 ± 0.02 ns | 0.40 ± 0.03 ns | 0.05 ± 0.02 a | 0.17 ± 0.01 abc |
| 2D | 48 | 0.24 ± 0.00 ab | 0.48 ± 0.03 ns | 0.38 ± 0.03 ns | 0.04 ± 0.00 a | 0.17 ± 0.01 ab |
| 4D | 48 | 0.25 ± 0.01 ab | 0.51 ± 0.03 ns | 0.40 ± 0.04 ns | 0.04 ± 0.02 a | 0.16 ± 0.00 bc |
| 2E | 48 | 0.25 ± 0.01 ab | 0.52 ± 0.04 ns | 0.42 ± 0.05 ns | 0.05 ± 0.00 a | 0.16 ± 0.01 bc |
| 4E | 48 | 0.26 ± 0.00 a | 0.53 ± 0.00 ns | 0.42 ± 0.00 ns | 0.05 ± 0.01 a | 0.17 ± 0.00 abc |
| 1F | 48 | 0.24 ± 0.01 b | 0.49 ± 0.05 ns | 0.37 ± 0.03 ns | 0.04 ± 0.00 a | 0.19 ± 0.00 a |
| 2F | 48 | 0.25 ± 0.02 ab | 0.50 ± 0.06 ns | 0.39 ± 0.04 ns | 0.05 ± 0.01 a | 0.16 ± 0.02 bc |
| Strains | ||||||
| BPP7 | 48 | 0.25 ± 0.01 ab | 0.50 ± 0.01 ns | 0.37 ± 0.01 ns | 0.01 ± 0.00 b | 0.16 ± 0.00 bc |
| BPP8 | 48 | 0.24 ± 0.00 ab | 0.48 ± 0.01 ns | 0.38 ± 0.01 ns | 0.05 ± 0.01 a | 0.16 ± 0.01 c |
| Adapted bacterial lines | ||||||
| 4C | 72 | 0.25 ± 0.01 b | 0.54 ± 0.05 ab | 0.42 ± 0.03 ab | 0.06 ± 0.01 ab | 0.17 ± 0.01 bcd |
| 2D | 72 | 0.25 ± 0.01 bc | 0.53 ± 0.06 ab | 0.41 ± 0.06 ab | 0.05 ± 0.00 ab | 0.18 ± 0.01 bc |
| 4D | 72 | 0.27 ± 0.00 a | 0.57 ± 0.02 a | 0.43 ± 0.03 a | 0.06 ± 0.00 a | 0.14 ± 0.02 e |
| 2E | 72 | 0.25 ± 0.02 ab | 0.53 ± 0.04 a | 0.42 ± 0.05 a | 0.06 ± 0.01 ab | 0.16 ± 0.00 de |
| 4E | 72 | 0.26 ± 0.00 ab | 0.55 ± 0.01 a | 0.43 ± 0.01 a | 0.06 ± 0.01 ab | 0.18 ± 0.00 bcd |
| 1F | 72 | 0.24 ± 0.00 bc | 0.54 ± 0.04 ab | 0.40 ± 0.03 ab | 0.05 ± 0.00 ab | 0.21 ± 0.01 a |
| 2F | 72 | 0.24 ± 0.01 bc | 0.51 ± 0.06 ab | 0.39 ± 0.03 ab | 0.05 ± 0.01 ab | 0.19 ± 0.02 b |
| Strains | ||||||
| BPP7 | 72 | 0.25 ± 0.00 b | 0.56 ± 0.01 ab | 0.41 ± 0.01 ab | 0.04 ± 0.01 b | 0.16 ± 0.00 cde |
| BPP8 | 72 | 0.23 ± 0.00 c | 0.46 ± 0.01 b | 0.36 ± 0.01 b | 0.05 ± 0.01 ab | 0.16 ± 0.01 cde |
| Strain ID | Time (h) | Succinic Acid (g L−1) | Yield SA/gluc (g g−1) | Yield SA/(gluc + xyl) (g g−1) | Glucose (g L−1) | Xylose (g L−1) | Lactic Acid (g L−1) | Acetic Acid (g L−1) |
|---|---|---|---|---|---|---|---|---|
| 4D | 0 | 0.00 ± 0.00 | 0.00 ± 0.00 | 0.00 ± 0.00 | 16.85 ± 1.93 | 13.90 ± 1.74 | 0.00 ± 0.00 | 4.65 ± 0.34 |
| BPP8 | 0.00 ± 0.00 | 0.00 ± 0.00 | 0.00 ± 0.00 | 16.73 ± 1.05 | 12.44 ± 1.02 | 0.00 ± 0.00 | 4.87 ± 0.25 | |
| Signif. | ns | ns | ns | ns | ns | ns | ns | |
| 4D | 24 | 11.07 ± 1.40 | 0.83 ± 0.10 | 0.30 ± 0.028 | 4.58 ± 0.09 | 8.63 ± 1.10 | 5.89 ± 1.07 | 7.55 ± 0.23 |
| BPP8 | 12.62 ± 0.09 | 0.70 ± 0.01 | 0.33 ± 0.00 | 0.00 ± 0.00 | 5.28 ± 0.15 | 4.62 ± 0.29 | 7.79 ± 0.16 | |
| Signif. | ns | ns | ns | *** | * | ns | ns | |
| 4D | 48 | 17.24 ± 0.39 | 0.96 ± 0.02 | 0.48 ± 0.01 | 0.00 ± 0.00 | 2.62 ± 1.44 | 7.43 ± 1.41 | 8.69 ± 0.45 |
| BPP8 | 14.80 ± 0.12 | 0.82 ± 0.01 | 0.43 ± 0.01 | 0.00 ± 0.00 | 1.05 ± 0.16 | 4.85 ± 0.29 | 8.55 ± 0.23 | |
| Signif. | ** | ** | ** | ns | ns | ns | ns |
Disclaimer/Publisher’s Note: The statements, opinions and data contained in all publications are solely those of the individual author(s) and contributor(s) and not of MDPI and/or the editor(s). MDPI and/or the editor(s) disclaim responsibility for any injury to people or property resulting from any ideas, methods, instructions or products referred to in the content. |
© 2023 by the authors. Licensee MDPI, Basel, Switzerland. This article is an open access article distributed under the terms and conditions of the Creative Commons Attribution (CC BY) license (https://creativecommons.org/licenses/by/4.0/).
Share and Cite
Robertiello, A.; Romano, I.; Ventorino, V.; Faraco, V.; Pepe, O. Enhancing Succinic Acid Production by Sequential Adaptation of Selected Basfia succiniciproducens Strains to Arundo donax Hydrolysate. Fermentation 2023, 9, 573. https://doi.org/10.3390/fermentation9060573
Robertiello A, Romano I, Ventorino V, Faraco V, Pepe O. Enhancing Succinic Acid Production by Sequential Adaptation of Selected Basfia succiniciproducens Strains to Arundo donax Hydrolysate. Fermentation. 2023; 9(6):573. https://doi.org/10.3390/fermentation9060573
Chicago/Turabian StyleRobertiello, Alessandro, Ida Romano, Valeria Ventorino, Vincenza Faraco, and Olimpia Pepe. 2023. "Enhancing Succinic Acid Production by Sequential Adaptation of Selected Basfia succiniciproducens Strains to Arundo donax Hydrolysate" Fermentation 9, no. 6: 573. https://doi.org/10.3390/fermentation9060573
APA StyleRobertiello, A., Romano, I., Ventorino, V., Faraco, V., & Pepe, O. (2023). Enhancing Succinic Acid Production by Sequential Adaptation of Selected Basfia succiniciproducens Strains to Arundo donax Hydrolysate. Fermentation, 9(6), 573. https://doi.org/10.3390/fermentation9060573

