Abstract
The purpose of this study was to optimize conditions of solid-phase fermentation of lactic acid bacteria to enhance GABA contents in grains. Optimal solid-phase fermentation conditions that could enhance the GABA content after fermenting Oryza sativa (brown rice) were investigated by changing the Lactobacillus strain, fermentation temperature, fermentation time, and inoculated bacteria number. Avena sativa, Cicer arietinum, and red and brown Lens culinaris were then fermented using the optimal solid-phase fermentation conditions to measure changes in GABA content and antioxidant activity. As a result of the experiment, the optimal solid-phase fermentation conditions to enhance the GABA contents in grains were: fermentation time, 48 h; amounts of bacteria, inoculating 5% of 1 × 107 CFU/mL of lactic acid bacteria; and fermentation temperature, 36 °C. When fermented under this condition, the GABA content increased from 4.64 mg/g to 6.93 mg/g (49.0%) compared to unfermented raw material. The results of the DPPH and ABTS radical scavenging activity assays confirmed that both the GABA content and radical scavenging activity were increased after fermentation. Such solid fermentation conditions developed in this study can be used to support the development of health functional food materials with enhanced GABA content and antioxidant activity.
1. Introduction
In recent years, due to rapid industrialization, the living environment has changed. The incidences of emotional diseases such as mental stress, depression, bipolar disorder, and panic disorder are also increasing [1,2]. In addition, with advances in medical science, the incidences of geriatric diseases are increasing as we enter the age of aging. Among geriatric diseases, Alzheimer’s disease is the neurological disease that has the highest percentage. It is expected to increase to 130 million by 2050 [3,4]. γ-Aminobutyric acid (GABA) is a four-carbon free amino acid that constitutes living organisms. It is widely present in bacteria, fungi, plants, and animals. GABA is produced together with CO2 by the irreversible decarboxylation of glutamic acid by glutamate decarboxylase (GAD) [1,5]. GABA is a neurotransmitter in the nervous system that can improve brain blood circulation and promote brain cell metabolism. It is known to be an excellent substance for improving neurological diseases such as dementia prevention, memory enhancement, and alleviation of depression. In addition, it has various physiologically active functions such as lowering blood pressure, diuretic action, improving liver function, and promoting alcohol metabolism [6,7,8,9,10].
GABA is involved in nitrogen and carbon metabolism in plants. GABA in plants plays the role of messengers of enzyme action, regulation of gene expression, and intra- and intercellular transport of intermediates. It is widely distributed in various fruits and vegetables and miscellaneous grains such as rice and beans [11]. However, GABA contents in grains are very low: at 1–4 mg/100 g in regular rice, 4–8 mg/100 g in brown rice, and 10–100 mg/100 g in germinated brown rice. Such low contents cause it to be difficult to show its significant physiological activity in the body because it can be lost due to heat generated during the cooking and processing of food [12]. For this reason, various studies are being conducted to enhance GABA contents in natural products. Ding et al. (2016) have conducted a study on changes in GABA content due to germination under different oxygen conditions using two rice varieties [13]. Han et al. (2014) have found that the optimal production conditions to enhance GABA content are by varying conditions for soaking and germination of rice [14]. Zushi and Matsuzoe (2007) have reported that GABA contents in tomatoes could be improved by using salt-stress. Nejad-Alimoradi et al. (2019) have confirmed that GABA content can be enhanced in pumpkins by using salt-stress [15,16]. In a recent study using Saccharomyces cerevisiae, a method for manufacturing a functional fermented apple beverage with an increased GABA content by fermenting apple juice was reported [17].
Lactobacilli are Gram-positive, acid-resistant, non-spore-forming bacteria in the form of cocci or bacilli that share common physiological and metabolic properties. They can anaerobically utilize carbohydrates to produce lactic acid. They are widely used as a starter for traditional and industrial food fermentation [18]. Among them, lactic acid bacteria are known to be capable of effectively producing GABA from glutamic acid by possessing excellent GAD activity [19,20]. Park and Oh (2006) have presented a method to increase GABA content by manufacturing fermented soymilk yogurt using the L. brevis strain. Han et al. (2019) have used lactic acid bacteria fermentation to increase the GABA content in soymilk [21,22]. Lee et al. (2010) have confirmed the conversion of glutamic acid to GABA from fermented kelp broth with lactic acid bacteria isolated from kimchi and salted fish, which are traditional fermented foods [23]. Siragusa et al. (2007) have isolated strains from 22 types of cheese, identified lactic acid bacteria with excellent GABA synthesis ability, and confirmed the possibility of developing health-promoting foods using them [24].
Studies to increase GABA contents in natural products conducted so far have only been actively conducted by changing the properties of the raw material itself through germination or chemical treatment or through submerged fermentation (SMF). Studies that focus on solid-state fermentation (SSF) are insufficient. SSF refers to a fermentation process in which microorganisms use solid substances as nutrients to produce secondary metabolites. Compared to SMF, when producing new substances such as enzymes, fragrances, and pigments, SSF is receiving attention from many researchers because of its advantages such as high yield, high quality characteristics, and production cost reduction. SSF is economically advantageous because less solvent is used for product extraction and separation compared to SMF and the production cost is lowered by reducing waste treatment costs and sterilization costs. In addition, SSF has better industrial value because it is easier to mass-produce and build facilities due to the higher amount of substrate per unit volume of fermentation tank than SMF. Since SSF is carried out under a low moisture content, the possibility of bacterial contamination is low, causing it to be easier to manage production compared to SMF [25]. The advantage of using lactic acid bacteria for fermentation through a solid-state culture is that they can physiologically enhance active substances without significantly changing the form, taste, or aroma of natural products. SSF is continuously being studied in the biotechnology industry and is attracting attention as an alternative to SMF because it can potentially be applied to the production of secondary metabolites in various fields such as feed, fuel, food, and medicine [26].
Miscellaneous grains refer to grains such as millet, soybean, and buckwheat, excluding white rice among cereals. In the past, miscellaneous grains were considered inferior crops, but as their excellent nutrition and various physiological functions such as anti-cancer, immunity increasing, and antioxidant effects have been revealed, their use value for new well-being food has recently been increased [27,28,29]. Miscellaneous grains contain from two to three times as many vitamins, minerals, and dietary fiber that rice lacks and they are nutritionally excellent and contain a large amount of various physiologically active substances such as GABA [30,31,32]. As the health functional aspects of miscellaneous grains have emerged, the consumer preference for processed foods using them is increasing [33]. According to a recent report examining the consumption of processed foods using grains, as for the consumption patterns of cereals, alcohol manufacturing, rice cake manufacturing, and instant rice showed the largest market size. Among them, consumption in the instant rice market is steadily increasing, while consumption of alcoholic beverages and rice cakes is gradually decreasing [34]. Recently, as single-person households and women’s participation in society have increased, the home meal replacement (HMR) market has expanded, which is rapidly increasing the demand for processed rice such as aseptically processed rice, retort rice, and frozen rice [35,36].
Maintaining the raw form of miscellaneous grains and strengthening the nutritional components is considered to be very important industrially in the growing processed food market using grains. [37]. The development of a technology that can increase the GABA content in miscellaneous grains by using the SFF technology that can preserve the shape of the raw material is expected to have great applicability in the processed food market and is also expected to be used as a health functional food material. Therefore, the objective of this study was to establish optimal fermentation conditions for enhancing GABA contents while maintaining the original form of grains through SSF of lactic acid bacteria.
2. Materials and Methods
2.1. Materials and Reagents
Oryza sativa (brown rice) used in this study was cultivated in Naju, Jeollanam-do, Korea, in 2021. Other grains (Avena sativa, Cicer arietinum, red and brown Lens culinaris) were purchased from Hyundainongsan CO, LTD in Namyangju, Gyeonggi-do, Republic of Korea, in 2021. The Lactobacillus strains used in this study (Lactiplantibacillus plantarum P1, Lacticaseibacillus casei C1, Limosilactobacillus fermentum F1, and Lacticaseibacillus rhamnosus R1) were purchased from Lactomason Co., Ltd. in Jinju, Gyeongsangnam-do, Republic of Korea. The potassium persulfate, 2,2-diphenyl-1-picrylhydrazyl (DPPH), 2,2′-azino-bis(3-ethylbenzothiazoline-6-sulfonic acid) (ABTS), and 2-hydroxy-1-naphthaldehyde (HN) were purchased from Sigma-Aldrich Co., Ltd. (St. Louis, MO, USA). The borate buffer (pH 10) was purchased from Agilent Technologies (Santa Clara, CA, USA).
2.2. Lactic Acid Bacteria Fermentation Conditions
To select the optimal fermentation strain, four types of lactic acid bacteria (L. plantarum, L. casei, L. fermentum, and L. rhamnosus) in a powder state were diluted with sterile distilled water to 1 × 109 CFU/mL and activated at 36 °C for 1 h. Then, 200 g of Oryza sativa was precisely weighed and mixed with 10 mL of each lactic acid bacteria culture. The fermentation was then performed in an incubator at 36 °C for 48 h.
For the optimization of the fermentation temperature, two excellent lactic acid strains (L. plantarum, L. casei) selected above were diluted with sterile distilled water to 1 × 109 CFU/mL, respectively, and activated at 36 °C for 1 h. Then, 200 g of Oryza sativa was precisely weighed and mixed with 10 mL of activated lactic acid bacteria solution. The fermentation was performed in an incubator at 24, 28, 32, 36, and 40 °C for 48 h.
To determine the optimal bacterial inoculum amount, L. plantarum and L. casei were diluted with sterile distilled water to a concentration of 1 × 103, 1 × 105, 1 × 107, 1 × 109, and 1 × 1011 CFU/mL, respectively, and activated at 36 °C for 1 h. Then, 200 g of Oryza sativa was precisely weighed and mixed with 10 mL of activated lactic acid bacteria solution. The fermentation was then performed at 36 °C for 48 h.
To obtain the optimal fermentation time, L. plantarum and L. casei were diluted with sterile distilled water to a concentration of 1 × 107 CFU/mL, respectively, and activated at 36 °C for 1 h. Then, 200 g of brown rice was precisely weighed and mixed with 10 mL of activated lactic acid bacteria solution. The fermentation was then performed at 36 °C for 2, 4, 8, 12, 24, 48, and 72 h, respectively.
For the production of four types of fermented grains (Avena sativa, Cicer arietinum, and red and brown Lens culinaris), L. plantarum and L. casei were diluted with sterile distilled water to a concentration of 1 × 107 CFU/mL, respectively, and activated at 36 °C for 1 h. Then, 200 g of each grain was precisely weighed, mixed with 10 mL of activated lactic acid bacteria solution, and fermented at 36 °C for 48 h.
After each fermentation, all the samples were freeze-dried to remove moisture in order to comparatively analyze the GABA content, DPPH, and ABTS radical scavenging activity. After 20 g of the dried sample was precisely weighed, 200 mL of 50% ethanol was added and ultrasonic extraction was performed for 3 h [6]. The extract was concentrated under reduced pressure to a certain concentration and used as a sample after freeze-drying.
2.3. Analysis of Glutamic Acid and GABA Content
The HPLC analysis of glutamic acid and GABA was performed by modifying the GABA-HN derivatization analysis method reported by Panrod (2016) and Hayat (2014) et al. [38,39]. For the test solution, 100 mg of a freeze-dried fermented grain extract powder sample was precisely weighed and added to a 10 mL volumetric flask. The distilled water was then added up to the mark to reach a concentration of 10 mg/mL. The HN solution for HN derivatization was prepared by precisely weighing 0.15 g of HN, then it was added into a 50 mL volumetric flask to create 0.3% solution with methanol. For derivatization, 0.5 mL of the test solution, 0.3 mL of borate buffer (pH 10), and 0.5 mL of 0.3% HN solution were mixed in a 1.5 mL tube and reacted at 75 °C in a constant temperature water bath for 10 min. After that, it was cooled in a dark room for 10 min and purified with methanol in a 10 mL volumetric flask. All the samples were filtered through a 0.22 μm filter before being injected into HPLC. For the analysis, Shimadzu HPLC system and Shimadzu SPD-M20A Photodiode Array Detector (Shimadzu Corp., Kyoto, Japan) were used. The analysis conditions are shown in Table 1. The symmetry C18 (4.6 × 250 mm, 5 μm) was used as the analysis column.
Table 1.
HPLC condition for analysis of glutamic acid and GABA.
2.4. DPPH Readical Scavenging Acitivity
The DPPH radical scavenging activity was measured with reference to the method of Jang et al. (2021) [40]. After precisely weighing 50 mg of each sample, it was adjusted with distilled water in a 10 mL volumetric flask and was prepared at 5 mg/mL and used in the experiment. Briefly, for 0.2 mL of each sample, 0.4 mM DPPH solution was added. After reacting at room temperature for 10 min, the absorbance was measured at 517 nm using a microplate reader (Spectramax ABS plus, Molecular Devices, Sunnyvale, CA, USA). The DPPH radical scavenging activity was determined with the following formula. The ascorbic acid was used as a positive control.
DPPH radical scavenging activity (%) = {1 − (Aexperiment/Acontrol)} × 100
2.5. ABTS Readical Scavenging Acitivity
The ABTS radical scavenging activity was measured by modifying the method of Re et al. (1999) [41]. To generate ABTS radicals, 7 mM ABTS and 2.45 mM potassium persulfate solution were mixed at a 2:1 ratio and reacted in a dark place for 16 h. After mixing 50 μL of sample and 950 μL of ABTS solution, it was reacted in a dark place for 10 min. Then, the absorbance was measured at 734 nm with a microplate reader. The ABTS radical scavenging activity was calculated according to the formula. The ascorbic acid was used as a positive control.
ABTS radical scavenging activity (%) = {1 − (Aexperiment/Acontrol)} × 100
2.6. Statistical Analysis
The results of glutamic acid, GABA contents, and antioxidant activity are expressed as mean ± SD (standard deviation) of the samples in triplicate. The values were analyzed with a Student t-test on Microsoft 365 Excel computerized software or using a one-way ANOVA followed by Duncan’s multiple range tests using IBM SPSS Statistics version 28.0 (IBM, Armonk, NY, USA). The differences were considered statistically significant at p < 0.05.
3. Results and Discussions
3.1. Identification and Qualification of Glutamic Acid and GABA
The HPLC analysis was performed at 235 nm for the analysis of glutamic acid and GABA content; the established chromatogram is shown in Figure 1. Glutamic acid and GABA derivatized with HN were detected and were analyzed in high concentrations in Oryzae sativa extracts. The retention times of glutamic acid and GABA were 5.10 and 12.590 min, respectively.

Figure 1.
HPLC chromatograms of glutamic acid and GABA standard solution (A) and Oryzae sativa extracts (B).
3.2. Changes in GABA Content According to Fermentation Conditions
3.2.1. Effect of Fermentation Strains on GABA Content
To set the optimal conditions for lactic acid bacteria fermentation, the GABA content was comparatively analyzed by fermenting Oryza sativa while changing the major factors involved in fermentation (fermentation strain, fermentation temperature, inoculated bacteria number, and fermentation time). It has been reported that the lactic acid bacteria have an excellent ability to produce GABA. Their ability varies greatly between species and strains [42]. Among them, L. plantarum, L. casei, L. fermentum, and L. rhamnosus are reported to have excellent GABA bioconversion ability and various studies are being conducted [43,44,45,46]. Therefore, first, the GABA content was analyzed after fermentation using four types of lactic acid bacteria (L. plantarum, L. casei, L. fermentum, and L. rhamnosus) in Oryza sativa to select a strain with a high GABA production ability (Figure 2). In the unfermented Oryza sativa extract, the GABA content was measured to be 5.87 ± 0.24 mg/dry weight g. However, the GABA contents in the experimental group fermented in the solid phase using L. plantarum, L. casei, L. fermentum, and L. rhamnosus were 6.81 ± 0.16 mg/dry weight g, 6.69 ± 0.22 mg/g, 6.30 ± 0.17 mg/g, and 6.49 ± 0.16 mg/g, respectively. The GABA content was significantly increased in all the experimental groups compared to that in the control group. Among them, the L. plantarum P1 and L. casei C1 enhanced GABA content the most. The content of glutamic acid in the unfermented Oryza sativa extract was measured to be 5.33 ± 0.18 mg/dry weight g. The Oryza sativa extract fermented with L. casei had the highest decrease at 3.97 ± 0.09 mg/dry weight g and the extract fermented with L. plantarum decreased the second most with 4.28 ± 0.03 mg/dry weight g. This means that the two strains had the best ability to convert glutamic acid to GABA. When referring to the glutamic acid content and GABA production, the strain with the best GABA conversion ability was L. casei while L. plantarum had the second highest. Since this study focused on finding the optimal fermentation conditions for converting glutamic acid to GABA, L. casei and L. plantarum strains were used to set up the optimal extraction conditions.
Figure 2.
Glutamic acid (A) and GABA (B) contents of Oryza sativa extracts depending on the Lactobacillus strains. Each bar is the mean ± standard deviation of the results from three different analyses (n = 3). The bars with different letters (a–e) indicate significant differences at p < 0.05 using Duncan’s multiple range test.
3.2.2. Effect of Fermentation Temperature on GABA Content
The fermentation was carried out at 24 °C, 28 °C, 32 °C, 36 °C, and 40 °C to measure the change in the GABA production ability of lactic acid bacteria according to the fermentation temperature (Figure 3). As a result of the experiment, the glutamic acid content decreased significantly up to 36 °C. The GABA content showed a tendency to increase significantly in inverse proportion to this. Both strains showed the highest GABA content at 36 °C. The L. casei strain fermented at 40 °C showed a tendency to partially decrease the GABA content. Thus, 36 °C was set as the optimum fermentation temperature condition. Li et al. (2010) have compared and analyzed the GABA content after fermentation at 10–45 °C using L. brevis isolated from Paocai. It was reported that the GABA production was the best at 30–35 °C [47], similar to the results of this study. Kim et al. (2009) have compared the GABA production ability from raspberry juice through L. brevis fermentation at different temperatures, pH, and fermentation time [48]. In raspberry juice through liquid fermentation, the GABA was produced better at 30 °C than that at 25 or 37 °C, which was different from this study. Although different raw materials were used for fermentation, the difference between solid-phase fermentation and liquid-phase fermentation was considered a major factor affecting the GABA content.

Figure 3.
Glutamic acid (A) and GABA (B) contents of the Oryza sativa extracts depending on the fermentation temperature. Each bar is the mean ± standard deviation of the results from three different analyses (n = 3). The bars with different letters (a–d) indicate significant differences at p < 0.05 using Duncan’s multiple range test.
3.2.3. Effect of Inoculated Cell Number on GABA Content
To optimize the inoculated cell number of each bacterial strain for fermentation, the fermentation was carried out by changing the bacteria concentrations (1 × 103, 1 × 105, 1 × 107, 1 × 109, and 1 × 1011 CFU/mL) (Figure 4). When fermented with L. plantarum and L. casei strains, the GABA contents were very low at 4.79 ± 0.06 mg/dry weight g and 4.65 ± 0.11 mg/ g in the experimental group inoculated with bacteria at 1 × 103 CFU/mL, respectively. In the experimental group inoculated with bacteria at 1 × 107 CFU/mL, the GABA content increased by about 35.2% and 49.0% to 6.48 ± 0.10 mg/dry weight g and 6.93 ± 0.19 mg/g, respectively. As bacterial inoculation increased, the glutamic acid content decreased but the GABA content increased significantly until the bacterial concentration was 1 × 107 CFU/mL. However, even if the concentration was higher than that, there was no statistically significant difference in the GABA production ability. Thus, the optimal concentration for bacterial inoculation was set to be 1 × 107 CFU/mL.

Figure 4.
Glutamic acid (A) and GABA (B) contents of Oryza sativa extracts depending on the inoculated cell number of Lactobacillus strain. Each bar is the mean ± standard deviation of the results from three different analyses (n = 3). Bars with different letters (a–c) indicate significant differences at p < 0.05 using Duncan’s multiple range test.
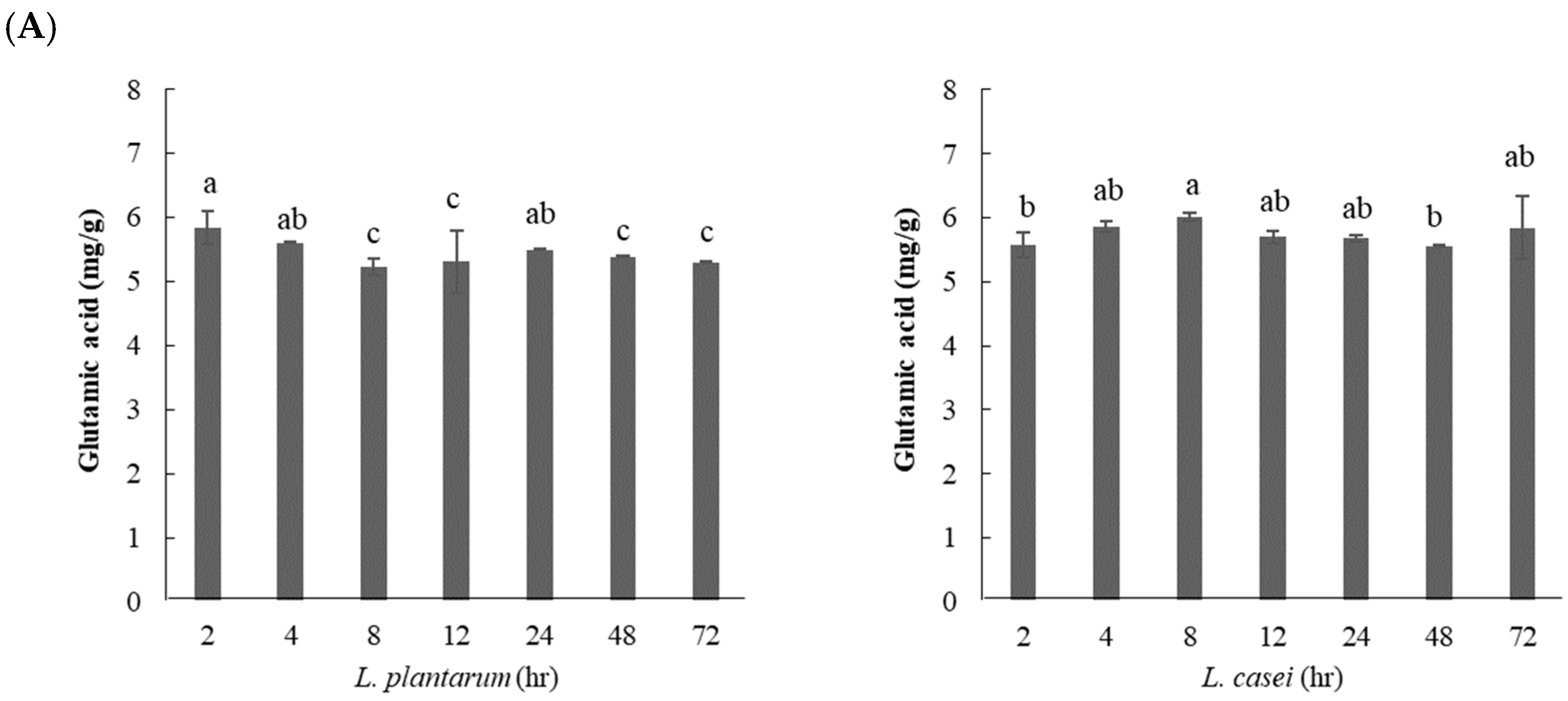
3.2.4. Effect of Fermentation Time on GABA Content
To set the optimal fermentation time, the fermentation was carried out for 2 h, 4 h, 8 h, 12 h, 24 h, 48 h, and 72 h, respectively. The glutamic acid and GABA contents were then compared (Figure 5). As the fermentation time increased, the GABA content significantly increased. With the L. plantarum strain, the GABA content did not increase any more at 48 h. With L. casei, the GABA content showed a tendency to decrease slightly after 72 h of fermentation. Li et al. (2010) have reported that the GABA content increases rapidly up to 36 h under sufficient substrate conditions, followed by almost no production thereafter [47]. In the study of Hwang and Park (2020), when lactic acid bacteria were cultured in an MRS medium including MSG, the maximum production was achieved at 40 h with no significant change after that [49]. In the case of GABA production using lactic acid bacteria, 48 h was set as the optimal fermentation condition in that the GABA content increased rapidly at the beginning of fermentation without increasing any more after a certain period.

Figure 5.
Glutamic acid (A) and GABA (B) contents of Oryza sativa extracts depending on the fermentation time. Each bar is the mean ± standard deviation of the results from three different analyses (n = 3). Bars with different letters (a–e) indicate significant differences at p < 0.05 using Duncan’s multiple range test.
3.3. Analysis of GABA Content for Four Types of Fermented Grains
The GABA contents were analyzed after fermenting four kinds of grains (Avena sativa, Cicer arietinum, and red and brown Lens culinaris) under optimal lactic acid bacteria fermentation conditions (36 °C, 1 × 107 CFU/mL, 48 h) to enhance GABA contents (Figure 6). Avena sativa, commonly known as oat, is cultivated worldwide in England, France, and Germany. It is widely used as a raw material for feed, health food, and alcoholic beverages. [50]. Furthermore, Avena sativa are important grain crops that possess high levels of valuable nutrients such as protein, unsaturated fatty acids, soluble fiber, and minerals and are widely utilized to provide nutrient consumption for humans and livestock [51]. Cicer arietinum, also known as chickpea, is a grain that is evaluated as an important component of a vegetarian diet due to its high nutritional value with high contents of dietary fiber and protein [52]. Because the content of glutamic acid is the highest among amino acids contained in chickpeas, it is known as one of the grains with high potential for GABA production [53]. Lens culinaris, commonly known as lentils, varies in color depending on the seed and processing stage, such as green, brown, and red. It is widely used as a low-fat, high-protein, and high-fiber legume crop [54,55]. Lentils are known as one of the world’s top five health foods and consumption and production are steadily increasing [56]. When Avena sativa was fermented with L. plantarum or L. casei, the GABA content was improved by 3% or 6%, respectively, compared to that in the control group without fermentation. The GABA contents in Cicer arietinum fermented with L. plantarum and L. casei were increased by 9% and 11%, respectively. In Lens culinaris fermented with L. plantarum and L. casei, the GABA contents were significantly increased by 8% and 11% in the red lentil and by 9% and 18% in brown lentil, respectively. It was confirmed that by using fermentation conditions established in this study, the GABA content could be significantly increased in five kinds of grains currently widely used: Oryza sativa, Avena sativa, Cicer arietinum, and red and brown Lens culinaris. The solid fermentation method has different nutritional components depending on the type of grain. Thus, the degree of increase for GABA content may vary.
Figure 6.
GABA contents of Avena sativa (A), Cicer arietinum (B), red Lens culinaris (C), and brown Lens culinaris (D) extracts. CON: Control; Each bar is the mean ± standard deviation of the results from three different analyses (n = 3). * p < 0.05, significantly different from control (Student’s t-test).
3.4. Anti-Oxidant Activities of Five Types of Fermented Grains
The DPPH is a very stable reactive oxygen species used to measure antioxidant activity. It is used as a principle to measure the absorbance of a purple DPPH solution by changing its color to yellow after removing free radicals through hydrogen donation to substances containing hydroxyl radicals [57]. The antioxidative activity measurement using ABTS radicals is a principle of measuring absorbance by decolorizing a blue reaction solution after removing ABTS free radicals generated by the reaction with potassium persulfate by an antioxidant in the sample [58]. In recent studies, it has been reported that the antioxidant activity and phenolic contents increased when grain by-products were liquid-fermented using Lactobacillus strain [59,60,61]. When solid-phase fermentation was performed under optimal fermentation conditions using L. plantarum and L. casei for all five grains, it showed statistical significance and effectively removed free radicals compared to the control group without fermentation (Figure 7). Lee et al. (2010) have reported that the GABA content and antioxidant activity are increased after fermenting a kelp solution using L. brevis isolated from Jot-gal [23]. Jhan et al. (2015) have reported that when red bean is fermented with B. subtilis and L. bulgaricus, the contents of polyphenols and flavonoids were increased while its antioxidant activity was increased [62]. In a study by Gan et al. (2016), when mung bean (Vigna radiata) and soybean (Glycine max) were fermented using L. plantarum strains, the total phenolic contents and radical scavenging ability were increased [63]. Referring to the preceding studies described above, one could judge that the antioxidant activity of fermented grains was increased due to increased phenolic compounds when fermented using Lactobacillus strains.
Figure 7.
DPPH (A) and ABTS (B) radical scavenging activity of Oryza sativa, Avena sativa, Circer arietinum, red Lens culinaris, and brown Lens culinaris extracts. CON: Control; The results were shown as the mean ± SD of three independent experiments (n = 3). * p < 0.05, ** p < 0.01, and *** p < 0.001, significantly different from control (Student’s t-test).
4. Conclusions
As a neurotransmitter in the body, GABA is attracting attention as a functional food material because it not only helps relieve nervous system diseases such as depression and stress but also has various physiologically active functions such as blood pressure improvement, liver function improvement, and alcohol metabolism promotion. It is difficult to express the functionality of GABA present in natural products only by natural ingestion in trace amounts. Therefore, various studies such as grain germination, chemical treatment, and liquid fermentation are being conducted to increase GABA contents in natural products. However, these methods cause changes in the shape or characteristics of the raw material, thus having a disadvantage in that characteristics of the existing natural product cannot be used after food manufacturing or processing. In this study, we proposed a method to improve GABA content while preserving the raw form of grains completely using a lactic acid bacteria solid-phase fermentation technique. When Oryza sativa was fermented, L. plantarum and L. casei showed the best GABA production ability among the four lactic acid bacteria (L. plantarum, L. casei, L. fermentum, and L. rhamnosus). As the fermentation temperature conditions were changed, the GABA production ability increased from 24 °C to 36 °C but did not increase thereafter. When the bacterial inoculum was changed during the SSF process, the GABA production increased from 1 × 103 CFU/mL to 1 × 107 CFU/mL, but, thereafter, the GABA content did not increase even as the amount of lactic acid bacteria increased. As the fermentation time increased up to 48 h, the GABA content also increased significantly and the longer fermentation times did not increase the GABA content. As a result of fermenting the grain under the optimized solid fermentation conditions in this study, it was confirmed that the GABA content increased up to 49.0% compared to the raw material. This increase was different because of the different types of grains and different nutritional components. From the DPPH and ABTS assays, it was confirmed that phenolic compounds with physiological activity could be changed in a positive direction and that the GABA content and antioxidant activity were significantly increased through fermentation. If the solid-phase fermentation technique performed in this study is combined with other previously reported techniques that can improve the GABA content, it is thought to have great potential for use in the development of health functional food materials by greatly enhancing insufficient GABA contents in natural products.
Author Contributions
Conceptualization, H.-y.K., S.-j.K., E.-m.K., Y.-d.K. and K.-t.H.; methodology, H.-y.K., J.-s.C., J.-h.U. and J.-y.L.; software, J.-s.C. and Y.-d.K.; validation, H.-y.K. and J.-s.C.; formal analysis, H.-y.K., S.-j.K., E.-m.K., B.-k.K. and Y.-d.K.; investigation, H.-y.K., J.-h.U., B.-k.K. and J.-y.L.; resources, S.-j.K. and E.-m.K.; data curation, H.-y.K. and Y.-d.K.; writing—original draft preparation, H.-y.K.; writing—review and editing, E.-m.K., J.-y.L., Y.-d.K. and K.-t.H.; visualization, H.-y.K. and J.-s.C.; supervision, J.-y.L., Y.-d.K. and K.-t.H.; project administration, J.-y.L. and Y.-d.K.; funding acquisition, J.-y.L. and Y.-d.K. All authors have read and agreed to the published version of the manuscript.
Funding
This research received no funding.
Institutional Review Board Statement
Not applicable.
Informed Consent Statement
Not applicable.
Data Availability Statement
The data supporting the findings reported here are available on reasonable request from the corresponding author.
Conflicts of Interest
The authors declare no conflict of interest.
References
- Ueno, H. Enzymatic and structural aspects on glutamate decarboxylase. J. Mol. Catal. B Enzym. 2000, 10, 67–79. [Google Scholar] [CrossRef]
- Checkoway, H.; Jessica, I.L.; Samir, N.K. Neurodegenerative diseases. IARC Sci. Publ. 2011, 163, 407–419. [Google Scholar]
- Neelam, K.; Duddu, V.; Anyim, N.; Neelam, J.; Lewis, S. Pandemics and pre-existing mental illness: A systematic review and meta-analysis. Brain Behav. Immun. 2021, 10, 100177. [Google Scholar] [CrossRef] [PubMed]
- Sengoku, R. Aging and Alzheimer’s disease pathology. Neuropathology 2020, 40, 22–29. [Google Scholar] [CrossRef] [PubMed]
- Soghomonian, J.J.; David, L.M. Two isoforms of glutamate decarboxylase: Why? Trends Pharmacol. Sci. 1998, 19, 500–505. [Google Scholar] [CrossRef] [PubMed]
- Lin, S.D.; Jeng, L.M.; Ching, A.H. Bioactive components and antioxidant properties of γ-aminobutyric acid (GABA) tea leaves. LWT-Food Sci. Technol. 2012, 46, 64–70. [Google Scholar] [CrossRef]
- Farahmandfar, M.; Zarrindast, M.R.; Kadivar, M.; Karimian, S.M.; Naghdi, N. The effect of morphine sensitization on extracellular concentrations of GABA in dorsal hippocampus of male rats. Eur. J. Pharmacol. 2011, 669, 66–70. [Google Scholar] [CrossRef]
- Buzzi, A.; Chikhladze, M.; Falcicchia, C.; Paradiso, B.; Lanza, G.; Soukupova, M.; Marti, M.; Morari, M.; Franceschetti, S.; Simonato, M. Loss of cortical GABA terminals in Unverricht Lundborg disease. Neurobiol. Dis. 2012, 47, 216–224. [Google Scholar] [CrossRef]
- Leventhal, A.G.; Wang, Y.C.; Pu, M.L.; Zhou, Y.F.; Ma, Y. GABA and its agonists improved visual cortical function in senescent monkeys. Science 2003, 300, 812–815. [Google Scholar] [CrossRef]
- Seok, H.M. Functional Description of GABA and Possibility of New Material Development. J. Food Technol. 2002, 15, 81–85. [Google Scholar]
- Fait, A.; Fromm, H.; Walter, D.; Galili, G.; Fernie, A.R. Highway or byway: The metabolic role of the GABA shunt in plants. Trends Plant Sci. 2008, 13, 14–19. [Google Scholar] [CrossRef] [PubMed]
- Gironell, A.; Figueiras, F.P.; Pagonabarraga, J.; Herance, J.R.; Pascual-Sedano, B.; Trampal, C.; Gispert, J.D. GABA and serotonin molecular neuroimaging in essential tremor: A clinical correlation study. Parkinsonism Relat. Disord. 2012, 18, 876–880. [Google Scholar] [CrossRef] [PubMed]
- Ding, J.; Yang, T.; Feng, H.; Dong, M.; Slavin, M.; Xiong, S.; Zhao, S. Enhancing contents of γ-aminobutyric acid (GABA) and other micronutrients in dehulled rice during germination under normoxic and hypoxic conditions. J. Agric. Food Chem. 2016, 64, 1094–1102. [Google Scholar] [CrossRef] [PubMed]
- Han, S.I.; Ra, J.E.; Seo, K.H.; Park, J.Y.; Seo, W.D.; Park, D.S.; Cho, J.H.; Lee, J.H.; Sim, E.Y.; Nam, M.H. Effects of physico-chemical treatment on ‘Nunkeunhukchal’ (black sticky rice with giant embryo) for the enhancement of GABA (γ-aminobutyric acid) contents. Korean J. Crop. Sci. 2014, 59, 398–405. [Google Scholar] [CrossRef]
- Zushi, K.; Naotaka, M. Salt stress-enhanced γ-aminobutyric acid (GABA) in tomato fruit. Acta Hort. 2007, 761, 431–436. [Google Scholar] [CrossRef]
- Nejad, A.F.; Nasibi, F.; Kalantari, K.M. 24-epibrassinolide pre-treatment alleviates the salt-induced deleterious effects in medicinal pumpkin (Cucurbita pepo) by enhancement of GABA content and enzymatic antioxidants. S. Afr. J. Bot. 2019, 124, 111–117. [Google Scholar] [CrossRef]
- Sun, X.; Wang, J.; Li, C.; Zheng, M.; Zhang, Q.; Xiang, W.; Tang, J. The use of γ-aminobutyric acid-producing saccharomyces cerevisiae SC125 for functional fermented beverage production from apple juice. Foods 2022, 11, 1202. [Google Scholar] [CrossRef]
- Ly, D.; Mayrhofer, S.; Yogeswara, I.B.A.; Nguyen, T.-H.; Domig, K.J. Identification, classification and screening for γ-amino-butyric acid production in lactic acid bacteria from Cambodian fermented foods. Biomolecules 2019, 9, 768. [Google Scholar] [CrossRef]
- Ueno, Y.; Hayakawa, K.; Takahashi, S.; Oda, K. Purification and characterization of glutamate decarboxylase from Lactobacillus brevis IFO 12005. Biosci. Biotechnol. Biochem. 1997, 61, 1168–1171. [Google Scholar] [CrossRef]
- Higuchi, T.; Hisanobu, H.; Keietsu, A. Exchange of glutamate and gamma-aminobutyrate in a Lactobacillus strain. J. Bacteriol. Res. 1997, 179, 3362–3364. [Google Scholar] [CrossRef]
- Park, K.B.; Oh, S.H. Production of yogurt with enhanced levels of gamma-aminobutyric acid and valuable nutrients using lactic acid bacteria and germinated soybean extract. Bioresour. Technol. 2007, 98, 1675–1679. [Google Scholar] [CrossRef] [PubMed]
- Han, M.H.; Yang, J.M.; Joo, Y.C.; Moon, G.S. Production of functional fermented soymilk by γ-aminobutyric acid producing lactic acid bacteria. Curr. Top. Lact. Acid Bact. Probiotics 2019, 5, 59–64. [Google Scholar] [CrossRef]
- Lee, B.J.; Kim, J.S.; Kang, Y.M.; Lim, J.H.; Kim, Y.M.; Lee, M.S.; Jeong, M.H.; Ahn, C.B.; Je, J.Y. Antioxidant activity and γ- aminobutyric acid (GABA) content in sea tangle fermented by Lactobacillus brevis BJ20 isolated from traditional fermented foods. Food Chem. 2010, 122, 271–276. [Google Scholar] [CrossRef]
- Siragusa, S.; De Angelis, M.; Di Cagno, R.; Rizzello, C.G.; Coda, R.; Gobbetti, M. Synthesis of γ-aminobutyric acid by lactic acid bacteria isolated from a variety of Italian cheeses. Appl. Environ. Microbiol. 2007, 73, 7283–7290. [Google Scholar] [CrossRef] [PubMed]
- Pandey, A. Solid-state fermentation. Biochem. Eng. J. 2003, 13, 81–84. [Google Scholar] [CrossRef]
- Thomas, L.; Christian, L.; Ashok, P. Current developments in solid-state fermentation. Biochem. Eng. J. 2013, 81, 146–161. [Google Scholar] [CrossRef]
- Guardado-Félix, D.; Antunes-Ricardo, M.; Rocha-Pizaña, M.R.; Martínez-Torres, A.C.; Gutiérrez-Uribe, J.A.; Saldivar, S.O.S. Chickpea (Cicer arietinum L.) sprouts containing supranutritional levels of selenium decrease tumor growth of colon cancer cells xenografted in immune-suppressed mice. J. Funct. Foods 2019, 53, 76–84. [Google Scholar] [CrossRef]
- Kim, J.M.; Park, J.Y.; Kim, K.W.; Yoon, K.Y. Nutritional com- position and functionality of mixed cereals powder. Korean J. Food Preserv. 2014, 54, 388–395. [Google Scholar] [CrossRef]
- Amarowicz, R.; Estrella, I.; Hernández, T.; Robredo, S.; Troszyńska, A.; Kosińska, A.; Pegg, R.B. Free radical-scavenging capacity, antioxidant activity, and phenolic composition of green lentil (Lens culinaris). Food chem. 2010, 121, 705–711. [Google Scholar] [CrossRef]
- Lee, H.K.; Hwang, I.G.; Kim, H.Y.; Woo, K.S.; Lee, S.H.; Woo, S.H.; Lee, J.S.; Jeong, H.S. Physicochemical characteristic and antioxidant activities of cereals and legumes in Korea. J. Korean Soc. Food Sci. Nutr. 2010, 39, 1399–1404. [Google Scholar] [CrossRef]
- Lu, Q.; Goto, K.; Nishizu, T. Study on the conditions and quality of GABA enriched brown rice. J. JSAM 2010, 72, 291–296. [Google Scholar]
- Ma, Y.; Wang, A.; Yang, M.; Wang, S.; Wang, L.; Zhou, S.; Blecker, C. Influences of cooking and storage on γ-aminobutyric acid (GABA) content and distribution in mung bean and its noodle products. LWT 2022, 154, 112783. [Google Scholar] [CrossRef]
- Yun, I.J. Effect of Selection Attributes of Convenience Food Instant Japgog (Mixed Cereals) Rice on Customer Satisfaction and Loyalty. Ph.D. Thesis, Catholic Kwandong University, Gangneung, Republic of Korea, 2016. [Google Scholar]
- Nongsaro. Available online: https://www.nongsaro.go.kr/portal/ps/pst/pstb/pstbc/mngmtDtaDtl.ps?menuId=PS03213&nttSn=694&totalSearchYn=Y (accessed on 1 September 2017).
- Kim, S.I.; Kang, J.H.; Lee, J.S.; Lee, J.S. Effect on rice image for connectedness formation and meal culture settlement. J. Foodserv. Manag. 2016, 19, 25–49. [Google Scholar]
- Kim, H.S.; Oh, I.K.; Yang, S.K.; Lee, S.Y. A comparison of rheological measurement methods of instant cooked rice by a texture analyzer. Food Eng. Prog. 2018, 22, 381–385. [Google Scholar] [CrossRef]
- Jung, Y.J.; Cho, Y.J.; Kim, K.W.; Yoon, K.Y. Current status and development plan of domestic cereal industry. Food Preserv. Process. Indust. 2013, 12, 31–39. [Google Scholar]
- Panrod, K.; Anyarporn, T.; Vipaporn, P. Comparison of validated high performance liquid chromatography methods using two derivatizing agents for gamma-aminobutyric acid quantification. Thai J. Pharm. Sci. 2016, 40, 203–208. [Google Scholar]
- Hayat, A.; Jahangir, T.M.; Khuhawar, M.Y.; Alamgir, M.; Siddiqui, A.J.; Musharraf, S.G. Simultaneous HPLC determination of gamma amino butyric acid (GABA) and lysine in selected Pakistani rice varieties by pre-column derivatization with 2-Hydroxynaphthaldehyde. J. Cereal Sci. 2014, 60, 356–360. [Google Scholar] [CrossRef]
- Jang, G.W.; Choi, S.I.; Han, X.; Men, X.; Kwon, H.Y.; Choi, Y.E.; Kang, N.Y.; Park, B.W.; Kim, J.J.; Lee, O.H. Antioxidant and Anti-inflammatory Activities of Phellodendron amurense Extract Fermented with Lactobacillus plantarum CM. J. Food Hyg. Saf. 2021, 36, 196–203. [Google Scholar] [CrossRef]
- Re, R.; Pellegrini, N.; Proteggente, A.; Pannala, A.; Yang, M.; Rice-Evans, C. Antioxidant activity applying an improved ABTS radical cation decolorization assay. Free Radic. Biol. Med. 1999, 26, 1231–1237. [Google Scholar] [CrossRef]
- Radhika, D.; Bajpai, V.K.; Baek, K.H. Production of GABA (γ-aminobutyric acid) by microorganisms: A review. Braz. J. Microbiol. 2012, 43, 1230–1241. [Google Scholar]
- Das, D.; Goyal, A. Antioxidant activity and γ-aminobutyric acid (GABA) producing ability of probiotic Lactobacillus plantarum DM5 isolated from Marcha of Sikkim. LWT-Food Sci. Technol. 2015, 61, 263–268. [Google Scholar] [CrossRef]
- Wang, H.K.; Dong, C.; Chen, Y.F.; Cui, L.M.; Zhang, H.P. A new probiotic cheddar cheese with high ACE-Inhibitory activity and g-aminobutyric acid content produced with koumiss-derived Lactobacillus casei Zhang. Food Technol. Biotechnol. 2010, 48, 62–70. [Google Scholar]
- Rayavarapu, B.; Tallapragada, P.; Usha, M.S. Statistical optimization of γ-aminobutyric acid production by response surface methodology and artificial neural network models using Lactobacillus fermentum isolated from palm wine. Biocatal. Agric. Biotechnol. 2019, 22, 101362. [Google Scholar] [CrossRef]
- Lin, Q. Submerged fermentation of Lactobacillus rhamnosus YS9 for γ-aminobutyric acid (GABA) production. Braz. J. Microbiol. 2013, 44, 183–187. [Google Scholar] [CrossRef] [PubMed]
- Li, H.; Qiu, T.; Huang, G.; Cao, Y. Production of gamma-aminobutyric acid by Lactobacillus brevis NCL912 using fed-batch fermentation. Microb. Cell Fact. 2010, 9, 85. [Google Scholar] [CrossRef]
- Kim, J.Y.; Lee, M.Y.; Ji, G.E.; Lee, Y.S.; Hwang, K.T. Production of γ-aminobutyric acid in black raspberry juice during fermentation by Lactobacillus brevis GABA100. Int. J. Food Microbiol. 2009, 130, 12–16. [Google Scholar] [CrossRef]
- Hwang, E.Y.; Park, J.Y. Isolation and characterization of gamma-aminobutyric acid (GABA)-producing lactic Acid Bacteria from Kimchi. Curr. Top. Lact. Acid Bact. Probiotics 2020, 6, 64–69. [Google Scholar] [CrossRef]
- Singh, R.; De, S.; Belkheir, A. Avena sativa (Oat), a potential neutraceutical and therapeutic agent: An overview. Crit. Rev. Food Sci. Nutr. 2013, 53, 126–144. [Google Scholar] [CrossRef]
- Xu, D.; Ren, G.Y.; Liu, L.L.; Zhu, W.X.; Liu, Y.H. The influences of drying process on crude protein content of naked oat cut herbage (Avena nuda L.). Dry Technol. 2014, 32, 321–332. [Google Scholar]
- Jukanti, A.K.; Gaur, P.M.; Gowda, C.L.L.; Chibbar, R.N. Nutritional quality and health benefits of chickpea (Cicer arietinum L.): A review. Br. J. Nutr. 2012, 108, S11–S26. [Google Scholar] [CrossRef]
- Joyce, B.; Zare, F.; Pletch, A. Pulse proteins: Processing, characterization, functional properties and applications in food and feed. Food Res. Int. 2010, 43, 414–431. [Google Scholar]
- Jarpa, P.M. Lentil protein: A review of functional properties and food application. An overview of lentil protein functionality. Int. J. Food Sci. 2018, 53, 892–903. [Google Scholar] [CrossRef]
- Wang, N. Optimization of a laboratory dehulling process for lentil (Lens culinaris). Cereal Chem. 2005, 82, 671–676. [Google Scholar] [CrossRef]
- Thavarajah, D.; Thavarajah, P.; Sarker, A.; Vandenberg, A. Lentils (Lens culinaris Medikus Subspecies culinaris): A whole food for increased iron and zinc intake. J. Agric. Food Chem. 2009, 57, 5413–5419. [Google Scholar] [CrossRef] [PubMed]
- Bondet, V.; Brand-Williams, W.; Berset, C. Kinetics and mechanisms of antioxidant activity using the DPPH. free radical method. LWT-Food Sci. Technol. 1997, 30, 609–615. [Google Scholar] [CrossRef]
- van den Berg, R.; Haenen, G.R.; van den Berg, H.; Bast, A.A.L.T. Applicability of an improved Trolox equivalent antioxidant capacity (TEAC) assay for evaluation of antioxidant capacity measurements of mixtures. Food Chem. 1999, 66, 511–517. [Google Scholar] [CrossRef]
- Ghamry, M.; Ghazal, A.F.; Al-Maqtqri, Q.A.; Li, L.; Zhao, W. Impact of a novel probiotic Lactobacillus strain isolated from the bee gut on GABA content, antioxidant activity, and potential cytotoxic activity against HT-29 cell line of rice bran. J. Food Sci. Technol. 2022, 59, 3031–3042. [Google Scholar] [CrossRef]
- Ghamry, M.; Zhao, W.; Li, L. Impact of Lactobacillus apis on the antioxidant activity, phytic acid degradation, nutraceutical value and flavor properties of fermented wheat bran, compared to Saccharomyces cerevisiae and Lactobacillus plantarum. Food Res. Int. 2022, 163, 112142. [Google Scholar] [CrossRef]
- Nisa, K.; Rosyida, V.T.; Nurhayati, S.; Indrianingsih, A.W.; Darsih, C.; Apriyana, W. Total phenolic contents and antioxidant activity of rice bran fermented with lactic acid bacteria. IOP Conf. Ser. Earth Environ. Sci. 2019, 251, 012020. [Google Scholar] [CrossRef]
- Jhan, J.K.; Chang, W.F.; Wang, P.M.; Chou, S.T.; Chung, Y.C. Production of fermented red beans with multiple bioactivities using co-cultures of Bacillus subtilis and Lactobacillus delbrueckii subsp. bulgaricus. LWT-Food Sci. Technol. 2015, 63, 1281–1287. [Google Scholar] [CrossRef]
- Gan, R.Y.; Shah, N.P.; Wang, M.F.; Lui, W.Y.; Corke, H. Lactobacillus plantarum WCFS1 fermentation differentially affects antioxidant capacity and polyphenol content in mung bean (Vigna radiata) and soya bean (Glycine max) milks. J. Food Process Preserv. 2017, 41, e12944. [Google Scholar] [CrossRef]
Disclaimer/Publisher’s Note: The statements, opinions and data contained in all publications are solely those of the individual author(s) and contributor(s) and not of MDPI and/or the editor(s). MDPI and/or the editor(s) disclaim responsibility for any injury to people or property resulting from any ideas, methods, instructions or products referred to in the content. |
© 2022 by the authors. Licensee MDPI, Basel, Switzerland. This article is an open access article distributed under the terms and conditions of the Creative Commons Attribution (CC BY) license (https://creativecommons.org/licenses/by/4.0/).










