Biosurfactant Production from the Biodegradation of n-Paraffins, Isoprenoids and Aromatic Hydrocarbons from Crude Petroleum by Yarrowia lipolytica IMUFRJ 50682
Abstract
1. Introduction
2. Materials and Methods
2.1. Materials
2.2. Strain
2.3. Crude Oil Biodegradation Tests
2.4. Determination of the Crude Oil Biodegradation
2.5. Cell Growth
2.6. Lipase Production
2.7. Biosurfactant Production
2.8. Glucose Concentration
2.9. GC-MS Analysis
2.10. Statistical Analysis
3. Results
3.1. General Aspects of the Oil Biodegradation by Y. lipolytica
3.2. Identification of the Compounds Reduced/Removed by the Biodegradation with Y. lipolytica
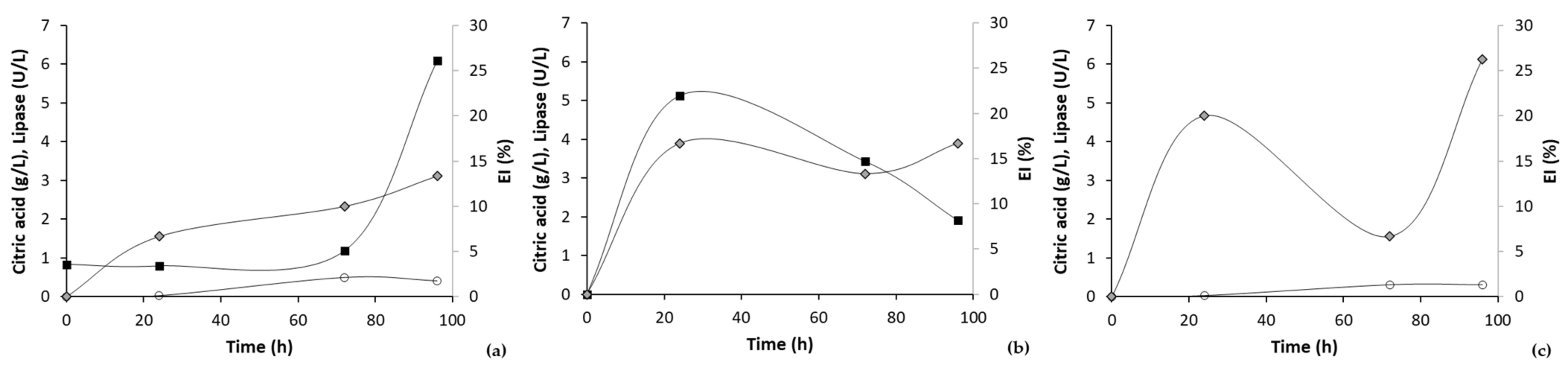
3.3. Bioproducts from the Biodegradation of Crude Oil with Y. lipolytica
4. Discussion
5. Conclusions
Author Contributions
Funding
Institutional Review Board Statement
Informed Consent Statement
Data Availability Statement
Acknowledgments
Conflicts of Interest
References
- Sevgili, C.; Fiskin, R.; Cakir, E. A Data-Driven Bayesian Network Model for Oil Spill Occurrence Prediction Using Tankship Accidents. J. Clean. Prod. 2022, 370, 133478. [Google Scholar] [CrossRef]
- Kottuparambil, S.; Agusti, S. Cell-by-Cell Estimation of PAH Sorption and Subsequent Toxicity in Marine Phytoplankton. Chemosphere 2020, 259, 127487. [Google Scholar] [CrossRef] [PubMed]
- Cakir, E.; Sevgili, C.; Fiskin, R. An Analysis of Severity of Oil Spill Caused by Vessel Accidents. Transp. Res. Part D Transp. Environ. 2021, 90, 102662. [Google Scholar] [CrossRef]
- ITOPF. Oil Tanker Spill Statistics 2010; ITOPF Ltd.: London, UK, 2010. [Google Scholar]
- Logeshwaran, P.; Megharaj, M.; Chadalavada, S.; Bowman, M.; Naidu, R. Petroleum Hydrocarbons (PH) in Groundwater Aquifers: An Overview of Environmental Fate, Toxicity, Microbial Degradation and Risk-Based Remediation Approaches. Environ. Technol. Innov. 2018, 10, 175–193. [Google Scholar] [CrossRef]
- Ferreira, T.; Azevedo, D.; Coelho, M.A.; Rocha-Leão, M.H. The Crude Oil Degrading Potential of Yarrowia lipolytica. N. Biotechnol. 2009, 25, S80–S81. [Google Scholar] [CrossRef]
- Sajna, K.V.; Sukumaran, R.K.; Gottumukkala, L.D.; Pandey, A. Crude Oil Biodegradation Aided by Biosurfactants from Pseudozyma Sp. NII 08165 or Its Culture Broth. Bioresour. Technol. 2015, 191, 133–139. [Google Scholar] [CrossRef]
- Chen, T.; Yavuz, B.M.; Delgado, A.G.; Montoya, G.; Van Winkle, D.; Zuo, Y.; Kamath, R.; Westerhoff, P.; Krajmalnik-Brown, R.; Rittmann, B.E. Impacts of Moisture Content during Ozonation of Soils Containing Residual Petroleum. J. Hazard. Mater. 2018, 344, 1101–1108. [Google Scholar] [CrossRef]
- Zhen, L.; Hu, T.; Lv, R.; Wu, Y.; Chang, F.; Jia, F.; Gu, J. Succession of Microbial Communities and Synergetic Effects during Bioremediation of Petroleum Hydrocarbon-Contaminated Soil Enhanced by Chemical Oxidation. J. Hazard. Mater. 2021, 410, 124869. [Google Scholar] [CrossRef]
- Apul, O.G.; Arrowsmith, S.; Hall, C.A.; Miranda, E.M.; Alam, F.; Dahlen, P.; Sra, K.; Kamath, R.; McMillen, S.J.; Sihota, N.; et al. Biodegradation of Petroleum Hydrocarbons in a Weathered, Unsaturated Soil Is Inhibited by Peroxide Oxidants. J. Hazard. Mater. 2022, 433, 128770. [Google Scholar] [CrossRef]
- Fuentes, S.; Méndez, V.; Aguila, P.; Seeger, M. Bioremediation of Petroleum Hydrocarbons: Catabolic Genes, Microbial Communities, and Applications. Appl. Microbiol. Biotechnol. 2014, 98, 4781–4794. [Google Scholar] [CrossRef]
- Fickers, P.; Benetti, P.H.; Waché, Y.; Marty, A.; Mauersberger, S.; Smit, M.S.; Nicaud, J.M. Hydrophobic Substrate Utilisation by the Yeast Yarrowia lipolytica, and Its Potential Applications. FEMS Yeast Res. 2005, 5, 527–543. [Google Scholar] [CrossRef] [PubMed]
- Ron, E.Z.; Rosenberg, E. Biosurfactants and Oil Bioremediation. Curr. Opin. Biotechnol. 2002, 13, 249–252. [Google Scholar] [CrossRef] [PubMed]
- Becarelli, S.; Chicca, I.; Siracusa, G.; La China, S.; Gentini, A.; Lorenzi, R.; Munz, G.; Petroni, G.; Levin, D.B.; Di Gregorio, S. Hydrocarbonoclastic Ascomycetes to Enhance Co-Composting of Total Petroleum Hydrocarbon (TPH) Contaminated Dredged Sediments and Lignocellulosic Matrices. N. Biotechnol. 2019, 50, 27–36. [Google Scholar] [CrossRef] [PubMed]
- Koolivand, A.; Abtahi, H.; Parhamfar, M.; Saeedi, R.; Coulon, F.; Kumar, V.; Villaseñor, J.; Sartaj, M.; Najarian, N.; Shahsavari, M.; et al. The Effect of Petroleum Hydrocarbons Concentration on Competition between Oil-Degrading Bacteria and Indigenous Compost Microorganisms in Petroleum Sludge Bioremediation. Environ. Technol. Innov. 2022, 26, 102319. [Google Scholar] [CrossRef]
- Reddy, M.V.; Devi, M.P.; Chandrasekhar, K.; Goud, R.K.; Mohan, S.V. Aerobic Remediation of Petroleum Sludge through Soil Supplementation: Microbial Community Analysis. J. Hazard. Mater. 2011, 197, 80–87. [Google Scholar] [CrossRef]
- Zinjarde, S.S.; Pant, A.; Deshpande, M.V. Dimorphic Transition in Yarrowia lipolytica Isolated from Oil-Polluted Sea Water. Mycol. Res. 1998, 102, 553–558. [Google Scholar] [CrossRef]
- Cerniglia, C.E.; Sutherland, J.B. Relative Roles of Bacteria and Fungi in Polycyclic Aromatic Hydrocarbon Biodegradation and Bioremediation of Contaminated Soils. In Fungi in Biogeochemical Cycles; Gadd, G.M., Ed.; Cambridge University Press: Cambridge, UK, 2006; pp. 182–211. ISBN 9780521845793. [Google Scholar]
- Jain, M.R.; Zinjarde, S.S.; Deobagkar, D.D.; Deobagkar, D.N. 2,4,6-Trinitrotoluene Transformation by a Tropical Marine Yeast, Yarrowia lipolytica NCIM 3589. Mar. Pollut. Bull. 2004, 49, 783–788. [Google Scholar] [CrossRef]
- Lee, J.S.; Kang, E.J.; Kim, M.O.; Lee, D.H.; Bae, K.S.; Kim, C.K. Identification of Yarrowia lipolytica Y103 and Its Degradability of Phenol and 4-Chlorophenol. J. Microbiol. Biotechnol. 2001, 11, 112–117. [Google Scholar]
- Bankar, A.V.; Kumar, A.R.; Zinjarde, S.S. Environmental and Industrial Applications of Yarrowia lipolytica. Appl. Microbiol. Biotechnol. 2009, 84, 847–865. [Google Scholar] [CrossRef]
- Hagler, A.N.; Mendonça-Hagler, L.C. Yeasts from Marine and Estuarine Waters with Different Levels of Pollution in the State of Rio de Janeiro, Brazil. Appl. Environ. Microbiol. 1981, 41, 173–178. [Google Scholar] [CrossRef]
- Brígida, A.I.S.; Amaral, P.F.F.; Gonçalves, L.R.B.; da Rocha-Leão, M.H.M.; Coelho, M.A.Z. Yarrowia lipolytica IMUFRJ 50682: Lipase Production in a Multiphase Bioreactor. Curr. Biochem. Eng. 2014, 1, 65–74. [Google Scholar] [CrossRef]
- Fontes, G.C.; Ramos, N.M.; Amaral, P.F.F.; Nele, M.; Coelho, M.A.Z. Renewable Resources for Biosurfactant Production by Yarrowia lipolytica. Brazilian J. Chem. Eng. 2012, 29, 483–493. [Google Scholar] [CrossRef]
- Cheng, X.; Hou, D.; Xu, C.; Wang, F. Biodegradation of Tricyclic Terpanes in Crude Oils from the Bohai Bay Basin. Org. Geochem. 2016, 101, 11–21. [Google Scholar] [CrossRef]
- Wiedemann, L.S.M. Caracterização Geoquímica de Óleos Da Bacia Sedimentar Brasileira. Ph.D. Thesis, Federal University of Rio de Janeiro, Rio de Janeiro, Brazil, 2006. [Google Scholar]
- Deeba, F.; Pruthi, V.; Negi, Y.S. Aromatic Hydrocarbon Biodegradation Activates Neutral Lipid Biosynthesis in Oleaginous Yeast. Bioresour. Technol. 2018, 255, 273–280. [Google Scholar] [CrossRef] [PubMed]
- Da Silva, L.V.; Coelho, M.A.Z.; da Silva, M.R.S.; Amaral, P.F.F. Investigation of Mitochondrial Protein Expression Profiles of Yarrowia lipolytica in Response to Citric Acid Production. Bioprocess Biosyst. Eng. 2020, 43, 1703–1715. [Google Scholar] [CrossRef]
- Dos Santos, F.F.; de Freitas, K.M.L.; Pereira, A.d.S.; Fontes-Sant’Ana, G.C.; da Rocha-Leão, M.H.M.; Amaral, P.F.F. Butter Whey and Corn Steep Liquor as Sole Raw Materials to Obtain a Bioemulsifier from Yarrowia lipolytica for Food Oil-in-Water Emulsions. Ciência Rural 2021, 51, 1–12. [Google Scholar] [CrossRef]
- Amaral, P.F.F.; da Silva, J.M.; Lehocky, M.; Barros-Timmons, A.M.V.; Coelho, M.A.Z.; Marrucho, I.M.; Coutinho, J.A.P. Production and Characterization of a Bioemulsifier from Yarrowia lipolytica. Process Biochem. 2006, 41, 1894–1898. [Google Scholar] [CrossRef]
- Fontes, G.C.; Fonseca Amaral, P.F.; Nele, M.; Zarur Coelho, M.A. Factorial Design to Optimize Biosurfactant Production by Yarrowia lipolytica. J. Biomed. Biotechnol. 2010, 2010, 1–8. [Google Scholar] [CrossRef]
- Sarubbo, L.A.; Farias, C.B.B.; Campos-Takaki, G.M. Co-Utilization of Canola Oil and Glucose on the Production of a Surfactant by Candida lipolytica. Curr. Microbiol. 2007, 54, 68–73. [Google Scholar] [CrossRef]
- Chaillan, F.; Le Flèche, A.; Bury, E.; Phantavong, Y.H.; Grimont, P.; Saliot, A.; Oudot, J. Identification and Biodegradation Potential of Tropical Aerobic Hydrocarbon-Degrading Microorganisms. Res. Microbiol. 2004, 155, 587–595. [Google Scholar] [CrossRef]
- Marchand, C.; St-Arnaud, M.; Hogland, W.; Bell, T.H.; Hijri, M. Petroleum Biodegradation Capacity of Bacteria and Fungi Isolated from Petroleum-Contaminated Soil. Int. Biodeterior. Biodegrad. 2017, 116, 48–57. [Google Scholar] [CrossRef]
- Hou, N.; Zhang, N.; Jia, T.; Sun, Y.; Dai, Y.; Wang, Q.; Li, D.; Luo, Z.; Li, C. Biodegradation of Phenanthrene by Biodemulsifier-Producing Strain Achromobacter Sp. LH-1 and the Study on Its Metabolisms and Fermentation Kinetics. Ecotoxicol. Environ. Saf. 2018, 163, 205–214. [Google Scholar] [CrossRef] [PubMed]










| Carbon Source | CFU/mL 1 | ΔX 2 (g/L) | Removal (%) | Surface Tension (mN/m) | ||
|---|---|---|---|---|---|---|
| 0 h | 120 h | 0 h | 120 h | |||
| 1% v/v oil | 1.67 × 106 a,A | 2.33 × 108 b,A | - | 52 | 66.71 ± 0.05 | 60.11 ± 0.09 |
| 2% glucose | 5.33 × 106 a,A | 1.93 × 109 b,B | 2.03 a ± 0.38 | - | 68.24 ± 0.09 | 61.09 ± 0.12 |
| 2% glucose + 1% v/v oil | 5.67 × 106 a,A | 4.53 × 109 b,B | 2.88 b ± 0.40 | 60 | 68.24 ± 0.09 | 38.30 ± 0.19 |
Disclaimer/Publisher’s Note: The statements, opinions and data contained in all publications are solely those of the individual author(s) and contributor(s) and not of MDPI and/or the editor(s). MDPI and/or the editor(s) disclaim responsibility for any injury to people or property resulting from any ideas, methods, instructions or products referred to in the content. |
© 2022 by the authors. Licensee MDPI, Basel, Switzerland. This article is an open access article distributed under the terms and conditions of the Creative Commons Attribution (CC BY) license (https://creativecommons.org/licenses/by/4.0/).
Share and Cite
Ferreira, T.F.; Martins, F.F.; Cayres, C.A.; Amaral, P.F.F.; Azevedo, D.d.A.; Coelho, M.A.Z. Biosurfactant Production from the Biodegradation of n-Paraffins, Isoprenoids and Aromatic Hydrocarbons from Crude Petroleum by Yarrowia lipolytica IMUFRJ 50682. Fermentation 2023, 9, 21. https://doi.org/10.3390/fermentation9010021
Ferreira TF, Martins FF, Cayres CA, Amaral PFF, Azevedo DdA, Coelho MAZ. Biosurfactant Production from the Biodegradation of n-Paraffins, Isoprenoids and Aromatic Hydrocarbons from Crude Petroleum by Yarrowia lipolytica IMUFRJ 50682. Fermentation. 2023; 9(1):21. https://doi.org/10.3390/fermentation9010021
Chicago/Turabian StyleFerreira, Tatiana Felix, Fernanda Faria Martins, Caroline Alves Cayres, Priscilla F. F. Amaral, Débora de Almeida Azevedo, and Maria Alice Zarur Coelho. 2023. "Biosurfactant Production from the Biodegradation of n-Paraffins, Isoprenoids and Aromatic Hydrocarbons from Crude Petroleum by Yarrowia lipolytica IMUFRJ 50682" Fermentation 9, no. 1: 21. https://doi.org/10.3390/fermentation9010021
APA StyleFerreira, T. F., Martins, F. F., Cayres, C. A., Amaral, P. F. F., Azevedo, D. d. A., & Coelho, M. A. Z. (2023). Biosurfactant Production from the Biodegradation of n-Paraffins, Isoprenoids and Aromatic Hydrocarbons from Crude Petroleum by Yarrowia lipolytica IMUFRJ 50682. Fermentation, 9(1), 21. https://doi.org/10.3390/fermentation9010021

