Cell Walls of Lipid-Rich Microalgae: A Comprehensive Review on Characterisation, Ultrastructure, and Enzymatic Disruption
Abstract
1. Introduction
2. Microalgae Cell Wall
2.1. Cell-Wall Isolation
2.2. Cell-Wall Characterization
2.2.1. Staining and Overall Labelling
2.2.2. Chemical Analysis
2.2.3. Ultrastructure Analysis
2.2.4. Spectroscopy
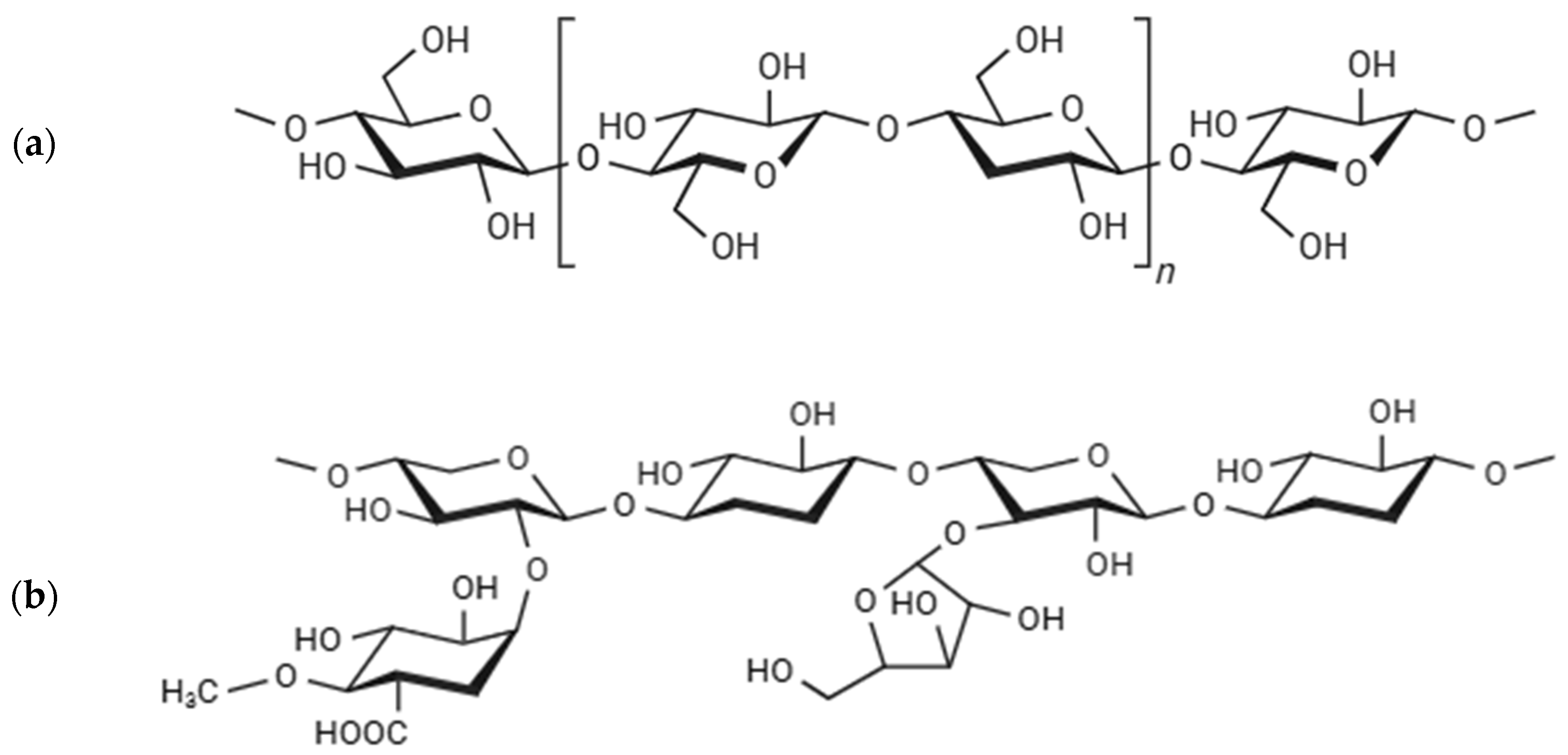
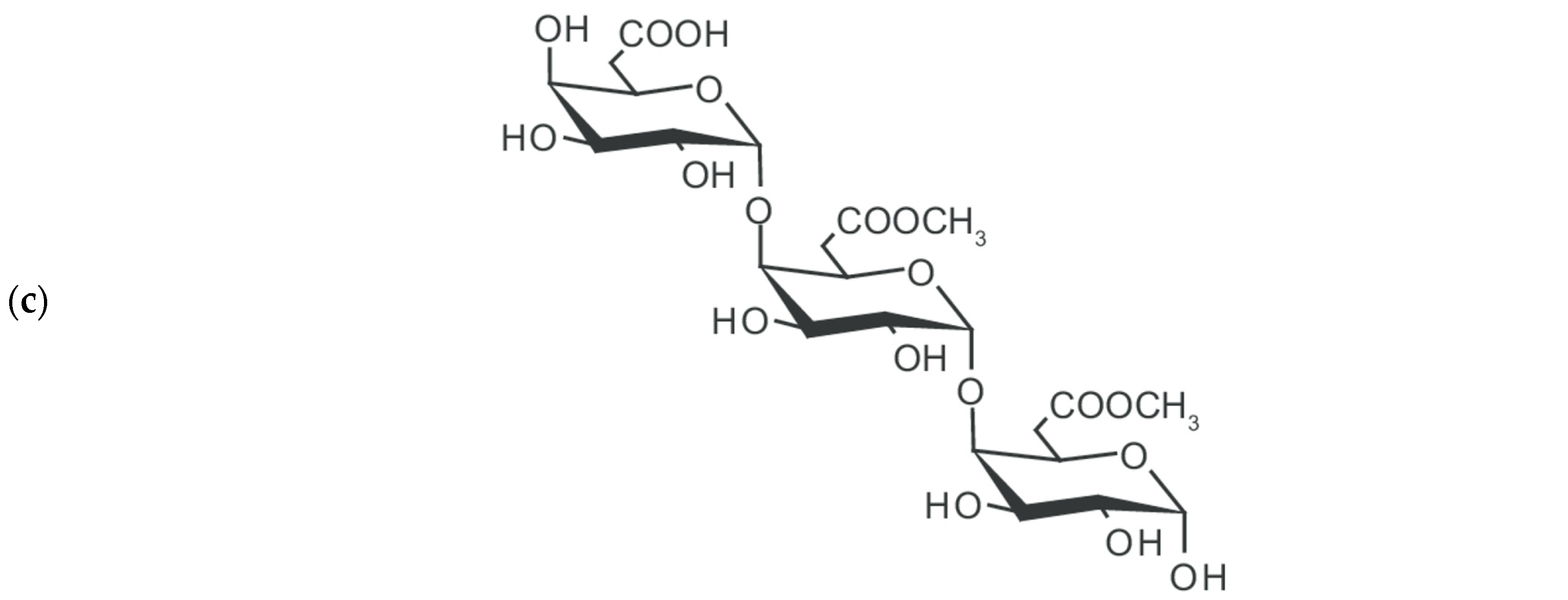
2.3. Cell-Wall Ultrastructure and Composition
2.3.1. Nannochloropsis
2.3.2. Scenedesmus
2.3.3. Schizochytrium
2.4. Changes in Cell Wall Ultrastructure to Growth Environment
2.4.1. Nitrogen
2.4.2. Salinity
2.4.3. Growth Phase
2.4.4. Concentration of Carbon Dioxide
3. Cell Wall Disruption
3.1. Cell-Disruption Technology
3.1.1. Mechanical Methods
3.1.2. Chemical Methods
3.2. Enzymatic Cell Disruption
| Method | Advantages | Disadvantages |
|---|---|---|
| Physical/Mechanical—Bead milling, Autoclave, Microwave, Sonication, Ultrasonication, and High-pressure homogenization |
|
|
| Chemical—Acids, Surfactants, Detergents |
|
|
| Enzymatic (or Indirect Biological approach) |
|
|
3.3. Enzymatic Cell Disruption for Nannochloropsis, Scenedesmus, and Schizochytrium
3.4. Use of Enzymes on Other Microalgal Species
3.5. Recycling and Immobilization
4. Direct Biological Approach for Cell-Wall Disruption
4.1. Algicidal Bacteria
4.2. Fungal Enzymes
5. Conclusions and Perspectives
Author Contributions
Funding
Data Availability Statement
Conflicts of Interest
References
- Bermejo, R. The Limits of Fossil Fuels. In Handbook for a Sustainable Economy; Bermejo, R., Ed.; Springer Netherlands: Dordrecht, The Netherlands, 2014; pp. 151–171. [Google Scholar]
- Bhaskar, T.; Pandey, A. Advances in Thermochemical Conversion of Biomass—Introduction; Elsevier: Amsterdam, The Netherlands, 2015; pp. 3–30. [Google Scholar]
- Ruxton, C.H.S.; Reed, S.C.; Simpson, M.J.A.; Millington, K.J. The health benefits of omega-3 polyunsaturated fatty acids: A review of the evidence. J. Hum. Nutr. Diet. 2004, 17, 449–459. [Google Scholar] [CrossRef] [PubMed]
- Singh, J.; Saxena, R.C. Chapter 2—An Introduction to Microalgae: Diversity and Significance. In Handbook of Marine Microalgae; Kim, S.-K., Ed.; Academic Press: Boston, MA, USA, 2015; pp. 11–24. [Google Scholar]
- Gonçalves, C.D.A.; Figueredo, C.C. What we really know about the composition and function of microalgae cell coverings?—An overview. Acta Bot. Bras. 2020, 34, 599–614. [Google Scholar] [CrossRef]
- de Carvalho, J.C.; Magalhães, A.I.; de Melo Pereira, G.V.; Medeiros, A.B.P.; Sydney, E.B.; Rodrigues, C.; Aulestia, D.T.M.; de Souza Vandenberghe, L.P.; Soccol, V.T.; Soccol, C.R. Microalgal biomass pretreatment for integrated processing into biofuels, food, and feed. Bioresour. Technol. 2020, 300, 122719. [Google Scholar] [CrossRef]
- Raven, J.A.; Waite, A.M. The evolution of silicification in diatoms: Inescapable sinking and sinking as escape? New Phytol. 2004, 162, 45–61. [Google Scholar] [CrossRef]
- Borowitzka, M.A. Chapter 3—Biology of Microalgae. In Microalgae in Health and Disease Prevention; Levine, I.A., Fleurence, J., Eds.; Academic Press: Cambridge, MA, USA, 2018; pp. 23–72. [Google Scholar]
- Scholz Matthew, J.; Weiss Taylor, L.; Jinkerson Robert, E.; Jing, J.; Roth, R.; Goodenough, U.; Posewitz Matthew, C.; Gerken Henri, G. Ultrastructure and Composition of the Nannochloropsis gaditana Cell Wall. Eukaryot. Cell 2014, 13, 1450–1464. [Google Scholar] [CrossRef]
- Spain, O.; Plöhn, M.; Funk, C. The cell wall of green microalgae and its role in heavy metal removal. Physiol. Plant. 2021, 173, 526–535. [Google Scholar] [CrossRef]
- Ma, X.-N.; Chen, T.-P.; Yang, B.; Liu, J.; Chen, F. Lipid Production from Nannochloropsis. Mar. Drugs 2016, 14, 61. [Google Scholar] [CrossRef] [PubMed]
- Udayan, A.; Pandey, A.K.; Sirohi, R.; Sreekumar, N.; Sang, B.-I.; Sim, S.J.; Kim, S.H.; Pandey, A. Production of microalgae with high lipid content and their potential as sources of nutraceuticals. Phytochem. Rev. 2023, 22, 833–860. [Google Scholar] [CrossRef] [PubMed]
- Rashidi, B.; Dechesne, A.; Rydahl, M.G.; Jørgensen, B.; Trindade, L.M. Neochloris oleoabundans cell walls have an altered composition when cultivated under different growing conditions. Algal Res. 2019, 40, 101482. [Google Scholar] [CrossRef]
- Vojvodić, S.; Luković, J.D.; Zechmann, B.; Jevtović, M.; Pristov, J.B.; Stanić, M.; Lizzul, A.M.; Pittman, J.K.; Spasojević, I. The effects of ionizing radiation on the structure and antioxidative and metal-binding capacity of the cell wall of microalga Chlorella sorokiniana. Chemosphere 2020, 260, 127553. [Google Scholar] [CrossRef]
- Spain, O.; Funk, C. Detailed Characterization of the Cell Wall Structure and Composition of Nordic Green Microalgae. J. Agric. Food Chem. 2022, 70, 9711–9721. [Google Scholar] [CrossRef] [PubMed]
- Raschke, S.; Guan, J.; Iliakis, G. Application of alkaline sucrose gradient centrifugation in the analysis of DNA replication after DNA damage. Methods Mol. Biol. 2009, 521, 329–342. [Google Scholar] [CrossRef] [PubMed]
- Wu, G.; Lu, F.; Wu, G.; Wu, M. Insights into the physiology, biochemistry, and metabolic pathways of ethanol-resistant marine microalgae in phytoplankton. Algal Res. 2024, 81, 103580. [Google Scholar] [CrossRef]
- Saini, R.K.; Prasad, P.; Shang, X.; Keum, Y.-S. Advances in Lipid Extraction Methods—A Review. Int. J. Mol. Sci. 2021, 22, 13643. [Google Scholar] [CrossRef] [PubMed]
- Zych, M.; Burczyk, J.; Kotowska, M.; Kapuścik, A.; Banaś, A.; Stolarczyk, A.; Termińska-Pabis, K.; Dudek, S.; Klasik, S. Differences in staining of the unicellular algae Chlorococcales as a function of algaenan content. Acta Agron. Hung. 2009, 57, 377–381. [Google Scholar] [CrossRef]
- Berrios, H.; Zapata, M.; Rivas, M. A method for genetic transformation of Botryococcus braunii using a cellulase pretreatment. J. Appl. Phycol. 2016, 28, 201–208. [Google Scholar] [CrossRef]
- Lütz-Meindl, U. Micrasterias as a Model System in Plant Cell Biology. Front. Plant Sci. 2016, 7, 999. [Google Scholar] [CrossRef]
- Fischer, H.; Robl, I.; Sumper, M.; Kröger, N. Targeting and covalent modification of cell wall and membrane proteins heterologously expressed in the diatom Cylindrotheca fusiformis (bacillariophyceae). J. Phycol. 1999, 35, 113–120. [Google Scholar] [CrossRef]
- Tesson, B.; Lerch, S.J.; Hildebrand, M. Characterization of a new protein family associated with the silica deposition vesicle membrane enables genetic manipulation of diatom silica. Sci. Rep. 2017, 7, 13457. [Google Scholar] [CrossRef]
- Bernaerts, T.M.M.; Gheysen, L.; Kyomugasho, C.; Jamsazzadeh Kermani, Z.; Vandionant, S.; Foubert, I.; Hendrickx, M.E.; Van Loey, A.M. Comparison of microalgal biomasses as functional food ingredients: Focus on the composition of cell wall related polysaccharides. Algal Res. 2018, 32, 150–161. [Google Scholar] [CrossRef]
- Blokker, P.; Schouten, S.; van den Ende, H.; De Leeuw, J.W.; Sinninghe Damsté, J.S. Cell wall-specific ω-hydroxy fatty acids in some freshwater green microalgae. Phytochemistry 1998, 49, 691–695. [Google Scholar] [CrossRef]
- Poulsen, N.; Hennig, H.; Geyer, V.F.; Diez, S.; Wetherbee, R.; Fitz-Gibbon, S.; Pellegrini, M.; Kröger, N. On the role of cell surface associated, mucin-like glycoproteins in the pennate diatom Craspedostauros australis (Bacillariophyceae). J. Phycol. 2023, 59, 54–69. [Google Scholar] [CrossRef]
- Tatli, M.; Ishihara, M.; Heiss, C.; Browne, D.R.; Dangott, L.J.; Vitha, S.; Azadi, P.; Devarenne, T.P. Polysaccharide associated protein (PSAP) from the green microalga Botryococcus braunii is a unique extracellular matrix hydroxyproline-rich glycoprotein. Algal Res. 2018, 29, 92–103. [Google Scholar] [CrossRef]
- Gerken, H.G.; Donohoe, B.; Knoshaug, E.P. Enzymatic cell wall degradation of Chlorella vulgaris and other microalgae for biofuels production. Planta 2013, 237, 239–253. [Google Scholar] [CrossRef] [PubMed]
- Roncaglia, B.; Papini, A.; Chini Zittelli, G.; Rodolfi, L.; Tredici, M.R. Cell wall and organelle modifications during nitrogen starvation in Nannochloropsis oceanica F&M-M24. J. Appl. Phycol. 2021, 33, 2069–2080. [Google Scholar] [CrossRef]
- Lavoie, I.; Hamilton, P.B.; Morin, S.; Kim Tiam, S.; Kahlert, M.; Gonçalves, S.; Falasco, E.; Fortin, C.; Gontero, B.; Heudre, D.; et al. Diatom teratologies as biomarkers of contamination: Are all deformities ecologically meaningful? Ecol. Indic. 2017, 82, 539–550. [Google Scholar] [CrossRef]
- Demir-Yilmaz, I.; Schiavone, M.; Esvan, J.; Guiraud, P.; Formosa-Dague, C. Combining AFM, XPS and chemical hydrolysis to understand the complexity and dynamics of C. vulgaris cell wall composition and architecture. Algal Res. 2023, 72, 103102. [Google Scholar] [CrossRef]
- Duval, J.F.L.; Razafitianamaharavo, A.; Bihannic, I.; Offroy, M.; Lesniewska, N.; Sohm, B.; Le Cordier, H.; Mustin, C.; Pagnout, C.; Beaussart, A. New insights into the effects of growth phase and enzymatic treatment on the cell-wall properties of Chlorella vulgaris microalgae. Algal Res. 2023, 69, 102955. [Google Scholar] [CrossRef]
- Feng, L.; Guo, W.; Guo, J.; Zhang, X.; Zou, X.; Rao, M.; Ye, J.; Kuang, C.; Chen, G.; Chen, C.; et al. FIB-SEM analysis on three-dimensional structures of growing organelles in wild Chlorella pyrenoidosa cells. Protoplasma 2023, 260, 885–897. [Google Scholar] [CrossRef]
- Dang, Z.; Tao, X.-Y.; Guan, Y.; Wu, Z.; Xiong, Y.; Liu, G.; Tian, Y.; Tian, L.-J. Direct Visualization and Restoration of Metallic Ion-Induced Subcellular Ultrastructural Remodeling. ACS Nano 2023, 17, 9069–9081. [Google Scholar] [CrossRef]
- He, X.; Dai, J.; Wu, Q. Identification of Sporopollenin as the Outer Layer of Cell Wall in Microalga Chlorella protothecoides. Front. Microbiol. 2016, 7, 1047. [Google Scholar] [CrossRef]
- Zhang, C.; Tang, X.; Yang, X. Overcoming the cell wall recalcitrance of heterotrophic Chlorella to promote the efficiency of lipid extraction. J. Clean. Prod. 2018, 198, 1224–1231. [Google Scholar] [CrossRef]
- Permann, C.; Herburger, K.; Niedermeier, M.; Felhofer, M.; Gierlinger, N.; Holzinger, A. Cell wall characteristics during sexual reproduction of Mougeotia sp. (Zygnematophyceae) revealed by electron microscopy, glycan microarrays and RAMAN spectroscopy. Protoplasma 2021, 258, 1261–1275. [Google Scholar] [CrossRef]
- Felhofer, M.; Mayr, K.; Lütz-Meindl, U.; Gierlinger, N. Raman imaging of Micrasterias: New insights into shape formation. Protoplasma 2021, 258, 1323–1334. [Google Scholar] [CrossRef] [PubMed]
- Shchukarev, A.; Gojkovic, Z.; Funk, C.; Ramstedt, M. Cryo-XPS analysis reveals surface composition of microalgae. Appl. Surf. Sci. 2020, 526, 146538. [Google Scholar] [CrossRef]
- Yuan, H.; Zhang, X.; Jiang, Z.; Wang, X.; Chen, X.; Cao, L.; Zhang, X. Analyzing the effect of pH on microalgae adhesion by identifying the dominant interaction between cell and surface. Colloids Surf. B Biointerfaces 2019, 177, 479–486. [Google Scholar] [CrossRef]
- Poulhazan, A.; Dickwella Widanage, M.C.; Muszyński, A.; Arnold, A.A.; Warschawski, D.E.; Azadi, P.; Marcotte, I.; Wang, T. Identification and Quantification of Glycans in Whole Cells: Architecture of Microalgal Polysaccharides Described by Solid-State Nuclear Magnetic Resonance. J. Am. Chem. Soc. 2021, 143, 19374–19388. [Google Scholar] [CrossRef]
- Arnold, A.A.; Genard, B.; Zito, F.; Tremblay, R.; Warschawski, D.E.; Marcotte, I. Identification of lipid and saccharide constituents of whole microalgal cells by 13C solid-state NMR. Biochim. Biophys. Acta (BBA)-Biomembr. 2015, 1848, 369–377. [Google Scholar] [CrossRef]
- Hagen, C.; Siegmund, S.; Braune, W. Ultrastructural and chemical changes in the cell wall of Haematococcus pluvialis (Volvocales, Chlorophyta) during aplanospore formation. Eur. J. Phycol. 2002, 37, 217–226. [Google Scholar] [CrossRef]
- Allard, B.; Rager, M.-N.; Templier, J. Occurrence of high molecular weight lipids (C80+) in the trilaminar outer cell walls of some freshwater microalgae. A reappraisal of algaenan structure. Org. Geochem. 2002, 33, 789–801. [Google Scholar] [CrossRef]
- Lee, J. Electron microscopic studies on the ultrastructure of pyrenoid and cell wall in Chlorella cells. Kor. J. Microbiol 1966, 4, 1–13. [Google Scholar]
- Hedenskog, G.; Hofsten, A.V. The Ultrastructure of Spirulina platensis—A New Source of Microbial Protein. Physiol. Plant. 1970, 23, 209–216. [Google Scholar] [CrossRef]
- Schmid, A.M.M.; Schulz, D. Wall morphogenesis in diatoms: Deposition of silica by cytoplasmic vesicles. Protoplasma 1979, 100, 267–288. [Google Scholar] [CrossRef]
- Binnig, G.; Quate, C.F.; Gerber, C. Atomic Force Microscope. Phys. Rev. Lett. 1986, 56, 930–933. [Google Scholar] [CrossRef] [PubMed]
- Mišić Radić, T.; Vukosav, P.; Čačković, A.; Dulebo, A. Insights into the Morphology and Surface Properties of Microalgae at the Nanoscale by Atomic Force Microscopy (AFM): A Review. Water 2023, 15, 1983. [Google Scholar] [CrossRef]
- Demir-Yilmaz, I.; Yakovenko, N.; Roux, C.; Guiraud, P.; Collin, F.; Coudret, C.; ter Halle, A.; Formosa-Dague, C. The role of microplastics in microalgae cells aggregation: A study at the molecular scale using atomic force microscopy. Sci. Total Environ. 2022, 832, 155036. [Google Scholar] [CrossRef]
- Elbaum, M. Expanding horizons of cryo-tomography to larger volumes. Curr. Opin. Microbiol. 2018, 43, 155–161. [Google Scholar] [CrossRef]
- Peddie, C.J.; Collinson, L.M. Exploring the third dimension: Volume electron microscopy comes of age. Micron 2014, 61, 9–19. [Google Scholar] [CrossRef]
- Varsano, N.; Wolf, S.G. Electron microscopy of cellular ultrastructure in three dimensions. Curr. Opin. Struct. Biol. 2022, 76, 102444. [Google Scholar] [CrossRef]
- Knott, G.; Marchman, H.; Wall, D.; Lich, B. Serial Section Scanning Electron Microscopy of Adult Brain Tissue Using Focused Ion Beam Milling. J. Neurosci. 2008, 28, 2959–2964. [Google Scholar] [CrossRef]
- Xu, C.S.; Hayworth, K.J.; Lu, Z.; Grob, P.; Hassan, A.M.; García-Cerdán, J.G.; Niyogi, K.K.; Nogales, E.; Weinberg, R.J.; Hess, H.F. Enhanced FIB-SEM systems for large-volume 3D imaging. eLife 2017, 6, e25916. [Google Scholar] [CrossRef] [PubMed]
- Guo, W.; Feng, L.; Wang, Z.; Guo, J.; Park, D.; Carroll, B.L.; Zhang, X.; Liu, J.; Cheng, J. In-situ high-resolution 3D imaging combined with proteomics and metabolomics reveals enlargement of subcellular architecture and enhancement of photosynthesis pathways in nuclear-irradiated Chlorella pyrenoidosa. Chem. Eng. J. 2022, 430, 133037. [Google Scholar] [CrossRef]
- Kirz, J.; Jacobsen, C.; Howells, M. Soft X-ray microscopes and their biological applications. Q. Rev. Biophys. 1995, 28, 33–130. [Google Scholar] [CrossRef] [PubMed]
- Hummel, E.; Guttmann, P.; Werner, S.; Tarek, B.; Schneider, G.; Kunz, M.; Frangakis, A.S.; Westermann, B. 3D Ultrastructural Organization of Whole Chlamydomonas reinhardtii Cells Studied by Nanoscale Soft X-Ray Tomography. PLoS ONE 2012, 7, e53293. [Google Scholar] [CrossRef] [PubMed]
- Tumerman, L.A. Applications of spectroscopy in biology and biochemistry. Sov. Phys. Uspekhi 1959, 2, 407. [Google Scholar] [CrossRef]
- Mantsch, H.H.; Chapman, D. Infrared Spectroscopy of Biomolecules; Wiley-Liss: Hoboken, NJ, USA, 1996. [Google Scholar]
- Stuart, B.H. Infrared Spectroscopy: Fundamentals and Applications; John Wiley & Sons: Hoboken, NJ, USA, 2004. [Google Scholar]
- Pezzotti, G. Raman spectroscopy in cell biology and microbiology. J. Raman Spectrosc. 2021, 52, 2348–2443. [Google Scholar] [CrossRef]
- Shchukarev, A.; Backman, E.; Watts, S.; Salentinig, S.; Urban, C.F.; Ramstedt, M. Applying Cryo-X-ray Photoelectron Spectroscopy to Study the Surface Chemical Composition of Fungi and Viruses. Front. Chem. 2021, 9, 666853. [Google Scholar] [CrossRef] [PubMed]
- Gojkovic, Z.; Shchukarev, A.; Ramstedt, M.; Funk, C. Cryogenic X-ray photoelectron spectroscopy determines surface composition of algal cells and gives insights into their spontaneous sedimentation. Algal Res. 2020, 47, 101836. [Google Scholar] [CrossRef]
- Eakin, R.T.; Morgan, L.O.; Gregg, C.T.; Matwiyoff, N.A. Carbon-13 nuclear magnetic resonance spectroscopy of living cells and their metabolism of a specifically labeled 13C substrate. FEBS Lett. 1972, 28, 259–264. [Google Scholar] [CrossRef]
- Odeblad, E.; Lindström, G. Some preliminary observations on the proton magnetic resonance in biologic samples. Acta Radiol. 2008, 49, 57–61. [Google Scholar] [CrossRef]
- Ghassemi, N.; Poulhazan, A.; Deligey, F.; Mentink-Vigier, F.; Marcotte, I.; Wang, T. Solid-State NMR Investigations of Extracellular Matrixes and Cell Walls of Algae, Bacteria, Fungi, and Plants. Chem. Rev. 2022, 122, 10036–10086. [Google Scholar] [CrossRef] [PubMed]
- Zhang, R.; Parniakov, O.; Grimi, N.; Lebovka, N.; Marchal, L.; Vorobiev, E. Emerging techniques for cell disruption and extraction of valuable bio-molecules of microalgae Nannochloropsis sp. Bioprocess Biosyst. Eng. 2019, 42, 173–186. [Google Scholar] [CrossRef] [PubMed]
- Lee, S.Y.; Cho, J.M.; Chang, Y.K.; Oh, Y.-K. Cell disruption and lipid extraction for microalgal biorefineries: A review. Bioresour. Technol. 2017, 244, 1317–1328. [Google Scholar] [CrossRef] [PubMed]
- Takeda, H. Cell wall sugars of some Scenedesmus species. Phytochemistry 1996, 42, 673–675. [Google Scholar] [CrossRef]
- Darley, W.M.; Porter, D.; Fuller, M.S. Cell wall composition and synthesis via Golgi-directed scale formation in the marine eucaryote, Schizochytrium aggregatum, with a note on Thraustochytrium sp. Arch. Für Mikrobiol. 1973, 90, 89–106. [Google Scholar] [CrossRef]
- Collier, J.L.; Rest, J.S. Swimming, gliding, and rolling toward the mainstream: Cell biology of marine protists. Mol. Biol. Cell 2019, 30, 1245–1248. [Google Scholar] [CrossRef]
- Hanley, S.J.; Revol, J.-F.; Godbout, L.; Gray, D.G. Atomic force microscopy and transmission electron microscopy of cellulose from Micrasterias denticulata; evidence for a chiral helical microfibril twist. Cellulose 1997, 4, 209–220. [Google Scholar] [CrossRef]
- Halim, R.; Harun, R.; Danquah, M.K.; Webley, P.A. Microalgal cell disruption for biofuel development. Appl. Energy 2012, 91, 116–121. [Google Scholar] [CrossRef]
- Ali, S.A.; El-Regal, N.S.; Saeed, S.M. Antischistosomal Activity of Two Active Constituents Isolated from the Leaves of Egyptian Medicinal Plants. Infect. Dis. Res. Treat. 2015, 8, IDRT-S24342. [Google Scholar] [CrossRef]
- Voigt, J.; Stolarczyk, A.; Zych, M.; Malec, P.; Burczyk, J. The cell-wall glycoproteins of the green alga Scenedesmus obliquus. The predominant cell-wall polypeptide of Scenedesmus obliquus is related to the cell-wall glycoprotein gp3 of Chlamydomonas reinhardtii. Plant Sci. 2014, 215–216, 39–47. [Google Scholar] [CrossRef]
- Mahdy, A.; Mendez, L.; Tomás-Pejó, E.; del Mar Morales, M.; Ballesteros, M.; González-Fernández, C. Influence of enzymatic hydrolysis on the biochemical methane potential of Chlorella vulgaris and Scenedesmus sp. J. Chem. Technol. Biotechnol. 2016, 91, 1299–1305. [Google Scholar] [CrossRef]
- Miazek, K.; Remacle, C.; Richel, A.; Goffin, D. Effect of Lignocellulose Related Compounds on Microalgae Growth and Product Biosynthesis: A Review. Energies 2014, 7, 4446–4481. [Google Scholar] [CrossRef]
- Hammond, B.G.; Mayhew, D.A.; Naylor, M.W.; Ruecker, F.A.; Mast, R.W.; Sander, W.J. Safety Assessment of DHA-Rich Microalgae from Schizochytrium sp.: I. Subchronic Rat Feeding Study. Regul. Toxicol. Pharmacol. 2001, 33, 192–204. [Google Scholar] [CrossRef] [PubMed]
- Lin, Y.; Xie, X.; Yuan, B.; Fu, J.; Liu, L.; Tian, H.; Chen, T.; He, D. Optimization of Enzymatic Cell Disruption for Improving Lipid Extraction from Schizochytrium sp. through Response Surface Methodology. J. Oleo Sci. 2018, 67, 215–224. [Google Scholar] [CrossRef] [PubMed]
- Lara-Espinoza, C.; Carvajal-Millán, E.; Balandrán-Quintana, R.; López-Franco, Y.; Rascón-Chu, A. Pectin and Pectin-Based Composite Materials: Beyond Food Texture. Molecules 2018, 23, 942. [Google Scholar] [CrossRef] [PubMed]
- Ramos-Vega, A.; Rosales-Mendoza, S.; Bañuelos-Hernández, B.; Angulo, C. Prospects on the Use of Schizochytrium sp. to Develop Oral Vaccines. Front. Microbiol. 2018, 9, 2506. [Google Scholar] [CrossRef]
- Jeong, S.W.; Nam, S.W.; HwangBo, K.; Jeong, W.J.; Jeong, B.-r.; Chang, Y.K.; Park, Y.-I. Transcriptional Regulation of Cellulose Biosynthesis during the Early Phase of Nitrogen Deprivation in Nannochloropsis salina. Sci. Rep. 2017, 7, 5264. [Google Scholar] [CrossRef]
- Dong, L.; Wang, F.; Chen, L.; Zhang, W. Metabolomic analysis reveals the responses of docosahexaenoic-acid-producing Schizochytrium under hyposalinity conditions. Algal Res. 2023, 70, 102987. [Google Scholar] [CrossRef]
- Hanagata, N.; Dubinsky, Z. Secondary carotenoid accumulation in Scenedesmus komarekii (chlorophyceae, chlorophyta). J. Phycol. 1999, 35, 960–966. [Google Scholar] [CrossRef]
- Cheng, Y.S.; Labavitch, J.M.; VanderGheynst, J.S. Elevated CO2 concentration impacts cell wall polysaccharide composition of green microalgae of the genus Chlorella. Lett. Appl. Microbiol. 2015, 60, 1–7. [Google Scholar] [CrossRef]
- Halim, R.; Hill, D.R.A.; Hanssen, E.; Webley, P.A.; Martin, G.J.O. Thermally coupled dark-anoxia incubation: A platform technology to induce auto-fermentation and thus cell-wall thinning in both nitrogen-replete and nitrogen-deplete Nannochloropsis slurries. Bioresour. Technol. 2019, 290, 121769. [Google Scholar] [CrossRef] [PubMed]
- Beacham, T.A.; Bradley, C.; White, D.A.; Bond, P.; Ali, S.T. Lipid productivity and cell wall ultrastructure of six strains of Nannochloropsis: Implications for biofuel production and downstream processing. Algal Res. 2014, 6, 64–69. [Google Scholar] [CrossRef]
- Sierra, L.S.; Dixon, C.K.; Wilken, L.R. Enzymatic cell disruption of the microalgae Chlamydomonas reinhardtii for lipid and protein extraction. Algal Res. 2017, 25, 149–159. [Google Scholar] [CrossRef]
- Wang, M.; Chen, S.; Zhou, W.; Yuan, W.; Wang, D. Algal cell lysis by bacteria: A review and comparison to conventional methods. Algal Res. 2020, 46, 101794. [Google Scholar] [CrossRef]
- Rigoldi, F.; Donini, S.; Redaelli, A.; Parisini, E.; Gautieri, A. Review: Engineering of thermostable enzymes for industrial applications. APL Bioeng. 2018, 2, 011501. [Google Scholar] [CrossRef] [PubMed]
- Choi, J.-M.; Han, S.-S.; Kim, H.-S. Industrial applications of enzyme biocatalysis: Current status and future aspects. Biotechnol. Adv. 2015, 33, 1443–1454. [Google Scholar] [CrossRef]
- Jemli, S.; Ayadi-Zouari, D.; Hlima, H.B.; Bejar, S. Biocatalysts: Application and engineering for industrial purposes. Crit. Rev. Biotechnol. 2016, 36, 246–258. [Google Scholar] [CrossRef] [PubMed]
- Molina-Espeja, P.; Sanz-Aparicio, J.; Golyshin, P.N.; Robles-Martín, A.; Guallar, V.; Beltrametti, F.; Müller, M.; Yakimov, M.M.; Modregger, J.; van Logchem, M.; et al. Enzymes for consumer products to achieve climate neutrality. Oxf. Open Clim. Chang. 2023, 3, kgad003. [Google Scholar] [CrossRef]
- Raveendran, S.; Parameswaran, B.; Ummalyma, S.B.; Abraham, A.; Mathew, A.K.; Madhavan, A.; Rebello, S.; Pandey, A. Applications of Microbial Enzymes in Food Industry. Food Technol. Biotechnol. 2018, 56, 16–30. [Google Scholar] [CrossRef]
- Zuorro, A.; Maffei, G.; Lavecchia, R. Optimization of enzyme-assisted lipid extraction from Nannochloropsis microalgae. J. Taiwan Inst. Chem. Eng. 2016, 67, 106–114. [Google Scholar] [CrossRef]
- Liu, G.; Zhang, J.; Bao, J. Cost evaluation of cellulase enzyme for industrial-scale cellulosic ethanol production based on rigorous Aspen Plus modeling. Bioprocess Biosyst. Eng. 2016, 39, 133–140. [Google Scholar] [CrossRef] [PubMed]
- Sati, H.; Mitra, M.; Mishra, S.; Baredar, P. Microalgal lipid extraction strategies for biodiesel production: A review. Algal Res. 2019, 38, 101413. [Google Scholar] [CrossRef]
- Singh, R.K.; Tiwari, M.K.; Singh, R.; Lee, J.-K. From Protein Engineering to Immobilization: Promising Strategies for the Upgrade of Industrial Enzymes. Int. J. Mol. Sci. 2013, 14, 1232–1277. [Google Scholar] [CrossRef]
- Porter, J.L.; Rusli, R.A.; Ollis, D.L. Directed Evolution of Enzymes for Industrial Biocatalysis. ChemBioChem 2016, 17, 197–203. [Google Scholar] [CrossRef]
- Zuorro, A.; Miglietta, S.; Familiari, G.; Lavecchia, R. Enhanced lipid recovery from Nannochloropsis microalgae by treatment with optimized cell wall degrading enzyme mixtures. Bioresour. Technol. 2016, 212, 35–41. [Google Scholar] [CrossRef] [PubMed]
- Zhao, K.; Zhang, M.; Tian, H.; Lei, F.; He, D.; Zheng, J.; Zhang, L. Effects of Structural and Compositional Changes of Nanochloropsis oceania after Enzyme Treatment on EPA-Rich Lipids Extraction. Mar. Drugs 2022, 20, 160. [Google Scholar] [CrossRef]
- Maffei, G.; Bracciale, M.P.; Broggi, A.; Zuorro, A.; Santarelli, M.L.; Lavecchia, R. Effect of an enzymatic treatment with cellulase and mannanase on the structural properties of Nannochloropsis microalgae. Bioresour. Technol. 2018, 249, 592–598. [Google Scholar] [CrossRef]
- Wu, C.; Xiao, Y.; Lin, W.; Li, J.; Zhang, S.; Zhu, J.; Rong, J. Aqueous enzymatic process for cell wall degradation and lipid extraction from Nannochloropsis sp. Bioresour. Technol. 2017, 223, 312–316. [Google Scholar] [CrossRef]
- Shahavi, M.H.; Hosseini, M.; Jahanshahi, M.; Darzi, G.N. Optimization of encapsulated clove oil particle size with biodegradable shell using design expert methodology. Pak. J. Biotechnol. 2015, 12, 149–160. [Google Scholar]
- D’Hondt, E.; Martín-Juárez, J.; Bolado, S.; Kasperoviciene, J.; Koreiviene, J.; Sulcius, S.; Elst, K.; Bastiaens, L. Cell Disruption Technologies; Elsevier: Amsterdam, The Netherlands, 2017; pp. 133–154. [Google Scholar]
- Canelli, G.; Murciano Martínez, P.; Maude Hauser, B.; Kuster, I.; Rohfritsch, Z.; Dionisi, F.; Bolten, C.J.; Neutsch, L.; Mathys, A. Tailored enzymatic treatment of Chlorella vulgaris cell wall leads to effective disruption while preserving oxidative stability. LWT 2021, 143, 111157. [Google Scholar] [CrossRef]
- Liang, K.; Zhang, Q.; Cong, W. Enzyme-Assisted Aqueous Extraction of Lipid from Microalgae. J. Agric. Food Chem. 2012, 60, 11771–11776. [Google Scholar] [CrossRef] [PubMed]
- Blanco-Llamero, C.; García-García, P.; Señoráns, F.J. Combination of Synergic Enzymes and Ultrasounds as an Effective Pretreatment Process to Break Microalgal Cell Wall and Enhance Algal Oil Extraction. Foods 2021, 10, 1928. [Google Scholar] [CrossRef] [PubMed]
- He, Y.; Zhang, B.; Guo, S.; Guo, Z.; Chen, B.; Wang, M. Sustainable biodiesel production from the green microalgae Nannochloropsis: Novel integrated processes from cultivation to enzyme-assisted extraction and ethanolysis of lipids. Energy Convers. Manag. 2020, 209, 112618. [Google Scholar] [CrossRef]
- Zhao, K.; Zhang, L.; Zhang, M.; Tian, H.; He, D.; Zheng, J. Response Surface Optimization of Enzyme Pretreatment Improves Yield of Ethanol-Extracted Lipids from Nannochloropsis oceanica. Eur. J. Lipid Sci. Technol. 2022, 124, 2100200. [Google Scholar] [CrossRef]
- Gallego, R.; Bueno, M.; Chourio, A.M.; Ibáñez, E.; Saldaña, M.D.A.; Herrero, M. Use of high and ultra-high pressure based-processes for the effective recovery of bioactive compounds from Nannochloropsis oceanica microalgae. J. Supercrit. Fluids 2021, 167, 105039. [Google Scholar] [CrossRef]
- Zhang, Y.; Kong, X.; Wang, Z.; Sun, Y.; Zhu, S.; Li, L.; Lv, P. Optimization of enzymatic hydrolysis for effective lipid extraction from microalgae Scenedesmus sp. Renew. Energy 2018, 125, 1049–1057. [Google Scholar] [CrossRef]
- Taher, H.; Al-Zuhair, S.; Al-Marzouqi, A.H.; Haik, Y.; Farid, M. Effective extraction of microalgae lipids from wet biomass for biodiesel production. Biomass Bioenergy 2014, 66, 159–167. [Google Scholar] [CrossRef]
- Reshma, R.; Arumugam, M. Selective degradation of the recalcitrant cell wall of Scenedesmus quadricauda CASA CC202. Planta 2017, 246, 779–790. [Google Scholar] [CrossRef]
- Trivedi, J.; Atray, N.; Agrawal, D. Evaluating Cell Disruption Strategies for Aqueous Lipid Extraction from Oleaginous Scenedesmus obliquus at High Solid Loadings. Eur. J. Lipid Sci. Technol. 2020, 122, 1900328. [Google Scholar] [CrossRef]
- Hac İsa, M.; Metin, C.; Ercan, E.; Alparslan, Y. Effect of different cell disruption methods on lipid yield of Schizochytrium sp. J. Am. Oil Chem. Soc. 2022, 99, 129–139. [Google Scholar] [CrossRef]
- Chua, E.T.; Schenk, P.M. A biorefinery for Nannochloropsis: Induction, harvesting, and extraction of EPA-rich oil and high-value protein. Bioresour. Technol. 2017, 244, 1416–1424. [Google Scholar] [CrossRef] [PubMed]
- Chew, K.W.; Yap, J.Y.; Show, P.L.; Suan, N.H.; Juan, J.C.; Ling, T.C.; Lee, D.-J.; Chang, J.-S. Microalgae biorefinery: High value products perspectives. Bioresour. Technol. 2017, 229, 53–62. [Google Scholar] [CrossRef] [PubMed]
- Lardon, L.; Hélias, A.; Sialve, B.; Steyer, J.-P.; Bernard, O. Life-Cycle Assessment of Biodiesel Production from Microalgae. Environ. Sci. Technol. 2009, 43, 6475–6481. [Google Scholar] [CrossRef] [PubMed]
- Demuez, M.; Mahdy, A.; Tomás-Pejó, E.; González-Fernández, C.; Ballesteros, M. Enzymatic cell disruption of microalgae biomass in biorefinery processes. Biotechnol. Bioeng. 2015, 112, 1955–1966. [Google Scholar] [CrossRef] [PubMed]
- Dixon, C.; Wilken, L.R. Green microalgae biomolecule separations and recovery. Bioresour. Bioprocess. 2018, 5, 14. [Google Scholar] [CrossRef]
- Lindedam, J.; Haven, M.Ø.; Chylenski, P.; Jørgensen, H.; Felby, C. Recycling cellulases for cellulosic ethanol production at industrial relevant conditions: Potential and temperature dependency at high solid processes. Bioresour. Technol. 2013, 148, 180–188. [Google Scholar] [CrossRef]
- Gomes, D.; Rodrigues, A.C.; Domingues, L.; Gama, M. Cellulase recycling in biorefineries—Is it possible? Appl. Microbiol. Biotechnol. 2015, 99, 4131–4143. [Google Scholar] [CrossRef]
- Jørgensen, H.; Pinelo, M. Enzyme recycling in lignocellulosic biorefineries. Biofuels Bioprod. Biorefining 2017, 11, 150–167. [Google Scholar] [CrossRef]
- Wang, Q.; Liu, S.; Yang, G.; Chen, J.; Ji, X.; Ni, Y. Recycling cellulase towards industrial application of enzyme treatment on hardwood kraft-based dissolving pulp. Bioresour. Technol. 2016, 212, 160–163. [Google Scholar] [CrossRef]
- Basso, A.; Serban, S. Industrial applications of immobilized enzymes—A review. Mol. Catal. 2019, 479, 110607. [Google Scholar] [CrossRef]
- Blanco-Llamero, C.; García-García, P.; Señoráns, F.J. Cross-Linked Enzyme Aggregates and Their Application in Enzymatic Pretreatment of Microalgae: Comparison Between CLEAs and Combi-CLEAs. Front. Bioeng. Biotechnol. 2021, 9, 794672. [Google Scholar] [CrossRef] [PubMed]
- Fu, C.-C.; Hung, T.-C.; Chen, J.-Y.; Su, C.-H.; Wu, W.-T. Hydrolysis of microalgae cell walls for production of reducing sugar and lipid extraction. Bioresour. Technol. 2010, 101, 8750–8754. [Google Scholar] [CrossRef] [PubMed]
- Lee, P.A.; Martinez, K.J.L.; Letcher, P.M.; Corcoran, A.A.; Ryan, R.A. A novel predatory bacterium infecting the eukaryotic alga Nannochloropsis. Algal Res. 2018, 32, 314–320. [Google Scholar] [CrossRef]
- Wang, M.; Yuan, W. Bacterial Lysis of Microalgal Cells. J. Sustain. Bioenergy Syst. 2014, 04, 243–248. [Google Scholar] [CrossRef]
- Deng, C.; Cui, Y.; Liu, Y. Microalgae cell disruption and lipid composition and recovery improvements induced by algicidal effects of bacteria. J. Appl. Phycol. 2022, 34, 2027–2036. [Google Scholar] [CrossRef]
- Jia, Y.; Han, G.; Wang, C.; Guo, P.; Jiang, W.; Li, X.; Tian, X. The efficacy and mechanisms of fungal suppression of freshwater harmful algal bloom species. J. Hazard. Mater. 2010, 183, 176–181. [Google Scholar] [CrossRef]
- Prajapati, S.K.; Bhattacharya, A.; Malik, A.; Vijay, V.K. Pretreatment of algal biomass using fungal crude enzymes. Algal Res. 2015, 8, 8–14. [Google Scholar] [CrossRef]
- Bader, A.N.; Sanchez Rizza, L.; Consolo, V.F.; Curatti, L. Bioprospecting for fungal enzymes for applications in microalgal biomass biorefineries. Appl. Microbiol. Biotechnol. 2023, 107, 591–607. [Google Scholar] [CrossRef]
- Amin, S.A.; Parker, M.S.; Armbrust, E.V. Interactions between Diatoms and Bacteria. Microbiol. Mol. Biol. Rev. 2012, 76, 667–684. [Google Scholar] [CrossRef]
- Seymour, J.R.; Amin, S.A.; Raina, J.-B.; Stocker, R. Zooming in on the phycosphere: The ecological interface for phytoplankton–bacteria relationships. Nat. Microbiol. 2017, 2, 17065. [Google Scholar] [CrossRef]
- Coyne, K.J.; Wang, Y.; Johnson, G. Algicidal Bacteria: A Review of Current Knowledge and Applications to Control Harmful Algal Blooms. Front. Microbiol. 2022, 13, 871177. [Google Scholar] [CrossRef]
- Furusawa, G.; Yoshikawa, T.; Yasuda, A.; Sakata, T. Algicidal activity and gliding motility of Saprospira sp. SS98-5. Can. J. Microbiol. 2003, 49, 92–100. [Google Scholar] [CrossRef] [PubMed]
- Shi, X.; Liu, L.; Li, Y.; Xiao, Y.; Ding, G.; Lin, S.; Chen, J. Isolation of an algicidal bacterium and its effects against the harmful-algal- bloom dinoflagellate Prorocentrum donghaiense (Dinophyceae). Harmful Algae 2018, 80, 72–79. [Google Scholar] [CrossRef] [PubMed]
- Umetsu, S.; Kanda, M.; Imai, I.; Sakai, R.; Fujita, M.J. Questiomycins, Algicidal Compounds Produced by the Marine Bacterium Alteromonas sp. D and Their Production Cue. Molecules 2019, 24, 4522. [Google Scholar] [CrossRef] [PubMed]
- Barak-Gavish, N.; Frada, M.J.; Ku, C.; Lee, P.A.; DiTullio, G.R.; Malitsky, S.; Aharoni, A.; Green, S.J.; Rotkopf, R.; Kartvelishvily, E.; et al. Bacterial virulence against an oceanic bloom-forming phytoplankter is mediated by algal DMSP. Sci. Adv. 2018, 4, eaau5716. [Google Scholar] [CrossRef] [PubMed]
- Lovejoy, C.; Bowman, J.P.; Hallegraeff, G.M. Algicidal Effects of a Novel Marine Pseudoalteromonas Isolate (Class Proteobacteria, Gamma Subdivision) on Harmful Algal Bloom Species of the Genera Chattonella. Appl. Environ. Microbiol. 1998, 64, 2806–2813. [Google Scholar] [CrossRef] [PubMed]
- Yang, J.; Qiao, K.; Lv, J.; Liu, Q.; Nan, F.; Xie, S.; Feng, J. Isolation and identification of two algae-lysing bacteria against Microcystis aeruginosa. Water 2020, 12, 2485. [Google Scholar] [CrossRef]
- Mitsutani, A.; Yamasaki, I.; Kitaguchi, H.; Kato, J.; Ueno, S.; Ishida, Y. Analysis of algicidal proteins of a diatom-lytic marine bacterium Pseudoalteromonas sp. strain A25 by two-dimensional electrophoresis. Phycologia 2001, 40, 286–291. [Google Scholar] [CrossRef]
- Das, S.; Das, S.; Ghangrekar, M.M. Enzymatic cell disruption followed by application of imposed potential for enhanced lipid extraction from wet algal biomass employing photosynthetic microbial fuel cell. Bioresour. Technol. 2022, 363, 127924. [Google Scholar] [CrossRef]
- Hom-Diaz, A.; Passos, F.; Ferrer, I.; Vicent, T.; Blánquez, P. Enzymatic pretreatment of microalgae using fungal broth from Trametes versicolor and commercial laccase for improved biogas production. Algal Res. 2016, 19, 184–188. [Google Scholar] [CrossRef]









| Microalgae | Biomass State | Disruption Methods | Lipid-Extraction Solvents | De-Starching Method | Reference |
|---|---|---|---|---|---|
| Neochloris oleoabundans | Dry | Mechanical disruption—Milling | chloroform: methanol (2:1, v/v) | Enzymatic method—alpha-amylase in maleate buffer | [13] |
| Chlorella sorokiniana | Wet paste | Mechanical disruption—Mortar and pestle | chloroform: methanol (1:1, v/v) | Enzymatic method—amylase in phosphate buffer | [14] |
| Nannochloropsis gaditana | Lyophilized and in water | Mechanical disruption—French press and sucrose gradient | 80% ethanol, n-hexane–acetone (1:1, v/v), and n-hexane | - | [9] |
| Chlorella vulgaris, Scenedesmus sp., Haematococcus pluvialis, and Coelastrella sp. | Dry | Chemical disruption—80% ethanol and 70% ethanol + Heating | chloroform: methanol (1:1, v/v) | Enzymatic method—α-amylase, and amyloglucosidase + 0.01% sodium azide | [15] |
| Method and Uses | Drawbacks | Microalgae Application Examples |
|---|---|---|
| 1. Staining and overall labelling | ||
| Staining Simple visual instructions and chemical staining. Identification of various components | Sample preparation can be cumbersome Low specificity Stain penetration can be influenced by cell-wall ultrastructure | Crystalline violet to detect the presence of algaenan [19] Calcofluor white to stain cellulose [20] |
| Immunolabeling Mono-/polyclonal antibodies attached to fluorochromes and fluorescent probes High-level resolution imaging of cell-wall microstructures | Need for destructive pretreatment High cost of commercial antibodies Limits on the spatial resolution and depth of penetration into samples | Monoclonal antibodies to reveal the presence of xylan/arabinoxylan in Neochloris oleoabundans cell walls [13] Polyclonal anti-xyloglucan antibody to stain primary wall of Micrasterias spp. [21] |
| Genetic encoding Target and fluorescent protein produced as a translational fusion Nonspecific labelling can be avoided | Genetic transformation required Non-quantitative Photobleaching of samples | Interspecies incorporation of frustulins in diatoms [22] Identification of proteins involved in diatom’s silica wall formation [23] |
| 2. Chemical analysis | ||
| Inductively coupled-plasma atomic emission spectroscopy (ICP-AES) Accurate and precise identification of elements (or ions) present in the cell wall | Need for cell wall isolation Requires digestion of the sample High operating cost | Identification of elements present N. gaditana cell wall [9] |
| High-performance anion exchange chromatography with pulsed amperometric detection (HPAEC-PAD) Separation of negatively charged molecules, such as mono-/oligosaccharide and glycoconjugate analysis | Need for cell wall isolation Requires solubilisation of target molecules via hydrolysation/digestion/derivatisation, which can lead to sample loss and reduced accuracy. | Identification of monosugars in N. gaditana cell wall [9] Identification of monosugars and uronic acid in 10 microalgae species’ cell walls [24] |
| Gas Chromatography—Mass Spectrometry (GC–MS) Gas mobile phase separation Better at identifying more volatile compounds | Need for cell wall isolation Requires solubilisation of target molecules via hydrolysation/digestion/derivatisation, which can lead to sample loss and reduced accuracy. Non-volatile components have to be derivatised to a more volatile intermediate prior to analysis. | C. vulgaris, Coelastrella sp., Scendesmus sp., and H. pluvialis cell-wall sugar analysis [15] Identification of ester-bound ω-hydroxy fatty acids of T. minimum, S. communis and P. boryanum [25] |
| Liquid Chromatography—Tandem Mass Spectrometry (LC-MS/MS) Liquid mobile phase and ionization for separation. Better for thermally labile compounds | Need for cell wall isolation Requires solubilisation of target molecules via hydrolysation/digestion/derivatisation, which can lead to sample loss and reduced accuracy. | Identification of frustule-associated glycoprotein peptides [26] Analysis of polysaccharide-associated-protein peptides of B. braunii [27] |
| 3. Ultrastructure analysis | ||
| Transmission Electron Microscopy (TEM) Based on the transmission of electrons through the cell. Study of the fine internal structure/cross sections of cells and cell-walls | Expensive Long sample processing Ultrathin sections Possibility of artifact generation | Study of enzymatic treatment effect on C. vulgaris cell wall [28] Effect of N starvation on the cell wall of N. oceanica [29] |
| Scanning Electron Microscopy (SEM) 3-dimensional surface analysis based on scattered electrons, high throughput | Expensive Possibility of artifact generation Lower resolution than TEM | Study of frustule morphogenesis in diatoms [30] Effect of lysozyme on the outer cell wall of Chlorella sp. and Nannochloropsis sp. [28] |
| Atomic force microscopy (AFM) Non-destructive study of nanomechanical properties and/or interactions Fine spatial resolution | Limited vertical and magnification range Data dependent on the tip, which can be easily damaged Limited scanning speed | Study of C. vulgaris cell-wall roughness and rigidity [31] To monitor fibril layer changes during growth and enzyme treatment [32] |
| Block face imaging SEM (FIB-SEM) Study 3D architecture of large volumes by thin ablation of thin serial sections | Long preparation time to achieve smooth and consistent milling Limited availability of (semi)automated workflows | Effect of high pressure (Guo et al., 2022) and improper incorporation of cryoprotectant [33] on C. pyrenoidosa cell walls |
| Cryo-soft X-ray tomography (Cryo-SXT) Complementary to electron and visible light microscopy, to obtain the organization, distribution, and dimension of organelles. | The missing wedge when using flat support Glass absorption when using capillary supports | Study of the adsorption of gold nanoparticles to the cell wall of C. utilis [34] |
| 4. Spectroscopy: | ||
| Fourier-Transform InfraRed (FTIR) Detection of several biomolecules in one analysis and species-specific changes, through radiation absorption. Complements Raman spectroscopy. | Validity of Beer-Lambert’s law within a narrow linear range Limited availability of chemometric predictive models | Identification of sporopollenin in the outer layer of Chlorella protothecoides cell wall [35] Characterisation of heterotrophically grown Chlorella cell wall [36] |
| Raman spectroscopy Detection of several biomolecules in one analysis and species-specific changes, through radiation scattering. Complements FTIR spectroscopy. | Some compounds are not Raman active Others may fluoresce and mask the Raman signal | Study of cell wall changes during Mougeotia disjuncta zygospore formation [37] Study of daughter cell wall formation in Micrasterias [38] |
| (Cryogenic) X-ray photoelectron spectroscopy ((Cryo-)XPS) Semi-quantitative determination of the composition of cell surfaces | X-rays cannot be focused in the same manner as electron beams Life span of biological materials under vacuum X-ray photon damage | Comparison of Chlorella vulgaris, Coelastrella sp. and Scenedesmus obliquus cell wall composition during stationary phase [39] Comparison of pH effect on Chlorella sp. and N. oculata cell wall [40] |
| Nuclear Magnetic Resonance (NMR) Study of the structure, conformation, and dynamic of biological molecules | Heterogeneity of samples and molecule complexity renders resonance assignment difficult Limited availability of (semi)automated workflows | Identification of glycans in Parachlorella beijerinckii cell wall [41] Comparison of C. reinhardtii, P. lutheri, and N. ocultata cell-wall characteristics [42] |
| Genus | Ultrastructure | Composition | References | |
|---|---|---|---|---|
| Amino Acids | Saccharides | |||
| Nannochloropsis | Bilayered structure—cellulosic inner layer and ahydrophobic algaenan outer layer | Asparagine, glutamine, and other amino acids except cysteine, methionine, and tryptophan | Monosaccharides: glucose Polysaccharides: cellulose | [9,68,69] |
| Scenedesmus | Trilaminar cell wall—inner cellulose layer covered by algaenan layer. The cell walls form a pectic layer that separates individual cells from one another in a coenobium. | Glycine, glutamic acid, aspartic acid, threonine, and alanine. | Monosaccharides: glucose, galactose, and mannose. Polysaccharides: cellulose, hemicellulose and pectin | [15,70] |
| Schizochytrium | Thin non-cellulosic layer covered by overlapping scales. Contains sagenogenetosomes that develop from invaginations of the cell membrane. | Glutamic acid (main), aspartic acid and lysine, taurine (minor amounts), and hydroxyproline (minor amounts) | Monosaccharides: L-galactose (main), glucose, mannose, and xylose. Polysaccharides: pectin | [24,71,72] |
| Growth Parameters | Observed Changes | Species | References |
|---|---|---|---|
| Nitrogen | Nitrogen depletion increases the cell wall thickness | N. salina | [83] |
| Salinity | Less salinity can lead to increased cell wall thickness | Schizochytrium | [84] |
| Growth phase | From the exponential growth phase to the stationary growth phase, the cell wall thickness increased. The cell wall of cells exposed to an extended duration of intense light (orange cells) thickened by almost five times compared to that obtained from cells exposed to a shorter duration of intense light (green cells). | S. abundans Scenedesmus komarekii | [15,85] |
| CO2 level | Increased CO2 level led to an increased polysaccharide level in the cell wall. | C. vulgaris, C. sorokiniana, C. minutissima, and C. variabilis. | [86] |
| Species | Biomass State | Enzymes | Mode of Action | pH, Temperature, Enzyme Ratio | Incubation Time | Key Results/Optimum Conditions | Reference |
|---|---|---|---|---|---|---|---|
| Nannochloropsis sp. | Lyophilized powder | Cellulase (Cellulyve 50LC), Mannanase (Feedlyve 50GMA) | Cellulase hydrolyzes β-1,4 glycosidic linkages in cellulose. Mannanase hydrolyses (1->4)-beta-D-mannosidic linkages in mannans. | 55 °C pH 4.4, Cellulase:Mannanase = 1:9 | 24 h | Lipid yield: 70–75% of available lipids | [103] |
| Nannochloropsis sp. | Lyophilized powder | Cellulase (Cellulyve 50LC), Mannanase (Feedlyve 50GMA) | Cellulase hydrolyzes β-1,4 glycosidic linkages in cellulose. Mannanase hydrolyses (1->4)-beta-D-mannosidic linkages in mannans. | 15, 30, 45, 60, 75 °C pH 2, 3.5, 6.5, and 8 Dosage of Cellulose: 0–5–10–15–20 mg/g biomass Dosage of Mannanase 0–0.5–1-1.5–2 mg/g biomass | 30, 90, 150, 210, 270 min | Lipid yield: 36.6 g/100 g biomass 53 °C, pH 4.4, 210 min incubation time, 13.8 mg/g of Cellulase, and 1.5 mg/g of Mannanase | [96] |
| Nannochloropsis sp. NANNP2 | Wet biomass on agar | Chitinase, Chitosanase, β-Glucosidase, β-Glucoronidase, Hyaluronidase, Lysozyme, Lyticase, Pectinase, Sulphatase, Trypsin, Zymolyase | Chitinase hydrolyses β-1,4 linkages of the N-acetylglucosamine units of chitin. Chitosanase endohydrolyses of-1,4-linkages between GlcN residues in a partially N-acetylated chitosan. β-glucosidase hydrolyses glucose dimers Lysozyme cleaves the β-(1,4)-glycosidic bonds in peptidoglycan. Lyticase is an enzyme complex of endoglucanase and protease. Pectinase acts in two different mechanisms, hydrolysis and trans-elimination lysis, in which they break the glycosidic bond by trans-elimination reaction Zymolase is a mixture of β-1,3-glucan laminaripentao-hydrolase and β-1,3-glucanase. | 23 °C under light | 5 days | - | [28] |
| N. gaditana CCMP 526 | not stated | Cellulase (0615 Sigma), Cellulase (16419.02 Serva), Chitinase, Chitosanase, Lyticase, Protease, Zymolyase | Protease. hydrolyses peptide bonds in protein | Room Temperature pH 7 | 24 h | Cellulase 1 and Cellulase 2, hydrolyzed up to 76% of the mass of the cell wall | [9] |
| Nannochloropsis sp. | not stated | Cellulase, Esterase, Mannanase or Cellulase, Esterase, Galactanase | Esterase catalyses the de-esterification of pectin by the removal of methoxy esters. Galactanase catalyses the hydrolysis of β-1,4 galactosidic bonds in arabinogalactan and galactan side chains. | 50 °C pH 5 | 1 h | Lipid yield: 37.8 g/100 g biomass or 34g/100 g biomass | [101] |
| Nannochloropsis sp. | fresh paste | Cellulase, Snailase, Neutral protease, Alkaline protease, Trypsin | Snailase is a complex mixture of more than 20 enzymes, including Cellulase, Invertase, Hemicellulase, Pectinase, Polygalacturonase, Protease. | 55 °C, pH 4.8 37 °C, pH 5.8 50 °C, pH 7 55 °C, pH 8.5 37 °C, pH 8 Ultrasonication pretreatment | not stated | Lipid yield: 12% of available lipids | [108] |
| Nannochloropsis gaditana | dry biomass | Viscozyme, Celluclast (cellulase), Alcalase | Viscozyme is a mixture of Arabanase, Cellulase, β-Glucanase, Hemicellulase, and Xylanase. Alcalase is an endo-protease. | pH 5, 55 °C | 6 h | Lipid yield: 29% of available lipids | [109] |
| Nannochloropsis oculata Nannochloropsis sp. Nannochloropsis oceanica | wet biomass | Cellulase, Papain, Hemicellulase, Pectinase | Papain is a protease. | Equal ratio of all enzymes. pH 5.5, 45 °C, 150 rpm | 12 h | Three Phase Partitioning extraction method used. Lipid yield = 221.4 mg/g biomass. Combination of enzymes were more efficient than single enzymes. | [110] |
| Nannochloropsis oceanica | powder | Cellulase, Laccase | Laccase:Cellulase = 1:2.5. pH 5, 45 °C | 6 h | Lipid yield: 26.9% (unclear if this is % of biomass or % of available lipids) EPA contents—20.7 ± 0.13 g/100 g of lipids | [111] | |
| Nannochloropsis oceanica | powder | Cellulase, Laccase | Laccase catalyses oxidation reactions of lignin. | 500 U/mL Cellulase 0.24 U/mL Laccase, pH5, 50 °C | 24 h | Lipid yield—66.29% EPA content—42.63% (relative to the control) | [88] |
| Nannochloropsis oceanica | spray-dried biomass | Cellulase | pH 5, 37 °C pH 5, 50 °C | 5 h | Lipid yield: 57.6% of available lipids Carotenoid yield: 38.8 mg g−1 Lipid yield: 62.1% of available lipids Carotenoid yield: 28.3 mg g−1 | [112] | |
| Scenedesmus sp. | Freeze-dried biomass |
Cellulase, Xylanase, Pectinase | Xylanase hydrolyses β-1,4 glycosidic bond of xylan backbone | pH 4.4, 45 °C | 180 min | Lipid yield -13.8g/100g of biomass, Lipid recovery 86.4% | [113] |
| Scenedesmus sp. | Wet biomass |
Lysozyme, Cellulase | pH 7.48, 37 °C | 30 min | Lipid yield: 16.6 and 15.4% using Lysozyme and Cellulase, respectively of the available lipids | [114] | |
| Scenedesmus dimorphus | Fresh paste (18% solid content) | Snailase, Cellulose, Neutral protease, Alkaline protease, Trypsin | A broad class of enzymes known as proteases is responsible for catalyzing the breakdown of peptide bonds found in proteins and polypeptides. Acid proteases are defined as those with a pH optimal range of 2.0–5.0. Neutral proteases have a pH optimal range of 7.0. Trypsin breaks proteins into smaller peptides by catalyzing the hydrolysis of peptide bonds. | 4, 37 °C | 12 h | Lipid yield (Sonication + enzyme treatment)—46.81% total lipids | [108] |
| Scenedesmus quadricauda CASA CC202 | Dry biomass | Pectinase and Cellulase | 5, 50 °C | 14 h 24 h | Pectinase treatment, total reducing sugar 129.82 mg/g. Sonication + pectinase +Cellulase—Total reducing sugar yield was 379.45 mg/g. | [115] | |
| Scenedesmus obliquusCCAP 276/3A | Fresh paste (15% solid content) | Cellulose, Neutral protease, Lysozyme Pectinase, and Trypsin | 7.0, 37 °C (only for Neutral protease) | 72 h | Neutral protease-assisted cell disruption effectively extracted 75% lipids from 15% S. obliquus CCAP 276/3A | [116] | |
| Schizochytrium sp. ATCC20888 | - | Alkaline protease | Alkaline proteases are proteases that have an ideal pH range of 8.0–11.0. | 8, 55 °C | 9 h | The oil yield and DHA yield were 14.52 g/L and 7.12 g/L. | [80] |
| Schizochytrium sp. | Spray-dried biomass | Hemicellulase | Enzymes called Hemicellulases degrade substances that are normally associated with cellulose. These enzymes include Pectinase, Arabinase, Xylanase, Beta-glucanase, beta-mannanase, Pectin methylesterase, Pectin lyase, and Polygalacturonases | -, 55 °C | 2 days | Lipid yield: 21.72 ± 0.74% of total lipids | [117] |
| Microalgae | Organism | Overall Results | References |
|---|---|---|---|
| Bacteria | |||
| Nannochloropsis salina | Bdellovibrio-and-like-organisms | The contents of the cells are broken down, leaving behind empty cell walls. | [130] |
| Nannochloropsis oculata and Dunaliella salina | Sagittula stellata | After 6 days, the algicidal rate on N. oculata and D. salina was 64.7% and 52.4%, respectively. Crude lipid yield of N. oculata and D. salina increased from 19.6% to 36.4% and from 32.9% to 45.7%, respectively, following a 6-day incubation by S. stellata. | [131] |
| Chlorella sp. | Aeromonas hydrophila | The findings showed that bacteria can break Chlorella sp. cells and release lipids. The longer the co-culture period, the higher the proportion of cell disruption. | [132] |
| Fungi | |||
| Microcystis aeruginosa, Microcystis flos-aquae, Oocystis borgei, and M. aeruginosa | Trichaptum abietinum | All algal cells from cultures were destroyed within 48 h of co-incubation with the fungi. | [133] |
| Chroococcus sp. | Aspergillus lentulus | After being incubated for 48 h at 30 °C, the fungal enzyme caused 100% disruption of microalgal cells. Additionally, the fungal enzyme’s activity was able to solubilize up to 44% and 46% of the biomass’s total sugar and COD. | [134] |
| Chlorella sorokiniana and Scenedesmus obliquus | Aspergillus niger | Catalytic/hydrolase activity on glycosyl and O-glycosyl compounds was observed. | [135] |
Disclaimer/Publisher’s Note: The statements, opinions and data contained in all publications are solely those of the individual author(s) and contributor(s) and not of MDPI and/or the editor(s). MDPI and/or the editor(s) disclaim responsibility for any injury to people or property resulting from any ideas, methods, instructions or products referred to in the content. |
© 2024 by the authors. Licensee MDPI, Basel, Switzerland. This article is an open access article distributed under the terms and conditions of the Creative Commons Attribution (CC BY) license (https://creativecommons.org/licenses/by/4.0/).
Share and Cite
Shivakumar, S.; Serlini, N.; Esteves, S.M.; Miros, S.; Halim, R. Cell Walls of Lipid-Rich Microalgae: A Comprehensive Review on Characterisation, Ultrastructure, and Enzymatic Disruption. Fermentation 2024, 10, 608. https://doi.org/10.3390/fermentation10120608
Shivakumar S, Serlini N, Esteves SM, Miros S, Halim R. Cell Walls of Lipid-Rich Microalgae: A Comprehensive Review on Characterisation, Ultrastructure, and Enzymatic Disruption. Fermentation. 2024; 10(12):608. https://doi.org/10.3390/fermentation10120608
Chicago/Turabian StyleShivakumar, Sneha, Nicholas Serlini, Sara M. Esteves, Svitlana Miros, and Ronald Halim. 2024. "Cell Walls of Lipid-Rich Microalgae: A Comprehensive Review on Characterisation, Ultrastructure, and Enzymatic Disruption" Fermentation 10, no. 12: 608. https://doi.org/10.3390/fermentation10120608
APA StyleShivakumar, S., Serlini, N., Esteves, S. M., Miros, S., & Halim, R. (2024). Cell Walls of Lipid-Rich Microalgae: A Comprehensive Review on Characterisation, Ultrastructure, and Enzymatic Disruption. Fermentation, 10(12), 608. https://doi.org/10.3390/fermentation10120608

