Next Article in Journal
Trajectories of Graphitizable Anthracene Coke and Non-Graphitizable Sucrose Char during the Earliest Stages of Annealing by Rapid CO2 Laser Heating
Previous Article in Journal
A Library of Doped-Graphene Images via Transmission Electron Microscopy
Previous Article in Special Issue
Development and Characterization of Biomimetic Carbonated Calcium-Deficient Hydroxyapatite Deposited on Carbon Fiber Scaffold
 
 
Font Type:
Arial Georgia Verdana
Font Size:
Aa Aa Aa
Line Spacing:
Column Width:
Background:
Article

A Wide Adsorption Range Hybrid Material Based on Chitosan, Activated Carbon and Montmorillonite for Water Treatment

1
CNRS-ICMN, Université d’Orléans, 45071 Orléans, France
2
LCME, Université Savoie Mont Blanc, 73000 Chambéry, France
3
Centre for Applied Chemistry/Centre for Nanotechnology, Central University of Jharkhand, Brambe, Jharkhand, 835205 Ranchi, India
4
Materials Science and Nano-engineering Department, Mohammed VI Polytechnic University, 43150 Ben Guerir, Morocco
5
Laboratory of Organometallic and Macromolecular Chemistry—Composites Materials, Faculty of Sciences and Technologies of Marrakech, CADAI AYYAD University, 40000 Marrakech, Morocco
6
ISTO, CNRS-Université d’Orléans-BRGM, 45071 Orléans, France
*
Author to whom correspondence should be addressed.
Submission received: 21 March 2018 / Revised: 17 May 2018 / Accepted: 17 May 2018 / Published: 5 June 2018

Abstract

Numerous adsorbent materials are developed and are able to face specific types of pollution, but none of them can manage the whole pollution. The purpose of this work is to develop a novel hybrid adsorbent, based on chitosan (CS) biopolymer, clay minerals and activated carbon (AC), having complementary adsorption properties and achieving a wide-spectrum water decontamination in a single treatment. Hybrid CS beads, containing dispersed clay and AC, were prepared from dispersions of solid adsorbents in a CS solution and its further coagulation in a basic medium. The porosity and the homogeneity of the hybrid beads were characterized by N2 adsorption at 77 K and Cryo-Scanning Electron Microscopy respectively. The interaction between CS and clay was characterized using X-ray diffraction. Water content and the amount of each adsorbent in the hydrogel beads were determined by thermogravimetric analysis. Such a composite material was still porous and presented a wide adsorption spectrum. As shown by their adsorption kinetics, hydrophobic anionic clofibric acid (CBA) and cationic metoprolol (MTP) were well adsorbed on AC containing beads (21 and 26 mg/g), respectively. Clays containing beads showed interesting adsorption properties towards cationic Zn2+ and MTP. The obtained composite beads were able to adsorb all the pollutant types: Zinc cations, and hydrophobic-charged organic molecules, such as pharmaceutical derivatives (clofibric acid and MTP).

Graphical Abstract

1. Introduction

Water is necessary to life. It is therefore needed to guarantee a supply of safe water having a good quality, and also to develop efficient treatment of wastewater before its rejection in an aqueous medium for environment and biodiversity preservation. Recently, the improvement of analytical technologies has revealed diffusions and increasing pollutions of ground and surface water by numerous organic and mineral compounds present at very low concentrations [1,2]. These contaminants, including heavy metals, dyes, personal-care products, plasticizers, reproductive hormones, pesticides and pharmaceuticals residues, are arising from domestic, agricultural and industrial sources.
Adsorption has become a well-established technique to remove pollutants from water. Among various adsorbents used for the waste water treatment processes, activated carbon (AC) powder or granules are efficient to remove organic compounds, especially at low pollutant concentrations, because of their developed nanotexture (high and easily accessible porous surface) and their mostly hydrophobic character [3,4]. Clays are natural and low cost adsorbents used as geochemical barriers, which are able to trap heavy metals and cationic organic species, and therefore to treat efficiently polluted industrial sites and waste landfill leachates [5,6]. Nevertheless, some contaminants, such as polar pesticides and organic derivatives, are still detected at the output of water treatments units, showing limitations of conventional treatment processes [7].
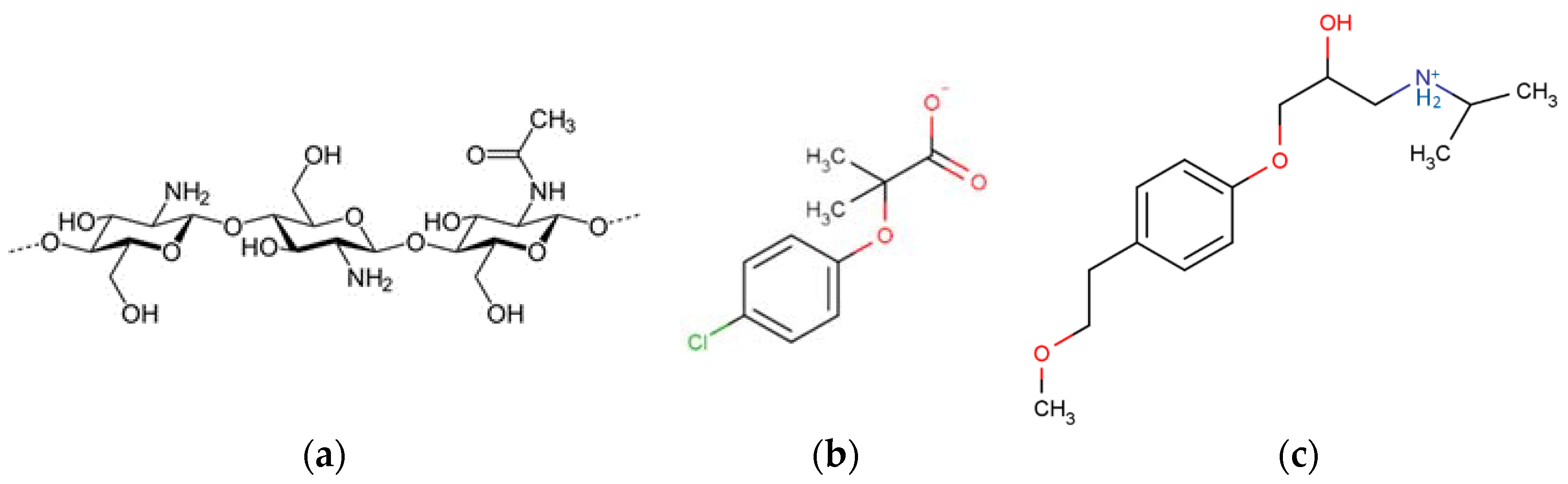
Biopolymers, such as chitosan (CS), are particularly interesting in this domain, not only because they can act as a dispersing phase, but also because they possess inherent interesting features, such as amphiphilicity, tunable topology and porosity at different scales [8,9]. CS is a multifunctional amino-carbohydrate obtained by the partial deacetylation of natural chitin. The presence of amino groups or protonated NH3+ groups on the polymer backbone (Figure 1) confers its unique properties: (i) Metal/organic molecules chelating ability [10]; and (ii) absorption of organic compounds through electrostatic interactions [11]. CS can allow different shaping possibilities for hybrid systems, such as hydrogel beads [12].
It becomes crucial to develop new hybrid, low-cost and non-toxic adsorbents, presenting a wide adsorption spectrum towards all the pollution types (metals, polar and organic pollutants in variable chemical forms), and therefore are able to operate complete water decontamination at once. By combining chosen adsorbents, such as AC, Clays and CS which possess specific and complementary adsorption properties, a hybrid material adding all the single remediation ability could be tailored, and therefore could handle cationic, anionic and aromatic species at the same time.
Such new hybrid adsorbents having wide adsorption properties could be used either for tertiary water treatment and refining, or for specific treatment of industrial and hospital effluents to get an “at-source” treatment, thus avoiding the mixing of pollutants to reduce difficulty of treatment.
Extensive research performed in our laboratories have demonstrated that AC can efficiently trap organic micropollutants, such as pesticides, and that clay minerals are good candidates for the concentration abatement of toxic metallic ions and cationic molecules in water using cationic exchange [13,14].
In this work, synthesis, characterization and adsorption performances of a new hybrid adsorbent made of clay minerals and AC powder, which was dispersed in CS biopolymer beads, have been investigated. The adsorption mechanisms have been examined and correlated to the porous texture and the composition of the hybrid material, taking into account the physico-chemical properties of each adsorbent constituting the hybrid material with respect to the adsorbates.

2. Materials and Methods

The CS powder (175,000 g/mol) was purchased from France CHITIN (Orange, France). SWy-2 montmorillonite of Wyoming (CM) was supplied by the Source Clays Repository of the Clay Minerals Society (Chantilly, VA, USA). The structural formula of the size fraction (<2 µm) obtained from the chemical analysis was [10]:
(Ca0.13Na0.34K0.03)[Al3.04Fe(III)0.41Mg0.49Ti0.01][Si7.98Al0.02]O20(OH)4
The basic AC powder prepared from coconut by activation in a steam of water at 900 °C was supplied by DACARB Company (Asnières sur Seine, France). Zinc chloride, purchased from Aldrich (Saint-Quentin-Fallavier, France), was used as a model for water contamination caused by heavy metals. Two organic molecules, metoprolol (MTP) and clofibric acid (CBA) (Table 1), purchased from Aldrich, were selected as organic pollutant models; CBA was an anti-cholesterol in the anionic form and MTP was a beta blocker in the cationic form at pH of natural water (pH = 6.5) (Figure 1).
Firstly, the synthesis of pure and hybrid CS beads containing clay mineral and AC powders was investigated. The CS powder was dissolved in acetic acid with a concentration of 0.5 mol/L to obtain a former gel mass concentration of 1.75%. The clay minerals and the AC powders (sieving ≤50 microns) with a mass ratio of 3% were dispersed in the same volume of the acetic acid with the concentration of 0.5 mol/L by using an ultrasonic probe at a working frequency of 20 kHz for one hour. Then, in order to reach a homogenous CS concentration in the gel up to 3%, a small amount of CS was added step by step in the mixture to get the desired concentrations. When all the components were added (CS and charges), the dispersion mixture was stirred for 24 h.
The dispersion mixture was then flowed by using a peristaltic pump at 20 mL/min into a NaOH solution (10% weight), through a 1.2-mm-diameter syringe. Hybrid CS beads with a diameter of 2 mm were obtained, having good size homogeneity, required mechanical properties and chemical stability. In this work, five types of beads were studied: Pure CS bead (1-CS), two-component hybrid CS beads containing 1.5% of montmorillonite (2-CS/CM1.5), 4.5% of montmorillonite (2-CS/CM4.5) and 1.5% of AC (2-CS/AC1.5), and three-component hybrid beads containing 1% of montmorillonite and 0.5% of AC (3-CS/CM 1/AC 0.5) (Figure 2).
The porous texture and homogeneity of the hybrid material were characterized by electronic scanning microscopy Cryo-SEM (HITACHI S4500, Tokyo, Japan). After immersion at −210°, the beads were fractured and introduced in the transfer chamber, and ice was sublimated at −70 °C under vacuum (10−3 Pa) in order to preserve the porous network free of water to allow its observation.
Nitrogen adsorption-desorption experiments at 77 K (ASAP 2020, Micromeritics, Norcross, GA, USA) were performed to obtain information on the BET specific surface area (Brunauer Emmett Teller method, P/P0 ranging from 0.05 to 0.3) of the powdered samples and freeze-dried beads after degassing under vacuum (2 µm Hg, 80 °C, 24 h).
The raw materials (each component of the hybrid) and the prepared hydrogel beads were analyzed by thermogravimetric analyses (TGA, Labsys TM SETARAM, Lyon, France) under nitrogen low-flow (1 L/h) in order to quantify the amounts of water and each component in the beads, i.e., polymer, clay and AC. The temperature was varied from 20 to 800 °C with a heating rate of 10 °C/min. Powdered X-ray diffraction patterns were recorded with a Thermo Electron ARL’XTRA diffractometer (Waltham, MA, USA) equipped with a silicon-lithium solid-state detector, to measure the d001 interlayer distance of clay minerals and to evaluate the ability of the biopolymer to intercalate between the montmorillonite layers.
The adsorption properties of Zn2+, CBA and MTP have been investigated on the single adsorbents and the hybrid materials. Ultra-pure water (σwater = 0.055 µS⋅cm−1) was used as a solvent. The adsorption kinetics of 100 mL solutions of Zn2+, CBA and MTP (concentration = 1.5 mmol⋅L−1) were studied at 25 °C and pH 6.5 using 200 mg of single or hybrid adsorbents.
The pollutant concentrations were analyzed along with kinetics studies by UV spectroscopy (Cary100, Agilent, Santa Clara, CA, USA) at 224/279 and 229/274 nm for CBA and MTP, respectively. In the case of zinc, atomic absorption spectroscopy (Z-8100, Hitachi, Tokyo, Japan) was used and calibration curves were established in the range of 0.5–1.5 ppm (λ = 213.9 nm, the detection limit = 0.008 ppm).
In order to understand the adsorption mechanisms and determine the key parameters governing adsorption, kinetics studies on single pristine adsorbent (clay or AC or CS) and on hybrid beads were studied.

3. Results and Discussion

3.1. Characteristics of the Hybrid Material

3.1.1. Chemical Composition of the Hybrid Beads

Thermogravimetric analysis has allowed quantifying the amount of each component in the hybrid CS/clay beads. In the range of 25–225 °C, the mass loss corresponded to water content. Between 250 and 400 °C, the decomposition of chitosan (CS) occurred and then montmorillonite dehydroxylation took place until 700 °C. The mass losses showed that the 2-CS/CM1.5 beads contained approximately 90% of water, 8% of CS and 2% of montmorillonite, and that the 2-CS/CM4.5 ones contained 87% of water, 7% of CS and 6% of montmorillonite (Table 2). For the carbon hybrid beads, only the amounts of water and CS was measured to be 90% and 3%, respectively.

3.1.2. Microtexture and Porosity of the Hybrid Beads

Figure 3 presents the microstructures of three types of beads observed by Cryo-SEM. 1-CS beads had a homogeneous porous structure. Chains of CS (Figure 3a) formed a homogeneously-distributed network. The clay-mineral particles were homogeneously dispersed in the polymer matrix in the two types of hybrid CS beads (Figure 3b). Few large montmorillonite aggregated (around 2–5 µm diameter), and activated carbons particles were rarely observed (Figure 3c,d). Thus, the hybrid beads appeared homogenous with a high dispersion of the mineral charges within the polymer network, which ensured an intimate charge-polymer mixing.
The presence of the montmorillonite in the beads did not affect the porous network of the hybrid beads. The accessibility of the porous network between the polymer chains allowed the pollutants to be adsorbed on the reactive sites of CS. As far as adsorption properties were concerned, the tailoring of a porous hybrid material was crucial to ensure the pollutant mobility.
The incorporation of AC with a concentration of 1.5% in the two-component beads has significantly increased the BET specific surface area of the hybrid CS beads (from 35 to 174 m2/g), confirming the important dispersion of AC particles in the polymer matrix (Table 3). However, when the concentration of AC is low, e.g., 0.5%, the porosity remained unchanged, probably due to the presence of montmorillonite and its ability to intercalate CS.

3.1.3. Chitosan-Clay Interaction

X-ray diffraction patterns were performed on the clay sample and on the two hybrid CS-clay beads (Figure 4). The XRD patterns with 2θCu in the range from 1°–16° show the 001 reflections of the montmorillonite. The basal spacing of the raw montmorillonite sample (2θCu = 7.6°, d001 = 1.16 nm) was shifted to the small angles after interaction with CS in the hybrid beads (2θCu = 5.9°, d001 = 1.50 nm). The intercalation of CS in the interlayer is then clearly shown. The increase in the basal spacing value (d001 = 0.34 nm) for the two clay hybrid beads (2-CS/CM1.5 and 2-CS/CM4.5) indicates that the CS molecules were in a monolayer arrangement [15,16]. This is in agreement with the d001 value of 0.38 nm, representing the thickness of one CS layer, measured from the XRD pattern of a CS film [17]. Due to the partial cationic nature of CS at pH 6.5 (Figure 4), the intercalation of CS monolayers in the montmorillonite clay may take place through a cationic exchange procedure between –NH3+ CS chains groups and the positively charged interlayer sites of the clay minerals previously occupied by the exchangeable cations.

3.2. Adsorption Studies

Adsorption results on raw and hybrid materials are summarized in Table 4. First-order [18] or second-order [19] models were used to calculate Qt values, which were shown as follows, respectively:
Q t = Q e . ( 1 e k t )
Q t   = k 2 . Q e 2 . t 1 + ( k 2 . Q e . t )
Qt is the adsorbed amount as a function of time (t); Qe is the maximum adsorbed amount (mmol/g); k is the velocity constant in min−1; and k2 is the velocity constant (g⋅mmol−1⋅min−1).
Adsorption kinetic experiments have been carried out and the adsorbed amounts were determined and compared in the same experimental conditions.
In order to examine the adsorption mechanisms and quantify the role of each adsorbent in the hybrid material, the charge and the speciation of the adsorbent and the species of the adsorbates are presented in Figure 5. Under working conditions, AC was positively charged, clay minerals were negatively charged and for CS, half of the amino groups were protonated.

3.2.1. Adsorption of Zn2+

Interesting adsorbed amounts of zinc cations were measured on raw CS and clay-mineral powders, ranging from 6 to 15 mg/g (Table 4). Adsorption kinetics of Zn2+ is presented in Figure 6. As expected, montmorillonite is the best adsorbent for Zn2+, as far as cationic exchange occurs and chemisorption with deprotonated silanols (and aluminols) as well (Figure 5). CS also presents interesting adsorption capacities because it contains few deprotonated hydroxyl groups and is able to give electrostatic interactions with zinc, which mainly include complexion with non-binding doublets on nitrogen and oxygen atoms (Figure 1a). For the beads, same adsorption properties were observed. The adsorption properties of the CS beads containing AC was slightly increased, compared to the pure CS beads, demonstrating that the active sites of CS might be more accessible to zinc adsorption. The AC addition increased the BET surface area which became five times higher than those without AC. On the contrary, the incorporation of montmorillonite with a concentration of 1.5% in the CS beads shows that the two intercalation of the montmorillonite by the CS chains has decreased: (i) The adsorption activity of CS possibly by positively charging the amine groups in the interlamellar space (NH3+), and (ii) the adsorption activity of clay minerals by removing the exchangeable cations from the interlayer space. An additional experiment showed that, an increasing rate of the montmorillonite content with a concentrate range from 1.5% to 4.5% in the CS-clay-mineral composite was responsible for a significant improvement of the adsorbed amounts of zinc cations (33%), though this uptake was still lower that the one of raw montmorillonite (kinetic not shown in Figure 6). These results showed that despite the intercalation of a part of CS chains in the clay minerals, the porous network of the beads ensured a good transport of the solution to the remaining reactive sites of the montmorillonite.
The adsorption ability towards zinc cation on the three-component beads was stronger than on the CS-montmorillonite composites, owing to the addition of AC.

3.2.2. Adsorption of MTP

Adsorption kinetics of MTP was presented in Figure 7. As expected, CS (raw and CS beads) was a weak adsorbent for MTP (Table 4) because of the electrostatic repulsions between CS chains and MTP.
Through the same mechanism observed previously for zinc, MTP was well adsorbed (129 mg/g, 0.48 mmol/g), by raw clay minerals having a cationic exchange of 1 mmol/g. MTP could interact with the montmorillonite silanols sites, but it possessed a planar molecular structure and was also able to intercalate easily into the clay structure and adsorb through cationic exchange. The incorporation of montmorillonite in the hybrid beads allowed the material to adsorb few MTP organic cation (uptake of 30 mg/g).
Pure AC showed a highly-adsorbed amount of 161 mg/g for MTP. MTP was assumed to be adsorbed through Van der Waals π→π interactions, despite electrostatic repulsions. The incorporation of 1.5% of AC in the CS beads improved the adsorbed amount of the beads to 26 mg/g. As a result, the adsorption abilities of the three-component beads were twenty-five times higher than for pure CS beads showing the benefits of montmorillonite and AC charge addition. Synergic effects occurred, coming from an increase of the hybrid beads porosity and a good accessibility of adsorption sites of each adsorbent.

3.2.3. Adsorption of CBA

The adsorption kinetics of CBA is displayed in Figure 8. Raw CS and pure CS beads (1-CS) showed an adsorbed amount of 12 mg/g and 9 mg/g (Table 4) towards CBA anionic molecules, respectively. At pH 6.5, half of the amine groups (in the range from 2.5 to 5 mmol/g theoretical value) of CS, having a pKA of 6.3, were protonated (Figure 5). These results demonstrate that, due to its −NH3+ sites giving electrostatic interactions with anions, CS is therefore a good candidate to adsorb negatively charged organic molecules, such as CBA.
Pure AC showed a high adsorption affinity with CBA through mainly π→π interactions together with minor Van der Waals interactions ones, giving the highest adsorbed amount of 120 mg/g (Table 4). As it was shown previously for MTP adsorption, the incorporation of AC with a concentration of 1.5% in the CS beads significantly improved the adsorbed amount of the beads towards CBA (from 9 to 21 mg/g).
As expected, montmorillonite was the worst adsorbent for CBA anions, due to its negative surface charge (Figure 5). Thus, the incorporation of this clay mineral with a concentration of 1.5% in the CS beads slightly decreased the adsorbed amount of the beads because the intercalation of CS chains between the clay layers hindered some CS adsorption sites.
In the three-component beads, the introduction of AC with a concentration of 0.5% led to an enhancement of the adsorbed amount, reaching 21 mg/g, which was twice the ones of raw CS (9 mg/g for CS) or CS-clay mineral hybrid (8 mg/g for 2-CS/CM1.5) beads.

4. Conclusions

A new hybrid porous material was successfully prepared. The obtained hybrid CS beads containing montmorillonite and activated carbon possessed the required mechanical properties and are homogeneous. The adsorption performances of the hybrid beads verified the accessibility and connection of the porous network. The beads showed also the advantage of easy handling and recovery in a water purification process.
The main interactions between CS beads and Zn2+ were chelating interactions with nitrogen- and oxygen-electron-lone pairs. Pure CS bead affinity is higher for Zn2+ than for MTP because CS contains only few deprotonated–hydroxyl groups at 6.5 pH, was able to give electrostatic interactions with MTP. CS beads showed a moderate adsorption ability for anionic CBA, in comparison to cationic MTP. As it was expected, CS was also very useful to adsorb negatively- charged organic molecules due to its –NH3+ sites through electrostatic interactions. Adsorption properties of CS towards anionic species could be enhanced at lower pH. Despite the intercalation of the CS chains into the interlayer spacing, altering the hybrid beads porosity, the CS-montmorillonite beads were efficient towards metallic (Zn2+) and organic (MTP) cations. Synergic effects were obtained for MTP, which is trapped by the montmorillonite aluminols and silanols groups.
Although the raw AC materials are known to be more efficient for the adsorption of hydrophobic organic pollutants, the hybrid CS/carbon beads showed a wider spectrum of adsorption and synergic effects, especially towards Zn2+. The incorporation of AC has improved the porosity of the hybrid material and is effective for anionic and cationic organic pollutants, due to hydrophobic interactions and more generally Van der Waals interactions. Moderate adsorbed amounts were obviously measured as compared to raw-material adsorption properties. Synergic effects were obtained in the hybrid materials for CBA and MTP adsorption. The complementary adsorption properties of clay, AC and CS were preserved in the hybrid three-component material, leading to an adsorbent having large adsorption properties for different kinds of water contaminants, i.e., metals, negatively- or positively-charged organic molecules. It could be also used to purify tap water contaminated with pesticides, nitrates, and pharmaceutical derivatives. The re-generation of the loaded beads is under progress and promising behaviors are expected.

Author Contributions

M.C., F.B., S.D.-O. and F.M. conceived, prepared and characterized the hybrid materials, made the adsorption study and wrote the article; L.D. and L.R. performed thermal and gas adsorption analyses; R.K.D. brought advises for the choice of (CS) type and for discussions; M.L. and H.B.Y. brought advices for the protocol to prepare the hydrogels and for discussions.

Funding

This research was funded by the Centre Val de Loire region, France (MatHéO project).

Conflicts of Interest

The authors declare no conflicts of interest.

References

  1. Huerta-Fontela, M.; Galceran, M.T.; Martin-Alonsoa, J.; Ventura, F. Occurrence of psychoactive stimulatory drugs in waste waters in north-eastern Spain. Sci. Total Environ. 2008, 397, 31–40. [Google Scholar] [CrossRef] [PubMed]
  2. Stavrakakis, C.; Colin, R.; Faur, C.; Hequet, V.; Le Cloirec, P. Analysis and behavior of endocrine disrupting compounds in wastewater treatment plant. Eur. J. Water Qual. 2008, 39, 145–156. [Google Scholar] [CrossRef]
  3. De Ridder, D.J.; Verliefde, A.R.D.; Schoutteten, K.; Van der Linden, B.; Heijman, S.G.J.; Beurroies, I.; Denoyel, R.; Amy, G.L.; Van Dijk, J.C. Relation between interfacial energy and adsorption of organic micropollutants onto activated carbon. Carbon 2013, 53, 153–160. [Google Scholar] [CrossRef]
  4. Ocampo-Pérez, R.; Abdel daiem, M.M.; Rivera-Utrilla, J.; Méndez-Díaz, J.D.; Sánchez-Polo, M. Modeling adsorption rate of organic micropollutants present in landfill leachates onto granular activated carbon. J. Colloid Interface Sci. 2012, 385, 174–182. [Google Scholar] [CrossRef] [PubMed]
  5. Gautier, M.; Muller, F.; Beny, J.M.; Le Forestier, L.; Alberic, P.; Baillif, P. Interactions of ammonium smectite with low-molecular-weight carboxylic acids. Clay Miner. 2009, 44, 207–219. [Google Scholar] [CrossRef]
  6. Bright, M.I.; Thornton, S.F.; Lerner, D.N.; Tellam, J.H.H. Attenuation of landfill leachate by clay liner materials in laboratory columns, Experimental procedures and behavior of organic contaminants. Waste Manag. Res. 2000, 18, 198–214. [Google Scholar] [CrossRef]
  7. Delpeux-Ouldriane, S.; Gineys, M.; Masson, S.; Cohaut, N.; Reinert, L.; Duclaux, L.; Béguin, F. Adsorption and desorption of emerging water contaminants on activated carbon fabrics. Int. J. Environ. Pollut. Remediat. 2016, 4, 1–6. [Google Scholar] [CrossRef]
  8. Crini, G.; Badot, P.M.; Grubal, E. Chitin et Chitosane du Biopolymère à L’application; Presses Universitaires de Franche-Comté: Besançon, France, 2009; pp. 10–30. [Google Scholar]
  9. Crini, G.; Badot, P.M.; Morin Crini, N. Traitement des eaux par du chitosane: Interêt, méthodes et perspectives. Techniques de L’ingénieur 2009, 126, 1–13. [Google Scholar]
  10. Lei, Z.; Yuexian, Z.; Zhengjun, C. Removal of heavy metal ions using chitosan and modified chitosan: A review. J. Mol. Liq. 2019, 214, 175–191. [Google Scholar]
  11. Soni, U.; Bajpai, J.; Singh, S.K.; Bajpai, A.K. Evaluation of chitosan-carbon based biocomposite for efficient removal of phenols from aqueous solutions. J. Water Process Eng. 2017, 16, 56–63. [Google Scholar] [CrossRef]
  12. Hydari, S.; Sharififard, H.; Nabavinia, M.; Parvizi, M.R. A comparative investigation on removal performances of commercial activated carbon, chitosan biosorbent and chitosan/activated carbon composite for cadmium. Chem. Eng. J. 2012, 193–194, 276–282. [Google Scholar] [CrossRef]
  13. Delpeux-Ouldriane, S.; Gineys, M.; Cohaut, N.; Béguin, F. The role played by local pH and pore size distribution in the electrochemical regeneration of carbon fabrics loaded with bentazon. Carbon 2015, 94, 816–825. [Google Scholar] [CrossRef]
  14. Ghayaza, M.; Le Forestier, L.; Muller, F.; Tournassat, C.; Beny, J.M. Pb(II) and Zn(II) adsorption onto Na- and Ca-montmorillonites in acetic acid/acetate medium: Experimental approach and geochemical modeling. J. Colloid Interface Sci. 2011, 361, 238–246. [Google Scholar] [CrossRef] [PubMed]
  15. Gautier, M.; Muller, F.; Le Forestier, L.; Beny, J.-M.; Guegan, R. NH4-smectite: Characterization, hydration properties and hydro mechanical behavior. Appl. Clay Sci. 2010, 49, 247–254. [Google Scholar] [CrossRef]
  16. Wang, S.F.; Shen, L.; Tong, Y.J.; Chen, L.; Phang, I.Y.; Lim, P.Q.; Liu, T.X. Biopolymer chitosan/montmorillonite nanocomposites: Preparation and characterization. Polym. Degrad. Stab. 2005, 90, 123–131. [Google Scholar] [CrossRef]
  17. Darder, M.; Colilla, M.; Ruiz-Hitzky, E. Chitosan–clay nanocomposites: Application as electrochemical sensors. Appl. Clay Sci. 2005, 28, 199–208. [Google Scholar] [CrossRef]
  18. Lagergren, S.K. About the Theory of So-called Adsorption of Soluble Substances. Hanlingar 1898, 24, 1–39. [Google Scholar]
  19. Ho, Y.S.; McKay, G. Pseudo-second order model for sorption processes. Process. Biochem. 1999, 34, 451–465. [Google Scholar] [CrossRef]
Figure 1. Molecular structures and speciation of chitosan (CS) (a); clofibric acid (CBA) (b); and metoprolol (MTP) (c) at pH 6.5.
Figure 1. Molecular structures and speciation of chitosan (CS) (a); clofibric acid (CBA) (b); and metoprolol (MTP) (c) at pH 6.5.
Carbon 04 00035 g001
Figure 2. Photograph of pure and hybrid hydrogel CS beads. The mean diameter of the beads was 2 mm.
Figure 2. Photograph of pure and hybrid hydrogel CS beads. The mean diameter of the beads was 2 mm.
Carbon 04 00035 g002
Figure 3. Cryo-SEM images (×5000) of 1-CS (a), 2-CS/CM1.5 (b), 2-CS/AC1.5 (c) and 3-CS/CM1/AC0.5 (d).
Figure 3. Cryo-SEM images (×5000) of 1-CS (a), 2-CS/CM1.5 (b), 2-CS/AC1.5 (c) and 3-CS/CM1/AC0.5 (d).
Carbon 04 00035 g003
Figure 4. X-ray diffraction patterns of the clay sample and the clay containing hybrid beads.
Figure 4. X-ray diffraction patterns of the clay sample and the clay containing hybrid beads.
Carbon 04 00035 g004
Figure 5. Charges of adsorbents and pollutants as a function of pH. The red line corresponds to the working pH value.
Figure 5. Charges of adsorbents and pollutants as a function of pH. The red line corresponds to the working pH value.
Carbon 04 00035 g005
Figure 6. Zn2+ adsorption kinetics on pure and hybrid hydrogel CS beads. The continuous lines represent the calculated data using the first-order model.
Figure 6. Zn2+ adsorption kinetics on pure and hybrid hydrogel CS beads. The continuous lines represent the calculated data using the first-order model.
Carbon 04 00035 g006
Figure 7. MTP adsorption kinetics of pure and hybrid hydrogel CS beads. The continuous lines represent the calculated data using the best-fitting model.
Figure 7. MTP adsorption kinetics of pure and hybrid hydrogel CS beads. The continuous lines represent the calculated data using the best-fitting model.
Carbon 04 00035 g007
Figure 8. Adsorption kinetic of CBA of pure and hybrid hydrogel CS beads. The continuous lines represent the calculated data using the first-order model.
Figure 8. Adsorption kinetic of CBA of pure and hybrid hydrogel CS beads. The continuous lines represent the calculated data using the first-order model.
Carbon 04 00035 g008
Table 1. Physicochemical characteristics of the adsorbates at pH 7.
Table 1. Physicochemical characteristics of the adsorbates at pH 7.
PollutantpKA1/pKA2V3)Log Kow
CBA3.4192−0.02
MTP9.5/14644−0.81
Table 2. Contents of water and chitosan (CS) determined by thermogravimetric analysis.
Table 2. Contents of water and chitosan (CS) determined by thermogravimetric analysis.
Material1st Mass Loss Δm/m (%) *
25 < T (°C) < 225
2nd Mass Loss Δm/m (%) **
250 < T (°C) < 400
3rd Mass Loss Δm/m (%)
475 < T (°C) < 800
1-CS903-
2-CS/AC1.5874-
2-CS/CM1.59082
2-CS/CM4.58776
3-CS/CM1/AC0.5862.20.6
* The first mass loss corresponded to the water content; ** the second mass loss corresponded to CS degradation.
Table 3. BET Specific surface area (SBET) of the raw and hybrid adsorbents.
Table 3. BET Specific surface area (SBET) of the raw and hybrid adsorbents.
MaterialSBET (m²/g)
CS2
AC811
CM35
1-CS35
2-CS/AC1.5174
3-CS/CM1/AC0.535
Table 4. Maximum adsorbed amounts Qe calculated from adsorption kinetics of Zn2+, Metoprolol (MTP) and clofibric acid (CBA) using the second-order model, or the first-order model (*).
Table 4. Maximum adsorbed amounts Qe calculated from adsorption kinetics of Zn2+, Metoprolol (MTP) and clofibric acid (CBA) using the second-order model, or the first-order model (*).
MaterialQe (mmol/g) or (mg/g)
Raw adsorbentZn2+MTPCBA
CS0.14
9
0.02
2
0.05
12
AC0.09
6
0.60
161
0.56
120
CM0.24
15
0.48
129
0.02
5
Hybrid adsorbentZn2+MTPCBA
1-CS0.14
9
0.01
* 1
0.04
9
2-CS/AC1.50.16
10
0.10 *
26
0.10
21
2-CS/CM1.50.10
6
0.11
30
0.04
8
3-CS/CM1/AC0.50.16
10
0.07
19
0.07
16

Share and Cite

MDPI and ACS Style

Bouyahmed, F.; Cai, M.; Reinert, L.; Duclaux, L.; Dey, R.K.; Youcef, H.B.; Lahcini, M.; Muller, F.; Delpeux-Ouldriane, S. A Wide Adsorption Range Hybrid Material Based on Chitosan, Activated Carbon and Montmorillonite for Water Treatment. C 2018, 4, 35. https://doi.org/10.3390/c4020035

AMA Style

Bouyahmed F, Cai M, Reinert L, Duclaux L, Dey RK, Youcef HB, Lahcini M, Muller F, Delpeux-Ouldriane S. A Wide Adsorption Range Hybrid Material Based on Chitosan, Activated Carbon and Montmorillonite for Water Treatment. C. 2018; 4(2):35. https://doi.org/10.3390/c4020035

Chicago/Turabian Style

Bouyahmed, Farida, Min Cai, Laurence Reinert, Laurent Duclaux, Ratan Kumar Dey, Hicham Ben Youcef, Mohammed Lahcini, Fabrice Muller, and Sandrine Delpeux-Ouldriane. 2018. "A Wide Adsorption Range Hybrid Material Based on Chitosan, Activated Carbon and Montmorillonite for Water Treatment" C 4, no. 2: 35. https://doi.org/10.3390/c4020035

APA Style

Bouyahmed, F., Cai, M., Reinert, L., Duclaux, L., Dey, R. K., Youcef, H. B., Lahcini, M., Muller, F., & Delpeux-Ouldriane, S. (2018). A Wide Adsorption Range Hybrid Material Based on Chitosan, Activated Carbon and Montmorillonite for Water Treatment. C, 4(2), 35. https://doi.org/10.3390/c4020035

Note that from the first issue of 2016, this journal uses article numbers instead of page numbers. See further details here.

Article Metrics

Back to TopTop