Application of Machine Learning Algorithms in Predicting Rheological Behavior of BN-diamond/Thermal Oil Hybrid Nanofluids
Abstract
1. Introduction
2. Methodology
2.1. Experimental Dataset
2.2. Predictions via Random Forest (RF)
2.3. Predictions via Gradient Boosting Regression (GBR)
2.4. Predictions via Gaussian Regression (GR)
2.5. Predictions via Artificial Neural Network (ANN)
3. Results and Discussion
3.1. Random Forest (RF)
3.2. Gradient Boosting Regression (GBR)
3.3. Gaussian Regression (GR)
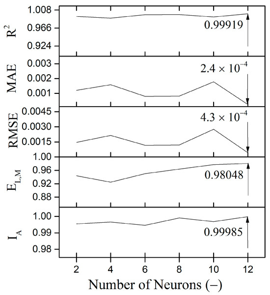
3.4. Artificial Neural Network (ANN)
4. Conclusions
Author Contributions
Funding
Data Availability Statement
Acknowledgments
Conflicts of Interest
Nomenclature
| Symbols | |
| Legate and McCabe Index, LM Index (-) | |
| Willmot Index of Agreement, W Index (-) | |
| N | Number of observations in Equations (1)–(7) |
| Coefficient of determination (-) | |
| Temperature (°C) | |
| Given data point in Equations (1)–(6) | |
| Predicted values in Equations (1)–(6) | |
| Mean of the given values in Equations (1)–(6) | |
| Greek Symbols | |
| Nanomaterial concentration (%) | |
| Shear rate (1/s) | |
| Viscosity (Pa·s) | |
| Abbreviations | |
| AI | Artificial intelligence |
| ANN | Artificial neural network |
| BRT | Boosting regression trees |
| DTR | Decision tree regression |
| GBM | Gradient boosting machine |
| GR | Gaussian regression |
| LSSVM | Least squared support vector machine |
| MAE | Mean absolute error |
| ML | Machine learning |
| MLP | Multilayer perceptron |
| RF | Random forest |
| RMSE | Root mean square error |
| R2test | Coefficient of determination for testing set |
| R2train | Coefficient of determination for training set |
| SVR | Support vector regression |
| XGBoost | Extreme gradient boost |
References
- Babar, H.; Ali, H.M. Towards Hybrid Nanofluids: Preparation, Thermophysical Properties, Applications, and Challenges. J. Mol. Liq. 2019, 281, 598–633. [Google Scholar] [CrossRef]
- Nabil, M.F.; Azmi, W.H.; Hamid, K.A.; Zawawi, N.N.M.; Priyandoko, G.; Mamat, R. Thermo-Physical Properties of Hybrid Nanofluids and Hybrid Nanolubricants: A Comprehensive Review on Performance. Int. Commun. Heat Mass Transf. 2017, 83, 30–39. [Google Scholar] [CrossRef]
- Ali, A.R.I.; Salam, B. A Review on Nanofluid: Preparation, Stability, Thermophysical Properties, Heat Transfer Characteristics and Application. SN Appl. Sci. 2020, 2, 1636. [Google Scholar] [CrossRef]
- Xuan, Y.; Li, Q. Heat Transfer Enhancement of Nanofluids. Int. J. Heat Fluid Flow 2000, 21, 58–64. [Google Scholar] [CrossRef]
- Bashirnezhad, K.; Bazri, S.; Safaei, M.R.; Goodarzi, M.; Dahari, M.; Mahian, O.; Dalkiliça, A.S.; Wongwises, S. Viscosity of Nanofluids: A Review of Recent Experimental Studies. Int. Commun. Heat Mass Transf. 2016, 73, 114–123. [Google Scholar] [CrossRef]
- Dawar, A.; Wakif, A.; Thumma, T.; Shah, N.A. Towards a New MHD Non-Homogeneous Convective Nanofluid Flow Model for Simulating a Rotating Inclined Thin Layer of Sodium Alginate-Based Iron Oxide Exposed to Incident Solar Energy. Int. Commun. Heat Mass Transf. 2022, 130, 105800. [Google Scholar] [CrossRef]
- Salahuddin, T.; Ali, Z.; Awais, M.; Khan, M.; Altanji, M. A Flow Behavior of Sutterby Nanofluid near the Catalytic Parabolic Surface. Int. Commun. Heat Mass Transf. 2022, 131, 105821. [Google Scholar] [CrossRef]
- Upadhya, S.M.; Raju, S.V.S.R.; Raju, C.S.K.; Shah, N.A.; Chung, J.D. Importance of Entropy Generation on Casson, Micropolar and Hybrid Magneto-Nanofluids in a Suspension of Cross Diffusion. Chin. J. Phys. 2022, 77, 1080–1101. [Google Scholar] [CrossRef]
- Minakov, A.V.; Rudyak, V.Y.; Pryazhnikov, M.I. About Rheology of Nanofluids. AIP Conf. Proc. 2018, 2027, 030141. [Google Scholar] [CrossRef]
- Said, Z.; Sundar, L.S.; Tiwari, A.K.; Ali, H.M.; Sheikholeslami, M.; Bellos, E.; Babar, H. Recent Advances on the Fundamental Physical Phenomena behind Stability, Dynamic Motion, Thermophysical Properties, Heat Transport, Applications, and Challenges of Nanofluids. Phys. Rep. 2022, 946, 1–94. [Google Scholar] [CrossRef]
- Rashidi, M.M.; Nazari, M.A.; Mahariq, I.; Assad, M.E.H.; Ali, M.E.; Almuzaiqer, R.; Nuhait, A.; Murshid, N. Thermophysical Properties of Hybrid Nanofluids and the Proposed Models: An Updated Comprehensive Study. Nanomaterials 2021, 11, 3084. [Google Scholar] [CrossRef] [PubMed]
- Mahbubul, I.M.; Saidur, R.; Amalina, M.A. Latest Developments on the Viscosity of Nanofluids. Int. J. Heat Mass Transf. 2012, 55, 874–885. [Google Scholar] [CrossRef]
- Mishra, P.C.; Mukherjee, S.; Nayak, S.K.; Panda, A. A Brief Review on Viscosity of Nanofluids. Int. Nano Lett. 2014, 4, 109–120. [Google Scholar] [CrossRef]
- Einstein, A. Eine Neue Bestimmung der Moleküldimensionen. Ph.D. Thesis, ETH Zurich, Zurich, Switzerland, 1905. [Google Scholar] [CrossRef]
- Brinkman, H.C. The Viscosity of Concentrated Suspensions and Solutions. J. Chem. Phys. 1952, 20, 571. [Google Scholar] [CrossRef]
- Wang, X.; Xu, X.; Choi, S.U.S. Thermal Conductivity of Nanoparticle—Fluid Mixture. J. Thermophys. Heat Transf. 2012, 13, 474–480. [Google Scholar] [CrossRef]
- Krieger, I.M.; Dougherty, T.J. A Mechanism for Non-Newtonian Flow in Suspensions of Rigid Spheres. Trans. Soc. Rheol. 1959, 3, 137. [Google Scholar] [CrossRef]
- Batchelor, G.K. The Effect of Brownian Motion on the Bulk Stress in a Suspension of Spherical Particles. J. Fluid Mech. 1977, 83, 97–117. [Google Scholar] [CrossRef]
- Ilyas, S.U.; Narahari, M.; Theng, J.T.Y.; Pendyala, R. Experimental Evaluation of Dispersion Behavior, Rheology and Thermal Analysis of Functionalized Zinc Oxide-Paraffin Oil Nanofluids. J. Mol. Liq. 2019, 294, 111613. [Google Scholar] [CrossRef]
- Sundar, L.S.; Sharma, K.V.; Naik, M.T.; Singh, M.K. Empirical and Theoretical Correlations on Viscosity of Nanofluids: A Review. Renew. Sustain. Energy Rev. 2013, 25, 670–686. [Google Scholar] [CrossRef]
- Tan, K.X.; Ilyas, S.U.; Pendyala, R.; Shamsuddin, M.R. Assessment of Thermal Conductivity and Viscosity of Alumina-Based Engine Coolant Nanofluids Using Random Forest Approach. AIP Conf. Proc. 2022, 2610, 030002. [Google Scholar] [CrossRef]
- Krishna, S.; Ridha, S.; Ilyas, S.U.; Campbell, S.; Bhan, U.; Bataee, M. Application of Deep Learning Technique to Predict Downhole Pressure Differential in Eccentric Annulus of Ultra-Deep Well. In Proceedings of the ASME 2021 40th International Conference on Ocean, Offshore and Arctic Engineering, Virtual, 21–30 June 2021. [Google Scholar] [CrossRef]
- Kumar, A.; Ridha, S.; Ganet, T.; Vasant, P.; Ilyas, S.U. Machine Learning Methods for Herschel-Bulkley Fluids in Annulus: Pressure Drop Predictions and Algorithm Performance Evaluation. Appl. Sci. 2020, 10, 2588. [Google Scholar] [CrossRef]
- Sharma, P.; Said, Z.; Kumar, A.; Nižetić, S.; Pandey, A.; Hoang, A.T.; Huang, Z.; Afzal, A.; Li, C.; Le, A.T.; et al. Recent Advances in Machine Learning Research for Nanofluid-Based Heat Transfer in Renewable Energy System. Energy Fuels 2022, 36, 6626–6658. [Google Scholar] [CrossRef]
- Jirasek, F.; Hasse, H. Perspective: Machine Learning of Thermophysical Properties. Fluid Phase Equilibria 2021, 549, 113206. [Google Scholar] [CrossRef]
- Ramezanizadeh, M.; Ahmadi, M.H.; Nazari, M.A.; Sadeghzadeh, M.; Chen, L. A Review on the Utilized Machine Learning Approaches for Modeling the Dynamic Viscosity of Nanofluids. Renew. Sustain. Energy Rev. 2019, 114, 109345. [Google Scholar] [CrossRef]
- Li, L.; Zhai, Y.; Jin, Y.; Wang, J.; Wang, H.; Ma, M. Stability, Thermal Performance and Artificial Neural Network Modeling of Viscosity and Thermal Conductivity of Al2O3-Ethylene Glycol Nanofluids. Powder Technol. 2020, 363, 360–368. [Google Scholar] [CrossRef]
- Toghraie, D.; Aghahadi, M.H.; Sina, N.; Soltani, F. Application of Artificial Neural Networks (ANNs) for Predicting the Viscosity of Tungsten Oxide (WO3)-MWCNTs/Engine Oil Hybrid Nanofluid. Int. J. Thermophys. 2020, 41, 163. [Google Scholar] [CrossRef]
- Aghaei, A.; Khorasanizadeh, H.; Sheikhzadeh, G.A. Measurement of the Dynamic Viscosity of Hybrid Engine Oil -Cuo-MWCNT Nanofluid, Development of a Practical Viscosity Correlation and Utilizing the Artificial Neural Network. Heat Mass Transf. 2018, 54, 151–161. [Google Scholar] [CrossRef]
- Afrand, M.; Nadooshan, A.A.; Hassani, M.; Yarmand, H.; Dahari, M. Predicting the Viscosity of Multi-Walled Carbon Nanotubes/Water Nanofluid by Developing an Optimal Artificial Neural Network Based on Experimental Data. Int. Commun. Heat Mass Transf. 2016, 77, 49–53. [Google Scholar] [CrossRef]
- Vafaei, M.; Afrand, M.; Sina, N.; Kalbasi, R.; Sourani, F.; Teimouri, H. Evaluation of Thermal Conductivity of MgO-MWCNTs/EG Hybrid Nanofluids Based on Experimental Data by Selecting Optimal Artificial Neural Networks. Phys. E Low-Dimens. Syst. Nanostructures 2017, 85, 90–96. [Google Scholar] [CrossRef]
- Kumar, V.; Pare, A.; Tiwari, A.K.; Ghosh, S.K. Efficacy Evaluation of Oxide-MWCNT Water Hybrid Nanofluids: An Experimental and Artificial Neural Network Approach. Colloids Surfaces A Physicochem. Eng. Asp. 2021, 620, 126562. [Google Scholar] [CrossRef]
- Ilyas, S.U.; Ridha, S.; Sardar, S.; Estellé, P.; Kumar, A.; Pendyala, R. Rheological Behavior of Stabilized Diamond-Graphene Nanoplatelets Hybrid Nanosuspensions in Mineral Oil. J. Mol. Liq. 2021, 328, 115509. [Google Scholar] [CrossRef]
- Gholizadeh, M.; Jamei, M.; Ahmadianfar, I.; Pourrajab, R. Prediction of Nanofluids Viscosity Using Random Forest (RF) Approach. Chemom. Intell. Lab. Syst. 2020, 201, 104010. [Google Scholar] [CrossRef]
- Bhanuteja, S.; Srinivas, V.; Moorthy, C.V.K.N.S.N.; Kumar, S.J.; Raju, B.L.L. Prediction of Thermophysical Properties of Hybrid Nanofluids Using Machine Learning Algorithms. Int. J. Interact. Des. Manuf. 2023, 2023, 1–14. [Google Scholar] [CrossRef]
- Ning, Y.C.; Ridha, S.; Ilyas, S.U.; Krishna, S.; Dzulkarnain, I.; Abdurrahman, M. Application of Machine Learning to Determine the Shear Stress and Filtration Loss Properties of Nano-Based Drilling Fluid. J. Pet. Explor. Prod. Technol. 2022, 13, 1031–1052. [Google Scholar] [CrossRef]
- Sahin, F.; Genc, O.; Gökcek, M.; Çolak, A.B. An Experimental and New Study on Thermal Conductivity and Zeta Potential of Fe3O4/Water Nanofluid: Machine Learning Modeling and Proposing a New Correlation. Powder Technol. 2023, 420, 118388. [Google Scholar] [CrossRef]
- Singh, H.M.; Sharma, D.P.; Alade, I.O. GBR-GSO Based Machine Learning Predictive Model for Estimating Density of Al2N3, Si3N4, and TiN Nanoparticles Suspended in Ethylene Glycol Nanofluids. Eur. Phys. J. Plus 2022, 137, 587. [Google Scholar] [CrossRef]
- Sharma, P.; Ramesh, K.; Parameshwaran, R.; Deshmukh, S.S. Thermal Conductivity Prediction of Titania-Water Nanofluid: A Case Study Using Different Machine Learning Algorithms. Case Stud. Therm. Eng. 2022, 30, 101658. [Google Scholar] [CrossRef]
- Said, Z.; Cakmak, N.K.; Sharma, P.; Sundar, L.S.; Inayat, A.; Keklikcioglu, O.; Li, C. Synthesis, Stability, Density, Viscosity of Ethylene Glycol-Based Ternary Hybrid Nanofluids: Experimental Investigations and Model -Prediction Using Modern Machine Learning Techniques. Powder Technol. 2022, 400, 117190. [Google Scholar] [CrossRef]
- Adun, H.; Wole-Osho, I.; Okonkwo, E.C.; Bamisile, O.; Dagbasi, M.; Abbasoglu, S. A Neural Network-Based Predictive Model for the Thermal Conductivity of Hybrid Nanofluids. Int. Commun. Heat Mass Transf. 2020, 119, 104930. [Google Scholar] [CrossRef]
- Çolak, A.B. A Novel Comparative Analysis between the Experimental and Numeric Methods on Viscosity of Zirconium Oxide Nanofluid: Developing Optimal Artificial Neural Network and New Mathematical Model. Powder Technol. 2021, 381, 338–351. [Google Scholar] [CrossRef]
- Sepehrnia, M.; Mohammadzadeh, K.; Veyseh, M.M.; Agah, E.; Amani, M. Rheological Behavior of Engine Oil Based Hybrid Nanofluid Containing MWCNTs and ZnO Nanopowders: Experimental Analysis, Developing a Novel Correlation, and Neural Network Modeling. Powder Technol. 2022, 404, 117492. [Google Scholar] [CrossRef]
- Nie, P.; Roccotelli, M.; Fanti, M.P.; Ming, Z.; Li, Z. Prediction of Home Energy Consumption Based on Gradient Boosting Regression Tree. Energy Rep. 2021, 7, 1246–1255. [Google Scholar] [CrossRef]
- Said, Z.; Sharma, P.; Tiwari, A.K.; Le, V.V.; Huang, Z.; Bui, V.G.; Hoang, A.T. Application of Novel Framework Based on Ensemble Boosted Regression Trees and Gaussian Process Regression in Modelling Thermal Performance of Small-Scale Organic Rankine Cycle (ORC) Using Hybrid Nanofluid. J. Clean. Prod. 2022, 360, 132194. [Google Scholar] [CrossRef]
- Cai, J.; Xu, K.; Zhu, Y.; Hu, F.; Li, L. Prediction and Analysis of Net Ecosystem Carbon Exchange Based on Gradient Boosting Regression and Random Forest. Appl. Energy 2020, 262, 114566. [Google Scholar] [CrossRef]
- Ali, A.; Naseer, H.; Ilyas, S.U.; Phelan, P.E.; Nasir, R.; Alsaady, M.; Yan, Y. Thermal and Rheological Behavior of Hybrid Nanofluids Containing Diamond and Boron Nitride in Thermal Oil for Cooling Applications. Arab. J. Sci. Eng. 2023. [Google Scholar] [CrossRef]
- Natekin, A.; Knoll, A. Gradient Boosting Machines, a Tutorial. Front. Neurorobotics 2013, 7, 21. [Google Scholar] [CrossRef]
- Singh, H.M.; Sharma, D.P. Machine Learning Model to Predict the Efficiency of Thermal Conductivity of Oxide Nanofluids. Waves Random Complex Media 2023, 2023, 1–20. [Google Scholar] [CrossRef]
- Dai, X.; Andani, H.T.; Alizadeh, A.; Abed, A.M.; Smaisim, G.F.; Hadrawi, S.K.; Karimi, M.; Shamsborhan, M.; Toghraie, D. Using Gaussian Process Regression (GPR) Models with the Matérn Covariance Function to Predict the Dynamic Viscosity and Torque of SiO2/Ethylene Glycol Nanofluid: A Machine Learning Approach. Eng. Appl. Artif. Intell. 2023, 122, 106107. [Google Scholar] [CrossRef]













| Nanofluid | Parameters | Inputs | Ranges | ML Techniques | Remarks | Ref. |
|---|---|---|---|---|---|---|
| TiO2/water | Thermal Conductivity | Size | 10–51.87 nm | ANN, GBR, SVR, DTR, RF | GBR was found to be the most accurate, with an R2 value of 0.99 for both testing and training data. | [39] |
| Volume Fraction | 0.002–4% | |||||
| Temperature | 10–90 °C | |||||
| Thermal Conductivity | 0.6–1.455 W/mK | |||||
| rGO-Fe3O4-TiO2/ethylene glycol | Density Viscosity | Temperature | 25–50 °C | BRT, SVR, ANN | R value of BRT for both density (0.9989) and viscosity (0.9979) was higher than that of SVR and ANN. | [40] |
| Nanoparticle Concentration | 0.01–0.25% | |||||
| Shear Rate | 1–1000 s−1 | |||||
| 20 different Nanofluids | Thermal Conductivity | Temperature | 20–70 °C | MLP-ANN, SVR | R2 values of 0.99997 and 0.99788 were obtained by ANN and SVR, respectively. | [41] |
| Volume Concentration | 0–3.5 | |||||
| Particle Size | 1.5–70 nm | |||||
| Mixture Ratio | 0.15–0.85 | |||||
| Acentric Factor of Base Fluid | 0.343–0.659 | |||||
| Thermal Conductivity | 0.16–1.44 W/mK | |||||
| Nanoparticle Density | 1000–10,500 kg/m3 | |||||
| ZrO2/water | Viscosity | Temperature | 10–65 °C | MLP-ANN | R2 value of 0.99858 was obtained by ANN, demonstrating high-accuracy predictions. | [42] |
| Concentration | 0.0125–0.2% | |||||
| ZnO-MWCNT (30:70)/W30 engine oil | Viscosity | Volume Fraction | 0.05–1% | ANN | ANN produced high-accuracy predictions (compared to correlations), with an R2 value of 0.9973. | [43] |
| Temperature | 5–55 °C | |||||
| Shear Rate | 50–1000 rpm |
Disclaimer/Publisher’s Note: The statements, opinions and data contained in all publications are solely those of the individual author(s) and contributor(s) and not of MDPI and/or the editor(s). MDPI and/or the editor(s) disclaim responsibility for any injury to people or property resulting from any ideas, methods, instructions or products referred to in the content. |
© 2024 by the authors. Licensee MDPI, Basel, Switzerland. This article is an open access article distributed under the terms and conditions of the Creative Commons Attribution (CC BY) license (https://creativecommons.org/licenses/by/4.0/).
Share and Cite
Ali, A.; Noshad, N.; Kumar, A.; Ilyas, S.U.; Phelan, P.E.; Alsaady, M.; Nasir, R.; Yan, Y. Application of Machine Learning Algorithms in Predicting Rheological Behavior of BN-diamond/Thermal Oil Hybrid Nanofluids. Fluids 2024, 9, 20. https://doi.org/10.3390/fluids9010020
Ali A, Noshad N, Kumar A, Ilyas SU, Phelan PE, Alsaady M, Nasir R, Yan Y. Application of Machine Learning Algorithms in Predicting Rheological Behavior of BN-diamond/Thermal Oil Hybrid Nanofluids. Fluids. 2024; 9(1):20. https://doi.org/10.3390/fluids9010020
Chicago/Turabian StyleAli, Abulhassan, Nawal Noshad, Abhishek Kumar, Suhaib Umer Ilyas, Patrick E. Phelan, Mustafa Alsaady, Rizwan Nasir, and Yuying Yan. 2024. "Application of Machine Learning Algorithms in Predicting Rheological Behavior of BN-diamond/Thermal Oil Hybrid Nanofluids" Fluids 9, no. 1: 20. https://doi.org/10.3390/fluids9010020
APA StyleAli, A., Noshad, N., Kumar, A., Ilyas, S. U., Phelan, P. E., Alsaady, M., Nasir, R., & Yan, Y. (2024). Application of Machine Learning Algorithms in Predicting Rheological Behavior of BN-diamond/Thermal Oil Hybrid Nanofluids. Fluids, 9(1), 20. https://doi.org/10.3390/fluids9010020

