Dynamics of Laser-Induced Shock Waves in Supercritical CO2
Abstract
1. Introduction
2. Methods
2.1. Experimental Setup
2.2. Pressure and Energy Retrieving Methodology
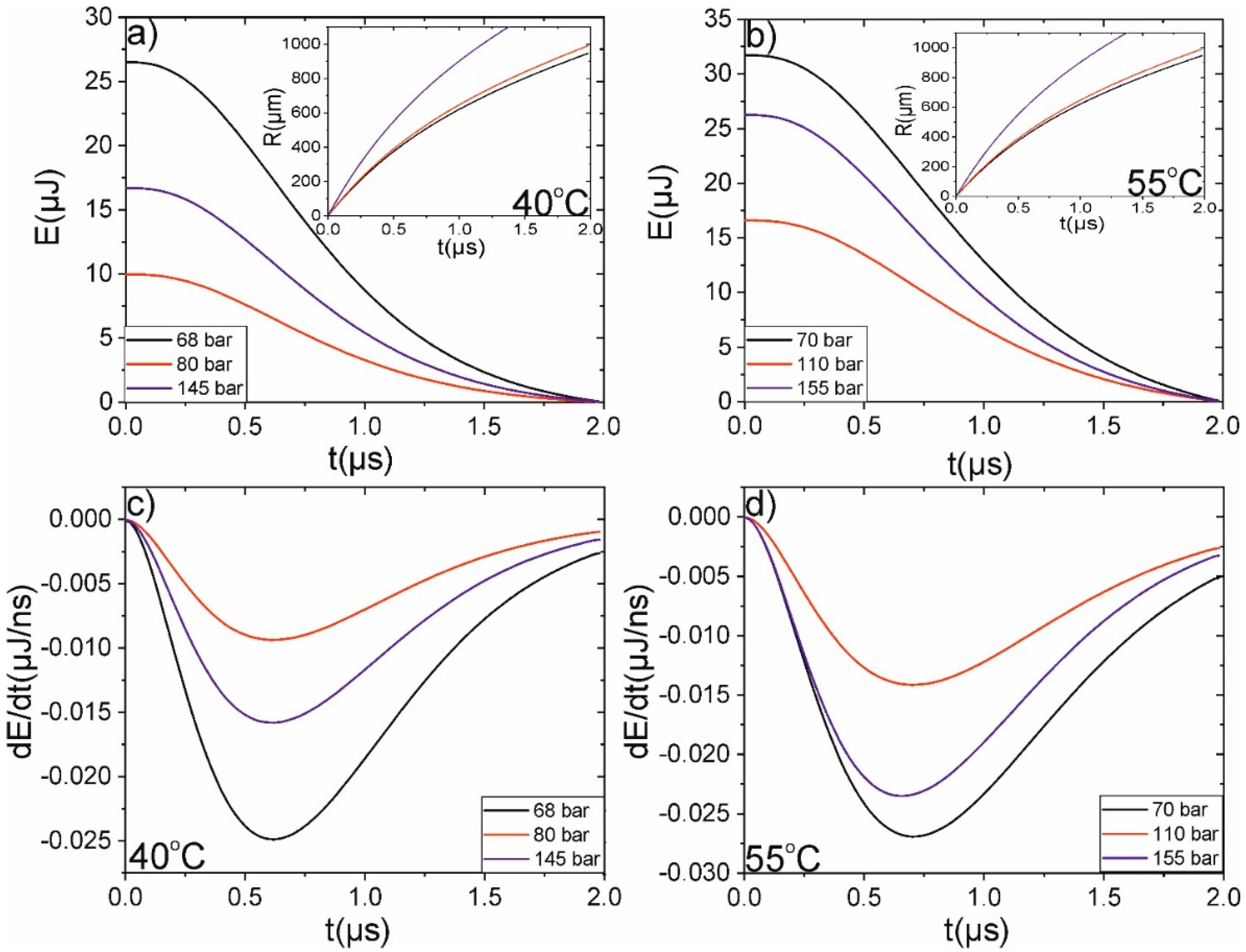
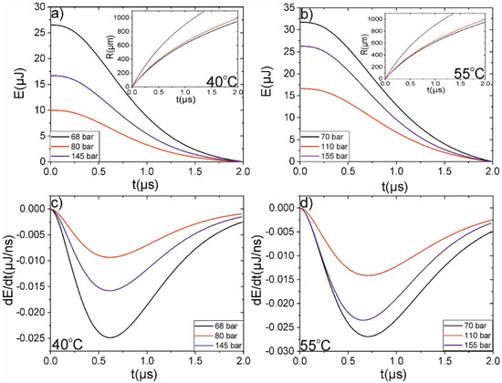
3. Results and Discussion
4. Conclusions
Author Contributions
Funding
Data Availability Statement
Conflicts of Interest
References
- Alekseev, E.S.; Alentiev, A.Y.; Belova, A.S.; Bogdan, V.I.; Bogdan, T.V.; Bystrova, A.V.; Gafarova, E.R.; Golubeva, E.N.; Grebenik, E.A.; Gromov, O.I.; et al. Supercritical Fluids in Chemistry. Russ. Chem. Rev. 2020, 89, 1337–1427. [Google Scholar] [CrossRef]
 - Gutiérrez Ortiz, F.J.; Kruse, A. The Use of Process Simulation in Supercritical Fluids Applications. React. Chem. Eng. 2020, 5, 424–451. [Google Scholar] [CrossRef]
 - Mareev, E.; Semenov, T.; Lazarev, A.; Minaev, N.; Sviridov, A.; Potemkin, F.; Gordienko, V. Optical Diagnostics of Supercritical CO2 and CO2-Ethanol Mixture in the Widom Delta. Molecules 2020, 25, 5424. [Google Scholar] [CrossRef] [PubMed]
 - Bolmatov, D.; Zav’Yalov, D.; Gao, M.; Zhernenkov, M. Structural Evolution of Supercritical CO2 across the Frenkel Line. J. Phys. Chem. Lett. 2014, 5, 2785–2790. [Google Scholar] [CrossRef]
 - Yang, C.; Brazhkin, V.V.; Dove, M.T.; Trachenko, K. Frenkel Line and Solubility Maximum in Supercritical Fluids. Phys. Rev. E-Stat. Nonlinear Soft Matter Phys. 2015, 91, 012112. [Google Scholar] [CrossRef]
 - Xu, L.; Kumar, P.; Buldyrev, S.V.; Chen, S.H.; Poole, P.H.; Sciortino, F.; Stanley, H.E. Relation between the Widom Line and the Dynamic Crossover in Systems with a Liquid-Liquid Phase Transition. Proc. Natl. Acad. Sci. USA 2005, 102, 16558–16562. [Google Scholar] [CrossRef]
 - Ha, M.Y.; Yoon, T.J.; Tlusty, T.; Jho, Y.; Lee, W.B. Widom Delta of Supercritical Gas-Liquid Coexistence. J. Phys. Chem. Lett. 2018, 9, 1734–1738. [Google Scholar] [CrossRef]
 - Yoon, T.J.; Ha, M.Y.; Lee, W.B.; Lee, Y.W. A Corresponding-State Framework for the Structural Transition of Supercritical Fluids across the Widom Delta. J. Chem. Phys. 2019, 150, 154503. [Google Scholar] [CrossRef]
 - Mareev, E.I.; Sviridov, A.P.; Gordienko, V.M. The Anomalous Behavior of Thermodynamic Parameters in the Three Widom Deltas of Carbon Dioxide-Ethanol Mixture. Int. J. Mol. Sci. 2021, 22, 9813. [Google Scholar] [CrossRef]
 - Fomin, Y.D.; Ryzhov, V.N.; Tsiok, E.N.; Brazhkin, V.V. Thermodynamic Properties of Supercritical Carbon Dioxide: Widom and Frenkel Lines. Phys. Rev. E-Stat. Nonlinear Soft Matter Phys. 2015, 91, 022111. [Google Scholar] [CrossRef]
 - Mareev, E.I.; Aleshkevich, V.A.; Potemkin, F.V.; Minaev, N.V.; Gordienko, V.M. Molecular Refraction and Nonlinear Refractive Index of Supercritical Carbon Dioxide under Clustering Conditions. Russ. J. Phys. Chem. B 2019, 13, 1214–1219. [Google Scholar] [CrossRef]
 - Sedunov, B. The Analysis of the Equilibrium Cluster Structure in Supercritical Carbon Dioxide. Am. J. Anal. Chem. 2012, 3, 899–904. [Google Scholar] [CrossRef]
 - Bolmatov, D.; Brazhkin, V.V.; Trachenko, K. Thermodynamic Behaviour of Supercritical Matter. Nat. Commun. 2013, 4, 1–7. [Google Scholar] [CrossRef] [PubMed]
 - Bolmatov, D. The Phonon Theory of Liquids and Biological Fluids: Developments and Applications. J. Phys. Chem. Lett. 2022, 13, 7121–7129. [Google Scholar] [CrossRef] [PubMed]
 - Stauss, S.; Muneoka, H.; Terashima, K. Review on Plasmas in Extraordinary Media: Plasmas in Cryogenic Conditions and Plasmas in Supercritical Fl Uids. Plasma Sources Sci. Technol. 2018, 27, 023003. [Google Scholar] [CrossRef]
 - Muneoka, H.; Himeno, S.; Urabe, K.; Stauss, S.; Suemoto, T.; Terashima, K. Dynamics of Cavitation Bubbles Formed by Pulsed-Laser Ablation Plasmas near the Critical Point of CO2. J. Phys. D Appl. Phys. 2019, 52, 025201. [Google Scholar] [CrossRef]
 - Urabe, K.; Kato, T.; Stauss, S.; Himeno, S.; Kato, S.; Muneoka, H.; Baba, M.; Suemoto, T.; Terashima, K. Dynamics of Pulsed Laser Ablation in High-Density Carbon Dioxide Including Supercritical Fluid State. J. Appl. Phys. 2013, 114, 143303. [Google Scholar] [CrossRef]
 - Wang, J.S.; Wai, C.M.; Brown, G.J.; Apt, S.D. Two-Dimensional Nanoparticle Cluster Formation in Supercritical Fluid CO2. Langmuir 2016, 32, 4635–4642. [Google Scholar] [CrossRef]
 - Sokolowski-Tinten, K.; Von Der Linde, D. Ultrafast Phase Transitions and Lattice Dynamics Probed Using Laser-Produced X-ray Pulses. J. Phys. Condens. Matter 2004, 16, R1517. [Google Scholar] [CrossRef]
 - Winter, J.; Rapp, S.; Mcdonnell, C.; Spellauge, M. Time-Resolved Pump-Probe Microscopy of Ultrashort Laser Pulse Irradiated Bulk Aluminum and Stainless Steel. In Proceedings of the Lasers in Manufacturing Conference 2019, Munich, Germany, 24–27 June 2019; pp. 1–7. [Google Scholar]
 - Lenzner, M.; Krüger, J.; Sartania, S.; Cheng, Z.; Spielmann, C.; Mourou, G.; Kautek, W.; Krausz, F. Femtosecond Optical Breakdown in Dielectrics. Phys. Rev. Lett. 1998, 80, 4076–4079. [Google Scholar] [CrossRef]
 - Schaffer, C.; Nishimura, N.; Glezer, E.; Kim, A.; Mazur, E. Dynamics of Femtosecond Laser-Induced Breakdown in Water from Femtoseconds to Microseconds. Opt. Express 2002, 10, 196–203. [Google Scholar] [CrossRef] [PubMed]
 - Vogel, A.; Busch, S.; Parlitz, U. Shock Wave Emission and Cavitation Bubble Generation by Picosecond and Nanosecond Optical Breakdown in Water. J. Acoust. Soc. Am. 1996, 100, 148–165. [Google Scholar] [CrossRef]
 - Noack, J.; Hammer, D.X.; Noojin, G.D.; Rockwell, B.A.; Vogel, A. Influence of Pulse Duration on Mechanical Effects after Laser-Induced Breakdown. J. Appl. Phys. 1998, 83, 7488–7495. [Google Scholar] [CrossRef]
 - Vogel, A.; Noack, J. Shock wave energy and acoustic energy dissipation after laser-induced breakdown. Proc. SPIE 1998, 3254, 180–189. [Google Scholar]
 - Linz, N.; Freidank, S.; Liang, X.X.; Vogel, A. Wavelength Dependence of Femtosecond Laser-Induced Breakdown in Water and Implications for Laser Surgery. Phys. Rev. B-Condens. Matter Mater. Phys. 2016, 94, 024113. [Google Scholar] [CrossRef]
 - Lauterborn, W.; Vogel, A. Bubble Dynamics and Shock Waves; Delale, C.F., Ed.; Springer: Berlin/Heidelberg, Germany, 2013; ISBN 978-3-642-34296-7. [Google Scholar]
 - Mareev, E.; Minaev, N.; Epifanov, E.; Tsymbalov, I.; Sviridov, A.; Gordienko, V. Time-Resolved Optical Probing of the Non-Equilibrium Supercritical State in Molecular Media under Ns Laser-Plasma Impact. Opt. Express 2021, 29, 33592. [Google Scholar] [CrossRef]
 - Noack, J.; Vogel, A. Single-Shot Spatially Resolved Characterization of Laser-Induced Shock Waves in Water. Appl. Opt. 1998, 37, 4092–4099. [Google Scholar] [CrossRef]
 - Mareev, E.I.; Rumiantsev, B.V.; Potemkin, F.V. Study of the Parameters of Laser-Induced Shock Waves for Laser Shock Peening of Silicon. JETP Lett. 2020, 112, 739–744. [Google Scholar] [CrossRef]
 - Crandall, L.E.; Rygg, J.R.; Spaulding, D.K.; Boehly, T.R.; Brygoo, S.; Celliers, P.M.; Eggert, J.H.; Fratanduono, D.E.; Henderson, B.J.; Huff, M.F.; et al. Equation of State of CO2 Shock Compressed to 1 TPa. Phys. Rev. Lett. 2020, 125, 165701. [Google Scholar] [CrossRef]
 - Vogel, A.; Noack, J.; Nahen, K.; Theisen, D.; Busch, S.; Parlitz, U.; Hammer, D.X.; Noojin, G.D.; Rockwell, B.A. Energy Balance of Optical Breakdown in Water at Nanosecond to Femtosecond Time Scales. Appl. Phys. B 1999, 68, 271–280. [Google Scholar] [CrossRef]
 - Potemkin, F.V.; Mareev, E.I. Dynamics of Multiple Bubbles, Excited by a Femtosecond Filament in Water. Laser Phys. Lett. 2015, 12, 015405. [Google Scholar] [CrossRef]
 - NIST Database. Available online: http://webbook.nist.gov/ (accessed on 25 October 2022).
 - Surov, V.S. Shock Adiabat of a Multivelocity Heterogeneous Medium. J. Eng. Phys. Thermophys. 2012, 85, 302–305. [Google Scholar] [CrossRef]
 - Nigmatulin, R.I.; Bolotnova, R.K. Wide-Range Equation of State for Water and Steam: Method of Construction. High Temp. 2008, 46, 182–193. [Google Scholar] [CrossRef]
 - Cockrell, C.J.; Dicks, O.; Wang, L.; Trachenko, K.; Soper, A.K.; Brazhkin, V.V.; Marinakis, S. Experimental and modeling evidence for structural crossover in supercritical CO2. Phys. Rev. E 2020, 101, 1–6. [Google Scholar] [CrossRef]
 - Jiang, L.; Tsai, H.L. A Plasma Model Combined with an Improved Two-Temperature Equation for Ultrafast Laser Ablation of Dielectrics. J. Appl. Phys. 2008, 104, 093101. [Google Scholar] [CrossRef]
 - Kato, T.; Stauss, S.; Kato, S.; Urabe, K.; Baba, M.; Suemoto, T.; Terashima, K. Pulsed Laser Ablation Plasmas Generated in CO2 under High-Pressure Conditions up to Supercritical Fluid. Appl. Phys. Lett. 2012, 101, 2–7. [Google Scholar] [CrossRef]
 





Publisher’s Note: MDPI stays neutral with regard to jurisdictional claims in published maps and institutional affiliations.  | 
© 2022 by the authors. Licensee MDPI, Basel, Switzerland. This article is an open access article distributed under the terms and conditions of the Creative Commons Attribution (CC BY) license (https://creativecommons.org/licenses/by/4.0/).
Share and Cite
Asharchuk, N.; Mareev, E. Dynamics of Laser-Induced Shock Waves in Supercritical CO2. Fluids 2022, 7, 350. https://doi.org/10.3390/fluids7110350
Asharchuk N, Mareev E. Dynamics of Laser-Induced Shock Waves in Supercritical CO2. Fluids. 2022; 7(11):350. https://doi.org/10.3390/fluids7110350
Chicago/Turabian StyleAsharchuk, Nika, and Evgenii Mareev. 2022. "Dynamics of Laser-Induced Shock Waves in Supercritical CO2" Fluids 7, no. 11: 350. https://doi.org/10.3390/fluids7110350
APA StyleAsharchuk, N., & Mareev, E. (2022). Dynamics of Laser-Induced Shock Waves in Supercritical CO2. Fluids, 7(11), 350. https://doi.org/10.3390/fluids7110350
        
