From Laboratory Measurements to AI-Driven Insights: Predicting Shaped Charge Performance with Advanced Machine Learning
Abstract
1. Introduction
1.1. Importance of Predicting the Length of Perforation
1.2. Conventional Prediction Techniques and Their Drawbacks
1.3. Machine Learning Models for Predicting PL
2. Methodology
2.1. Data Collection and Exploratory Analysis
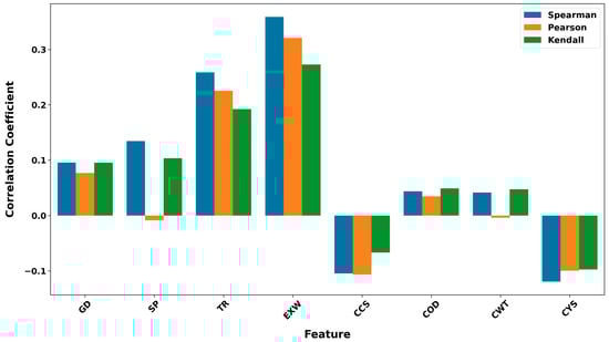
2.2. Feature Ranking and Correlation Analysis
2.3. Data Preprocessing
2.4. Models Structure
3. Results and Discussion
3.1. Model Testing and Validation
3.2. Limitations and Practical Considerations
4. Conclusions and Future Work
Author Contributions
Funding
Institutional Review Board Statement
Informed Consent Statement
Data Availability Statement
Conflicts of Interest
Nomenclature
| α | Mixing parameter in Elastic Net regression (dimensionless) |
| λ | Regularization parameter (dimensionless) |
| μ | Population mean |
| ρ | Spearman’s rank correlation coefficient (dimensionless) |
| σ | Population standard deviation |
| τ | Kendall’s tau correlation coefficient (dimensionless) |
| d | Difference between paired ranks |
| k | Number of nearest neighbors in kNN algorithm |
| n | Sample size |
| r | Pearson’s correlation coefficient (dimensionless) |
| R2 | Coefficient of determination (dimensionless) |
| s | Sample standard deviation |
| x | Independent variable or predictor |
| Sample mean | |
| y | Dependent variable or response |
| Sample mean of response variable | |
| z | Standardized score (z-score) |
| AdaBoost | Adaptive Boosting |
| API | American Petroleum Institute |
| CCS | Cement Compressive Strength |
| COD | Casing Outer Diameter |
| CWT | Casing Nominal Weight |
| CYS | Casing Yield Strength |
| DL | Deep Learning |
| DT | Decision Tree |
| DUB | Dynamic Underbalance |
| EXW | Explosive Weight |
| GB | Gradient Boosting |
| GD | Gun Diameter |
| HP/HT | High-Pressure/High-Temperature |
| IQR | Interquartile Range |
| kNN | k-Nearest Neighbors |
| LASSO | Least Absolute Shrinkage and Selection Operator |
| MAE | Mean Absolute Error |
| ML | Machine Learning |
| MLP | Multi-Layer Perceptron Regressor |
| MSE | Mean Squared Error |
| PL | Perforation Length |
| PLS | Partial Least Squares |
| Q-Q | Quantile–Quantile |
| RBF | Radial Basis Function |
| RF | Random Forest |
| RMSE | Root Mean Squared Error |
| SD | Shot Density |
| SHAP | Shapley Additive Explanations |
| SP | Shot Phasing |
| SVR | Support Vector Regression |
| TR | Temperature Rating |
| UCS | Unconfined Compressive Strength |
| XGBoost | Extreme Gradient Boosting |
| Units | |
| Casing Outer Diameter | inches |
| Casing Nominal Weight | lb/ft |
| Casing Yield Strength | psi |
| Cement Compressive Strength | psi |
| Explosive Weight | grams (g) |
| Gun Diameter | inches |
| Perforation Length | inches |
| Shot Density | shots/ft |
| Shot Phasing | degrees (°) |
| Temperature Rating | degrees Fahrenheit (°F) |
References
- Snider, P.; Rindels, C.; Folse, K.; Hardesty, J.; Clark, N. Perforating System Selection for Optimum Well Inflow Performance, Alba Field, Equatorial Guinea. In SPE Annual Technical Conference and Exhibition, Denver, CO, USA, 5–8 October 2003; SPE: Richardson, TX, USA, 2003; p. SPE-84420-MS. [Google Scholar] [CrossRef]
- Zuliani, P.C.M.; Ulsen, C.; Policarpo, N.A. Well Perforating—More than Reservoir Connection. Upstream Oil Gas Technol. 2023, 11, 100088. [Google Scholar] [CrossRef]
- Alrashed, A.A.; Batarseh, S.I.; Alharith, A.M.; Alhamad, L.A. The Evolution of Perforation Techniques Over Time: An Overview. In SPE Conference at Oman Petroleum & Energy Show, Muscat, Oman, 12–14 May 2025; SPE: Richardson, TX, USA, 2025; p. D012S052R004. [Google Scholar] [CrossRef]
- Ansari, M.; Ijaz, M.; Ali Anjum, Z.; Inam, S.; Ul Hussnain, M.S.; Ullah, R.; Shafee, I.; Zia, F.; Atiq, I. Comparative Analysis of Well Deliverabilities Through Different Perforation Strategies in a Mature Field, Deployment of Completion Conveyed Underbalance Perforation—A Case Study. In SPE 2023 Symposium Compilation, Virtual, 19 December 2023; SPE: Richardson, TX, USA, 2023; p. D011S001R005. [Google Scholar] [CrossRef]
- Luan, Z.; Zhong, L.; Feng, W.; Li, J.; Gao, Z.; Li, J. A Review of Failures and Malfunctions in Hydraulic Sandblasting Perforation Guns. Appl. Sci. 2025, 15, 4892. [Google Scholar] [CrossRef]
- Allison, S.; Löhken, J.; Nelis, L.M.; Djayapertapa, L.; Byrne, M.; Watson, K.; Clarke, A. Understanding Perforation Geometry Influence on Flow Performance Using CFD. In SPE European Formation Damage Conference and Exhibition, Budapest, Hungary, 3–5 June 2015; SPE: Richardson, TX, USA, 2015; p. SPE-174194-MS. [Google Scholar] [CrossRef]
- Baumann, C.; Brinsden, M. Perforating Gunshock Loads: Simulation and Optimization in 2014. In IADC/SPE Asia Pacific Drilling Technology Conference, Bangkok, Thailand, 25–27 August 2014; SPE: Richardson, TX, USA, 2014; p. SPE-170552-MS. [Google Scholar] [CrossRef]
- Sedlacek, A.; Acosta, J.; Fernandez, R.; Da Silva, G.R.; Da Silva, A.L. Large Perforating Gun System Deployed Using Electric Line: Single 41 m Run of 7 in., 12 Spf Deep Penetration Charge. In SPE Annual Technical Conference and Exhibition, Virtual, 26–29 October 2020; SPE: Richardson, TX, USA, 2020; p. D021S003R002. [Google Scholar] [CrossRef]
- Elkhatib, O.; Abdallah, M.; Elnaggar, H.; Hanamertani, A.S.; Al-Shalabi, E.; Ahmed, S. Huff-N-Puff Foam Injection in Naturally Fractured Carbonates Using Supercritical CO2. In SPE Improved Oil Recovery Conference, Tulsa, OK, USA, 22–25 April 2024; SPE: Richardson, TX, USA, 2024; p. D021S001R003. [Google Scholar] [CrossRef]
- Baumann, C.; Lazaro, A.; Valdivia, P.; Williams, H.; Stecchini, P. Perforating Gunshock Loads—Prediction and Mitigation. In SPE/IADC Drilling Conference, Amsterdam, The Netherlands, 5–7 March 2013; SPE: Richardson, TX, USA, 2013. [Google Scholar] [CrossRef]
- Walton, I.C.; Johnson, A.B.; Behrmann, L.A.; Atwood, D.C. Laboratory Experiments Provide New Insights into Underbalanced Perforating. In SPE Annual Technical Conference and Exhibition, New Orleans, LA, USA, 30 September–3 October 2001; SPE: Richardson, TX, USA, 2001; p. SPE-71642-MS. [Google Scholar] [CrossRef]
- Grove, B.; Manning, D. Shaped Charge Perforation Depth at Full Downhole Conditions: New Understandings. In SPE Annual Technical Conference and Exhibition, Dallas, TX, USA, 24–26 September 2018; SPE: Richardson, TX, USA, 2018; p. D021S018R005. [Google Scholar] [CrossRef]
- Grove, B.; Heiland, J.; Walton, I.; Atwood, D. New Effective-Stress Law for Predicting Perforation Depth at Downhole Conditions. SPE Drill. Complet. 2009, 24, 678–685. [Google Scholar] [CrossRef]
- Grove, B.; DeHart, R.; McGregor, J.; Dennis, H.; Christopher, C. Operators Optimize High-Pressure/High-Temperature and Ultrahigh-Pressure Perforation Strategies Using Laboratory Testing. In Offshore Technology Conference, Houston, TX, USA, 6–9 May 2019; SPE: Richardson, TX, USA, 2019; p. D031S038R003. [Google Scholar] [CrossRef]
- Ayre, D.; Atwood, D.; Geerts, S.; Grove, B.; Haggerty, D.; Hardesty, J.; Lattanzio, D.; McNelis, L.; Sampson, T.; Sokolove, C. API RP 19B Section 2 Perforation Tests Conducted at Multiple Facilities to Guide the Latest Section 2 Revision. In SPE Annual Technical Conference and Exhibition, San Antonio, TX, USA, 9–11 October 2017; SPE: Richardson, TX, USA, 2017; p. D031S032R005. [Google Scholar] [CrossRef]
- Loehken, J.; Mcnelis, L.; Fricke, B.; Yosefnejad, D. The Influence of Decentralized Perforation Guns for Hydraulic Fracturing Applications in Highly Deviated or Horizontally Wells on Entry Hole Perforation Performance and Tunnel Geometry for Extreme Hard Rocks (>30k Psi). In SPE International Hydraulic Fracturing Technology Conference and Exhibition, Muscat, Sultanate of Oman, 12–14 September 2023; SPE: Richardson, TX, USA, 2023. [Google Scholar] [CrossRef]
- Halleck, P.M.; Deo, M. Effects of Underbalance on Perforation Flow. SPE Prod. Eng. 1989, 4, 113–116. [Google Scholar] [CrossRef]
- Walton, I.C. Optimum Underbalance for the Removal of Perforation Damage. In SPE Annual Technical Conference and Exhibition, Dallas, TX, USA, 1–4 October 2000; SPE: Richardson, TX, USA, 2000; p. SPE-63108-MS. [Google Scholar] [CrossRef]
- Boukadi, F.H.; Seibi, A.; Ghalambor, A.; Iluore, F.O. A New Mathematical Model for Estimating Perforation Penetration Length. In SPE International Symposium and Exhibition on Formation Damage Control, Lafayette, LA, USA, 10–12 February 2010; SPE: Richardson, TX, USA, 2010; p. SPE-126721-MS. [Google Scholar] [CrossRef]
- Araki, N.; Morita, N. Quantitative Analysis of the Effect of Perforation Interaction on Perforation Stability Using the Finite Element Method. SPE J. 2020, 25, 2234–2250. [Google Scholar] [CrossRef]
- Tonburinthip, T.; Norasaed, W. Revolutionizing the Perforation Process Via an End-To-End Automated Perforation Toolbox in the Gulf of Thailand (PerfSight). In Abu Dhabi International Petroleum Exhibition and Conference (ADIPEC), Abu Dhabi, UAE, 4–7 November 2024; SPE: Richardson, TX, USA, 2024; p. D021S068R004. [Google Scholar] [CrossRef]
- Procyk, A.D.; Burton, R.C.; Atwood, D.C.; Grove, B.M. Optimized Cased and Perforated Completion Designs Through the Use of API RP-19B Laboratory Testing to Maximize Well Productivity. In SPE Annual Technical Conference and Exhibition, San Antonio, TX, USA, 8–10 October 2012; SPE: Richardson, TX, USA, 2012; p. SPE-159920-MS. [Google Scholar] [CrossRef]
- Roostapour, A.; Yildiz, T. Post-Perforation Flow Models for API Recommended Practices 19B. In SPE Production Operations Symposium, Oklahoma City, OK, USA, 16–19 April 2005; SPE: Richardson, TX, USA, 2005; p. SPE-94245-MS. [Google Scholar] [CrossRef]
- Damjanac, B.; Maxwell, S.; Pirayehgar, A.; Torres, M. Numerical Study of Stress Shadowing Effect on Fracture Initiation and Interaction Between Perforation Clusters. In Proceedings of the 6th Unconventional Resources Technology Conference, Houston, TX, USA, 23–25 July 2018; American Association of Petroleum Geologists: Tulsa, OK, USA, 2018. [Google Scholar] [CrossRef]
- Haggerty, D.; McGregor, J.; Barker, J.; Manning, D.; DeHart, R. Penetration Performance of a Shaped Charge Perforator in Sandstone and Limestone Targets at Extreme Pore Pressures and Constant Effective Stress. In International Petroleum Technology Conference, Bangkok, Thailand, 14–16 November 2016; SPE: Richardson, TX, USA, 2016; p. D011S017R003. [Google Scholar] [CrossRef]
- Deng, Q.; Zhang, H.; Li, J.; Hou, X.; Wang, H. Analysis of Impact Load on Tubing and Shock Absorption during Perforating. Open Phys. 2019, 17, 214–221. [Google Scholar] [CrossRef]
- Haggerty, D.; Craddock, G.; McGregor, J. Investigating the Impact of Dynamic Effective Stress While Perforating Low-Strength Formations. In SPE/IADC Middle East Drilling Technology Conference and Exhibition, Abu Dhabi, UAE, 29–31 January 2018; SPE: Richardson, TX, USA, 2018; p. D021S005R002. [Google Scholar] [CrossRef]
- Fleming, N.; Karunakaran, M.; Hireche, S. Qualification and Implementation of Oil-Based Mud as a Cost-Effective and Low-Damaging Perforation Fluid for High-Pressure/High-Temperature Fields: Gudrun Case History. SPE Prod. Oper. 2019, 34, 429–445. [Google Scholar] [CrossRef]
- Karacan, C.O.; Grader, A.S.; Halleck, P.M. Effect of Pore Fluid Type on Perforation Damage and Flow Characteristics. In SPE Production and Operations Symposium, Oklahoma City, OK, USA, 24–27 March 2001; SPE: Richardson, TX, USA, 2001; p. SPE-67290-MS. [Google Scholar] [CrossRef]
- A’akif Fadzil, N.A.; Sapian, N.F.A.; Tusimin, F.; Latief Riyanto, L.R.; M Zaki, S.; Abu Bakar, A.M.; Sadan, N.S.; Bakar, M.F.; Adhi Naharindhra, A.N.; Misron, M.A.P.; et al. Maximizing Injection Performance Through Fit-for-Purpose Dynamic Underbalance Perforation Using Unconventional Gun System in Offshore Well, Sarawak, Malaysia. In IADC/SPE Asia Pacific Drilling Technology Conference, Virtual, 8–9 June 2021; SPE: Richardson, TX, USA, 2021; p. D011S003R001. [Google Scholar] [CrossRef]
- Haggerty, D.; McGregor, J.; Akhmadikin, V. Configuring Dynamic Underbalance to Achieve Perforation Tunnel Cleanup in a Gas Well at High Static Overbalance. In Abu Dhabi International Petroleum Exhibition & Conference, Abu Dhabi, UAE, 13–16 November 2017; SPE: Richardson, TX, USA, 2017; p. D031S094R005. [Google Scholar] [CrossRef]
- Grove, B.; Harvey, J.; Zhan, L.; Atwood, D. An Improved Technique for Interpreting Perforating-Flow-Laboratory Results: Honoring Observed Cleanup Mechanisms. SPE Drill. Complet. 2012, 27, 233–240. [Google Scholar] [CrossRef]
- Grove, B.; MacGillivray, J.; Lavery, J. Development of New Family of Perforating Charges for Stressed Rock Following a New Industry Standard. In International Petroleum Technology Conference, Dhahran, Saudi Arabia, 12 February 2024; SPE: Richardson, TX, USA, 2024; p. IPTC-23419-EA. [Google Scholar] [CrossRef]
- Bale, D.; Ji, M.; Satti, R.; Gilliat, J. Advances in Numerical Modeling of Downhole Dynamics for Perforated Well Completions. In SPE Annual Caspian Technical Conference and Exhibition, Astana, Kazakhstan, 12–14 November 2014; SPE: Richardson, TX, USA, 2014; p. SPE-172308-MS. [Google Scholar] [CrossRef]
- Anand, S.; Borhan, N.; Madon, B.; Khairuddin, M.; Bakar, H.B.; Hui, N.F.K.; Merang, M.; Nasron, B.; Awang @ Mohamed, Z.; Ibrahim, H.; et al. Evaluating Perforation Charge Performance—An Industry First Comprehensive Perforation Testing Program to Enhance Well Performance Completed Across Multiple Tubulars. In SPE/ICoTA Symposium and Exhibition—Well Intervention, Kuala Lumpur, Malaysia, 2–3 December 2025; SPE: Richardson, TX, USA, 2025; p. D011S005R001. [Google Scholar] [CrossRef]
- Alquraini, A.H.; Al Sadah, H.H.; AlBori, M.M.; Al-Kadem, M.S. The Utilization of Machine Learning and Deep Learning to Predict Real-Time ESP Well Status. In SPE Artificial Lift Conference and Exhibition—Americas, The Woodlands, Texas, USA, 20–22 August 2024; SPE: Richardson, TX, USA, 2024. [Google Scholar] [CrossRef]
- Thabet, S.; Elhadidy, A.; Elshielh, M.; Taman, A.; Helmy, A.; Elnaggar, H.; Yehia, T. Machine Learning Models to Predict Total Skin Factor in Perforated Wells. In SPE Western Regional Meeting, Palo Alto, CA, USA, 16–18 April 2024; SPE: Richardson, TX, USA, 2024; p. D011S004R007. [Google Scholar] [CrossRef]
- Mal, A.; Ødegård, S.I.; Helgeland, S.; Zulkhifly Sinaga, S.; Svendsen, M. Prediction of Stuck Pipe Incidents Using Models Powered by Deep Learning and Machine Learning. In IADC/SPE International Drilling Conference and Exhibition, Galveston, TX, USA, 8–10 March 2022; SPE: Richardson, TX, USA, 2022; p. D022S005R002. [Google Scholar] [CrossRef]
- Zhang, K.; Zhang, H.; Nie, J.; Deng, Q.; Jiang, J.; He, H. Research on a Model for Predicting Perforating Shock Loads by Numerical Simulation in Oil and Gas Wells. Processes 2025, 13, 2556. [Google Scholar] [CrossRef]
- Thabet, S.A.; Elhadidy, A.A.; Heikal, M.; Taman, A.; Yehia, T.A.; Elnaggar, H.; Mahmoud, O.; Helmy, A. Next-Gen Proppant Cleanout Operations: Machine Learning for Bottom-Hole Pressure Prediction. In Mediterranean Offshore Conference, Alexandria, Egypt, 20–22 October 2024; SPE: Richardson, TX, USA, 2024; p. D021S012R008. [Google Scholar] [CrossRef]
- Mohamed, B.A.; Aliyev, S.; Ibrahim, A.F.; Al-Shafloot, T. Real-Time Forecasting of Subsurface Porosity During Drilling Using Advanced Time Series Models. In Abu Dhabi International Petroleum Exhibition and Conference (ADIPEC), Abu Dhabi, UAE, 4–7 November 2024; SPE: Richardson, TX, USA, 2024; p. D041S140R004. [Google Scholar] [CrossRef]
- Thabet, S.A.; El-Hadydy, A.A.; Gabry, M.A. Machine Learning Models to Predict Pressure at a Coiled Tubing Nozzle’s Outlet During Nitrogen Lifting. In SPE/ICoTA Well Intervention Conference and Exhibition, The Woodlands, TX, USA, 19–20 March 2024; SPE: Richardson, TX, USA, 2024; p. D021S013R003. [Google Scholar] [CrossRef]
- Nguyen, S.; Gabry, M.A.; Soliman, M.Y.; Myers, M.; Ayman, A. Advanced Prediction of Sand Production Onset Using Data Analysis and Machine Learning Techniques: Insights from Adriatic Sea Gas Wells. In Mediterranean Offshore Conference, Alexandria, Egypt, 20–22 October 2024; SPE: Richardson, TX, USA, 2024; p. D021S023R001. [Google Scholar] [CrossRef]
- Viggen, E.M.; Grønsberg, S.; Brekke, S.; Hicks, B.; Wifstad, S.V. Improving Pipe Perforation Estimates from Ultrasonic Imaging Using Subpixel Machine Learning Trained on Optical Data. Geoenergy Sci. Eng. 2025, 246, 213541. [Google Scholar] [CrossRef]
- Nashed, S.; Moghanloo, R. Replacing Gauges with Algorithms: Predicting Bottomhole Pressure in Hydraulic Fracturing Using Advanced Machine Learning. Eng 2025, 6, 73. [Google Scholar] [CrossRef]
- Shojaei, P.; Trabia, M.; O’Toole, B.; Jennings, R. Predicting the Projectile Velocity of a Two-Stage Gas Gun Using Machine Learning. In ASME 2022 Pressure Vessels & Piping Conference, Volume 3: Fluid-Structure Interaction; High Pressure Technology, Las Vegas, NV, USA, 17–22 July 2022; American Society of Mechanical Engineers: New York, NY, USA, 2022; p. V003T05A014. [Google Scholar] [CrossRef]
- Nashed, S.; Moghanloo, R. Benchmarking ML Algorithms Against Traditional Correlations for Dynamic Monitoring of Bottomhole Pressure in Nitrogen-Lifted Wells. Processes 2025, 13, 2820. [Google Scholar] [CrossRef]
- Abdelaziem, O.E.; Khafagy, A.N.; Yehia, T.A. Innovative Approach of Generative AI for Automating Technical Bid Evaluations in Oil Companies. In Mediterranean Offshore Conference, Alexandria, Egypt, 20–22 October 2024; SPE: Richardson, TX, USA, 2024; p. D021S012R003. [Google Scholar] [CrossRef]
- Yehia, T.; Wahba, A.; Mostafa, S.; Mahmoud, O. Suitability of Different Machine Learning Outlier Detection Algorithms to Improve Shale Gas Production Data for Effective Decline Curve Analysis. Energies 2022, 15, 8835. [Google Scholar] [CrossRef]
- Gharieb, A.; Zidan, H.; Darraj, N. Advancing Recovery: A Data-Driven Approach to Enhancing Artificial Lift Pumps Longevity and Fault Detection in Oil Reservoirs Using Deep Learning, Computer Vision, and Dynamometer Analysis. In SPE Conference at Oman Petroleum & Energy Show, Muscat, Oman, 12–14 May 2025; SPE: Richardson, TX, USA, 2025; p. D011S007R005. [Google Scholar] [CrossRef]
- Thabet, S.A.; Zidan, H.A.; Elhadidy, A.A.; Helmy, A.G.; Yehia, T.A.; Elnaggar, H.; Elshiekh, M. Application of Machine Learning and Deep Learning to Predict Production Rate of Sucker Rod Pump Wells. In Gas and Oil Technology Showcase and Conference (GOTECH), Dubai, UAE, 7–9 May 2024; SPE: Richardson, TX, USA, 2024; p. D021S035R001. [Google Scholar] [CrossRef]
- Gharieb, A.; Elshaafie, A.; Gabry, M.A.; Algarhy, A.; Elsawy, M.; Darraj, N. Exploring an Alternative Approach for Predicting Relative Permeability Curves from Production Data: A Comparative Analysis Employing Machine and Deep Learning Techniques. In Offshore Technology Conference, Houston, TX, USA, 6–9 May 2024; SPE: Richardson, TX, USA, 2024; p. D041S054R003. [Google Scholar] [CrossRef]
- Roberts, G.; Saha, S.; Moreno, S.; Viggen, E.M.; Tymons, T. AI Enhanced Multi-Physics Imaging for Perforation Erosion Analysis: A Quantum Shift in the Accuracy and Efficiency of Unconventional Well Optimization. In SPE Hydraulic Fracturing Technology Conference and Exhibition, The Woodlands, TX, USA, 4–6 February 2025; SPE: Richardson, TX, USA, 2025; p. D031S009R003. [Google Scholar] [CrossRef]
- Brooks, J.E.; Haggerty, D. Laboratory Simulation of Flow through a Perforation. In SPE European Formation Damage Conference, Noordwijk, The Netherlands, 7–10 June 2011; SPE: Richardson, TX, USA, 2011; p. SPE-144187-MS. [Google Scholar] [CrossRef]
- Nashed, S.; Moghanloo, R. Hybrid Symbolic Regression and Machine Learning Approaches for Modeling Gas Lift Well Performance. Fluids 2025, 10, 161. [Google Scholar] [CrossRef]
- Noufal, A.; Sreekantan, J.; Belmeskine, R.; Amri, M.; Benaichouche, A. Machine Learning in Computer Vision Software for Geomechanics Modeling. In Abu Dhabi International Petroleum Exhibition & Conference, Abu Dhabi, UAE, 15–18 November 2021; SPE: Richardson, TX, USA, 2021; p. D042S285R001. [Google Scholar] [CrossRef]
- Tejo, S.; Amega, Y.; Dedy, I. Prediction of Perforation Efficiency in Gas Well Using Machine Learning. In SPE/IATMI Asia Pacific Oil & Gas Conference and Exhibition, Virtual, 12–14 October 2021; SPE: Richardson, TX, USA, 2021; p. D012S032R098. [Google Scholar] [CrossRef]














| Parameter | Unit | MIN | MAX | Average | Median |
|---|---|---|---|---|---|
| Gun Diameter | inches | 1.375 | 7 | 3.7 | 3.375 |
| Shot Phasing | degrees | 0 | 180 | 59.7 | 60 |
| Perforation Length | inches | 2.3 | 62.8 | 21.5 | 20.9 |
| Temperature Rating | degree F | 210 | 600 | 378 | 400 |
| Explosive Weight | g | 1.8 | 66.4 | 22.2 | 22.7 |
| Cement Compressive Strength | psi | 4985 | 10,905 | 6409 | 6333 |
| Casing Outer Diameter | inches | 2.375 | 10.375 | 5.6 | 5 |
| Casing Nominal Weight | lb/ft | 4.6 | 88 | 20.9 | 17 |
| Casing Yield Strength | psi | 80,000 | 110,000 | 80,182 | 80,000 |
| Model | Hyperparameter Search Space | Selected Hyperparameters | MSE | RMSE | MAE | R2 |
|---|---|---|---|---|---|---|
| XGBoost | Number of estimators: 50–300; learning rate: 0.01–0.30; maximum tree depth: 3–10; subsampling ratio: 0.60–1.00; regularization parameters (α, λ): 0–10 | Number of estimators = 220; learning rate = 0.121; maximum depth = 6; subsample = 0.956; column subsample = 0.951; L1 regularization (α) = 0.300; L2 regularization (λ) = 0.628 | 10.080 | 3.175 | 1.658 | 0.939 |
| Gradient Boosting | Number of estimators: 50–300; learning rate: 0.01–0.30; maximum tree depth: 3–10; subsampling ratio: 0.60–1.00 | Number of estimators = 258; learning rate = 0.038; maximum depth = 10; minimum samples split = 14; subsample = 0.692 | 10.081 | 3.176 | 1.705 | 0.939 |
| kNN Regression | Number of neighbors: 5–25; distance weighting scheme: uniform, distance; Minkowski distance parameter (p): 1–2 | Number of neighbors = 18; distance weighting = distance-based; p = 1 | 16.980 | 4.121 | 1.762 | 0.898 |
| Random Forest | Number of estimators: 50–300; maximum tree depth: 3–20; minimum samples split: 5–30 | Number of estimators = 233; maximum depth = 14; minimum samples split = 5; minimum samples per leaf = 2 | 29.804 | 5.459 | 3.959 | 0.821 |
| MLP Regressor | Hidden layer architectures: (50), (100), (50, 50), (100, 50); regularization parameter (α): 10−4–10−1; learning rate: 10−4–10−2 | Hidden layers = (100, 50); regularization parameter (α) = 0.085; initial learning rate = 0.0085 | 68.617 | 8.284 | 6.365 | 0.587 |
| SVR | Regularization parameter (C): 0.1–100; epsilon: 0.01–1.0; kernel functions: RBF, linear, polynomial | C = 93.79; ε = 0.279; kernel = RBF; γ = scale | 65.767 | 8.110 | 5.833 | 0.604 |
| AdaBoost | Number of estimators: 50–300; learning rate: 0.01–1.0 | Number of estimators = 139; learning rate = 0.179 | 87.555 | 9.357 | 7.982 | 0.473 |
| LASSO Regression | Regularization parameter (α): 0.001–10 | α = 0.078 | 103.898 | 10.193 | 8.500 | 0.375 |
| Elastic Net | Regularization parameter (α): 0.001–10; L1 ratio: 0–1 | α = 0.0040; L1 ratio = 0.086 | 103.567 | 10.177 | 8.477 | 0.377 |
| PLS Regression | Number of latent components: 1–8 | Number of components = 7 | 103.506 | 10.174 | 8.467 | 0.377 |
| Parameter | Unit | MIN | MAX | Average | Median |
|---|---|---|---|---|---|
| Gun Diameter | inches | 1.37 | 7 | 3.68 | 3.37 |
| Shot Phasing | degrees | 0 | 180 | 61 | 60 |
| Perforation Length | inches | 3.1 | 58 | 21.3 | 20.2 |
| Temperature Rating | degree F | 275 | 600 | 375 | 400 |
| Explosive Weight | g | 1.8 | 61 | 22.3 | 22.7 |
| Cement Compressive Strength | psi | 4985 | 10,905 | 6337 | 6309 |
| Casing Outer Diameter | inches | 2.375 | 10.375 | 5.704 | 5.5 |
| Casing Nominal Weight | lb/ft | 4.6 | 87.9 | 21.1 | 17 |
| Casing Yield Strength | psi | 80,000 | 110,000 | 80,181 | 80,000 |
| Model | MSE | RMSE | MAE | R2 |
|---|---|---|---|---|
| XGBoost | 7.329 | 2.707 | 1.348 | 0.956 |
Disclaimer/Publisher’s Note: The statements, opinions and data contained in all publications are solely those of the individual author(s) and contributor(s) and not of MDPI and/or the editor(s). MDPI and/or the editor(s) disclaim responsibility for any injury to people or property resulting from any ideas, methods, instructions or products referred to in the content. |
© 2026 by the authors. Licensee MDPI, Basel, Switzerland. This article is an open access article distributed under the terms and conditions of the Creative Commons Attribution (CC BY) license.
Share and Cite
Nashed, S.; Abdullah, M.; Ejehu, O.; Mohamed, B.; Sedki, N.; Moghanloo, R. From Laboratory Measurements to AI-Driven Insights: Predicting Shaped Charge Performance with Advanced Machine Learning. Fluids 2026, 11, 64. https://doi.org/10.3390/fluids11030064
Nashed S, Abdullah M, Ejehu O, Mohamed B, Sedki N, Moghanloo R. From Laboratory Measurements to AI-Driven Insights: Predicting Shaped Charge Performance with Advanced Machine Learning. Fluids. 2026; 11(3):64. https://doi.org/10.3390/fluids11030064
Chicago/Turabian StyleNashed, Samuel, Muhammad Abdullah, Oluchi Ejehu, Badr Mohamed, Norhan Sedki, and Rouzbeh Moghanloo. 2026. "From Laboratory Measurements to AI-Driven Insights: Predicting Shaped Charge Performance with Advanced Machine Learning" Fluids 11, no. 3: 64. https://doi.org/10.3390/fluids11030064
APA StyleNashed, S., Abdullah, M., Ejehu, O., Mohamed, B., Sedki, N., & Moghanloo, R. (2026). From Laboratory Measurements to AI-Driven Insights: Predicting Shaped Charge Performance with Advanced Machine Learning. Fluids, 11(3), 64. https://doi.org/10.3390/fluids11030064

