On the Relaxation Technique Applied to Linearly Implicit Rosenbrock Schemes for a Fully-Discrete Entropy Conserving/Stable dG Method
Abstract
1. Introduction
2. Governing Equations
3. Numerical Framework
3.1. The Discontinuous Galerkin Method
3.2. Quadrature Rules and the Over-Integration Technique
3.3. The Rosenbrock-Type Schemes
3.4. Relaxation Technique
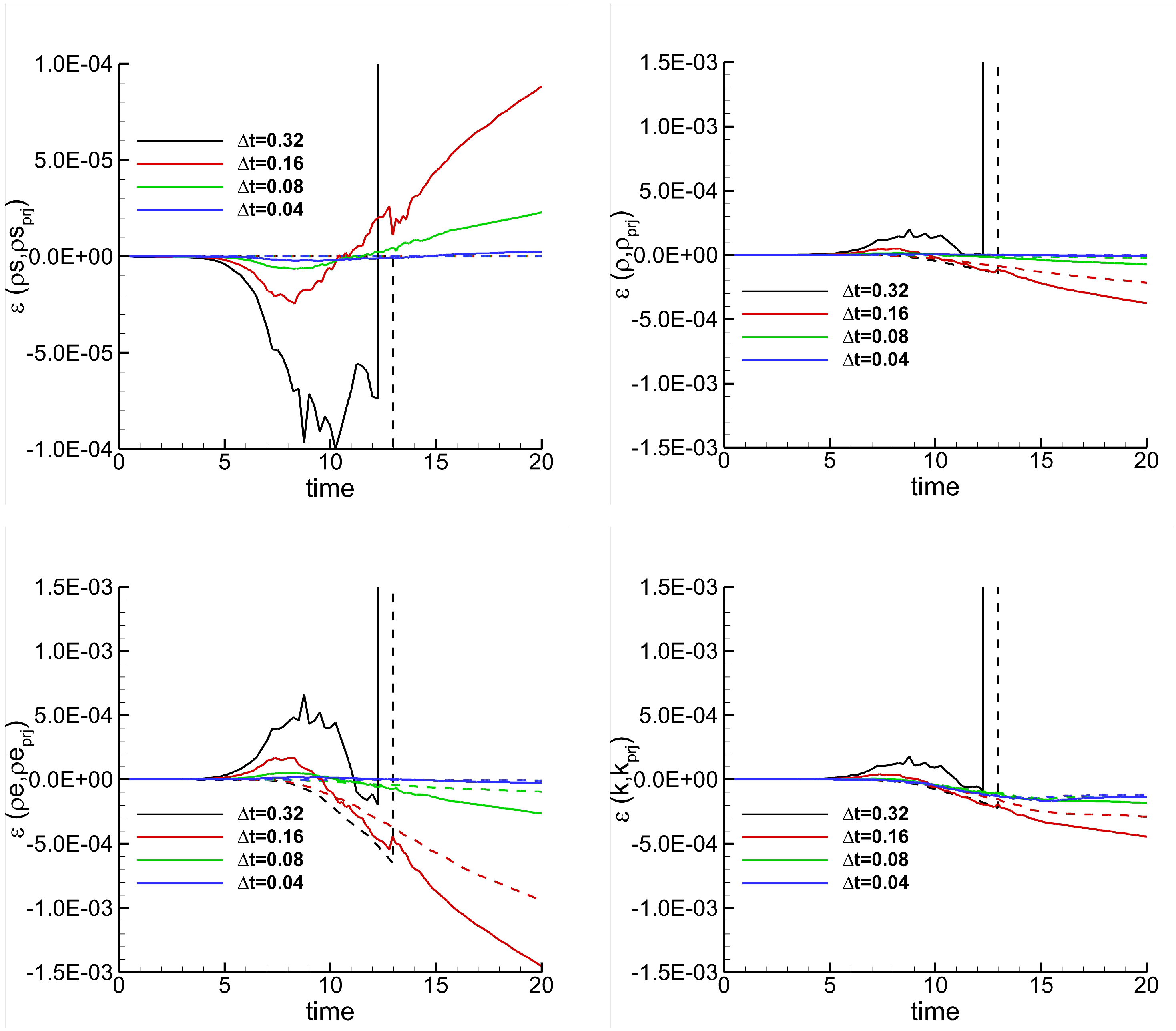
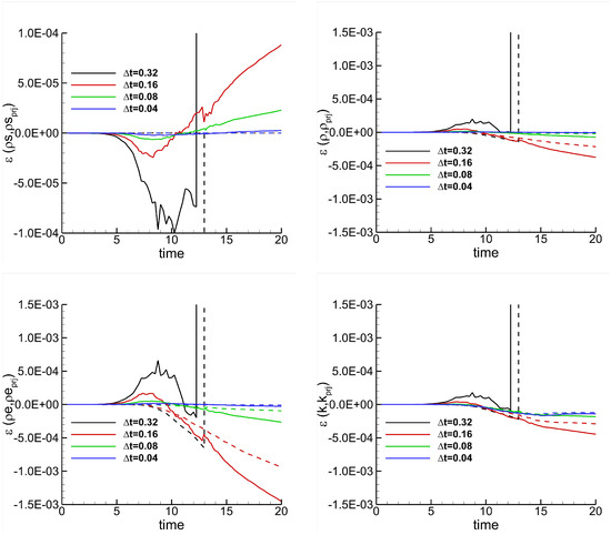
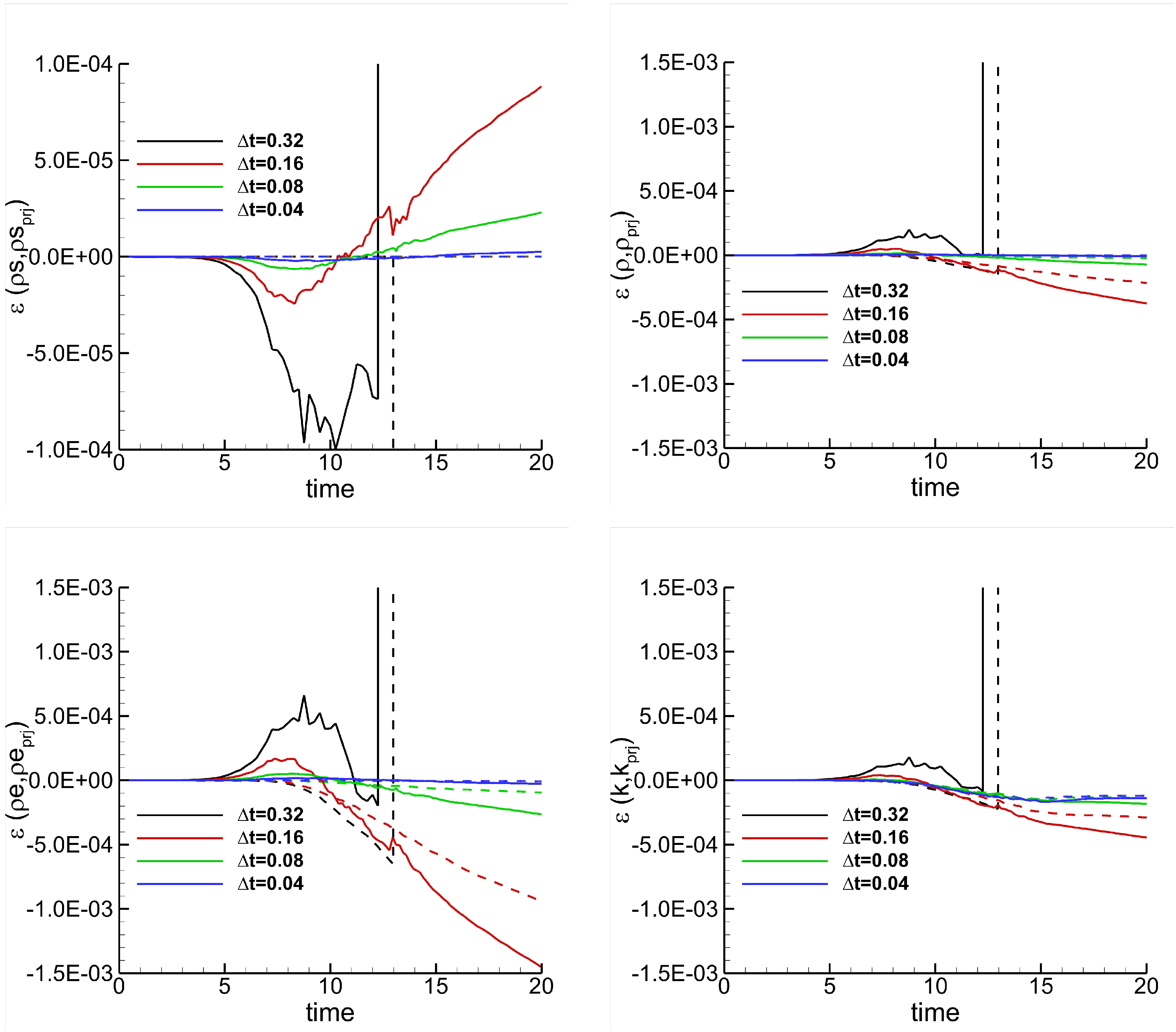
4. Numerical Results
4.1. The Inviscid Vortex
4.2. The Kelvin-Helmholtz Instability
4.3. The Inviscid Taylor-Green Vortex
5. Conclusions
Author Contributions
Funding
Institutional Review Board Statement
Informed Consent Statement
Data Availability Statement
Acknowledgments
Conflicts of Interest
References
- Gear, C. Invariants and numerical methods for ODEs. Phys. Nonlinear Phenom. 1992, 60, 303–310. [Google Scholar] [CrossRef]
- Arakawa, A. Computational design for long-term numerical integration of the equations of fluid motion: Two-dimensional incompressible flow. Part I. J. Comput. Phys. 1966, 1, 119–143. [Google Scholar] [CrossRef]
- de Frutos, J.; Sanz-Serna, J.M. Accuracy and conservation properties in numerical integration: The case of the Korteweg-de Vries equation. Numer. Math. 1997, 75, 421–445. [Google Scholar] [CrossRef]
- Durán, A.; Sanz-Serna, J.M. The numerical integration of relative equilibrium solutions. Geometric theory. Nonlinearity 1998, 11, 1547. [Google Scholar] [CrossRef]
- Pazner, W.; Persson, P.O. Analysis and entropy stability of the line–based discontinuous Galerkin method. J. Sci. Comput. 2019, 80, 376–402. [Google Scholar] [CrossRef]
- Colombo, A.; Crivellini, A.; Nigro, A. On the entropy conserving/stable implicit DG discretization of the Euler equations in entropy variables. Comput. Fluids 2022, 232, 105198. [Google Scholar] [CrossRef]
- Hughes, T.J.; Franca, L.P.; Mallet, M. A new finite element formulation for computational fluid dynamics: I. Symmetric forms of the compressible Euler and Navier–Stokes equations and the second law of thermodynamics. Comput. Methods Appl. Mech. Eng. 1986, 54, 223–234. [Google Scholar] [CrossRef]
- Ismail, F.; Roe, P.L. Affordable, entropy–consistent Euler flux functions II: Entropy production at shocks. J. Comput. Phys. 2009, 228, 5410–5436. [Google Scholar] [CrossRef]
- Chandrashekar, P. Kinetic Energy Preserving and Entropy Stable Finite Volume Schemes for Compressible Euler and Navier-Stokes Equations. Commun. Comput. Phys. 2013, 14, 1252–1286. [Google Scholar] [CrossRef]
- Gottlieb, J.; Groth, C.P. Assessment of Riemann solvers for unsteady one–dimensional inviscid flows of perfect gases. J. Comput. Phys. 1988, 78, 437–458. [Google Scholar] [CrossRef]
- Colombo, A.; Crivellini, A.; Nigro, A. Entropy conserving implicit time integration in a Discontinuous Galerkin solver in entropy variables. J. Comput. Phys. 2023, 472, 111683. [Google Scholar] [CrossRef]
- Ketcheson, D.I. Relaxation Runge-Kutta methods: Conservation and stability for inner-product norms. SIAM J. Numer. Anal. 2019, 57, 2850–2870. [Google Scholar] [CrossRef]
- Ranocha, H.; Sayyari, M.; Dalcin, L.; Parsani, M.; Ketcheson, D.I. Relaxation Runge–Kutta Methods: Fully Discrete Explicit Entropy-Stable Schemes for the Compressible Euler and Navier–Stokes Equations. SIAM J. Sci. Comput. 2020, 42, A612–A638. [Google Scholar] [CrossRef]
- Ranocha, H.; Lóczi, L.; Ketcheson, D. General relaxation methods for initial-value problems with application to multistep schemes. Numer. Math. 2020, 146, 875–906. [Google Scholar] [CrossRef]
- Abgrall, R.; Le Mélédo, E.; Öffner, P.; Torlo, D. Relaxation Deferred Correction Methods and their Applications to Residual Distribution Schemes. SMAI J. Comput. Math. 2022, 8, 125–160. [Google Scholar] [CrossRef]
- Kang, S.; Constantinescu, E. Entropy–Preserving and Entropy–Stable Relaxation IMEX and Multirate Time–Stepping Methods. J. Sci. Comput. 2022, 93, 23. [Google Scholar] [CrossRef]
- Pareschi, L.; Russo, G. Implicit–Explicit Runge–Kutta Schemes and Applications to Hyperbolic Systems with Relaxation. J. Sci. Comput. 2005, 25, 129–155. [Google Scholar]
- Linders, V.; Ranocha, H.; Birken, P. Resolving entropy growth from iterative methods. BIT Numer. Math. 2023, 63, 45. [Google Scholar] [CrossRef]
- Ranocha, H.; Ketcheson, D. Relaxation Runge–Kutta Methods for Hamiltonian Problems. J. Sci. Comput. 2020, 84, 17. [Google Scholar] [CrossRef]
- Ranocha, H.; Dalcin, L.; Parsani, M. Fully discrete explicit locally entropy-stable schemes for the compressible Euler and Navier–Stokes equations. Comput. Math. Appl. 2020, 80, 1343–1359. [Google Scholar] [CrossRef]
- Biswas, A.; Ketcheson, D. Multiple-Relaxation Runge Kutta Methods for Conservative Dynamical Systems. J. Sci. Comput. 2023, 97, 4. [Google Scholar] [CrossRef]
- Bassi, F.; Botti, L.; Colombo, A.; Ghidoni, A.; Massa, F. Linearly implicit Rosenbrock-type Runge-Kutta schemes applied to the Discontinuous Galerkin solution of compressible and incompressible unsteady flows. Comput. Fluids 2015, 118, 305–320. [Google Scholar] [CrossRef]
- Chen, T.; Shu, C.W. Entropy stable high order discontinuous Galerkin methods with suitable quadrature rules for hyperbolic conservation laws. J. Comput. Phys. 2017, 345, 427–461. [Google Scholar] [CrossRef]
- Baker, A.J.; Iannelli, G.S. A stiffly-stable implicit Runge-Kutta algorithm for CFD applications. AIAA Paper 1988, 88, 416. [Google Scholar]
- Lang, J.; Verwer, J. ROS3P-An accurate third-order Rosenbrock solver designed for parabolic problems. BIT Numer. Math. 2001, 41, 731–738. [Google Scholar] [CrossRef]
- Hairer, E.; Wanner, G. Solving Ordinary Differential Equations II: Stiff and Differential-Algebraic Problems, 2nd ed.; Springer Series in Computational Mathematics; Springer: Berlin/Heidelberg, Germany, 1996; Volume 14. [Google Scholar]
- PETSc Web Page. Available online: https://petsc.org (accessed on 25 November 2025).
- Hairer, E.; Nørsett, S.P.; Wanner, G. Solving Ordinary Differential Equations I: Nonstiff Problems, 2nd Revised. ed.; Springer: Berlin/Heidelberg, Germany, 1993. [Google Scholar]
- Yee, H.C.; Sandham, N.D.; Djomehri, M.J. Low–dissipative high–order shock–capturing methods using characteristic–based filters. J. Comput. Phys. 1999, 150, 199–238. [Google Scholar] [CrossRef]
- Hu, C.; Shu, C.W. Weighted essentially non–oscillatory schemes on triangular meshes. J. Comput. Phys. 1999, 150, 97–127. [Google Scholar] [CrossRef]
- Nigro, A.; De Bartolo, C.; Bassi, F.; Ghidoni, A. Up to sixth-order accurate A-stable implicit schemes applied to the Discontinuous Galerkin discretized Navier–Stokes equations. J. Comput. Phys. 2014, 276, 136–162. [Google Scholar] [CrossRef]
- Spiegel, S.C.; Huynh, H.T.; DeBonis, J.R. A Survey of the Isentropic Euler Vortex Problem Using High-Order Methods. In Proceedings of the 22nd AIAA Computational Fluid Dynamics Conference, Dallas, TX, USA, 22–26 June 2015; pp. 1–21. [Google Scholar]
- Rueda-Ramírez, A.M.; Pazner, W.; Gassner, G.J. Subcell limiting strategies for Discontinuous Galerkin spectral element methods. Comput. Fluids 2022, 247, 105627. [Google Scholar] [CrossRef]
- Chan, J.; Ranocha, H.; Rueda-Ramírez, A.M.; Gassner, G.; Warburton, T. On the entropy projection and the robustness of high order entropy stable discontinuous Galerkin schemes for under–resolved flows. Front. Phys. 2022, 10, 898028. [Google Scholar] [CrossRef]
- Alberti, L.; Carnevali, E.; Colombo, A.; Crivellini, A. An entropy conserving/stable discontinuous Galerkin solver in entropy variables based on the direct enforcement of entropy balance. J. Comput. Phys. 2024, 508, 113007. [Google Scholar] [CrossRef]
- Schroeder, P.W.; John, V.; Lederer, P.L.; Lehrenfeld, C.; Lube, G.; Schöberl, J. On reference solutions and the sensitivity of the 2D Kelvin–Helmholtz instability problem. Comput. Math. Appl. 2019, 77, 1010–1028. [Google Scholar] [CrossRef]
- Brachet, M.E.; Meiron, D.; Orszag, S.; Nickel, B.; Morf, R.; Frisch, U. The Taylor-Green vortex and fully developed turbulence. J. Stat. Phys. 1984, 34, 1049–1063. [Google Scholar] [CrossRef]
- Shu, C.W.; Don, W.S.; Gottlieb, D.; Schilling, O.; Jameson, L. Numerical Convergence Study of Nearly Incompressible, Inviscid Taylor–Green Vortex Flow. J. Sci. Comput. 2005, 24, 1–27. [Google Scholar] [CrossRef]









| ES | EC | |
|---|---|---|
| ROS33 | ROS22 | ||||
|---|---|---|---|---|---|
| Relaxed | Baseline | Relaxed | Baseline | ||
| 25 | 25 | 25 | 25 | ||
| 25 | 25 | 25 | 25 | ||
| 25 | 25 | 25 | 25 | ||
| 25 | 25 | 25 | 25 | ||
| 3.2 | 3.6 | 4.9 | 4.4 | ||
| 4.9 | 6.0 | 25 | 5.8 | ||
| 5.8 | 25 | 25 | 25 | ||
| 25 | 25 | 25 | 25 | ||
| 25 | 25 | 25 | 25 | ||
| 2.3 | 3.0 | 2.6 | 2.9 | ||
| 3.4 | 3.5 | 3.5 | 3.8 | ||
| 4.6 | 4.6 | 4.7 | 4.7 | ||
| 25 | 4.8 | 25 | 4.8 | ||
| 4.8 | 25 | 25 | 25 | ||
| 25 | 25 | 25 | 25 | ||
| ROS33 | ROS22 | ||||
|---|---|---|---|---|---|
| Relaxed | Baseline | Relaxed | Baseline | ||
| 5.1 | 5.5 | 5.9 | 3.6 | ||
| 25 | 25 | 25 | 5.9 | ||
| 25 | 25 | 25 | 25 | ||
| 25 | 25 | 25 | 25 | ||
| 2.4 | 3.0 | 2.3 | 2.8 | ||
| 4.1 | 3.8 | 3.7 | 3.2 | ||
| 4.4 | 4.4 | 4.6 | 4.9 | ||
| 25 | 6.0 | 25 | 25 | ||
| 25 | 25 | 25 | 25 | ||
| 2.4 | 2.5 | 2.6 | 2.5 | ||
| 2.7 | 2.9 | 2.7 | 2.7 | ||
| 3.6 | 3.7 | 3.6 | 3.6 | ||
| 4.0 | 4.0 | 4.1 | 4.1 | ||
| ROS33 | ROS22 | ||||
|---|---|---|---|---|---|
| Relaxed | Baseline | Relaxed | Baseline | ||
| 2.5 | 2.9 | 2.6 | 2.7 | ||
| 3.5 | 3.6 | 3.5 | 3.7 | ||
| 4.7 | 5.1 | 4.7 | 4.7 | ||
| 25 | 25 | 25 | 25 | ||
| 25 | 25 | 25 | 25 | ||
| 25 | 25 | 25 | 25 | ||
| Baseline | ROS22 | × | × | × | × | |
| ROS33 | × | × | × | × | ||
| Relaxed | ROS22 | × | × | × | × | |
| ROS33 | × | × | × | × | ||
Disclaimer/Publisher’s Note: The statements, opinions and data contained in all publications are solely those of the individual author(s) and contributor(s) and not of MDPI and/or the editor(s). MDPI and/or the editor(s) disclaim responsibility for any injury to people or property resulting from any ideas, methods, instructions or products referred to in the content. |
© 2025 by the authors. Licensee MDPI, Basel, Switzerland. This article is an open access article distributed under the terms and conditions of the Creative Commons Attribution (CC BY) license (https://creativecommons.org/licenses/by/4.0/).
Share and Cite
Nigro, A.; Cammalleri, E. On the Relaxation Technique Applied to Linearly Implicit Rosenbrock Schemes for a Fully-Discrete Entropy Conserving/Stable dG Method. Fluids 2025, 10, 317. https://doi.org/10.3390/fluids10120317
Nigro A, Cammalleri E. On the Relaxation Technique Applied to Linearly Implicit Rosenbrock Schemes for a Fully-Discrete Entropy Conserving/Stable dG Method. Fluids. 2025; 10(12):317. https://doi.org/10.3390/fluids10120317
Chicago/Turabian StyleNigro, Alessandra, and Emanuele Cammalleri. 2025. "On the Relaxation Technique Applied to Linearly Implicit Rosenbrock Schemes for a Fully-Discrete Entropy Conserving/Stable dG Method" Fluids 10, no. 12: 317. https://doi.org/10.3390/fluids10120317
APA StyleNigro, A., & Cammalleri, E. (2025). On the Relaxation Technique Applied to Linearly Implicit Rosenbrock Schemes for a Fully-Discrete Entropy Conserving/Stable dG Method. Fluids, 10(12), 317. https://doi.org/10.3390/fluids10120317
