Abstract
Gelatin is a costless polypeptide material of natural origin, able to form hydrogels that are potentially useful in biomaterial scaffold design for drug delivery, cell cultures, and tissue engineering. However, gelatin hydrogels are unstable at physiological conditions, losing their features only after a few minutes at 37 °C. Accordingly, treatments to address this issue are of great interest. In the present work, we propose for the first time the use of bi- and trifunctional tetrazoles, most of them unknown to date, for photoinduced gelatin cross-linking towards the production of physiologically stable hydrogels. Indeed, after UV-B irradiation, aryl tetrazoles generate a nitrilimine intermediate that is reactive towards different functionalities, some of them constitutively present in the amino acid side chains of gelatin. The efficacy of the treatment strictly depends on the structure of the cross-linking agent used, and substantial improved stability was observed by switching from bifunctional to trifunctional cross-linkers.
Keywords:
gelatin; hydrogel; photochemistry; tetrazoles; nitrilimine; chemical cross-linking; natural polymers 1. Introduction
Proteins are valuable polymers, serving as biomaterials in applications that revolutionized regenerative medicine, tissue regeneration [1,2], and drug delivery [3] in recent decades. Proteins derived from extracellular matrices (ECM, i.e., collagen, fibronectin, laminin [4,5]) offer several advantages over non-natural materials, since they support cell growth and tissue regeneration, reduce undesired side effects, and are biodegradable and biocompatible. However, the main limiting factor to their use is their availability, which impacts costs, and effective substitutes for ECM proteins are thus highly desirable. In this framework, gelatin is a widespread natural polymer used for the design of innovative biomaterials as an ECM protein substitute [6] and as a drug delivery vehicle [7], already used in well-established applications in the pharmaceutical, cosmetic, and food industries [8]. Gelatin is obtained from collagen by chemical or enzymatic hydrolysis, or heat denaturation, and subsequently manufactured with different advanced techniques such as electrospinning, 3D-printing, solvent casting, rapid prototyping, and bioprinting in different scaffolds with the desired morphology, topography, mechanical, and biological properties [9,10]. Gelatin offers the advantage of being readily and widely available, water soluble compared to other ECM proteins, and suitable for cell attachment in regenerative medicine applications. One disadvantage of gelatin in the fabrication of biomaterials is its poor mechanical strength [11,12,13,14,15], which may be improved by cross-linking. Cross-linking can be achieved either by chemical, enzymatic, or physical methods [16,17,18,19]. Chemical cross-linking offers advantages over physical methods, affording stable linkages and reproducibility. To achieve chemical cross-linking, either amino acid side chains [20,21] or additional functional groups [22] suitably grafted to the protein can be employed. Regioselective and bioorthogonal chemistries can be used in order to fine-tune cross-linking and, by extension, the final properties of the biomaterial [23]. Bioorthogonal reactions rely on introduction into the polymers of functional groups different from those found in amino acid side chains, able to chemoselectively react in mild conditions with high yields. Among them, the so-called click chemistry [24,25,26,27], based, for example, on Huisgen-type cycloaddition [28], Staudinger reaction [29,30], Diels–Alder [31,32,33], thiol–ene addition [34,35], and carbonyl/oxime-hydrazone chemistry [36,37], has been proposed over recent years. The main drawback of bioorthogonal reactions arises from the need for a two-step process, involving first the introduction of orthogonal functional groups, either by chemical or enzymatic reactions [38] or protein engineering [39] approaches. On the other hand, reactions based on the direct cross-linking of amino acid side chains may suffer from the release of (toxic) by-products, which are difficult to be eliminate. Several examples of gelatin cross-linking, both by click chemistry [40,41,42,43,44] and direct cross-linking based on intrinsic amino acid reactivity, were proposed. Direct cross-linking can be obtained by homo- or ethero-difunctional cross-linking agents of natural origin, such as citric acid [45], and genipin [46], or non-natural ones, including bisvinyl sulfonemethyl (BVSM) [47], 1,4-butanediol diglycidyl ether (BDDGE) [16], triazolinediones [48], and the widely-used glutaraldehyde [49,50].
Despite great advances in recent years, the search for additional chemistries that can be applied to amino acid side chain reactivity in order to achieve chemoselectivity, a one-step reaction, and no by-products, is still on-going.
Tetrazoles were recently used as photoactivable precursors for the reaction towards biological nucleophiles [51,52,53]. Upon UV irradiation, the tetrazole moiety release a nitrogen molecule to produce a highly reactive nitrilimine intermediate, able to react with a plethora of functional groups (Scheme 1) [54,55,56].
Scheme 1.
Photoinduced nitrilimine generation and reactivity towards functional groups.
Even if it is possible to direct the reactivity of nitrilimines to the desired functionality by varying the reaction conditions [52], complete selectivity is almost unattainable, and unpredictable results were observed with complex biological substrates [53]. This behavior could be detrimental to achieving a site-selective functionalization or bioconjugation. However, it may be ideal as an effective cross-linking strategy to achieve improvements in the macroscopic characteristics of biological materials, such as gelatin. Intrigued by this possibility and exploiting our expertise in the synthesis of heterocyclic compounds [57,58,59,60], we prepared a set of bi- and trifunctional tetrazoles and applied them for the first time in the photoinduced cross-linking of porcine skin gelatin.
2. Results and Discussion
2.1. Synthesis of Cross-Linking Agents
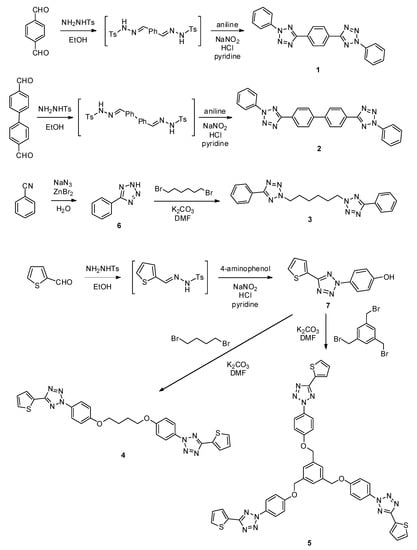
Four homo-bifunctional and one homo-trifunctional tetrazoles were synthesized, four of them unknown to date, to be used in the photoinduced cross-linking of gelatin (Scheme 2).
Scheme 2.
Synthesis of the cross-linking agents 1–5 used in this study.
Cross-linking agent 1 was previously reported [61,62], however for its preparation in this study, a different synthetic strategy was used, involving the treatment of terephthalaldehyde bistosylhydrazone with diazonium aniline salt [63]. By the same methodology, using 4,4′-diformylbiphenyl instead of terephthalaldehyde tetrazole, 2 was easily obtained. The preparation of 3, 4, and 5 involved the synthesis of the tetrazole moiety, then, via alkylation with the suitable di- and tri-bromo derivatives, the desired compound was obtained; i.e., 5-phenyl-2H-tetrazole 6 [64] was treated with 1,6-dibromohexane in the presence of K2CO3 in the case of 3, while 4-(5-(thiophen-2-yl)-2H-tetrazol-2-yl)phenol 7, achieved by treatment of 2-thiophenecarboxyaldehyde tosylhydrazone with the diazonium salt of 4-aminophenol, was reacted with 1,4-dibromobutane and 1,3,5-tris(bromomethyl)benzene in presence of K2CO3 to afford 4 and 5, respectively. Detailed synthetic procedures are reported in the Supplementary Materials.
2.2. PhotoInduced Gelatin Cross-Linking
The amino acid composition of porcine gelatin [65] shows the significant presence of glutamic acid (7.2 mol%) and aspartic acid (4.7 mol%) residues, whose carboxylic acid side chains could be targeted by photoactivated tetrazoles [51,52], as well as traces of hystidine (0.6 mol%), terminals COOH and NH2, and other possible reactive peptide side chain sites among the polypeptide network of gelatin. The perfect solubilization of both gelatin and selected cross-linking agent in the reaction media is desirable, in order to allow the cross-linker to reach the reactive sites and achieve reproducible cross-linking results. Dimethyl sulfoxide (DMSO) was selected as the media for photoinduced cross-linking procedures, as it is able to solubilize both gelatin (up to 12 mg/mL) and cross-linkers 1–5. Thus, a set of experiments at increasing linker:gelatin ratios was planned, i.e., 100 mg of dry gelatin in the presence of 1, 2, 5, and 10 µmol of cross linker (the use of 20 µmol results in a heterogeneous mixture for almost every compound). Before the UV irradiation of gelatin-tetrazole homogeneous DMSO solution, it is important to remove oxygen from the reaction environment, together with a reduction in the UV-C component, in order to avoid UV-related oxidative damage to the polypeptide network [66,67,68]. Therefore, the solutions were bubbled with flowing nitrogen for 15 min before irradiation and maintained under an inert atmosphere during the photoinduced reaction. Standard borosilicate glassware was used, as this material transmit over 90% of UV light with wavelengths greater than 300 nm, while partially filtering the undesirable UV-C [69], and at the same time being reliable in the photoactivation of tetrazoles [55]. No absorption interference was expected from gelatin (as it is totally transparent to wavelengths > 240 nm [70]) or DMSO (as it absorbs no UV-B wavelengths, with a cutoff around 260 nm). The photoactivation of tetrazole is reported to be highly effective. Kinetic studies of the photoinduced nucleophilic attack demonstrated that addition between tetrazoles and COOH groups could be completed in less than 10 min, unless a strong electron-withdrawing group is present on either the C or N moiety of 2,5-tetrazoles [51,56], which is not the case for compounds 1–5. The solutions, under vigorous stirring, were then irradiated with two coupled low-pressure mercury UV-B lamps with a peak at 310 nm, for 10 min.
The workup of the reaction mixture is fundamental to remove any trace of unreacted cross-linker, byproducts, and organic solvents from the hydrogels. Cross-linked gelatin precipitation from reaction media was the method of choice. The solvent used for the precipitation of the gelatin from the reaction medium (DMSO) must afford a satisfactory quantity of recovered gel without changing its properties, be miscible with DMSO for the precipitation and with H2O to be subsequently removed, and able to solubilize unreacted cross-linker and possible byproducts. Thus, methanol, ethanol, 2-propanol, and tetrahydrofuran (THF) were tested. All are effective for the precipitation of the hydrogels (2-propanol afforded lower yield); however, alcohols were unable to dissolve tetrazoles 1–5, and consequently THF was selected for the workup step. Therefore, the treated gelatins were precipitated from the reaction solutions by 1:1 v/v addition of THF, and the obtained hydrogels were subsequently washed first with THF to remove unreacted crosslinkers and byproducts, then washed multiple times with H2O, and finally kept in H2O overnight to remove any traces of DMSO and THF by diffusion. The recovered hydrogels were finally freeze-dried for the subsequent experiments.
2.3. Thermal Stability of Prepared Hydrogels
One of the major disadvantages of gelatin-based hydrogels is the poor resistance to physiological conditions (i.e., at 37 °C they almost immediately dissolve). Thus, the prepared dry gelatin specimens were rehydrated with PBS buffer (pH = 7.4) and sealed and placed in a 37 °C thermostated chamber to test their thermal stability in comparison to blank gelatin treated in the same way, but without the presence of any cross-linker. The time evolution of hydrogels is depicted in Figure 1.
Figure 1.
Time evolution of prepared hydrogels at 37 °C. Images of the sealed wells were caught every 15 min. When hydrogel consistence is maintained the well is circled in green (original video frames are presented in the Supplementary Materials).
Blank gelatin resists 30 min in these conditions before complete dissolution. No stability improvements were observed for all samples treated with 1 (1, 2, 5, and 10 µmol) and 2 at the lowest amount (1 µmol), while a slight 15 min increase in thermal resistance was obtained using 2 at higher amounts (2, 5, and 10 µmol) and 3 (1, 2, and 5 µmol). The first significant differences were noted with gelatin treated with 3 at 10 µmol, which remained stable for 75 min, and with cross-linker 4 that afforded 60, 75, and 180 min of thermal resistance at increasing amounts of 1, 2/5, and 10 µmol, respectively. Switching to trifunctional cross-linker 5, a substantial increment in thermal stability was observed, even at the lowest amount tested: at a 1 µmol/100 mg gelatin ratio, the specimen maintained hydrogel consistence up to 240 min, while at higher cross-linker amounts (2, 5, and 10 µmol), no dissolution was observed over 24 h.
These results may be explained by three main issues considering cross-linking agents 1–5, namely their structure, photoactivation, and reactivity.
Concerning the structure, there are two points to consider: first, the distance between the two functional groups reacting with amino acid side chains should be high enough for cross-linking (usually referred to as cross-linker length). Among the cross-linkers 1–5, compound 1 has the shortest length, thus possibly explaining its poor performance in the cross-linking reaction. Second, conformational flexibility may improve the ability of linkers to catch reactive functional groups in the complex, tridimensional structure of gelatin: in this respect, 1 and 2 have limited conformational freedom compared to 3, 4, and 5.
As anticipated, photoactivation of 2,5-tetrazoles is reported to be highly effective [51,56], and 10 min of UV irradiation with a power (30 W) five time greater than that used in the literature (6 W) was assumed as a sufficient time for gelatin cross-linking to occur. In order to better characterize the reactivity of the system, λmax of 1–5 was determined to check if they fit the settled irradiation window: 1, 2, 4, and 5 displayed the maximum absorbance around 300 nm, with a perfect fit of 2 at 312 nm, while the absorption of 3, where the aryl substituent on tetrazole nitrogen is replaced by an alkyl chain, was at more energetic wavelengths with a λmax below 265 nm. In this case, a limited portion of the irradiating setup was useful for tetrazole activation.
A combination of the above-mentioned considerations resulted in a better performance of 4 and 5 in respect to 1, 2, and 3. However, a crucial point to be considered is the competing reaction of nitrilimine intermediates towards gelatin COOH groups and the decomposition pathways. The reaction of photoactivated 2,5-diaryltetrazoles in the presence of a large excess of unhindered carboxylic acids affords N’-acyl-N’-phenylbenzohydrazides in up to 80% yields [52,55]. However, increased steric hindrance near the COOH functionality and/or lowered excess of the carboxylic acid cause a sensible drop in yield. Therefore, the application of this chemistry to gelatin, whose COOH functionalities may be hindered by the complex polypeptide structure and are not present in large excess in respect to the cross-linkers, may be much less effective than expected. Moreover, a cross-link requires that both the reactive moieties of a bifunctional reagent react with the target functionalities of the polymeric substrate. Accordingly, emerged the great advantage of trifunctional cross-linker 5 compared to bifunctional 1–4: when the first nitrilimine links to gelatin, 5 has two reactive sites for cross-linking, significantly increasing the chances of success.
Due to their poor to null thermal stability increment, specimens obtained by treatment of gelatin with compounds 1, 2, and 3 were not investigated further, while further characterization of specimens treated with 4 and 5 was performed.
2.4. Characterization of Gelatin Treated with 4 and 5
2.4.1. Scanning Electron Microscopy Micrographs
Low-vacuum scanning electron microscopy (SEM) was used to investigate the morphological structure of dry specimens after treatment with 4 and 5 at 10 µmol (Figure 2). Changes in the morphology of treated samples with respect to the reference blank were observed. In detail, the gelatin treated with cross-linkers 4 and 5 showed an increase in the apparent porosity, with a more open texture, the formation of a structured network, and a less solid appearance. These effects are more marked with cross-linker 5.
Figure 2.
Representative SEM micrograph of dry gelatin samples: (a) pristine gelatin; (b) gelatin treated with 4 10 μmol; (c) gelatin treated with 5 10 μmol.
2.4.2. Swelling Properties
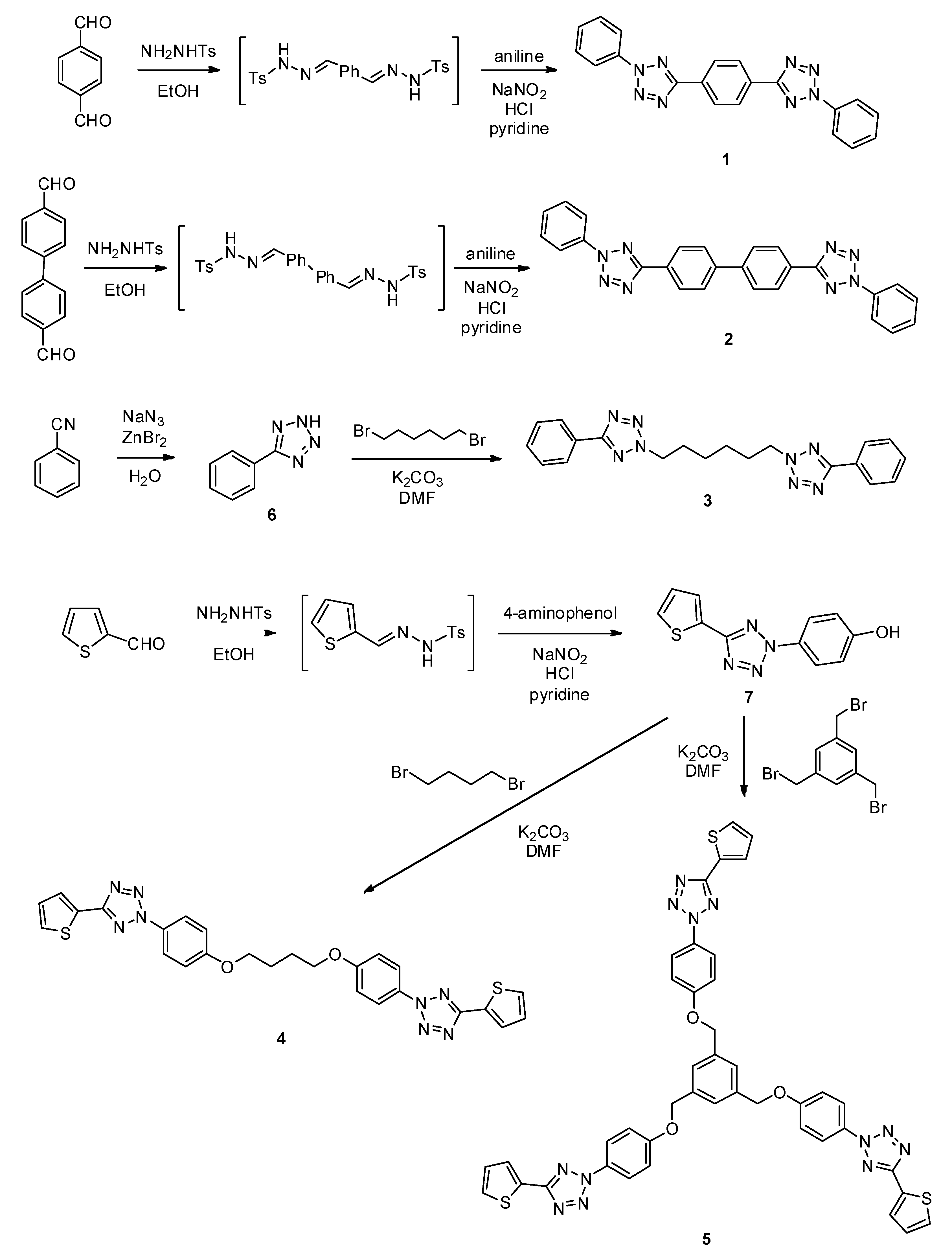
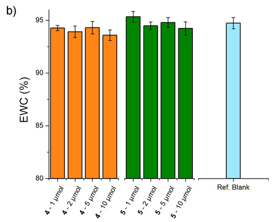
Gelatin treated with cross-linkers 4 and 5 was tested for its swelling behavior in water by gravimetric analysis. The swelling properties of gel are usually dependent upon several factors, including the pore size of the network, non-covalent interactions among the network (polymer chains and treating agents) and the solvent, and the chains’ mobility during the swelling process. The swelling degree (SD) and the equilibrium water content (EWC) for gels treated with 4 and 5 are reported in Figure 3. All of the hydrogel samples were prepared starting from the same quantity of freeze-dried specimens (50 mg).

Figure 3.
(a) Swelling behavior of gelatins treated with 4 and 5 at different concentrations in distilled H2O, compared to untreated gelatin (blank); (b) water content of hydrogels at equilibrium.
The swelling behavior of samples treated with 4 is similar to untreated gelatin: a small increase in water absorption kinetic is observed for 1, 2, and 5 µmol, but not for 10 µmol. This behavior is much more pronounced in all the samples treated with 5, with the first part of the SD curve noticeably higher than that of untreated gelatin. These observations are in accordance with the increased porosity of the tridimensional structure observed in the SEM micrographs. Equilibrium water content is a bit lower for samples treated with 4, but in general, minimal differences are noticed.
2.4.3. ATR-FTIR and 1H NMR Analyses
The ATR-FTIR spectra of gelatin treated with 4 and 5 are reported in Figure 4. No significant differences can be detected at any concentration of tetrazoles in respect to untreated gelatin.

Figure 4.
ATR-FTIR spectra of dry gelatins treated with 4 (a) and 5 (b).
Similarly, changes were almost never detected by 1H NMR analysis in the D2O of prepared specimens, which revealed the typical signal patterns of gelatin [71]. However, in samples treated with high concentrations of cross-linker 5, the presence of a group of small signals was observed near that of gelatin’s tyrosine and phenylalanine resonances, attributable to the thiophene system of 5 (Figure 5a).

Figure 5.
1H NMR (400 MHz, D2O) of gelatin treated with 5, 5 µmol (a) compared to untreated gelatin (b).
3. Conclusions
In summary, for the first time, the photoinduced gelatin cross-linking with homobi- and trifunctional tetrazoles via nitrilimine intermediates was proposed. Even if this chemistry has proven to be less effective than expected, which was also confirmed by the low degree of functionalization observed in the spectroscopic investigations, a significant increase in the thermal stability of gelatin hydrogels was achieved by using compounds 4 and especially 5. The increased porosity and faster water absorption of treated samples deviate from the standard behavior of cross-linked biological matrices, which are normally less porous and less prone to water absorption compared to untreated starting materials. This study is of great importance for planning future applications of polyfunctional tetrazoles in photoinduced cross-linking of biological polymers, showing the necessity of planning the synthesis of cross-linkers endowed with multiple tetrazole photoactivable units.
4. Materials and Methods
4.1. General
All reagents and solvents were purchased from commercial sources (Merck Life Science S.r.l., Milan, Italy; Fluorochem Ltd., Hadfield, UK; and TCI Europe N.V., Zwijndrecht, Belgium) and used without further purification. Gelatin from porcine skin-Type A was used for the hydrogel preparation (Merk, catalog no. G2500). NMR spectra were recorded with a Bruker AVANCE III HD 400 MHz spectrometer (Bruker corp., Billerica, MA, USA). Two low-pressure mercury 15 W F15T8 UV-B lamps were simultaneously used for UV irradiation. The IR spectra were recorded with a Perkin Elmer Spectrum 100 FT-IR spectrometer equipped with a universal ATR sampling accessory (PerkinElmer Inc., Waltham, MA, USA). The scanning electron microscopy (SEM) analysis was performed with a Philips XL30 ESEM (FEI, Hillsboro, OR, USA). The gelatin was freeze-dried by a Christ alpha 1–2 freeze dryer (Christ, Osterode am Harz, Germany) at a temperature of −55 °C and at a pressure of 0.2–0.4 mBar. The UV λmax was determined with a PerkinElmer Lambda 900 spectrophotometer (PerkinElmer Inc., Waltham, MA, USA). The melting points were measured with a Stanford Research Systems Optimelt apparatus (SRS, Sunnyvale, CA, USA).
4.2. Synthesis of Cross-Linking Agents
The synthetic procedures, complete characterizations, and 1H NMR, 13C NMR, and ATR-FTIR spectra of 1, 2, 3, 4, and 5 are reported in the Supplementary Materials.
4.3. Gelatin Cross-Linking
In a borosilicate flask (UV absorption below 300 nm), 100 mg of gelatin in 8 mL of DMSO were heated at 37 °C under magnetic stirring until complete dissolution (at least 8 h). After cooling to r.t., the cross-linking agent (1, 2, 5, and 10 µmol/100 mg of gelatin) was added and the mixture and stirred until homogeneity was achieved. The solution was then deoxygenated by N2 bubbling and irradiated at 310 nm (2 × 15 watt, at 20 cm) for 10 min, under vigorous stirring and an N2 atmosphere. THF (8 mL) was added to the solution, and the resulting suspension was centrifuged at 7500 rpm for 30 min before the supernatant was carefully removed. THF (8 mL) was added to the residue, and the mixture was vortexed (3000 rpm) for 2 min and centrifuged at 7500 rpm for 30 min. After careful removal of the supernatant, demineralized H2O (10 mL) was added, the suspension was vortexed (3000 rpm) for 2 min, centrifuged at 7500 rpm for 30 min, and the supernatant was carefully removed; this step was repeated twice. The obtained hydrogel was soaked in demineralized H2O overnight, recovered, and freeze-dried, yielding a weight of 60 to 80% that of the starting gelatin.
4.4. Thermal Stability
Freeze-dried, cross-linked gelatin specimens (ca 50 mg) and 4 control specimens worked in the same way as the treated samples were placed in tagged wells of a 24 multiwell plate, hydrated with PBS (4 mL, pH = 7.4, physiological conditions), and kept sealed at 37 °C. The specimens were filmed with a 720 p digital camera (video frames are presented in the Supplementary Materials) and periodically inspected.
4.5. SEM Iimaging
Scanning electron microscopy (SEM) analysis was performed working at 12 kV accelerating voltage and in low vacuum mode (0.8 Torr). Samples were dried, cut, fixed with conductive carbon tape to standard SEM stubs, and directly analyzed. Working in low vacuum conditions, no conductive coatings were applied, in order to preserve the original structure. Samples showed good stability under electron beam illumination at the operating conditions.
4.6. Swelling Studies
Dynamic swelling measurements were made by gravimetric measurements. Freeze-dried gelatin specimens (ca 50 mg) were soaked in distilled water at r.t. The swollen gels were periodically removed from water, blotted with filter paper, weighed on an analytical balance, and returned to the swelling medium until the equilibrium was reached.
The swelling degree (SD) was calculated from the following equation and reported as a function of time:
where Wt is the weight of swelling hydrogel at different times and W0 is the dry weight of the gel.
Swelling degree (SD, g·g−1) = (Wt − W0) · W0−1
The equilibrium water content (EWC), was calculated from the following equation:
where We is the swelling weight of the sample at equilibrium and W0 is the dry weight of the gel.
EWC (%) = (We − W0) · We−1 · 100
Supplementary Materials
The following are available online at https://www.mdpi.com/article/10.3390/gels7030124/s1: procedures for the synthesis of cross-linkers 1−5; 1H NMR, 13C NMR, and ATR-FTIR spectra of synthesized compounds; and video frames of the thermal stability test at 37 °C.
Author Contributions
Conceptualization, L.V., A.P. and L.C.; methodology, L.V.; formal analysis, L.V., E.M., M.M. (Marcello Marelli), and M.M. (Mauro Monti); investigation, L.V., E.M., M.M. (Marcello Marelli), and M.M. (Mauro Monti); writing—original draft preparation, L.V.; writing—review and editing, A.P. and L.C.; visualization, L.V., M.M. (Marcello Marelli) and M.M. (Mauro Monti); supervision, A.P. and L.C. All authors have read and agreed to the published version of the manuscript.
Funding
This research received no external funding.
Acknowledgments
We would like to thank Giorgio Patriarca for the NMR analysis.
Conflicts of Interest
The authors declare no conflict of interest.
References
- Echave, M.C.; Saenz del Burgo, L.; Pedraz, J.L.; Orive, G. Gelatin as Biomaterial for Tissue Engineering. Curr. Pharm. Des. 2017, 23, 3567–3584. [Google Scholar] [CrossRef] [PubMed]
- Aldana, A.A.; Abraham, G.A. Current Advances in Electrospun Gelatin-Based Scaffolds for Tissue Engineering Applications. Int. J. Pharm. 2017, 523, 441–453. [Google Scholar] [CrossRef] [PubMed] [Green Version]
- Foox, M.; Zilberman, M. Drug Delivery from Gelatin-Based Systems. Expert Opin. Drug Deliv. 2015, 12, 1547–1563. [Google Scholar] [CrossRef] [PubMed]
- Goh, K.; Holmes, D. Collagenous Extracellular Matrix Biomaterials for Tissue Engineering: Lessons from the Common Sea Urchin Tissue. Int. J. Mol. Sci. 2017, 18, 901. [Google Scholar] [CrossRef] [Green Version]
- Parenteau-Bareil, R.; Gauvin, R.; Berthod, F. Collagen-Based Biomaterials for Tissue Engineering Applications. Materials 2010, 3, 1863–1887. [Google Scholar] [CrossRef] [Green Version]
- Bello, A.B.; Kim, D.; Kim, D.; Park, H.; Lee, S.-H. Engineering and Functionalization of Gelatin Biomaterials: From Cell Culture to Medical Applications. Tissue Eng. Part B Rev. 2020, 26, 164–180. [Google Scholar] [CrossRef] [Green Version]
- Jaipan, P.; Nguyen, A.; Narayan, R.J. Gelatin-Based Hydrogels for Biomedical Applications. MRS Commun. 2017, 7, 416–426. [Google Scholar] [CrossRef]
- Nur Hanani, Z.A.; Roos, Y.H.; Kerry, J.P. Use and Application of Gelatin as Potential Biodegradable Packaging Materials for Food Products. Int. J. Biol. Macromol. 2014, 71, 94–102. [Google Scholar] [CrossRef]
- Collins, M.N.; Ren, G.; Young, K.; Pina, S.; Reis, R.L.; Oliveira, J.M. Scaffold Fabrication Technologies and Structure/Function Properties in Bone Tissue Engineering. Adv. Funct. Mater. 2021, 31, 2010609. [Google Scholar] [CrossRef]
- Thakur, S.; Govender, P.P.; Mamo, M.A.; Tamulevicius, S.; Thakur, V.K. Recent Progress in Gelatin Hydrogel Nanocomposites for Water Purification and Beyond. Vacuum 2017, 146, 396–408. [Google Scholar] [CrossRef] [Green Version]
- Li, X.; Zhang, J.; Kawazoe, N.; Chen, G. Fabrication of Highly Crosslinked Gelatin Hydrogel and Its Influence on Chondrocyte Proliferation and Phenotype. Polymers 2017, 9, 309. [Google Scholar] [CrossRef] [PubMed]
- Dash, R.; Foston, M.; Ragauskas, A.J. Improving the Mechanical and Thermal Properties of Gelatin Hydrogels Cross-Linked by Cellulose Nanowhiskers. Carbohydr. Polym. 2013, 91, 638–645. [Google Scholar] [CrossRef] [PubMed]
- Xing, Q.; Yates, K.; Vogt, C.; Qian, Z.; Frost, M.C.; Zhao, F. Increasing Mechanical Strength of Gelatin Hydrogels by Divalent Metal Ion Removal. Sci. Rep. 2014, 4, 4706. [Google Scholar] [CrossRef] [PubMed] [Green Version]
- Clapacs, Z.; Neal, S.; Schuftan, D.; Tan, X.; Jiang, H.; Guo, J.; Rudra, J.; Huebsch, N. Biocompatible and Enzymatically De-gradable Gels for 3D Cellular Encapsulation under Extreme Compressive Strain. Gels 2021, 7, 101. [Google Scholar] [CrossRef]
- Basara, G.; Ozcebe, S.G.; Ellis, B.W.; Zorlutuna, P. Tunable Human Myocardium Derived Decellularized Extracellular Matrix for 3D Bioprinting and Cardiac Tissue Engineering. Gels 2021, 7, 70. [Google Scholar] [CrossRef]
- Oryan, A.; Kamali, A.; Moshiri, A.; Baharvand, H.; Daemi, H. Chemical crosslinking of biopolymeric scaffolds: Current knowledge and future directions of crosslinked engineered bone scaffolds. Int. J. Biol. Macromol. 2018, 107, 678–688. [Google Scholar] [CrossRef]
- Sgambato, A.; Cipolla, L.; Russo, L. Bioresponsive Hydrogels: Chemical Strategies and Perspectives in Tissue Engineering. Gels 2016, 2, 28. [Google Scholar] [CrossRef] [PubMed] [Green Version]
- Shankar, K.G.; Gostynska, N.; Montesi, M.; Panseri, S.; Sprio, S.; Kon, E.; Marcacci, M.; Tampieri, A.; Sandri, M. Investigation of Different Cross-Linking Approaches on 3D Gelatin Scaffolds for Tissue Engineering Application: A Comparative Analysis. Int. J. Biol. Macromol. 2017, 95, 1199–1209. [Google Scholar] [CrossRef]
- Reddy, N.; Reddy, R.; Jiang, Q. Crosslinking biopolymers for biomedical applications. Trends Biotechnol. 2015, 33, 362–369. [Google Scholar] [CrossRef]
- Baslé, E.; Joubert, N.; Pucheault, M. Protein Chemical Modification on Endogenous Amino Acids. Chem. Biol. 2010, 17, 213–227. [Google Scholar] [CrossRef]
- Spicer, C.D.; Davis, B.G. Selective Chemical Protein Modification. Nat. Commun. 2014, 5, 4740. [Google Scholar] [CrossRef] [PubMed] [Green Version]
- Sletten, E.M.; Bertozzi, C.R. Bioorthogonal Chemistry: Fishing for Selectivity in a Sea of Functionality. Angew. Chem. Int. Ed. 2009, 48, 6974–6998. [Google Scholar] [CrossRef] [PubMed] [Green Version]
- Azagarsamy, M.A.; Anseth, K.S. Bioorthogonal Click Chemistry: An Indispensable Tool to Create Multifaceted Cell Culture Scaffolds. ACS Macro Lett. 2013, 2, 5–9. [Google Scholar] [CrossRef]
- Lallana, E.; Fernandez-Trillo, F.; Sousa-Herves, A.; Riguera, R.; Fernandez-Megia, E. Click Chemistry with Polymers, Dendrimers, and Hydrogels for Drug Delivery. Pharm. Res. 2012, 29, 902–921. [Google Scholar] [CrossRef]
- Jiang, Y.; Chen, J.; Deng, C.; Suuronen, E.J.; Zhong, Z. Click Hydrogels, Microgels and Nanogels: Emerging Platforms for Drug Delivery and Tissue Engineering. Biomaterials 2014, 35, 4969–4985. [Google Scholar] [CrossRef]
- Jewett, J.C.; Bertozzi, C.R. Cu-Free Click Cycloaddition Reactions in Chemical Biology. Chem. Soc. Rev. 2010, 39, 1272–1279. [Google Scholar] [CrossRef]
- Xu, L.; Kuan, S.L.; Weil, T. Contemporary Approaches for Site-Selective Dual Functionalization of Proteins. Angew. Chem. Int. Ed. 2021, 60, 13757–13777. [Google Scholar] [CrossRef]
- Lutz, J.F.; Zarafshani, Z. Efficient Construction of Therapeutics, Bioconjugates, Biomaterials and Bioactive Surfaces Using Azide–Alkyne “Click” Chemistry. Adv. Drug Deliv. Rev. 2008, 60, 958–970. [Google Scholar] [CrossRef] [PubMed]
- van Berkel, S.S.; van Eldijk, M.B.; van Hest, J.C.M. Staudinger Ligation as a Method for Bioconjugation. Angew. Chem. Int. Ed. 2011, 50, 8806–8827. [Google Scholar] [CrossRef] [PubMed]
- Schilling, C.I.; Jung, N.; Biskup, M.; Schepers, U.; Bräse, S. Bioconjugation via Azide-Staudinger Ligation: An Overview. Chem. Soc. Rev. 2011, 40, 4840–4871. [Google Scholar] [CrossRef] [PubMed]
- Pozsgay, V.; Vieira, N.E.; Yergey, A. A Method for Bioconjugation of Carbohydrates Using Diels−Alder Cycloaddition. Org. Lett. 2002, 4, 3191–3194. [Google Scholar] [CrossRef] [PubMed]
- Willems, L.I.; Verdoes, M.; Florea, B.I.; van der Marel, G.A.; Overkleeft, H.S. Two-Step Labeling of Endogenous Enzymatic Activities by Diels-Alder Ligation. Chembiochem 2010, 11, 1769–1781. [Google Scholar] [CrossRef] [PubMed]
- Gregoritza, M.; Brandl, F.P. The Diels–Alder Reaction: A Powerful Tool for the Design of Drug Delivery Systems and Biomaterials. Eur. J. Pharm. Biopharm. 2015, 97, 438–453. [Google Scholar] [CrossRef] [PubMed]
- Dondoni, A. The Emergence of Thiol-Ene Coupling as a Click Process for Materials and Bioorganic Chemistry. Angew. Chem. Int. Ed. 2008, 47, 8995–8997. [Google Scholar] [CrossRef]
- Russo, L.; Battocchio, C.; Secchi, V.; Magnano, E.; Nappini, S.; Taraballi, F.; Gabrielli, L.; Comelli, F.; Papagni, A.; Costa, B.; et al. Thiol–Ene Mediated Neoglycosylation of Collagen Patches: A Preliminary Study. Langmuir 2014, 30, 1336–1342. [Google Scholar] [CrossRef] [PubMed]
- Agten, S.M.; Dawson, P.E.; Hackeng, T.M. Oxime Conjugation in Protein Chemistry: From Carbonyl Incorporation to Nucleophilic Catalysis. J. Pept. Sci. 2016, 22, 271–279. [Google Scholar] [CrossRef]
- Kölmel, D.K.; Kool, E.T. Oximes and Hydrazones in Bioconjugation: Mechanism and Catalysis. Chem. Rev. 2017, 117, 10358–10376. [Google Scholar] [CrossRef]
- van Vught, R.; Pieters, R.J.; Breukink, E. Site-specific functionalization of proteins and their applications to therapeutic antibodies. Comput. Struct. Biotechnol. J. 2014, 9, e201402001. [Google Scholar] [CrossRef] [Green Version]
- Arranz-Gibert, P.; Patel, J.R.; Isaacs, F.J. The Role of Orthogonality in Genetic Code Expansion. Life 2019, 9, 58. [Google Scholar] [CrossRef] [Green Version]
- Occhetta, P.; Visone, R.; Russo, L.; Cipolla, L.; Moretti, M.; Rasponi, M. VA-086 Methacrylate Gelatine Photopolymerizable Hydrogels: A Parametric Study for Highly Biocompatible 3D Cell Embedding. J. Biomed. Mater. Res. 2014, 103, 2109–2117. [Google Scholar] [CrossRef] [Green Version]
- Russo, L.; Sgambato, A.; Visone, R.; Occhetta, P.; Moretti, M.; Rasponi, M.; Nicotra, F.; Cipolla, L. Gelatin Hydrogels via Thiol-Ene Chemistry. Monatsh. Chem. 2015, 147, 587–592. [Google Scholar] [CrossRef]
- García-Astrain, C.; Gandini, A.; Peña, C.; Algar, I.; Eceiza, A.; Corcuera, M.; Gabilondo, N. Diels–Alder “Click” Chemistry for the Cross-Linking of Furfuryl-Gelatin-Polyetheramine Hydrogels. RSC Adv. 2014, 4, 35578. [Google Scholar] [CrossRef]
- Tamura, M.; Yanagawa, F.; Sugiura, S.; Takagi, T.; Sumaru, K.; Kanamori, T. Click-Crosslinkable and Photodegradable Gelatin Hydrogels for Cytocompatible Optical Cell Manipulation in Natural Environment. Sci. Rep. 2015, 5, 15060. [Google Scholar] [CrossRef] [PubMed] [Green Version]
- Piluso, S.; Vukićević, R.; Nöchel, U.; Braune, S.; Lendlein, A.; Neffe, A.T. Sequential Alkyne-Azide Cycloadditions for Functionalized Gelatin Hydrogel Formation. Eur. Polym. J. 2018, 100, 77–85. [Google Scholar] [CrossRef]
- Inoue, M.; Sasaki, M.; Nakasu, A.; Takayanagi, M.; Taguchi, T. An Antithrombogenic Citric Acid-Crosslinked Gelatin with Endothelialization Activity. Adv. Healthc. Mater. 2012, 1, 573–581. [Google Scholar] [CrossRef] [PubMed]
- Bigi, A.; Cojazzi, G.; Panzavolta, S.; Roveri, N.; Rubini, K. Stabilization of Gelatin Films by Crosslinking with Genipin. Biomaterials 2002, 23, 4827–4832. [Google Scholar] [CrossRef]
- Ko, C.-H.; Shie, M.-Y.; Lin, J.-H.; Chen, Y.-W.; Yao, C.-H.; Chen, Y.-S. Biodegradable Bisvinyl Sulfonemethyl-Crosslinked Gelatin Conduit Promotes Regeneration after Peripheral Nerve Injury in Adult Rats. Sci. Rep. 2017, 7, 17489. [Google Scholar] [CrossRef] [PubMed] [Green Version]
- Guizzardi, R.; Vaghi, L.; Marelli, M.; Natalello, A.; Andreosso, I.; Papagni, A.; Cipolla, L. Gelatin-Based Hydrogels through Homobifunctional Triazolinediones Targeting Tyrosine Residues. Molecules 2019, 24, 589. [Google Scholar] [CrossRef] [Green Version]
- Bigi, A.; Cojazzi, G.; Panzavolta, S.; Rubini, K.; Roveri, N. Mechanical and Thermal Properties of Gelatin Films at Different Degrees of Glutaraldehyde Crosslinking. Biomaterials 2001, 22, 763–768. [Google Scholar] [CrossRef]
- Gough, J.E.; Scotchford, C.A.; Downes, S. Cytotoxicity of Glutaraldehyde Crosslinked Collagen/Poly(Vinyl Alcohol) Films Is by the Mechanism of Apoptosis. J. Biomed. Mater. Res. 2002, 61, 121–130. [Google Scholar] [CrossRef]
- Li, Z.; Qian, L.; Li, L.; Bernhammer, J.C.; Huynh, H.V.; Lee, J.-S.; Yao, S.Q. Tetrazole Photoclick Chemistry: Reinvestigating Its Suitability as a Bioorthogonal Reaction and Potential Applications. Angew. Chem. Int. Ed. 2015, 55, 2002–2006. [Google Scholar] [CrossRef]
- Zhao, S.; Dai, J.; Hu, M.; Liu, C.; Meng, R.; Liu, X.; Wang, C.; Luo, T. Photo-Induced Coupling Reactions of Tetrazoles with Carboxylic Acids in Aqueous Solution: Application in Protein Labelling. Chem. Commun. 2016, 52, 4702–4705. [Google Scholar] [CrossRef] [PubMed]
- Siti, W.; Khan, A.K.; de Hoog, H.-P.M.; Liedberg, B.; Nallani, M. Photo-Induced Conjugation of Tetrazoles to Modified and Native Proteins. Org. Biomol. Chem. 2015, 13, 3202–3206. [Google Scholar] [CrossRef]
- Huisgen, R.; Sauer, J.; Seidel, M. Ringöffnungen der Azole, VI. Die Thermolyse 2.5-disubstituierter Tetrazole zu Nitriliminen. Chem. Ber. 1961, 94, 2503–2509. [Google Scholar] [CrossRef]
- Meier, H.; Heimgartner, H. Intramolekulare 1,3-dipolare Cycloadditionen von Diarylnitriliminen aus 2,5-Diaryltetrazolen. Helv. Chim. Acta 1985, 68, 1283–1300. [Google Scholar] [CrossRef]
- Zhang, Y.; Liu, W.; Zhao, Z. Nucleophilic Trapping Nitrilimine Generated by Photolysis of Diaryltetrazole in Aqueous Phase. Molecules 2013, 19, 306–315. [Google Scholar] [CrossRef] [Green Version]
- Vaghi, L.; Gaudino, E.; Cravotto, G.; Palmisano, G.; Penoni, A. A Structurally Diverse Heterocyclic Library by Decoration of Oxcarbazepine Scaffold. Molecules 2013, 18, 13705–13722. [Google Scholar] [CrossRef] [PubMed] [Green Version]
- Tibiletti, F.; Penoni, A.; Palmisano, G.; Maspero, A.; Nicholas, K.; Vaghi, L. (1H-Benzo[d][1,2,3]Triazol-1-Yl)(5-Bromo-1-Hydroxy-1H-Indol-3-Yl)Methanone. Molbank 2014, 2014, M829. [Google Scholar] [CrossRef] [Green Version]
- Vaghi, L.; Coletta, M.; Coghi, P.; Andreosso, I.; Beverina, L.; Ruffo, R.; Papagni, A. Fluorine Substituted Non-Symmetric Phenazines: A New Synthetic Protocol from Polyfluorinated Azobenzenes. Arkivoc 2019, 2019, 340–351. [Google Scholar] [CrossRef] [Green Version]
- Yousif, D.; Monti, M.; Papagni, A.; Vaghi, L. Synthesis of Phenazines from Ortho-Bromo Azo Compounds via Sequential Buchwald-Hartwig Amination under Micellar Conditions and Acid Promoted Cyclization. Tetrahedron Lett. 2020, 61, 152511. [Google Scholar] [CrossRef]
- Stille, J.K.; Gotter, L.D. Polymers from 1,3-Dipole Addition Reactions. The Nitrilimine Dipole from Tetrazoles. J. Polym. Sci. A-1 Polym. Chem. 1969, 7, 2493–2504. [Google Scholar] [CrossRef]
- Li, Y.; Zhang, W.; Sun, Z.; Sun, T.; Xie, Z.; Huang, Y.; Jing, X. Light-Induced Synthesis of Cross-Linked Polymers and Their Application in Explosive Detection. Eur. Polym. J. 2015, 63, 149–155. [Google Scholar] [CrossRef]
- Ito, S.; Tanaka, Y.; Kakehi, A.; Kondo, K. A Facile Synthesis of 2,5-Disubstituted Tetrazoles by the Reaction of Phenylsulfonylhydrazones with Arenediazonium Salts. BCSJ 1976, 49, 1920–1923. [Google Scholar] [CrossRef] [Green Version]
- Demko, Z.P.; Sharpless, K.B. Preparation of 5-Substituted 1H-Tetrazoles from Nitriles in Water. J. Org. Chem. 2001, 66, 7945–7950. [Google Scholar] [CrossRef] [PubMed]
- Eastoe, J.E. The Amino Acid Composition of Mammalian Collagen and Gelatin. Biochem. J. 1955, 61, 589–600. [Google Scholar] [CrossRef] [Green Version]
- Jariashvili, K.; Madhan, B.; Brodsky, B.; Kuchava, A.; Namicheishvili, L.; Metreveli, N. UV Damage of Collagen: Insights from Model Collagen Peptides. Biopolymers 2011, 97, 189–198. [Google Scholar] [CrossRef] [PubMed] [Green Version]
- Nedunchezhian, N.; Kulandaivelu, G. Evidence for the Ultraviolet-B (280-320 Nm) Radiation Induced Structural Reorganization and Damage of Photosystem II Polypeptides in Isolated Chloroplasts. Physiol. Plant 1991, 81, 558–562. [Google Scholar] [CrossRef]
- Monboisse, J.C.; Borel, J.P. Oxidative Damage to Collagen. In Free Radicals and Aging; Emerit, I., Chance, B., Eds.; Birkhäuser: Basel, Switzerland, 1992; pp. 323–327. [Google Scholar]
- McMurray, T.A.; Byrne, J.A.; Dunlop, P.S.M.; McAdams, E.T. Photocatalytic and Electrochemically Assisted Photocatalytic Oxidation of Formic Acid on TiO2 Films under UVA and UVB Irradiation. J. Appl. Electrochem. 2005, 35, 723–731. [Google Scholar] [CrossRef] [Green Version]
- Xu, M.; Wei, L.; Xiao, Y.; Bi, H.; Yang, H.; Du, Y. Physicochemical and Functional Properties of Gelatin Extracted from Yak Skin. Int. J. Biol. Macromol. 2017, 95, 1246–1253. [Google Scholar] [CrossRef] [PubMed]
- Rodin, V.V.; Izmailova, V.N. NMR Method in the Study of the Interfacial Adsorption Layer of Gelatin. Colloids Surf. A Physicochem. Eng. Asp. 1996, 106, 95–102. [Google Scholar] [CrossRef]
Publisher’s Note: MDPI stays neutral with regard to jurisdictional claims in published maps and institutional affiliations. |
© 2021 by the authors. Licensee MDPI, Basel, Switzerland. This article is an open access article distributed under the terms and conditions of the Creative Commons Attribution (CC BY) license (https://creativecommons.org/licenses/by/4.0/).









