Exploring the Combination of Microgels and Nanostructured Fluids for the Cleaning of Works of Art
Abstract
1. Introduction
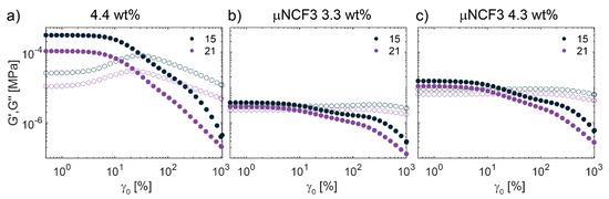
2. Results and Discussion
3. Conclusions
4. Materials and Methods
4.1. Reagents
4.2. Systems Preparation
4.3. Experimental Methods
4.4. Cleaning Tests
Supplementary Materials
Author Contributions
Funding
Institutional Review Board Statement
Informed Consent Statement
Data Availability Statement
Conflicts of Interest
References
- Sesana, E.; Gagnon, A.S.; Ciantelli, C.; Cassar, J.; Hughes, J.J. Climate change impacts on cultural heritage: A literature review. WIREs Clim. Change 2021, 12, e710. [Google Scholar] [CrossRef]
- Di Turo, F.; Medeghini, L. How Green Possibilities Can Help in a Future Sustainable Conservation of Cultural Heritage in Europe. Sustainability 2021, 13, 3609. [Google Scholar] [CrossRef]
- Ormsby, B.; Bartoletti, A.; van den Berg, K.J.; Stavroudis, C. Cleaning and conservation: Recent successes and challenges. Herit. Sci. 2024, 12, 10. [Google Scholar] [CrossRef]
- Wills, S.T.; Ormsby, B.A.; Keefe, M.H.; Sammler, R.L. Key characterization efforts to support the graffiti ink removal and care of Mark Rothko’s painting ‘Black on Maroon’ 1958. Herit. Sci. 2022, 10, 143. [Google Scholar] [CrossRef]
- Casini, A.; Chelazzi, D.; Baglioni, P. Advanced methodologies for the cleaning of works of art. Sci. China Technol. Sci. 2023, 66, 2162–2182. [Google Scholar] [CrossRef]
- Plamper, F.A.; Richtering, W. Functional Microgels and Microgel Systems. Acc. Chem. Res. 2017, 50, 131–140. [Google Scholar] [CrossRef]
- Shewan, H.M.; Stokes, J.R. Review of techniques to manufacture micro-hydrogel particles for the food industry and their applications. J. Food Eng. 2013, 119, 781–792. [Google Scholar] [CrossRef]
- Kaneda, I. Rheology Control Agents for Cosmetics. In Rheology of Biological Soft Matter: Fundamentals and Applications; Springer: Tokyo, Japan, 2017; pp. 295–321. [Google Scholar]
- Thorne, J.B.; Vine, G.J.; Snowden, M.J. Microgel applications and commercial considerations. Colloid Polym. Sci. 2011, 289, 625–646. [Google Scholar] [CrossRef]
- Chelazzi, D.; Baglioni, P. From Nanoparticles to Gels: A Breakthrough in Art Conservation Science. Langmuir 2023, 39, 10744–10755. [Google Scholar] [CrossRef]
- Sansonetti, A.; Bertasa, M.; Canevali, C.; Rabbolini, A.; Anzani, M.; Scalarone, D. A review in using agar gels for cleaning art surfaces. J. Cult. Herit. 2020, 44, 285–296. [Google Scholar] [CrossRef]
- Bandelli, D.; Mastrangelo, R.; Poggi, G.; Chelazzi, D.; Baglioni, P. New sustainable polymers and oligomers for Cultural Heritage conservation. Chem. Sci. 2024, 15, 2443–2455. [Google Scholar] [CrossRef] [PubMed]
- Khaksar-Baghan, N.; Koochakzaei, A.; Hamzavi, Y. An overview of gel-based cleaning approaches for art conservation. Herit. Sci. 2024, 12, 248. [Google Scholar] [CrossRef]
- Biribicchi, C.; Giuliani, L.; Macchia, A.; Favero, G. Organogels for Low-Polar Organic Solvents: Potential Applications on Cultural Heritage Materials. Sustainability 2023, 15, 16305. [Google Scholar] [CrossRef]
- Karg, M.; Pich, A.; Hellweg, T.; Hoare, T.; Lyon, L.A.; Crassous, J.J.; Suzuki, D.; Gumerov, R.A.; Schneider, S.; Potemkin, I.I.; et al. Nanogels and Microgels: From Model Colloids to Applications, Recent Developments, and Future Trends. Langmuir 2019, 35, 6231–6255. [Google Scholar] [CrossRef]
- Hendrickson, G.R.; Smith, M.H.; South, A.B.; Lyon, L.A. Design of Multiresponsive Hydrogel Particles and Assemblies. Adv. Funct. Mater. 2010, 20, 1697–1712. [Google Scholar] [CrossRef]
- Jiang, H.; Zhang, S.; Sun, G.; Li, Y.; Guan, X.; Yang, C.; Ngai, T. Engineering hybrid microgels as particulate emulsifiers for reversible Pickering emulsions. Chem. Sci. 2022, 13, 39–43. [Google Scholar] [CrossRef]
- Ahmed, M.S.; Yun, S.; Kim, H.-Y.; Ko, S.; Islam, M.; Nam, K.-W. Hydrogels and Microgels: Driving Revolutionary Innovations in Targeted Drug Delivery, Strengthening Infection Management, and Advancing Tissue Repair and Regeneration. Gels 2025, 11, 179. [Google Scholar] [CrossRef]
- Vialetto, J.; Ramakrishna, S.N.; Isa, L.; Laurati, M. Effect of particle stiffness and surface properties on the non-linear viscoelasticity of dense microgel suspensions. J. Colloid Interface Sci. 2024, 672, 814–823. [Google Scholar] [CrossRef]
- Conley, G.M.; Zhang, C.; Aebischer, P.; Harden, J.L.; Scheffold, F. Relationship between rheology and structure of interpenetrating, deforming and compressing microgels. Nat. Commun. 2019, 10, 2436. [Google Scholar] [CrossRef]
- Vlassopoulos, D.; Cloitre, M. Tunable rheology of dense soft deformable colloids. Curr. Opin. Colloid Interface Sci. 2014, 19, 561–574. [Google Scholar] [CrossRef]
- Nikolov, S.V.; Fernandez-Nieves, A.; Alexeev, A. Behavior and mechanics of dense microgel suspensions. Proc. Natl. Acad. Sci. USA 2020, 117, 27096–27103. [Google Scholar] [CrossRef]
- Highley, C.B.; Song, K.H.; Daly, A.C.; Burdick, J.A. Jammed Microgel Inks for 3D Printing Applications. Adv. Sci. 2019, 6, 1801076. [Google Scholar] [CrossRef]
- Es Sayed, J.; Khoonkari, M.; Oggioni, M.; Perrin, P.; Sanson, N.; Kamperman, M.; Włodarczyk-Biegun, M.K. Multi-Responsive Jammed Micro-Gels Ink: Toward Control over the Resolution and the Stability of 3D Printed Scaffolds. Adv. Funct. Mater. 2022, 32, 2207816. [Google Scholar] [CrossRef]
- Rey, B.M.; Elnathan, R.; Ditcovski, R.; Geisel, K.; Zanini, M.; Fernandez-Rodriguez, M.-A.; Naik, V.V.; Frutiger, A.; Richtering, W.; Ellenbogen, T.; et al. Fully Tunable Silicon Nanowire Arrays Fabricated by Soft Nanoparticle Templating. Nano Lett. 2016, 16, 157–163. [Google Scholar] [CrossRef] [PubMed]
- Jose, M.; Basavaraj, M.G.; Satapathy, D.K. Evaporative self-assembly of soft colloidal monolayers: The role of particle softness. Soft Matter 2021, 17, 7921–7931. [Google Scholar] [CrossRef] [PubMed]
- Rey, M.; Kolker, J.; Richards, J.A.; Malhotra, I.; Glen, T.S.; Li, N.Y.D.; Laidlaw, F.H.J.; Renggli, D.; Vermant, J.; Schofield, A.B.; et al. Interactions between interfaces dictate stimuli-responsive emulsion behaviour. Nat. Commun. 2023, 14, 6723. [Google Scholar] [CrossRef]
- Vialetto, J.; Ramakrishna, S.N.; Stock, S.; von Klitzing, R.; Isa, L. Modulating the conformation of microgels by complexation with inorganic nanoparticles. J. Colloid Interface Sci. 2024, 672, 797–804. [Google Scholar] [CrossRef]
- Vialetto, J.; Ramakrishna, S.N.; Isa, L. In situ imaging of the three-dimensional shape of soft responsive particles at fluid interfaces by atomic force microscopy. Sci. Adv. 2022, 8, eabq2019. [Google Scholar] [CrossRef]
- Xu, Y.; Zhu, H.; Denduluri, A.; Ou, Y.; Erkamp, N.A.; Qi, R.; Shen, Y.; Knowles, T.P.J. Recent Advances in Microgels: From Biomolecules to Functionality. Small 2022, 18, 2200180. [Google Scholar] [CrossRef]
- Severini, L.; Franco, S.; Celi, E.; Sennato, S.; Paialunga, E.; Tavagnacco, L.; Micheli, L.; Angelini, R.; Zaccarelli, E.; Mazzuca, C. Methacrylated gellan gum microgels: A further step in the gel-based cleaning system. J. Cult. Herit. 2025, 71, 97–105. [Google Scholar] [CrossRef]
- Di Napoli, B.; Franco, S.; Severini, L.; Tumiati, M.; Buratti, E.; Titubante, M.; Nigro, V.; Gnan, N.; Micheli, L.; Ruzicka, B.; et al. Gellan Gum Microgels as Effective Agents for a Rapid Cleaning of Paper. ACS Appl. Polym. Mater. 2020, 2, 2791–2801. [Google Scholar] [CrossRef] [PubMed]
- Franco, S.; Severini, L.; Buratti, E.; Tavagnacco, L.; Sennato, S.; Micheli, L.; Missori, M.; Ruzicka, B.; Mazzuca, C.; Zaccarelli, E.; et al. Gellan-based hydrogels and microgels: A rheological perspective. Carbohydr. Polym. 2025, 354, 123329. [Google Scholar] [CrossRef]
- Cavallaro, G.; Milioto, S.; Nigamatzyanova, L.; Akhatova, F.; Fakhrullin, R.; Lazzara, G. Pickering Emulsion Gels Based on Halloysite Nanotubes and Ionic Biopolymers: Properties and Cleaning Action on Marble Surface. ACS Appl. Nano Mater. 2019, 2, 3169–3176. [Google Scholar] [CrossRef]
- Gorel, F. Assessment of agar gel loaded with micro-emulsion for the cleaning of porous surfaces. CeROArt 2010. [Google Scholar] [CrossRef]
- Bradley, M.; Davies, P.; Vincent, B. Uptake and Release of Active Species into and from Microgel Particles. In Highlights in Colloid Science; Wiley-VCH Verlag GmbH & Co.: Weinheim, Germany, 2008; pp. 21–40. [Google Scholar]
- Lyon, L.A.; Fernandez-Nieves, A. The Polymer/Colloid Duality of Microgel Suspensions. Annu. Rev. Phys. Chem. 2012, 63, 25–43. [Google Scholar] [CrossRef] [PubMed]
- Hu, H.; Huang, X.; Chen, J.; Chen, J. PVA/PEGDA microgels loaded with L-cysteine for corrosion inhibition coating on fragile bronze. J. Coatings Technol. Res. 2025, 22, 631–649. [Google Scholar] [CrossRef]
- Baglioni, M.; Jàidar Benavides, Y.; Berti, D.; Giorgi, R.; Keiderling, U.; Baglioni, P. An amine-oxide surfactant-based microemulsion for the cleaning of works of art. J. Colloid Interface Sci. 2015, 440, 204–210. [Google Scholar] [CrossRef]
- Zeng, L.; Xin, X.; Zhang, Y. Development and characterization of promising Cremophor EL-stabilized o/w nanoemulsions containing short-chain alcohols as a cosurfactant. RSC Adv. 2017, 7, 19815–19827. [Google Scholar] [CrossRef]
- Baglioni, M.; Raudino, M.; Berti, D.; Keiderling, U.; Bordes, R.; Holmberg, K.; Baglioni, P. Nanostructured fluids from degradable nonionic surfactants for the cleaning of works of art from polymer contaminants. Soft Matter 2014, 10, 6798–6809. [Google Scholar] [CrossRef]
- Still, T.; Chen, K.; Alsayed, A.M.; Aptowicz, K.B.; Yodh, A.G. Synthesis of micrometer-size poly(N-isopropylacrylamide) microgel particles with homogeneous crosslinker density and diameter control. J. Colloid Interface Sci. 2013, 405, 96–102. [Google Scholar] [CrossRef]
- Wu, J.; Zhou, B.; Hu, Z. Phase Behavior of Thermally Responsive Microgel Colloids. Phys. Rev. Lett. 2003, 90, 048304. [Google Scholar] [CrossRef]
- Pellet, C.; Cloitre, M. The glass and jamming transitions of soft polyelectrolyte microgel suspensions. Soft Matter 2016, 12, 3710–3720. [Google Scholar] [CrossRef]
- Hyun, K.; Wilhelm, M.; Klein, C.O.; Cho, K.S.; Nam, J.G.; Ahn, K.H.; Lee, S.J.; Ewoldt, R.H.; McKinley, G.H. A review of nonlinear oscillatory shear tests: Analysis and application of large amplitude oscillatory shear (LAOS). Prog. Polym. Sci. 2011, 36, 1697–1753. [Google Scholar] [CrossRef]
- van der Vaart, K.; Rahmani, Y.; Zargar, R.; Hu, Z.; Bonn, D.; Schall, P. Rheology of concentrated soft and hard-sphere suspensions. J. Rheol. 2013, 57, 1195–1209. [Google Scholar] [CrossRef]
- Carrier, V.; Petekidis, G. Nonlinear rheology of colloidal glasses of soft thermosensitive microgel particles. J. Rheol. 2009, 53, 245–273. [Google Scholar] [CrossRef]
- Saisavadas, M.V.; Dhara, S.; Joshi, R.G.; Tata, B.V.R. Large amplitude oscillatory shear studies on dense PNIPAM microgel colloidal glasses. Colloid Polym. Sci. 2023, 301, 599–611. [Google Scholar] [CrossRef]
- Donley, G.J.; Singh, P.K.; Shetty, A.; Rogers, S.A. Elucidating the G″ overshoot in soft materials with a yield transition via a time-resolved experimental strain decomposition. Proc. Natl. Acad. Sci. USA 2020, 117, 21945–21952. [Google Scholar] [CrossRef] [PubMed]
- Pensabene Buemi, L.; Petruzzellis, M.L.; Chelazzi, D.; Baglioni, M.; Mastrangelo, R.; Giorgi, R.; Baglioni, P. Twin-chain polymer networks loaded with nanostructured fluids for the selective removal of a non-original varnish from Picasso’s “L’Atelier” at the Peggy Guggenheim Collection, Venice. Herit. Sci. 2020, 8, 77. [Google Scholar] [CrossRef]
- Wolbers, R.C. The use of a synthetic soiling mixture as a means for evaluating the efficacy of aqueous cleaning materials on painted surfaces. Conserv. Restaur. Des Biens Cult. Rev. l’ARAAFU 1992, 4, 22–29. [Google Scholar]







| Sample | Dh [nm] | |
|---|---|---|
| No Microgels | With Microgels | |
| NI1 | 17.5 ± 0.1 | 18.1 ± 0.2 |
| NI1 + CH | 14.4 ± 0.1 | 14.1 ± 0.1 |
| NCF1 | 26.8 ± 0.2 | 25.7 ± 0.2 |
| NI2 | 7.0 ± 0.1 | 7.5 ± 0.1 |
| NI2 + CH | 7.9 ± 0.1 | 7.7 ± 0.1 |
| NCF2 | 55.2 ± 2.1 | 57.6 ± 2.6 |
| ZW | 4.5 ± 0.1 | 4.7 ± 0.2 |
| ZW + BA | 10.9 ± 0.2 | 11.5 ± 0.2 |
| NCF3 | 13.4 ± 0.1 | 13.4 ± 0.1 |
| Component | NCF1 | NCF2 | NCF3 |
|---|---|---|---|
| Surfactant | NI1 (4.7%) | NI2 (4.8%) | ZW (5.0%) |
| Dispersed phase | DEC (4.0%) | DEC (4.0%) | DEC (3.0%) |
| Cosolvent | CH (4.0%) | CH (4.0%) | BA (2.0%) |
Disclaimer/Publisher’s Note: The statements, opinions and data contained in all publications are solely those of the individual author(s) and contributor(s) and not of MDPI and/or the editor(s). MDPI and/or the editor(s) disclaim responsibility for any injury to people or property resulting from any ideas, methods, instructions or products referred to in the content. |
© 2025 by the authors. Licensee MDPI, Basel, Switzerland. This article is an open access article distributed under the terms and conditions of the Creative Commons Attribution (CC BY) license (https://creativecommons.org/licenses/by/4.0/).
Share and Cite
Vialetto, J.; Chelazzi, D.; Laurati, M.; Poggi, G. Exploring the Combination of Microgels and Nanostructured Fluids for the Cleaning of Works of Art. Gels 2025, 11, 382. https://doi.org/10.3390/gels11060382
Vialetto J, Chelazzi D, Laurati M, Poggi G. Exploring the Combination of Microgels and Nanostructured Fluids for the Cleaning of Works of Art. Gels. 2025; 11(6):382. https://doi.org/10.3390/gels11060382
Chicago/Turabian StyleVialetto, Jacopo, David Chelazzi, Marco Laurati, and Giovanna Poggi. 2025. "Exploring the Combination of Microgels and Nanostructured Fluids for the Cleaning of Works of Art" Gels 11, no. 6: 382. https://doi.org/10.3390/gels11060382
APA StyleVialetto, J., Chelazzi, D., Laurati, M., & Poggi, G. (2025). Exploring the Combination of Microgels and Nanostructured Fluids for the Cleaning of Works of Art. Gels, 11(6), 382. https://doi.org/10.3390/gels11060382

