Epoxy Resin Highly Loaded with an Ionic Liquid: Morphology, Rheology, and Thermophysical Properties
Abstract
1. Introduction
2. Results and Discussion
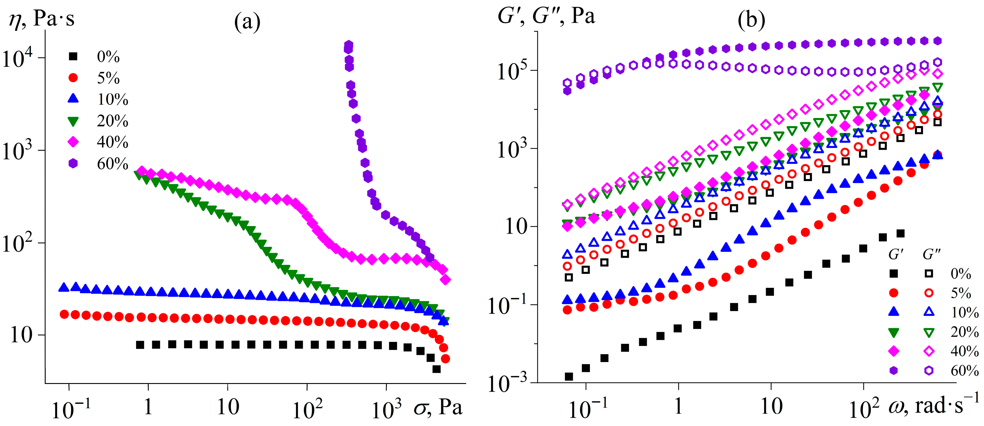
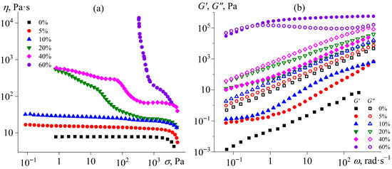
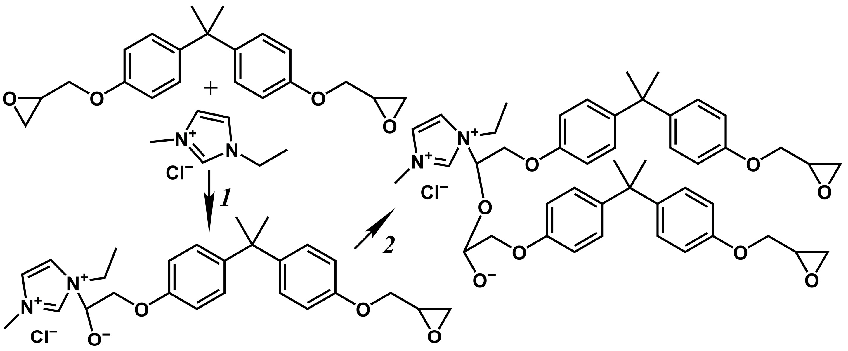
2.1. Uncured Epoxy Resin/IL Mixtures
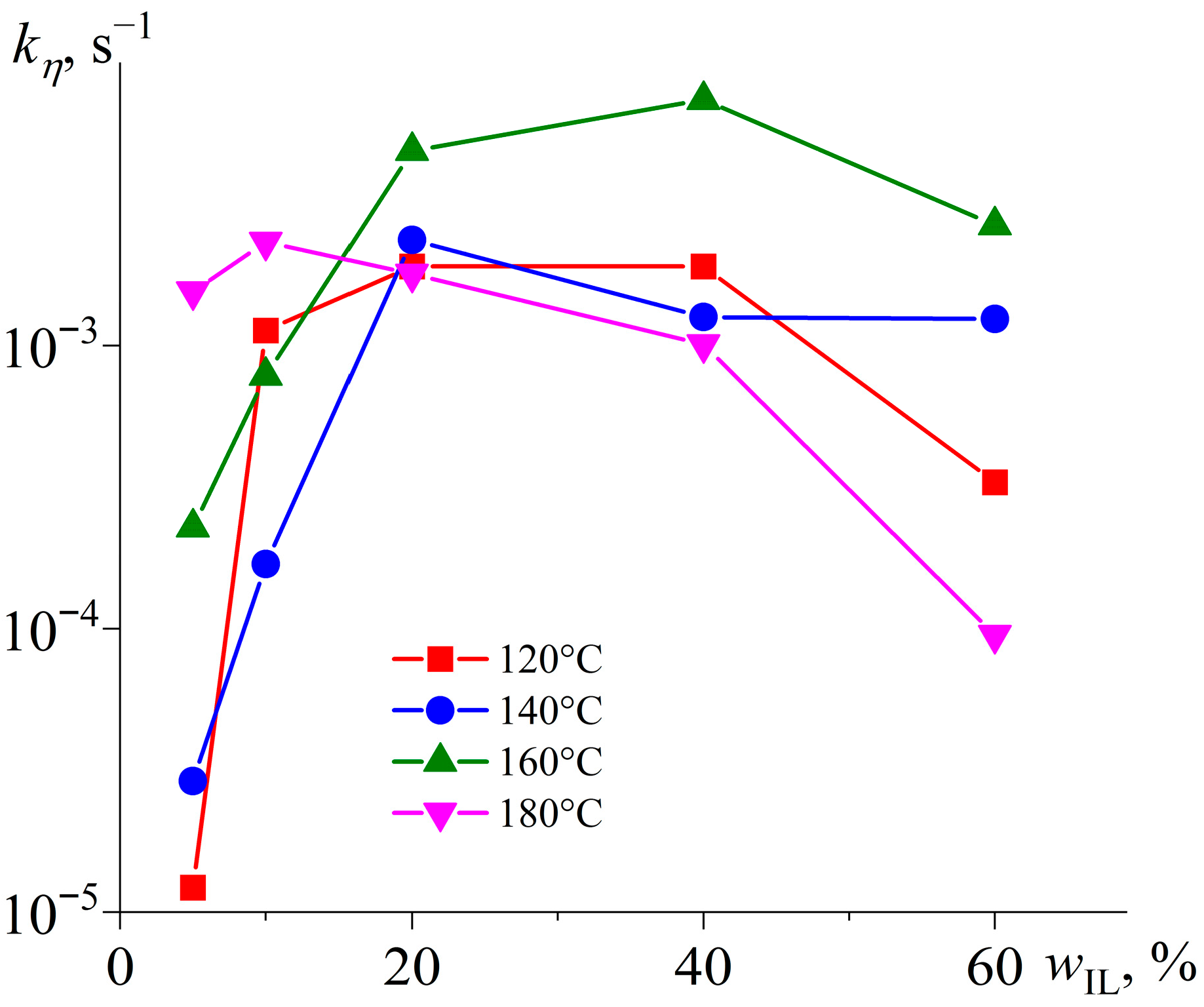
2.2. Curing of Epoxy Resin/IL Mixtures
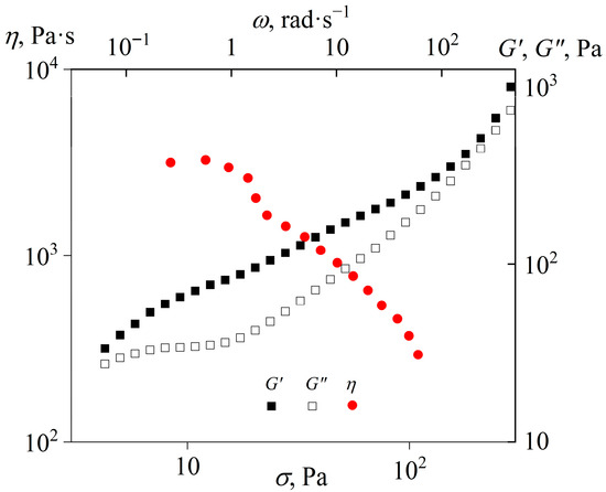
2.3. Cured Epoxy Resin/IL Mixtures
2.4. A Concentration-Dependent Strategy: From Reinforcement to Functional Hybrids
3. Conclusions
- At a 5% content, [EMIM]Cl acts as a curing agent for the epoxy resin, potentially outperforming a usual aliphatic amine and resulting in a crosslinked polymer with higher stiffness, although comprehensive investigations into its tensile and impact strength are necessary to substantiate claims of superior performance.
- A higher [EMIM]Cl concentration of 10% crosslinks the epoxy resin, but the excess ionic liquid acts as a plasticizer, reducing the stiffness and glass transition temperature.
- Concentrations of [EMIM]Cl in the range of 20–40% promote the dominance of the initiation reaction, which forms numerous growing chains that prematurely terminate and cyclize, resulting in a thermoplastic rather than crosslinked epoxy polymer.
- At 60% [EMIM]Cl content, a dispersed phase forms but absorbs water from the air because of hygroscopicity. It foams at high temperatures, does not crystallize, and does not act as an effective phase-change agent.
4. Materials and Methods
4.1. Materials
4.2. Methods
Author Contributions
Funding
Institutional Review Board Statement
Informed Consent Statement
Data Availability Statement
Acknowledgments
Conflicts of Interest
References
- May, C.A. (Ed.) Epoxy Resins: Chemistry and Technologie, 2nd ed.; rev.expanded; Dekker: New York, NY, USA, 1988; ISBN 978-0-8247-7690-9. [Google Scholar]
- Jin, F.-L.; Li, X.; Park, S.-J. Synthesis and Application of Epoxy Resins: A Review. J. Ind. Eng. Chem. 2015, 29, 1–11. [Google Scholar] [CrossRef]
- Rahman, M.M.; Akhtarul Islam, M. Application of Epoxy Resins in Building Materials: Progress and Prospects. Polym. Bull. 2022, 79, 1949–1975. [Google Scholar] [CrossRef]
- Dinu, R.; Lafont, U.; Damiano, O.; Mija, A. Development of Sustainable High Performance Epoxy Thermosets for Aerospace and Space Applications. Polymers 2022, 14, 5473. [Google Scholar] [CrossRef] [PubMed]
- Xiang, Q.; Xiao, F. Applications of Epoxy Materials in Pavement Engineering. Constr. Build. Mater. 2020, 235, 117529. [Google Scholar] [CrossRef]
- Chen, X.M.; Ellis, B. Coatings and Other Applications of Epoxy Resins. In Chemistry and Technology of Epoxy Resins; Ellis, B., Ed.; Springer: Dordrecht, The Netherlands, 1993; pp. 303–325. ISBN 978-94-010-5302-0. [Google Scholar]
- Dallaev, R.; Pisarenko, T.; Papež, N.; Sadovský, P.; Holcman, V. A Brief Overview on Epoxies in Electronics: Properties, Applications, and Modifications. Polymers 2023, 15, 3964. [Google Scholar] [CrossRef] [PubMed]
- Dakin, T. Application of Epoxy Resins in Electrical Apparatus. IEEE Trans. Electr. Insul. 1974, EI-9, 121–128. [Google Scholar] [CrossRef]
- Makhmetova, A.; Negim, E.-S.; Ainakulova, D.; Yeligbayeva, G.; Khatib, J. An Overview of Epoxy Resins as Coating to Protect Metals from Corrosion. Complex Use Miner. Resour. 2024, 328, 20–32. [Google Scholar] [CrossRef]
- Bobby, S.; Samad, M.A. Epoxy Composites in Biomedical Engineering. In Materials for Biomedical Engineering; Elsevier: Amsterdam, The Netherlands, 2019; pp. 145–174. ISBN 978-0-12-816874-5. [Google Scholar]
- Mohan, P. A Critical Review: The Modification, Properties, and Applications of Epoxy Resins. Polym.-Plast. Technol. Eng. 2013, 52, 107–125. [Google Scholar] [CrossRef]
- Gonçalves, F.A.M.M.; Santos, M.; Cernadas, T.; Alves, P.; Ferreira, P. Influence of Fillers on Epoxy Resins Properties: A Review. J. Mater. Sci. 2022, 57, 15183–15212. [Google Scholar] [CrossRef]
- Paluvai, N.R.; Mohanty, S.; Nayak, S.K. Synthesis and Modifications of Epoxy Resins and Their Composites: A Review. Polym.-Plast. Technol. Eng. 2014, 53, 1723–1758. [Google Scholar] [CrossRef]
- Gibson, G. Epoxy Resins. In Brydson’s Plastics Materials; Elsevier: Amsterdam, The Netherlands, 2017; pp. 773–797. ISBN 978-0-323-35824-8. [Google Scholar]
- Rafique, I.; Kausar, A.; Anwar, Z.; Muhammad, B. Exploration of Epoxy Resins, Hardening Systems, and Epoxy/Carbon Nanotube Composite Designed for High Performance Materials: A Review. Polym.-Plast. Technol. Eng. 2016, 55, 312–333. [Google Scholar] [CrossRef]
- Aziz, T.; Haq, F.; Farid, A.; Cheng, L.; Chuah, L.F.; Bokhari, A.; Mubashir, M.; Tang, D.Y.Y.; Show, P.L. The Epoxy Resin System: Function and Role of Curing Agents. Carbon Lett. 2024, 34, 477–494. [Google Scholar] [CrossRef]
- Li, J.; Aung, H.H.; Du, B. Curing Regime-Modulating Insulation Performance of Anhydride-Cured Epoxy Resin: A Review. Molecules 2023, 28, 547. [Google Scholar] [CrossRef] [PubMed]
- Dowbenko, R.; Anderson, C.C.; Chang, W.-H. Imidazole Complexes as Hardeners for Epoxy Adhesives. Ind. Eng. Chem. Prod. Res. Dev. 1971, 10, 344–351. [Google Scholar] [CrossRef]
- Li, H.; Liu, C.; Zhang, X.; Shi, K.; Huan, X.; Lin, S.; Wu, S.; Jia, X.; Cai, Q.; Yang, X. Catalyst-Free Synthesis of Isocyanate-Blocked Imidazole and Its Use as High-Performance Latent Hardener for Epoxy Resin. J. Mater. Sci. 2021, 56, 936–956. [Google Scholar] [CrossRef]
- Yang, B.; Wei, Y.; Qiu, Y.; Ramakrishna, S.; Liu, Y. A Novel Bio-based, Flame Retardant and Latent Imidazole Compound—Its Synthesis and Uses as Curing Agent for Epoxy Resins. J. Appl. Polym. Sci. 2022, 139, e53079. [Google Scholar] [CrossRef]
- Ham, Y.R.; Kim, S.H.; Shin, Y.J.; Lee, D.H.; Yang, M.; Min, J.H.; Shin, J.S. A Comparison of Some Imidazoles in the Curing of Epoxy Resin. J. Ind. Eng. Chem. 2010, 16, 556–559. [Google Scholar] [CrossRef]
- Modirrousta, M.; Fattahi, H.; Mortezaei, M.; Jahani, M. Curing Kinetics Effect on Thermo-Mechanical Properties of an Epoxy Resin Cured by Imidazolium-Based Ionic Liquid. Iran. Polym. J. 2024, 34, 901–916. [Google Scholar] [CrossRef]
- Carvalho, A.P.A.; Santos, D.F.; Soares, B.G. Epoxy/Imidazolium-based Ionic Liquid Systems: The Effect of the Hardener on the Curing Behavior, Thermal Stability, and Microwave Absorbing Properties. J. Appl. Polym. Sci. 2020, 137, 48326. [Google Scholar] [CrossRef]
- Jiang, Z.; Wang, Q.; Liu, L.; Zhang, Y.; Du, F.; Pang, A. Dual-Functionalized Imidazolium Ionic Liquids as Curing Agents for Epoxy Resins. Ind. Eng. Chem. Res. 2020, 59, 3024–3034. [Google Scholar] [CrossRef]
- Dzienia, A.; Tarnacka, M.; Koperwas, K.; Maksym, P.; Ziȩba, A.; Feder-Kubis, J.; Kamiński, K.; Paluch, M. Impact of Imidazolium-Based Ionic Liquids on the Curing Kinetics and Physicochemical Properties of Nascent Epoxy Resins. Macromolecules 2020, 53, 6341–6352. [Google Scholar] [CrossRef]
- Ahmed Arafa, W.A. An Eco-Compatible Pathway to the Synthesis of Mono and Bis-Multisubstituted Imidazoles over Novel Reusable Ionic Liquids: An Efficient and Green Sonochemical Process. RSC Adv. 2018, 8, 16392–16399. [Google Scholar] [CrossRef]
- Sadjadi, S. Magnetic (Poly) Ionic Liquids: A Promising Platform for Green Chemistry. J. Mol. Liq. 2021, 323, 114994. [Google Scholar] [CrossRef]
- Kedimar, N.; Rao, P.; Rao, S.A. Imidazole-Based Ionic Liquid as Sustainable Green Inhibitor for Corrosion Control of Steel Alloys: A Review. J. Mol. Liq. 2024, 411, 125789. [Google Scholar] [CrossRef]
- Livi, S.; Baudoux, J.; Gérard, J.-F.; Duchet-Rumeau, J. Ionic Liquids: A Versatile Platform for the Design of a Multifunctional Epoxy Networks 2.0 Generation. Prog. Polym. Sci. 2022, 132, 101581. [Google Scholar] [CrossRef]
- Fedoseev, M.S.; Gruzdev, M.S.; Derzhavinskaya, L.F. 1-Butyl-3-Methylimidazolium Salts as New Catalysts to Produce Epoxy-Anhydride Polymers with Improved Properties. Int. J. Polym. Sci. 2014, 2014, 607341. [Google Scholar] [CrossRef]
- Zielinski, D.; Szpecht, A.; Pomázi, Á.; Kovács, Z.; Szolnoki, B.; Pinke, B.; Toldy, A.; Smiglak, M. Multifunctional Modifying Systems Based on Ionic Liquids for Epoxy Resin Systems and Composites. Appl. Sci. 2023, 13, 10661. [Google Scholar] [CrossRef]
- Watanabe, M. Advances in Organic Ionic Materials Based on Ionic Liquids and Polymers. Bull. Chem. Soc. Jpn. 2021, 94, 2739–2769. [Google Scholar] [CrossRef]
- Wei, L.; Wang, L.; Cui, Z.; Liu, Y.; Du, A. Multifunctional Applications of Ionic Liquids in Polymer Materials: A Brief Review. Molecules 2023, 28, 3836. [Google Scholar] [CrossRef]
- Suen, J.W.; Elumalai, N.K.; Debnath, S.; Mubarak, N.M.; Lim, C.I.; Reddy, M.M. The Role of Interfaces in Ionic Liquid-Based Hybrid Materials (Ionogels) for Sensing and Energy Applications. Adv. Mater. Interfaces 2022, 9, 2201405. [Google Scholar] [CrossRef]
- Arora, S.; Verma, N. A Review: Advancing Organic Electronics through the Lens of Ionic Liquids and Polymerized Ionic Liquids. RSC Appl. Polym. 2024, 2, 317–355. [Google Scholar] [CrossRef]
- Ye, Y.S.; Wang, H.; Bi, S.G.; Xue, Y.; Xue, Z.G.; Liao, Y.G.; Zhou, X.P.; Xie, X.L.; Mai, Y.W. Enhanced Ion Transport in Polymer–Ionic Liquid Electrolytes Containing Ionic Liquid-Functionalized Nanostructured Carbon Materials. Carbon 2015, 86, 86–97. [Google Scholar] [CrossRef]
- Choi, S.-Y.; Cho, S.; Kim, D.; Kim, J.; Song, G.; Singh, R.; Kim, C. Boosting the Proton Conduction Using Protonated Imidazole for Advanced Ion Conducting Membrane. J. Membr. Sci. 2021, 620, 118904. [Google Scholar] [CrossRef]
- Cho, C.-W.; Pham, T.P.T.; Zhao, Y.; Stolte, S.; Yun, Y.-S. Review of the Toxic Effects of Ionic Liquids. Sci. Total Environ. 2021, 786, 147309. [Google Scholar] [CrossRef]
- Fang, Z.; Zheng, X.; Li, L.; Qi, J.; Wu, W.; Lu, Y. Ionic Liquids: Emerging Antimicrobial Agents. Pharm. Res. 2022, 39, 2391–2404. [Google Scholar] [CrossRef]
- Fallah, Z.; Zare, E.N.; Khan, M.A.; Iftekhar, S.; Ghomi, M.; Sharifi, E.; Tajbakhsh, M.; Nikfarjam, N.; Makvandi, P.; Lichtfouse, E.; et al. Ionic Liquid-Based Antimicrobial Materials for Water Treatment, Air Filtration, Food Packaging and Anticorrosion Coatings. Adv. Colloid Interface Sci. 2021, 294, 102454. [Google Scholar] [CrossRef]
- Vereshchagin, A.N.; Frolov, N.A.; Egorova, K.S.; Seitkalieva, M.M.; Ananikov, V.P. Quaternary Ammonium Compounds (QACs) and Ionic Liquids (ILs) as Biocides: From Simple Antiseptics to Tunable Antimicrobials. Int. J. Mol. Sci. 2021, 22, 6793. [Google Scholar] [CrossRef]
- Costa, F.M.S.; Saraiva, M.L.M.F.S.; Passos, M.L.C. Ionic Liquids and Organic Salts with Antimicrobial Activity as a Strategy against Resistant Microorganisms. J. Mol. Liq. 2022, 368, 120750. [Google Scholar] [CrossRef]
- Yagci, M.B.; Bolca, S.; Heuts, J.P.A.; Ming, W.; De With, G. Antimicrobial Polyurethane Coatings Based on Ionic Liquid Quaternary Ammonium Compounds. Prog. Org. Coat. 2011, 72, 343–347. [Google Scholar] [CrossRef]
- Torres, M.D.T.; Voskian, S.; Brown, P.; Liu, A.; Lu, T.K.; Hatton, T.A.; De La Fuente-Nunez, C. Coatable and Resistance-Proof Ionic Liquid for Pathogen Eradication. ACS Nano 2021, 15, 966–978. [Google Scholar] [CrossRef]
- Nikfarjam, N.; Ghomi, M.; Agarwal, T.; Hassanpour, M.; Sharifi, E.; Khorsandi, D.; Ali Khan, M.; Rossi, F.; Rossetti, A.; Nazarzadeh Zare, E.; et al. Antimicrobial Ionic Liquid-Based Materials for Biomedical Applications. Adv. Funct. Mater. 2021, 31, 2104148. [Google Scholar] [CrossRef]
- Souza, P.R.; Vilsinski, B.H.; De Oliveira, A.C.; Berton, S.B.R.; Madruga, L.Y.C.; Schrekker, H.S.; Radovanovic, E.; Kipper, M.J.; Martins, A.F.; Muniz, E.C. Poly(Ethylene Terephthalate) Films Coated with Antimicrobial Gelatin/Chondroitin Sulfate Polyelectrolyte Multilayers Containing Ionic Liquids. Prog. Org. Coat. 2022, 170, 106997. [Google Scholar] [CrossRef]
- Singh, A.; Singh, J.; Singh, N.; Kaur, N. Development and Characterization of Gelatin/Carboxymethyl Cellulose Based Polymeric Film with Inclusion of Ionic Liquid to Enhance the Shelf Life of Food. Food Packag. Shelf Life 2024, 42, 101251. [Google Scholar] [CrossRef]
- Mehta, M.J.; Kumar, A. Ionic Liquid Assisted Gelatin Films: Green, UV Shielding, Antioxidant, and Antibacterial Food Packaging Materials. ACS Sustain. Chem. Eng. 2019, 7, 8631–8636. [Google Scholar] [CrossRef]
- Taylor, S.; Baiju, S.K.; McQuinlan, M.K.; Cowan, M.G. Ionic Liquids in Marine Anti-Fouling Coatings. In Novel Anti-Corrosion and Anti-Fouling Coatings and Thin Films; Murthy, H., Pillai, V.J., Kumar, K.P., Cowan, M., Eds.; Wiley: Hoboken, NJ, USA, 2024; pp. 43–75. ISBN 978-1-394-23428-8. [Google Scholar]
- Elshaarawy, R.F.M.; Mustafa, F.H.A.; Sofy, A.R.; Hmed, A.A.; Janiak, C. A New Synthetic Antifouling Coatings Integrated Novel Aminothiazole-Functionalized Ionic Liquids Motifs with Enhanced Antibacterial Performance. J. Environ. Chem. Eng. 2019, 7, 102800. [Google Scholar] [CrossRef]
- Baiju, S.K.; Martin, B.J.; Fredericks, R.; Raghavan, H.; De Silva, K.; Cowan, M.G. Anti-Fouling Properties of Phosphonium Ionic Liquid Coatings in the Marine Environment. Polymers 2023, 15, 3677. [Google Scholar] [CrossRef]
- Wang, B.; Wang, P.; He, B.; Liu, S.; Ye, Q.; Zhou, F. Fabrication of Ionic Liquid-Functionalized Polystyrene Nanospheres via Subsurface-Initiated Atom Transfer Radical Polymerization for Anti-Fouling Application. Prog. Org. Coat. 2022, 171, 107044. [Google Scholar] [CrossRef]
- Mizerska, U.; Fortuniak, W.; Chojnowski, J.; Hałasa, R.; Konopacka, A.; Werel, W. Polysiloxane Cationic Biocides with Imidazolium Salt (ImS) Groups, Synthesis and Antibacterial Properties. Eur. Polym. J. 2009, 45, 779–787. [Google Scholar] [CrossRef]
- Pasciolco, M.J.; Coca-Lopez, N.; Pilapil, J.D.; Wu, Q.; Portela, R.; Han, W.; Zhang, X.; Bañares, M.A.; Kwan, J.K.C.; Yeung, K.L. In Situ Micro-Raman Spectroscopy of Curing Dynamics of Antibacterial, Antibiofouling, and Anticorrosion Ceramic Epoxy with an Ionic Liquid Additive. Chem. Eng. J. 2025, 520, 165868. [Google Scholar] [CrossRef]
- Lawag, R.A.; Ali, H.M. Phase Change Materials for Thermal Management and Energy Storage: A Review. J. Energy Storage 2022, 55, 105602. [Google Scholar] [CrossRef]
- Yang, L.; Jin, X.; Zhang, Y.; Du, K. Recent Development on Heat Transfer and Various Applications of Phase-Change Materials. J. Clean. Prod. 2021, 287, 124432. [Google Scholar] [CrossRef]
- Huang, J.; Luo, Y.; Weng, M.; Yu, J.; Sun, L.; Zeng, H.; Liu, Y.; Zeng, W.; Min, Y.; Guo, Z. Advances and Applications of Phase Change Materials (PCMs) and PCMs-Based Technologies. ES Mater. Manuf. 2021, 13, 23–39. [Google Scholar] [CrossRef]
- Shoeibi, S.; Kargarsharifabad, H.; Mirjalily, S.A.A.; Sadi, M.; Arabkoohsar, A. A Comprehensive Review of Nano-Enhanced Phase Change Materials on Solar Energy Applications. J. Energy Storage 2022, 50, 104262. [Google Scholar] [CrossRef]
- Naveenkumar, R.; Ravichandran, M.; Mohanavel, V.; Karthick, A.; Aswin, L.S.R.L.; Priyanka, S.S.H.; Kumar, S.K.; Kumar, S.P. Review on Phase Change Materials for Solar Energy Storage Applications. Environ. Sci. Pollut. Res. 2022, 29, 9491–9532. [Google Scholar] [CrossRef]
- Mourad, A.; Aissa, A.; Said, Z.; Younis, O.; Iqbal, M.; Alazzam, A. Recent Advances on the Applications of Phase Change Materials for Solar Collectors, Practical Limitations, and Challenges: A Critical Review. J. Energy Storage 2022, 49, 104186. [Google Scholar] [CrossRef]
- Wang, X.; Li, W.; Luo, Z.; Wang, K.; Shah, S.P. A Critical Review on Phase Change Materials (PCM) for Sustainable and Energy Efficient Building: Design, Characteristic, Performance and Application. Energy Build. 2022, 260, 111923. [Google Scholar] [CrossRef]
- Lamrani, B.; Johannes, K.; Kuznik, F. Phase Change Materials Integrated into Building Walls: An Updated Review. Renew. Sustain. Energy Rev. 2021, 140, 110751. [Google Scholar] [CrossRef]
- Luo, J.; Zou, D.; Wang, Y.; Wang, S.; Huang, L. Battery Thermal Management Systems (BTMs) Based on Phase Change Material (PCM): A Comprehensive Review. Chem. Eng. J. 2022, 430, 132741. [Google Scholar] [CrossRef]
- Nasajpour-Esfahani, N.; Garmestani, H.; Rozati, M.; Smaisim, G.F. The Role of Phase Change Materials in Lithium-Ion Batteries: A Brief Review on Current Materials, Thermal Management Systems, Numerical Methods, and Experimental Models. J. Energy Storage 2023, 63, 107061. [Google Scholar] [CrossRef]
- Afaynou, I.; Faraji, H.; Choukairy, K.; Arshad, A.; Arıcı, M. Heat Transfer Enhancement of Phase-Change Materials (PCMs) Based Thermal Management Systems for Electronic Components: A Review of Recent Advances. Int. Commun. Heat Mass Transf. 2023, 143, 106690. [Google Scholar] [CrossRef]
- Ilyina, S.O.; Vlasova, A.V.; Gorbunova, I.Y.; Lukashov, N.I.; Kerber, M.L.; Ilyin, S.O. Epoxy Phase-Change Materials Based on Paraffin Wax Stabilized by Asphaltenes. Polymers 2023, 15, 3243. [Google Scholar] [CrossRef] [PubMed]
- Ilyina, S.O.; Gorbunova, I.Y.; Yadykova, A.Y.; Vlasova, A.V.; Kerber, M.L.; Ilyin, S.O. Naphthalene-Containing Epoxy Resin: Phase Structure, Rheology, and Thermophysical Properties. Polymers 2024, 16, 3264. [Google Scholar] [CrossRef]
- Ilyina, S.O.; Gorbunova, I.Y.; Makarova, V.V.; Kerber, M.L.; Ilyin, S.O. Self-Lubricating and Shape-Stable Phase-Change Materials Based on Epoxy Resin and Vegetable Oils. Polymers 2023, 15, 4026. [Google Scholar] [CrossRef]
- Maka, H.; Spychaj, T. Epoxy Resin Crosslinked with Conventional and Deep Eutectic Ionic Liquids. Polimery 2012, 57, 456–462. [Google Scholar] [CrossRef]
- Ilyin, S.O. Structural Rheology in the Development and Study of Complex Polymer Materials. Polymers 2024, 16, 2458. [Google Scholar] [CrossRef]
- Ignatenko, V.Y.; Kostyuk, A.V.; Kostina, J.V.; Bakhtin, D.S.; Makarova, V.V.; Antonov, S.V.; Ilyin, S.O. Heavy Crude Oil Asphaltenes as a Nanofiller for Epoxy Resin. Polym. Eng. Sci. 2020, 60, 1530–1545. [Google Scholar] [CrossRef]
- Arinina, M.P.; Kostenko, V.A.; Gorbunova, I.Y.; Il’in, S.O.; Malkin, A.Y. Kinetics of Curing of Epoxy Oligomer by Diaminodiphenyl Sulfone: Rheology and Calorimetry. Polym. Sci. Ser. A 2018, 60, 683–690. [Google Scholar] [CrossRef]
- Rahmathullah, M.A.M.; Jeyarajasingam, A.; Merritt, B.; VanLandingham, M.; McKnight, S.H.; Palmese, G.R. Room Temperature Ionic Liquids as Thermally Latent Initiators for Polymerization of Epoxy Resins. Macromolecules 2009, 42, 3219–3221. [Google Scholar] [CrossRef]
- Maka, H.; Spychaj, T.; Pilawka, R. Epoxy Resin/Ionic Liquid Systems: The Influence of Imidazolium Cation Size and Anion Type on Reactivity and Thermomechanical Properties. Ind. Eng. Chem. Res. 2012, 51, 5197–5206. [Google Scholar] [CrossRef]
- Heise, M.S.; Martin, G.C. Curing Mechanism and Thermal Properties of Epoxy-Imidazole Systems. Macromolecules 1989, 22, 99–104. [Google Scholar] [CrossRef]
- Heise, M.S.; Martin, G.C. Analysis of the Cure Kinetics of Epoxy/Imidazole Resin Systems. J. Appl. Polym. Sci. 1990, 39, 721–738. [Google Scholar] [CrossRef]
- Chalykh, A.E.; Zhavoronok, E.S.; Kolesnikova, E.F.; Kostina, Y.V.; Bondarenko, G.N. Kinetics of Curing of Diane and Aliphatic Epoxy Oligomer Blends: IR-Spectroscopy Study. Polym. Sci. Ser. B 2011, 53, 466–475. [Google Scholar] [CrossRef]
- Kotov, N.; Šturcová, A.; Zhigunov, A.; Raus, V.; Dybal, J. Structural Transitions of 1-Butyl-3-Methylimidazolium Chloride/Water Mixtures Studied by Raman and FTIR Spectroscopy and WAXS. Cryst. Growth Des. 2016, 16, 1958–1967. [Google Scholar] [CrossRef]
- Berg, R.W. Raman Spectroscopy and Ab-Initio Model Calculations on Ionic Liquids. Monatshefte Chem.-Chem. Mon. 2007, 138, 1045–1075. [Google Scholar] [CrossRef]
- Coronado-Aldana, E.K.; Ferreira-Salazar, C.L.; Piñeros-Castro, N.Y.; Vázquez-Medina, R.; Perdomo, F.A. Thermodynamic Analysis, Synthesis, Characterization, and Evaluation of 1-Ethyl-3-Methylimidazolium Chloride: Study of Its Effect on Pretreated Rice Husk. Chin. J. Chem. Eng. 2023, 60, 143–154. [Google Scholar] [CrossRef]
- Bezrodna, T.; Puchkovska, G.; Shymanovska, V.; Baran, J.; Ratajczak, H. IR-Analysis of H-Bonded H2O on the Pure TiO2 Surface. J. Mol. Struct. 2004, 700, 175–181. [Google Scholar] [CrossRef]
- Rull, F. Structural Investigation of Water and Aqueous Solutions by Raman Spectroscopy. Pure Appl. Chem. 2002, 74, 1859–1870. [Google Scholar] [CrossRef]
- Murthy, A.S.N.; Rao, C.N.R. Spectroscopic Studies of the Hydrogen Bond. Appl. Spectrosc. Rev. 1968, 2, 69–191. [Google Scholar] [CrossRef]
- Wang, Z.; Pakoulev, A.; Pang, Y.; Dlott, D.D. Vibrational Substructure in the OH Stretching Transition of Water and HOD. J. Phys. Chem. A 2004, 108, 9054–9063. [Google Scholar] [CrossRef]
- Rilo, E.; Rosende-Pereiro, A.; Domínguez-Pérez, M.; Cabeza, O.; Segade, L. New Insights into the Hygroscopic Character of Ionic Liquids: Study of Fourteen Representatives of Five Cation and Four Anion Families. Int. J. Mol. Sci. 2024, 25, 4229. [Google Scholar] [CrossRef] [PubMed]
- Jeon, J.-H.; Tanaka, K.; Chujo, Y. Synthesis of Sulfonic Acid-Containing POSS and Its Filler Effects for Enhancing Thermal Stabilities and Lowering Melting Temperatures of Ionic Liquids. J. Mater. Chem. A 2014, 2, 624–630. [Google Scholar] [CrossRef]
- Bezrukov, N.P.; Smirnova, N.M.; Vlasova, A.V.; Melekhina, V.Y.; Makarova, V.V.; Antonov, S.V. Application of Polymers Containing Tertiary Amino Groups as Curing Accelerators and Modifiers of Epoxy-anhydride Systems. Polym. Eng. Sci. 2025, 65, 2370–2380. [Google Scholar] [CrossRef]
- Borisenkova, E.K.; Dreval, V.E.; Vinogradov, G.V.; Kurbanaliev, M.K.; Moiseyev, V.V.; Shalganova, V.G. Transition of Polymers from the Fluid to the Forced High-Elastic and Leathery States at Temperatures above the Glass Transition Temperature. Polymer 1982, 23, 91–99. [Google Scholar] [CrossRef]
- Park, S.-J.; Jin, F.-L.; Lee, J.-R. Thermal and Mechanical Properties of Tetrafunctional Epoxy Resin Toughened with Epoxidized Soybean Oil. Mater. Sci. Eng. A 2004, 374, 109–114. [Google Scholar] [CrossRef]
- Cizmecioglu, M.; Gupta, A.; Fedors, R.F. Influence of Cure Conditions on Glass Transition Temperature and Density of an Epoxy Resin. J. Appl. Polym. Sci. 1986, 32, 6177–6190. [Google Scholar] [CrossRef]
- Matsunaga, S. Structure and Transport Phenomena of Non-Aqueous Electrolyte in Al Ion Batteries -Study by Molecular Dynamics-. AIP Conf. Proc. 2021, 2380, 020001. [Google Scholar] [CrossRef]
- Peng, H.; Zhan, Y.; He, Z.; Lei, F.; Bai, Z.; Wang, P.; Li, K.; Li, Y.; Zhong, F.; Feng, W.; et al. Enhancing the Interfacial Interactions and Thermal Oxidative Mechanical Properties of Aramid Fiber-Reinforced Epoxy Composites Through Hyperbranched Epoxy-Grafted Multi-Walled Carbon Nanotubes. Polym. Compos. 2025, 1–17. [Google Scholar] [CrossRef]
- Ilyin, S.O.; Brantseva, T.V.; Kotomin, S.V.; Antonov, S.V. Epoxy Nanocomposites as Matrices for Aramid Fiber-reinforced Plastics. Polym. Compos. 2018, 39, E2167–E2174. [Google Scholar] [CrossRef]
- Shang, C.; Nan, H.; Bai, C.; Zhang, L.; Sun, G.; Qiao, Y.; Wang, X.; Shen, J.; Zheng, T. The PEEK Sizing Agents Modified by Different Dimensions Nanomaterials of MXene and CNTs for Enhancing the Interfacial and Mechanical Properties of Carbon Fiber Composites. Colloids Surf. A Physicochem. Eng. Asp. 2025, 726, 137997. [Google Scholar] [CrossRef]
- Ilyin, S.O.; Kotomin, S.V. Effect of Nanoparticles and Their Anisometry on Adhesion and Strength in Hybrid Carbon-Fiber-Reinforced Epoxy Nanocomposites. J. Compos. Sci. 2023, 7, 147. [Google Scholar] [CrossRef]
- Xue, Y.; Li, Y.; Zhong, F.; Bai, Z.; Wang, P.; Li, K.; Lei, F.; He, Z.; Yang, Y.; Feng, W.; et al. Bio-Based Benzoxazine Containing Phthalonitrile: Nonsolvent Synthesis, Curing Behavior and Pyrolysis Mechanism. Polym. Degrad. Stab. 2025, 241, 111542. [Google Scholar] [CrossRef]
- Fonseca, E.; Demétrio Da Silva, V.; Klitzke, J.S.; Schrekker, H.S.; Amico, S.C. Imidazolium Ionic Liquids as Fracture Toughening Agents in DGEBA-TETA Epoxy Resin. Polym. Test. 2020, 87, 106556. [Google Scholar] [CrossRef]
- Falireas, P.G.; Thomassin, J.-M.; Debuigne, A. Imidazolium-Catalyzed Dynamic Ester Cross-Links towards Reprocessable Epoxy Vitrimers. Eur. Polym. J. 2021, 147, 110296. [Google Scholar] [CrossRef]
- Rogalsky, S.; Moshynets, O.; Dzhuzha, O.; Lobko, Y.; Hubina, A.; Darabut, A.M.; Romanenko, Y.; Tarasyuk, O.; Potters, G. Epoxy Resin/Ionic Liquid Composite as a New Promising Coating Material with Improved Toughness and Antibiofilm Activity. Coatings 2025, 15, 821. [Google Scholar] [CrossRef]
- Huang, F.; Singer, G.; Zhou, Y.; Sha, Z.; Chen, J.; Han, Z.; Brown, S.A.; Zhang, J.; Wang, C.H. Creating Ionic Pathways in Solid-State Polymer Electrolyte by Using PVA-Coated Carbon Nanofibers. Compos. Sci. Technol. 2021, 207, 108710. [Google Scholar] [CrossRef]













| wIL, wt% | [EMIM]Cl/Epoxy Group, mol/mol | Tmax,1, °C | ΔH1, J/g | Tmax,2, °C | ΔH2, J/g | ΔH1+2, J/g | Tg, °C |
|---|---|---|---|---|---|---|---|
| 5 | 1/15.4 | 140.0 | 99.3 | 210.6 | 260.4 | 359.3 | 83.3 |
| 10 | 1/7.31 | 148.6 | 223.3 | 207.5 | 205.6 | 428.9 | 81.3 |
| 20 | 1/3.25 | 148.2 | 333.9 | 191.9 | 158.4 | 492.3 | 66.7 |
| 40 | 1/1.22 | 149.7 | 257.1 | 194.0 | 172.8 | 429.9 | 51.6 |
| 60 | 1/0.54 | 155.5 | 327.5 | – | – | 327.5 | 48.8 |
| wIL, wt% | Tg,tanδ, °C | G’25°C, MPa | G’120°C, MPa |
|---|---|---|---|
| 5 | 102.8 | 6950 | 16.1 |
| 10 | 99.6 | 1160 | 1.5 |
| 20 | 84.4 | 620.1 | <0.01 |
| 40 | 65.2 | 8.8 | <0.01 |
| 11% TETA | 109.9 | 1100 | 21.0 |
| 25.6% DDS | 175.3 | 2960 | – |
| 48.3% MTHPA | 64.2 | 1060 | – |
Disclaimer/Publisher’s Note: The statements, opinions and data contained in all publications are solely those of the individual author(s) and contributor(s) and not of MDPI and/or the editor(s). MDPI and/or the editor(s) disclaim responsibility for any injury to people or property resulting from any ideas, methods, instructions or products referred to in the content. |
© 2025 by the authors. Licensee MDPI, Basel, Switzerland. This article is an open access article distributed under the terms and conditions of the Creative Commons Attribution (CC BY) license (https://creativecommons.org/licenses/by/4.0/).
Share and Cite
Ilyina, S.O.; Gorbunova, I.Y.; Kerber, M.L.; Ilyin, S.O. Epoxy Resin Highly Loaded with an Ionic Liquid: Morphology, Rheology, and Thermophysical Properties. Gels 2025, 11, 992. https://doi.org/10.3390/gels11120992
Ilyina SO, Gorbunova IY, Kerber ML, Ilyin SO. Epoxy Resin Highly Loaded with an Ionic Liquid: Morphology, Rheology, and Thermophysical Properties. Gels. 2025; 11(12):992. https://doi.org/10.3390/gels11120992
Chicago/Turabian StyleIlyina, Svetlana O., Irina Y. Gorbunova, Michael L. Kerber, and Sergey O. Ilyin. 2025. "Epoxy Resin Highly Loaded with an Ionic Liquid: Morphology, Rheology, and Thermophysical Properties" Gels 11, no. 12: 992. https://doi.org/10.3390/gels11120992
APA StyleIlyina, S. O., Gorbunova, I. Y., Kerber, M. L., & Ilyin, S. O. (2025). Epoxy Resin Highly Loaded with an Ionic Liquid: Morphology, Rheology, and Thermophysical Properties. Gels, 11(12), 992. https://doi.org/10.3390/gels11120992

