The Properties and Emulsion Stabilization of Fish Gelatin Regulated by Introducing Pectin
Abstract
1. Introduction
2. Results and Discussion
2.1. Visual Appearance and Viscosity
2.2. Zeta Potential Analysis
2.3. FTIR Analysis
2.4. Wettability
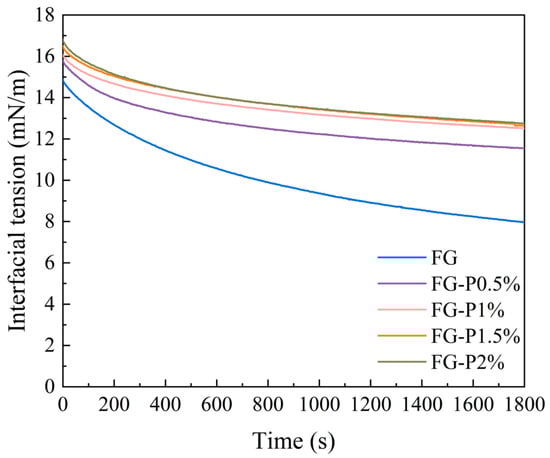
2.5. Interfacial Tension Analysis
2.6. Interfacial Dilatational Rheology Analysis
2.7. Visual Appearance and Creaming Index Analysis
2.8. Optical Microscope and Droplet Size Analysis
2.9. Rheological Properties
3. Conclusions
4. Materials and Methods
4.1. Materials and Reagents
4.2. Preparation of FG-P
4.3. Visual Appearance and Viscosity of FG-P
4.4. Zeta Potential of FG-P
4.5. FTIR Measurement
4.6. Wettability Measurement
4.7. Interfacial Tension Measurement
4.8. Interfacial Dilatational Rheology Measurement
4.9. Preparation of FG-P Stabilized Emulsions
4.10. Appearance and Creaming Index Measurements
4.11. Optical Microscope and Droplet Size
4.12. Rheological Behaviors
4.13. Statistical Analysis
Author Contributions
Funding
Institutional Review Board Statement
Informed Consent Statement
Data Availability Statement
Conflicts of Interest
References
- Nitsuwat, S.; Zhang, P.; Ng, K.; Fang, Z. Fish gelatin as an alternative to mammalian gelatin for food industry: A meta-analysis. LWT 2021, 141, 110899. [Google Scholar] [CrossRef]
- Karim, A.A.; Bhat, R. Fish gelatin: Properties, challenges, and prospects as an alternative to mammalian gelatins. Food Hydrocoll. 2009, 23, 563–576. [Google Scholar] [CrossRef]
- Ahmad, M.I.; Li, Y.; Pan, J.; Liu, F.; Dai, H.; Fu, Y.; Huang, T.; Farooq, S.; Zhang, H. Collagen and gelatin: Structure, properties, and applications in food industry. Int. J. Biol. Macromol. 2024, 254, 128037. [Google Scholar] [CrossRef] [PubMed]
- Kang, M.G.; Lee, M.Y.; Cha, J.M.; Lee, J.K.; Lee, S.C.; Kim, J.; Hwang, Y.-S.; Bae, H. Nanogels derived from fish gelatin: Application to drug delivery system. Mar. Drugs 2019, 17, 246. [Google Scholar] [CrossRef] [PubMed]
- Viji, P.; Phannendra, T.S.; Jesmi, D.; Madhusudana Rao, B.; Dhiju Das, P.H.; George, N. Functional and antioxidant properties of gelatin hydrolysates prepared from skin and scale of sole fish. J. Aquat. Food Prod. Technol. 2019, 28, 976–986. [Google Scholar] [CrossRef]
- Derkach, S.R.; Voron Ko, N.G.; Kuchina, Y.A.; Kolotova, D.S. Modified fish gelatin as an alternative to mammalian gelatin in modern food technologies. Polymers 2020, 12, 3051. [Google Scholar] [CrossRef]
- Huang, T.; Tu, Z.; Shangguan, X.; Sha, X.; Wang, H.; Zhang, L.; Bansal, N. Fish gelatin modifications: A comprehensive review. Trends Food Sci. Technol. 2019, 86, 260–269. [Google Scholar] [CrossRef]
- Park, J.; Nam, J.; Yun, H.; Jin, H.; Kwak, H.W. Aquatic polymer-based edible films of fish gelatin crosslinked with alginate dialdehyde having enhanced physicochemical properties. Carbohydr. Polym. 2021, 254, 117317. [Google Scholar] [CrossRef]
- Wang, C.; Virgilio, N.; Wood-Adams, P.M.; Heuzey, M. A gelation mechanism for gelatin/polysaccharide aqueous mixtures. Food Hydrocoll. 2018, 79, 462–472. [Google Scholar] [CrossRef]
- Wusigale Liang, L.; Luo, Y. Casein and pectin: Structures, interactions, and applications. Trends Food Sci. Technol. 2020, 97, 391–403. [Google Scholar] [CrossRef]
- Tang, W.; Wen, L.; He, J.; Liu, J. Prolamin-pectin complexes: Structural properties, interaction mechanisms and food applications. Int. J. Biol. Macromol. 2025, 289, 138675. [Google Scholar] [CrossRef]
- Millan-Linares, M.C.; Montserrat-de La Paz, S.; Martin, M.E. Pectins and olive pectins: From biotechnology to human health. Biology 2021, 10, 860. [Google Scholar] [CrossRef] [PubMed]
- Huang, S.; Zhang, Y.; Chen, Q.; Liu, Y.; Lu, L.; Arain, M.M.; Li, Z.; Pan, S.; Liu, F. Pectin based gels and their advanced application in food: From hydrogel to emulsion gel. Food Hydrocoll. 2025, 160, 110841. [Google Scholar] [CrossRef]
- He, Z.; Liu, C.; Zhao, J.; Li, W.; Wang, Y. Physicochemical properties of a ginkgo seed protein-pectin composite gel. Food Hydrocoll. 2021, 118, 106781. [Google Scholar] [CrossRef]
- Dong, Y.; Wei, Z.; Xue, C. Effect of interaction between ovotransferrin fibrils and pectin on properties of oleogel-based pickering emulsions. Food Hydrocoll. 2023, 140, 108620. [Google Scholar] [CrossRef]
- Ma, X.; Habibi, M.; Sagis, L.M.C. Particle size and morphological features of lupin protein-pectin complexes affect the oil-water interfacial properties and emulsion stabilization. Food Hydrocoll. 2025, 168, 111497. [Google Scholar] [CrossRef]
- Sharma, S.; Wani, K.M.; Mujahid, S.M.; Jayan, L.S.; Rajan, S.S. Review on pectin: Sources, properties, health benefits and its applications in food industry. J. Future Foods 2026, 6, 205–219. [Google Scholar] [CrossRef]
- Li, L.; Wang, N.; Liu, C.; Wang, L.; Zhang, N.; Yu, Y.; Yu, D. Effect of carboxymethyl chitosan on the properties of soybean oil body-carboxymethyl chitosan emulsion. Food Res. Int. 2025, 221, 117360. [Google Scholar] [CrossRef]
- Muhoza, B.; Xia, S.; Cai, J.; Zhang, X.; Duhoranimana, E.; Su, J. Gelatin and pectin complex coacervates as carriers for cinnamaldehyde: Effect of pectin esterification degree on coacervate formation, and enhanced thermal stability. Food Hydrocoll. 2019, 87, 712–722. [Google Scholar] [CrossRef]
- Wang, Q.; Yan, S.; Chen, T.; Ning, Y.; Zhu, Y.; Li, Y.; Qi, B. Gel properties of soybean protein isolate–pectin mixed system: Effects of ph and pectin degree of methoxylation. J. Mol. Liq. 2025, 422, 126871. [Google Scholar] [CrossRef]
- Wang, T.; Yang, X.; Lu, P.; Wang, W.; Gao, A.; Cai, Z.; Liu, D. Myofibrillar protein and sunflower pectin complex for oil-in-water emulsion: Characteristics, interactions, and mechanisms. Food Chem. 2025, 492, 145589. [Google Scholar] [CrossRef]
- Yu, H.; Zhang, J. Innovative insights into the interaction dynamics and gel properties of myofibrillar protein with structurally diverse pectin. Carbohydr. Polym. 2025, 358, 123519. [Google Scholar] [CrossRef]
- Feng, X.; Dai, H.; Ma, L.; Fu, Y.; Yu, Y.; Zhu, H.; Wang, H.; Sun, Y.; Tan, H.; Zhang, Y. Effect of microwave extraction temperature on the chemical structure and oil-water interface properties of fish skin gelatin. Innov. Food Sci. Emerg. Technol. 2021, 74, 102835. [Google Scholar] [CrossRef]
- Leite, L.S.F.; Moreira, F.K.V.; Mattoso, L.H.C.; Bras, J. Electrostatic interactions regulate the physical properties of gelatin-cellulose nanocrystals nanocomposite films intended for biodegradable packaging. Food Hydrocoll. 2021, 113, 106424. [Google Scholar] [CrossRef]
- Wang, H.; Wang, L.; Jia, S.; Feng, Q.; Guo, L.; Zhang, S.; Yu, Y. Characterization of hydrophobic modification of gelatin crosslinked vanillin edible coatings and its application in food preservation. Int. J. Biol. Macromol. 2025, 309, 142972. [Google Scholar] [CrossRef] [PubMed]
- Yu, H.; Zhang, J. Emulsion co-stabilized with high methoxyl pectin and myofibrillar protein: Used to enhance the application in emulsified gel. Food Chem. 2025, 475, 143359. [Google Scholar] [CrossRef]
- Costa, A.L.R.; Gomes, A.; Cangussu, L.B.; Cunha, R.L.; de Oliveira, L.S.; Franca, A.S. Stabilization mechanisms of o/w emulsions by cellulose nanocrystals and sunflower protein. Food Res. Int. 2022, 152, 110930. [Google Scholar] [CrossRef]
- Feng, X.; Dai, H.; Yu, Y.; Wei, Y.; Tan, H.; Tang, M.; Ma, L.; Zhang, Y. Adjusting the interfacial property and emulsifying property of cellulose nanofibrils by ultrasonic treatment combined with gelatin addition. Food Hydrocoll. 2022, 133, 107905. [Google Scholar] [CrossRef]
- Feng, X.; Dai, H.; Fu, Y.; Yu, Y.; Zhu, H.; Wang, H.; Chen, H.; Ma, L.; Zhang, Y. Regulation mechanism of nanocellulose with different morphologies on the properties of low-oil gelatin emulsions: Interfacial adsorption or network formation? Food Hydrocoll. 2022, 133, 107960. [Google Scholar] [CrossRef]
- Feng, X.; Dai, H.; Tan, H.; Tang, M.; Ma, L.; Zhang, Y. Improvement of low-oil gelatin emulsions performance by adjusting the electrostatic interaction between gelatin and nanocellulose with different morphologies. Food Hydrocoll. 2023, 139, 108592. [Google Scholar] [CrossRef]
- Yao, X.; Xu, K.; Shu, M.; Liu, N.; Li, N.; Chen, X.; Nishinari, K.; Phillips, G.O.; Jiang, F. Fabrication of iron loaded whey protein isolate/gum arabic nanoparticles and its adsorption activity on oil-water interface. Food Hydrocoll. 2021, 115, 106610. [Google Scholar] [CrossRef]
- Xiong, W.; Ren, C.; Tian, M.; Yang, X.; Li, J.; Li, B. Emulsion stability and dilatational viscoelasticity of ovalbumin/chitosan complexes at the oil-in-water interface. Food Chem. 2018, 252, 181–188. [Google Scholar] [CrossRef]
- Dai, H.; Sun, Y.; Feng, X.; Ma, L.; Chen, H.; Fu, Y.; Wang, H.; Zhang, Y. Myofibrillar protein microgels stabilized high internal phase pickering emulsions with heat-promoted stability. Food Hydrocoll. 2023, 138, 108474. [Google Scholar] [CrossRef]
- Shao, T.; Zhou, Y.; Dai, H.; Ma, L.; Feng, X.; Wang, H.; Zhang, Y. Regulation mechanism of myofibrillar protein emulsification mode by adding psyllium (plantago ovata) husk. Food Chem. 2022, 376, 131939. [Google Scholar] [CrossRef] [PubMed]
- Zhang, H.; Gao, J.; Wang, H.; Chen, H.; Dai, H.; Ma, L.; Zhang, Y. Effect of tannic acid on the heat-induced flocculation of gelatin/cellulose nanocrystal-based emulsions: Mechanisms behind the formation of high internal phase emulsion gels. Food Hydrocoll. 2026, 170, 111765. [Google Scholar] [CrossRef]
- Gentile, L. Protein–polysaccharide interactions and aggregates in food formulations. Curr. Opin. Colloid Interface Sci. 2020, 48, 18–27. [Google Scholar] [CrossRef]
- Yu, X.; Han, L.; Xu, Q.; Li, S.; Prakash, S.; Dong, X. Enhanced rheological and 3d-printing properties of high internal phase emulsions stabilized by egg white microgels synergized with konjac gum/xanthan gum. Food Hydrocoll. 2024, 153, 109981. [Google Scholar] [CrossRef]
- Lv, D.; Chen, F.; Yin, L.; Zhang, P.; Rashid, M.T.; Yu, J. Wheat bran arabinoxylan-soybean protein isolate emulsion-filled gels as a β-carotene delivery carrier: Effect of polysaccharide content on textural and rheological properties. Int. J. Biol. Macromol. 2023, 253, 126465. [Google Scholar] [CrossRef]
- Lin, Q.; Shang, M.; Li, X.; Sang, S.; Chen, L.; Long, J.; Jiao, A.; Ji, H.; Qiu, C.; Jin, Z. Rheology and 3d printing characteristics of heat-inducible pea protein-carrageenan-glycyrrhizic acid emulsions as edible inks. Food Hydrocoll. 2024, 147, 109347. [Google Scholar] [CrossRef]
- Ji, C.; Wang, Y.; Ma, A.W.K.; Liang, Y.; Luo, Y. Physicochemical and rheological characterization of plant-based proteins, pectin, and chitin nanofibers for developing high internal phase pickering emulsions as potential fat alternatives. Food Chem. 2025, 472, 142975. [Google Scholar] [CrossRef]
- Zhang, A.; Yang, B.; Xu, S.; Liu, K.; Dong, H.; Pan, J.; Liao, W.; Yang, X.; He, Q. Emulsion gels based on soy protein–pectin complexes as fat replacers: Enhancing pork sausage quality through structural and molecular insights. Int. J. Biol. Macromol. 2025, 321, 146331. [Google Scholar] [CrossRef]
- Chen, H.; Han, X.; Gao, J.; Tan, X.; Dai, H.; Ma, L.; Zhang, Y. Interfacial-design mediated construction of hybrid multicompartment architectures with layered physicochemical barriers for separately sequestration of oxidation–reduction molecules and their redox reaction regulation. Small 2025, 21, 2412033. [Google Scholar] [CrossRef]







| Sample | Amide A (cm−1) | Amide II (cm−1) | AIII/A1450 |
|---|---|---|---|
| FG | 3302 | 1559 | 0.95 |
| FG-P0.5% | 3285 | 1538 | 0.90 |
| FG-P1% | 3217 | 1542 | 0.85 |
| FG-P1.5% | 3217 | 1541 | 0.72 |
| FG-P2% | 3219 | 1542 | 0.64 |
Disclaimer/Publisher’s Note: The statements, opinions and data contained in all publications are solely those of the individual author(s) and contributor(s) and not of MDPI and/or the editor(s). MDPI and/or the editor(s) disclaim responsibility for any injury to people or property resulting from any ideas, methods, instructions or products referred to in the content. |
© 2025 by the authors. Licensee MDPI, Basel, Switzerland. This article is an open access article distributed under the terms and conditions of the Creative Commons Attribution (CC BY) license (https://creativecommons.org/licenses/by/4.0/).
Share and Cite
Zheng, X.; Feng, X.; Huang, Y.; Zeng, T. The Properties and Emulsion Stabilization of Fish Gelatin Regulated by Introducing Pectin. Gels 2025, 11, 902. https://doi.org/10.3390/gels11110902
Zheng X, Feng X, Huang Y, Zeng T. The Properties and Emulsion Stabilization of Fish Gelatin Regulated by Introducing Pectin. Gels. 2025; 11(11):902. https://doi.org/10.3390/gels11110902
Chicago/Turabian StyleZheng, Xi, Xin Feng, Yue Huang, and Tao Zeng. 2025. "The Properties and Emulsion Stabilization of Fish Gelatin Regulated by Introducing Pectin" Gels 11, no. 11: 902. https://doi.org/10.3390/gels11110902
APA StyleZheng, X., Feng, X., Huang, Y., & Zeng, T. (2025). The Properties and Emulsion Stabilization of Fish Gelatin Regulated by Introducing Pectin. Gels, 11(11), 902. https://doi.org/10.3390/gels11110902

