Preparation and Characterization of Chitosan-Modified Bentonite Hydrogels and Application for Tetracycline Adsorption from Aqueous Solution
Abstract
1. Introduction
2. Results and Discussion
2.1. Sol–Gel Process Optimization
2.1.1. Optimization of the Mass Ratio of Chitosan/Bentonite
2.1.2. Comparison of Drying Methods
2.1.3. Optimization of Sodium Alginate Concentration
2.1.4. Optimization of Calcium Chloride Solution Concentration
2.1.5. Adsorption Capacity of Different Forms of Adsorbents
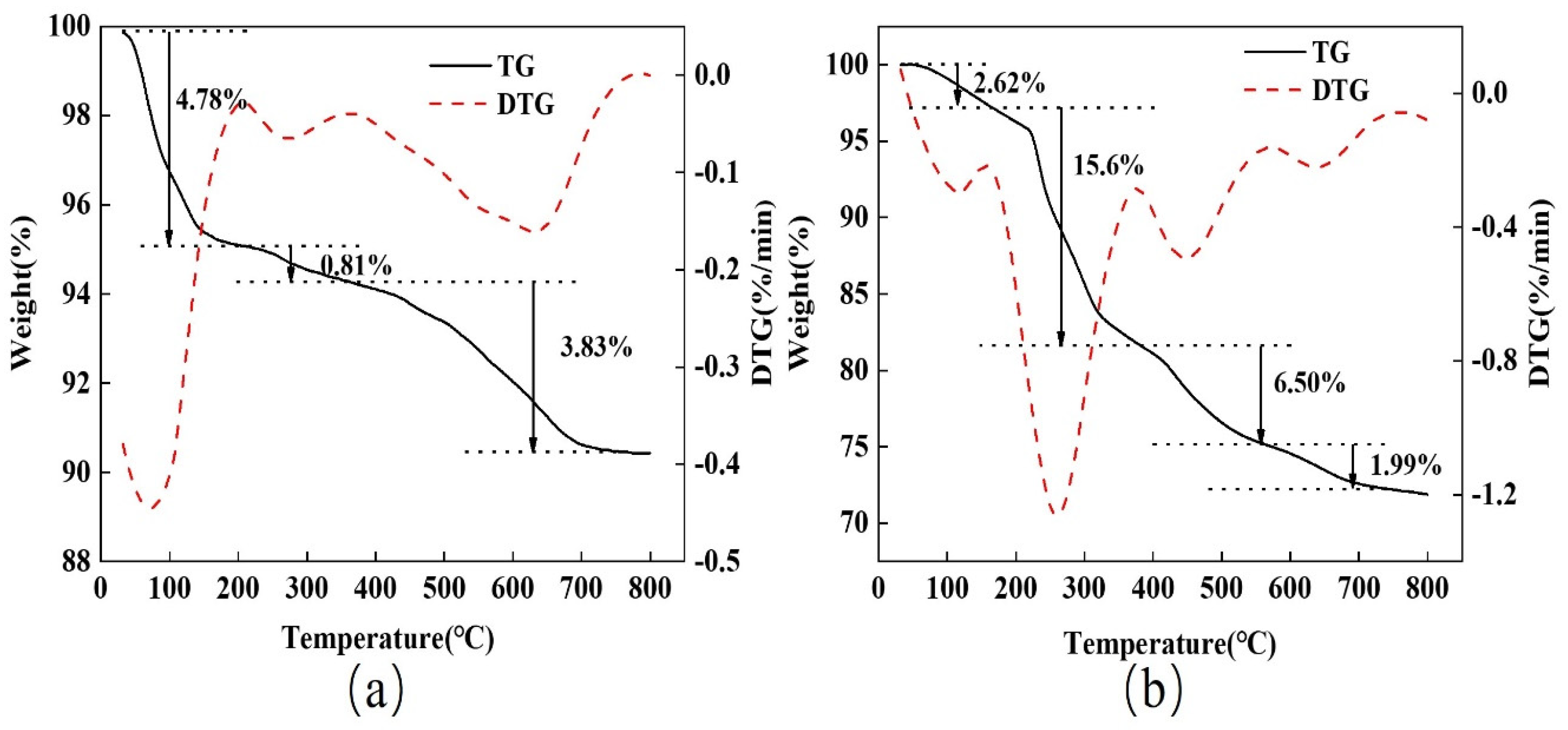
2.2. Characterization of Results Analysis
2.3. Adsorption Experiment Results Analysis
2.3.1. Effect of Different Dosage
2.3.2. Effect of pH on the Adsorption
2.3.3. Effect of the Adsorption Times
2.4. Kinetics, Thermodynamic Analysis
2.4.1. Adsorption Kinetics
2.4.2. Adsorption Isotherm
2.4.3. Adsorption Thermodynamics
3. Conclusions
4. Materials and Methods
4.1. Experimental Materials
4.2. Preparation of Spherical Chitosan-Modified Bentonite
4.3. Characterization of Absorbents
4.4. Batch Adsorption Experiments
Supplementary Materials
Author Contributions
Funding
Institutional Review Board Statement
Informed Consent Statement
Data Availability Statement
Conflicts of Interest
References
- Perez, J.J.; Villanueva, M.E.; Sánchez, L.; Ollier, R.; Alvarez, V.; Copello, G.J. Low Cost and Regenerable Composites Based on Chitin/Bentonite for the Adsorption Potential Emerging Pollutants. Appl. Clay Sci. 2020, 194, 105703. [Google Scholar] [CrossRef]
- Turan, B.; Sarigol, G.; Demircivi, P. Adsorption of Tetracycline Antibiotics Using Metal and Clay Embedded Cross-Linked Chitosan. Mater. Chem. Phys. 2022, 279, 125781. [Google Scholar] [CrossRef]
- Liu, H.-Y.; Song, C.; Zhao, S.; Wang, S.-G. Biochar-Induced Migration of Tetracycline and the Alteration of Microbial Community in Agricultural Soils. Sci. Total Environ. 2020, 706, 136086. [Google Scholar] [CrossRef]
- Wang, Y.; Gong, S.; Li, Y.; Li, Z.; Fu, J. Adsorptive Removal of Tetracycline by Sustainable Ceramsite Substrate from Bentonite/Red Mud/Pine Sawdust. Sci. Rep. 2020, 10, 2960. [Google Scholar] [CrossRef] [PubMed]
- Fagundes, A.P.; da Silva, A.F.V.; de Morais, B.B.; Macuvele, D.L.P.; Nones, J.; Riella, H.G.; Padoin, N.; Soares, C. A Novel Application of Bentonite Modified with Copper Ions in the Tetracycline Adsorption: An Experimental Design Study. Mater. Lett. 2021, 291, 129552. [Google Scholar] [CrossRef]
- Shao, S.; Hu, Y.; Cheng, J.; Chen, Y. Biodegradation Mechanism of Tetracycline (TEC) by Strain Klebsiella Sp. SQY5 as Revealed through Products Analysis and Genomics. Ecotoxicol. Environ. Saf. 2019, 185, 109676. [Google Scholar] [CrossRef] [PubMed]
- Zhou, M.; Li, C.; Zhao, L.; Ning, J.; Pan, X.; Cai, G.; Zhu, G. Synergetic Effect of Nano Zero-Valent Iron and Activated Carbon on High-Level Ciprofloxacin Removal in Hydrolysis-Acidogenesis of Anaerobic Digestion. Sci. Total Environ. 2021, 752, 142261. [Google Scholar] [CrossRef] [PubMed]
- Fang, H.; Pan, Y.; Yan, H.; Qin, X.; Wang, C.; Xu, L.; Pan, C. Facile Preparation of Yb3+/Tm3+ Co-Doped Ti3C2/Ag/Ag3VO4 Composite with an Efficient Charge Separation for Boosting Visible-Light Photocatalytic Activity. Appl. Surf. Sci. 2020, 527, 146909. [Google Scholar] [CrossRef]
- Mouzykantov, A.; Medvedeva, E.; Baranova, N.; Chernova, O.; Chernov, V. Data on Proteomic Profiling of Extracellular Vesicles of Acholeplasma Laidlawii Strains with Increased Resistance to Antibiotics of Different Classes—Ciprofloxacin and Tetracycline. Data Brief 2020, 32, 106049. [Google Scholar] [CrossRef]
- Shen, Q.; Xu, M.-H.; Wu, T.; Pan, G.-X.; Tang, P.-S. Adsorption Behavior of Tetracycline on Carboxymethyl Starch Grafted Magnetic Bentonite. Chem. Pap. 2022, 76, 123–135. [Google Scholar] [CrossRef]
- Wang, T.; Xue, L.; Liu, Y.; Fang, T.; Zhang, L.; Xing, B. Insight into the Significant Contribution of Intrinsic Defects of Carbon-Based Materials for the Efficient Removal of Tetracycline Antibiotics. Chem. Eng. J. 2022, 435, 134822. [Google Scholar] [CrossRef]
- Kong, Y.; Han, K.; Zhuang, Y.; Shi, B. Facile Synthesis of MOFs-Templated Carbon Aerogels with Enhanced Tetracycline Adsorption Performance. Water 2022, 14, 504. [Google Scholar] [CrossRef]
- Ortiz-Ramos, U.; Leyva-Ramos, R.; Mendoza-Mendoza, E.; Aragon-Pina, A. Removal of Tetracycline from Aqueous Solutions by Adsorption on Raw Ca-Bentonite. Effect of Operating Conditions and Adsorption Mechanism. Chem. Eng. J. 2022, 432, 134428. [Google Scholar] [CrossRef]
- Wang, Z.; Muhammad, Y.; Tang, R.; Lu, C.; Yu, S.; Song, R.; Tong, Z.; Han, B.; Zhang, H. Dually Organic Modified Bentonite with Enhanced Adsorption and Desorption of Tetracycline and Ciprofloxacine. Sep. Purif. Technol. 2021, 274, 119059. [Google Scholar] [CrossRef]
- Borah, D.; Nath, H.; Saikia, H. Modification of Bentonite Clay & Its Applications: A Review. Rev. Inorg. Chem. 2021, 42. [Google Scholar] [CrossRef]
- Pandey, S. A Comprehensive Review on Recent Developments in Bentonite-Based Materials Used as Adsorbents for Wastewater Treatment. J. Mol. Liq. 2017, 241, 1091–1113. [Google Scholar] [CrossRef]
- Liu, Q.; Huang, R.; Yang, B.; Liu, Y. Adsorption of Fluoride from Aqueous Solution by Enhanced Chitosan/Bentonite Composite. Water Sci. Technol. 2013, 68, 2074–2081. [Google Scholar] [CrossRef] [PubMed]
- Li, W.; Meng, Z.; Liu, Z.; Chen, H.; Wu, Q.; Xu, S. Chromium (VI) Adsorption Characteristics of Bentonite Under Different Modification Patterns. Pol. J. Environ. Stud. 2016, 25, 1075–1083. [Google Scholar] [CrossRef] [PubMed]
- Wang, X.-X.; Meng, Z.-F.; Liu, X.; Wang, T.; Hu, X.-L.; Sun, X.-X. Adsorption of BS-18 Amphoterically Modified Bentonite to Tetracycline and Norfloxacin Combined Pollutants. Huan Jing Ke Xue 2021, 42, 2334–2342. [Google Scholar] [CrossRef]
- Zhang, Y.; Zhao, M.; Cheng, Q.; Wang, C.; Li, H.; Han, X.; Fan, Z.; Su, G.; Pan, D.; Li, Z. Research Progress of Adsorption and Removal of Heavy Metals by Chitosan and Its Derivatives: A Review. Chemosphere 2021, 279, 130927. [Google Scholar] [CrossRef]
- Mahmoud, M.E.; El-Ghanam, A.M.; Mohamed, R.H.A.; Saad, S.R. Enhanced Adsorption of Levofloxacin and Ceftriaxone Antibiotics from Water by Assembled Composite of Nanotitanium Oxide/Chitosan/Nano-Bentonite. Mater. Sci. Eng. C 2020, 108, 110199. [Google Scholar] [CrossRef] [PubMed]
- Pinos, J.Y.d.M.; de Melo, L.B.; de Souza, S.D.; Marcal, L.; de Faria, E.H. Bentonite Functionalized with Amine Groups by the Sol-Gel Route as Efficient Adsorbent of Rhodamine-B and Nickel (II). Appl. Clay Sci. 2022, 223, 106494. [Google Scholar] [CrossRef]
- Guo, Y.; Guo, Y.; Tang, D.; Liu, Y.; Wang, X.; Li, P.; Wang, G. Sol-Gel Synthesis of New ZnFe2O4/Na-Bentonite Composites for Simultaneous Oxidation of RhB and Reduction of Cr(VI) under Visible Light Irradiation. J. Alloys Compd. 2019, 781, 1101–1109. [Google Scholar] [CrossRef]
- Huang, R.; Liu, Q.; Zhang, L.; Yang, B. Utilization of Cross-Linked Chitosan/Bentonite Composite in the Removal of Methyl Orange from Aqueous Solution. Water Sci. Technol. 2015, 71, 174–182. [Google Scholar] [CrossRef]
- Wang, B.; Zhang, H.; Xie, Y.; Guo, W.; Hu, X.; Chen, R.; Wang, H.; Zhou, D.; Ye, X.; Zhang, W.; et al. Synchronous Gelation and Lanthanum Introduction Using Bentonite/PVA/SA as the Matrix for Efficient Phosphate Removal from Aqueous Media: Adsorptive Behavior and Mechanism Study. J. Clean. Prod. 2022, 339, 130763. [Google Scholar] [CrossRef]
- Lee, C.-P.; Tsai, S.-C.; Wu, M.-C.; Tsai, T.-L. A Study on Removal of Cs and Sr from Aqueous Solution by Bentonite-Alginate Microcapsules. J. Radioanal. Nucl. Chem. 2018, 318, 2381–2387. [Google Scholar] [CrossRef]
- Belhouchat, N.; Zaghouane-Boudiaf, H.; Viseras, C. Removal of Anionic and Cationic Dyes from Aqueous Solution with Activated Organo-Bentonite/Sodium Alginate Encapsulated Beads. Appl. Clay Sci. 2017, 135, 9–15. [Google Scholar] [CrossRef]
- Zhou, F.; Li, J.; Zhou, L.; Liu, Y. Preparation and Mechanism of a New Enhanced Flocculant Based on Bentonite for Drinking Water. Adv. Mater. Sci. Eng. 2015, 2015, 579513. [Google Scholar] [CrossRef]
- Benhouria, A.; Islam, M.A.; Zaghouane-Boudiaf, H.; Boutahala, M.; Hameed, B.H. Calcium Alginate-Bentonite-Activated Carbon Composite Beads as Highly Effective Adsorbent for Methylene Blue. Chem. Eng. J. 2015, 270, 621–630. [Google Scholar] [CrossRef]
- Yang, J.; Huang, B.; Lin, M. Adsorption of Hexavalent Chromium from Aqueous Solution by a Chitosan/Bentonite Composite: Isotherm, Kinetics, and Thermodynamics Studies. J. Chem. Eng. Data 2020, 65, 2751–2763. [Google Scholar] [CrossRef]
- Pawar, R.R.; Lalhmunsiama; Ingole, P.G.; Lee, S.-M. Use of Activated Bentonite-Alginate Composite Beads for Efficient Removal of Toxic Cu2+ and Pb2+ Ions from Aquatic Environment. Int. J. Biol. Macromol. 2020, 164, 3145–3154. [Google Scholar] [CrossRef] [PubMed]
- Huang, R.; Yang, B.; Wang, B.; Zheng, D.; Zhang, Z. Removal of Chromium (VI) Ions from Aqueous Solutions by N-2-Hydroxypropyl Trimethyl Ammonium Chloride Chitosan-Bentonite. Desalin. Water Treat. 2012, 50, 329–337. [Google Scholar] [CrossRef]
- Hanh, P.T.H.; Phoungthong, K.; Chantrapromma, S.; Choto, P.; Thanomsilp, C.; Siriwat, P.; Wisittipanit, N.; Suwunwong, T. Adsorption of Tetracycline by Magnetic Mesoporous Silica Derived from Bottom Ash—Biomass Power Plant. Sustainability 2023, 15, 4727. [Google Scholar] [CrossRef]
- Xu, X.; Cheng, Y.; Wu, X.; Fan, P.; Song, R. La(III)-Bentonite/Chitosan Composite: A New Type Adsorbent for Rapid Removal of Phosphate from Water Bodies. Appl. Clay Sci. 2020, 190, 105547. [Google Scholar] [CrossRef]
- Wu, Z.; Li, S.; Wan, J.; Wang, Y. Cr(VI) Adsorption on an Improved Synthesised Cross-Linked Chitosan Resin. J. Mol. Liq. 2012, 170, 25–29. [Google Scholar] [CrossRef]









| C0 (mg/L) | Powder | Spherical | ||
|---|---|---|---|---|
| Ce (mg/L) | qe (mg/g) | Ce (mg/L) | qe (mg/g) | |
| 50 | 0.85 | 9.81 | 3.32 | 9.36 |
| 100 | 2.68 | 19.44 | 10.96 | 17.88 |
| 150 | 7.51 | 28.44 | 36.40 | 22.63 |
| 200 | 12.24 | 37.44 | 65.79 | 26.8 |
| 300 | 27.13 | 54.54 | 148.83 | 30.15 |
| 400 | 43.11 | 71.28 | 236.50 | 32.58 |
| 500 | 62.24 | 87.38 | 325.95 | 34.65 |
| 600 | 112.14 | 97.49 | 417.47 | 36.43 |
| Adsorbent | SBET (m2/g) | Pore Volume (cm3/g) | Pore Diameter (nm) |
|---|---|---|---|
| Chitosan-modified bentonite | 73.23 | 0.216 | 11.79 |
| Chitosan-modified bentonite adsorbents | 2.50 | 0.008 | 12.94 |
| Model | Parameter | ||
|---|---|---|---|
| Pseudo-first-order kinetic model | qe (mg/g) | K1 (1/min) | R2 |
| 16.94 | 0.012 | 0.952 | |
| Pseudo-second-order kinetic model | qe (mg/g) | K2 (g·mg−1·min−1) | R2 |
| 18.40 | 9.85·10−4 | 0.994 | |
| Elovich model | β (mg/g) | l n (αβ) (mg/g) | R2 |
| 0.364 | 0.656 | 0.989 | |
| Intraparticle diffusion model | C (mg/g) | Kip (m g·g−1·min−0.5) | R2 |
| 8.55 | 0.292 | 0.846 | |
| C0 (mg/L) | 20 °C (293 K) | 30 °C (303 K) | 40 °C (313 K) | |||
|---|---|---|---|---|---|---|
| qe (mg/g) | Ce (mg/L) | qe (mg/g) | Ce (mg/L) | qe (mg/g) | Ce (mg/L) | |
| 50 | 8.86 | 5.58 | 9.36 | 3.32 | 9.75 | 1.20 |
| 100 | 16.48 | 17.37 | 17.88 | 10.96 | 18.02 | 9.68 |
| 150 | 21.00 | 44.79 | 22.63 | 36.40 | 25.24 | 27.03 |
| 200 | 24.73 | 75.85 | 26.80 | 65.79 | 30.79 | 45.28 |
| 300 | 26.96 | 164.41 | 30.15 | 148.83 | 34.08 | 128.71 |
| 400 | 29.61 | 251.79 | 32.58 | 236.50 | 37.13 | 213.92 |
| 500 | 31.85 | 340.15 | 34.65 | 325.95 | 38.92 | 305.04 |
| 600 | 34.55 | 426.54 | 36.43 | 417.47 | 40.77 | 395.57 |
| Temperature (K) | Langmiur Model | Freundlich Model | ||||
|---|---|---|---|---|---|---|
| qm (mg/g) | KL (L/mg) | R2 | KF(mg/g) | 1/n | R2 | |
| 293 | 32.88 | 0.049 | 0.941 | 7.77 | 0.246 | 0.961 |
| 303 | 34.55 | 0.078 | 0.931 | 9.86 | 0.220 | 0.962 |
| 313 | 39.49 | 0.084 | 0.925 | 12.18 | 0.207 | 0.957 |
| Temperature (K) | (kJ/mol) | (kJ/mol) | |
|---|---|---|---|
| 293 | −1.46 | 23.21 | 84.30 |
| 303 | −2.42 | ||
| 313 | −3.13 |
Disclaimer/Publisher’s Note: The statements, opinions and data contained in all publications are solely those of the individual author(s) and contributor(s) and not of MDPI and/or the editor(s). MDPI and/or the editor(s) disclaim responsibility for any injury to people or property resulting from any ideas, methods, instructions or products referred to in the content. |
© 2024 by the authors. Licensee MDPI, Basel, Switzerland. This article is an open access article distributed under the terms and conditions of the Creative Commons Attribution (CC BY) license (https://creativecommons.org/licenses/by/4.0/).
Share and Cite
Guo, X.; Wu, Z.; Lu, Z.; Wang, Z.; Li, S.; Madhau, F.; Guo, T.; Huo, R. Preparation and Characterization of Chitosan-Modified Bentonite Hydrogels and Application for Tetracycline Adsorption from Aqueous Solution. Gels 2024, 10, 503. https://doi.org/10.3390/gels10080503
Guo X, Wu Z, Lu Z, Wang Z, Li S, Madhau F, Guo T, Huo R. Preparation and Characterization of Chitosan-Modified Bentonite Hydrogels and Application for Tetracycline Adsorption from Aqueous Solution. Gels. 2024; 10(8):503. https://doi.org/10.3390/gels10080503
Chicago/Turabian StyleGuo, Xuebai, Zhenjun Wu, Zheng Lu, Zelong Wang, Shunyi Li, Freeman Madhau, Ting Guo, and Rongqican Huo. 2024. "Preparation and Characterization of Chitosan-Modified Bentonite Hydrogels and Application for Tetracycline Adsorption from Aqueous Solution" Gels 10, no. 8: 503. https://doi.org/10.3390/gels10080503
APA StyleGuo, X., Wu, Z., Lu, Z., Wang, Z., Li, S., Madhau, F., Guo, T., & Huo, R. (2024). Preparation and Characterization of Chitosan-Modified Bentonite Hydrogels and Application for Tetracycline Adsorption from Aqueous Solution. Gels, 10(8), 503. https://doi.org/10.3390/gels10080503

