Exploring Potential Mechanisms of Fludioxonil Resistance in Fusarium oxysporum f. sp. melonis
Abstract
:1. Introduction
2. Materials and Methods
2.1. Fungicides and Fungal Isolates
2.2. Generation of Fludioxonil-Resistant Mutants
2.3. Biological Characteristics of Fludioxonil-Resistant Mutants
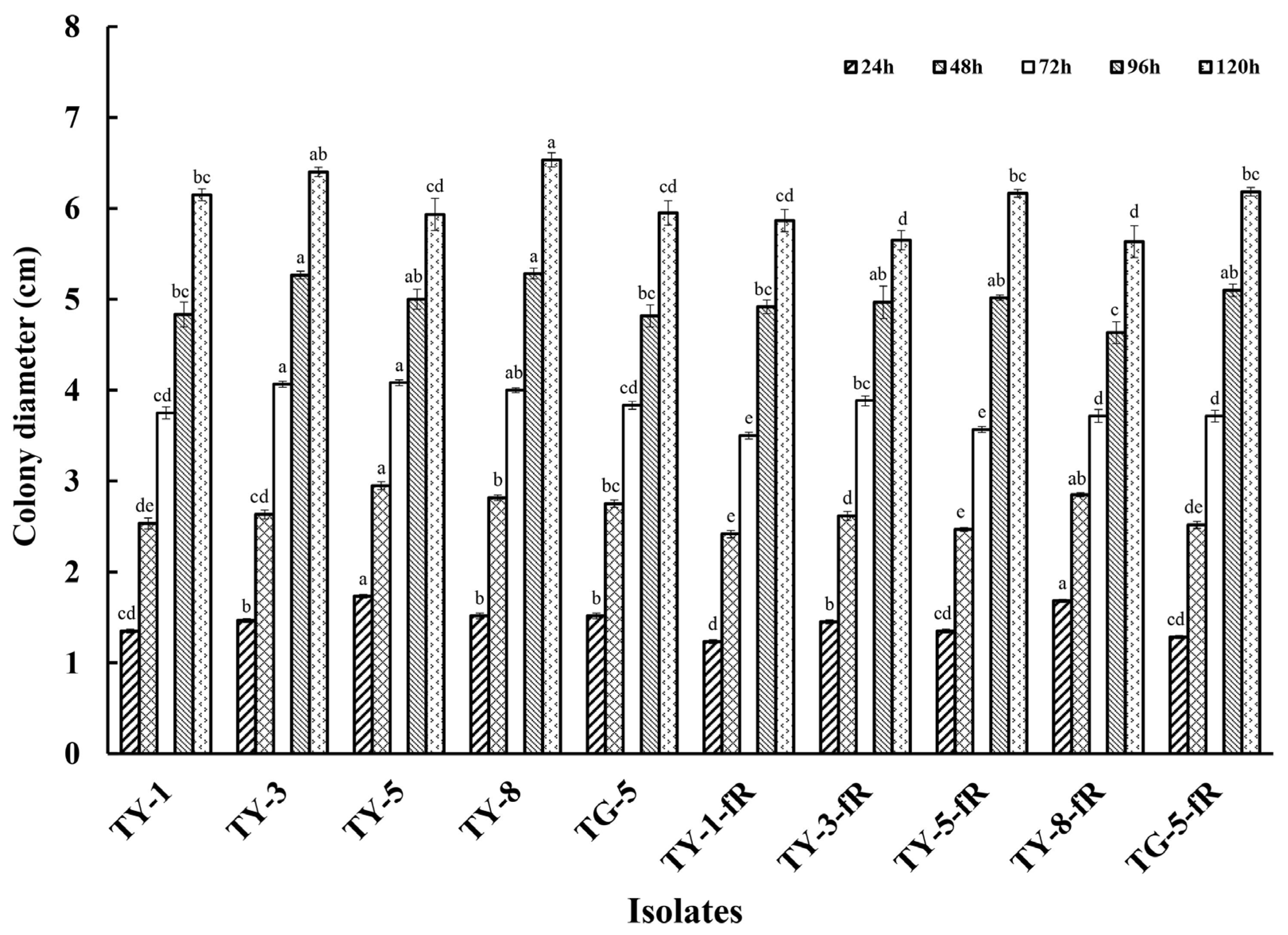
2.3.1. Growth and Sporulation
2.3.2. Cross-Resistance against Fungicides
2.3.3. Sensitivity to Osmotic Stress
2.3.4. Cloning and Sequencing Analysis of the FoOs1 Gene
2.3.5. Relative Expression of FoOs1 Gene
3. Results
3.1. Generation of Fludioxonil-Resistant Mutants, Hereditable Stability, Mycelial Growth, and Sporulation of Fludioxonil-Resistant FOM Mutants
3.2. Biological Characteristics of Fludioxonil-Resistant Mutants
3.2.1. Growth and Sporulation
3.2.2. Cross-Resistance against Fungicides
3.2.3. Sensitivity to Osmotic Stress
3.2.4. Cloning and Sequence Analysis of the FoOs1 Gene
3.2.5. Relative Expression of the FoOs1 Gene
4. Discussion
Supplementary Materials
Author Contributions
Funding
Institutional Review Board Statement
Informed Consent Statement
Data Availability Statement
Conflicts of Interest
References
- Hu, Z.C.; Shi, X.Y.; Chen, X.M.; Zheng, J.; Zhang, A.A.; Wang, H.S.; Fu, Q.S. Fine-mapping and identification of a candidate gene controlling seed coat color in melon (Cucumis melo L. var. chinensis Pangalo). Theor. Appl. Genet. 2022, 135, 803–815. [Google Scholar] [CrossRef] [PubMed]
- Vidya, R.; Kalaivani, K.; Amudha, P. Therapeutic potential of Cucumis melo (L.) fruit extract and its silver nanopartciles against DEN-Induced hepatocellular cancer in rats. Appl. Biochem. Biotech. 2022, 194, 368–381. [Google Scholar] [CrossRef]
- Ritschel, P.S.; Lins, T.C.; Tristan, R.L.; Buso, G.S.; Buso, J.A.; Ferreira, M.E. Development of microsatellite markers from an enriched genomic library for genetic analysis of melon (Cucumis melo L.). BMC Plant Biol. 2004, 4, 9. [Google Scholar] [CrossRef] [PubMed] [Green Version]
- Lester, G.E.; Jifon, J.L.; Crosby, K.M. Superoxide dismutase activity in mesocarp tissue from divergent Cucumis melo L. genotypes. Plant Food. Hum. Nutr. 2009, 64, 205–211. [Google Scholar] [CrossRef] [PubMed]
- Branham, S.E.; Levi, A.; Katawczik, M.; Fei, Z.; Wechter, W.P. Construction of a genome-anchored, high-density genetic map for melon (Cucumis melo L.) and identification of Fusarium oxysporum f. sp. melonis race 1 resistance QTL. Theor. Appl. Genet. 2018, 131, 829–837. [Google Scholar] [CrossRef]
- Li, J.-M.; Fokkens, L.; van Dam, P.; Rep, M. Related mobile pathogenicity chromosomes in Fusarium oxysporum determine host range on cucurbits. Mol. Plant Pathol. 2020, 21, 761–776. [Google Scholar] [CrossRef] [Green Version]
- Zhang, Z.H.; Ren, W.C.; Wang, J.; Chen, C.J.; Chen, W.C.; Sang, C.W. Resistance risk assessment of Fusarium oxysporum f. sp. melonis against phenamacril, a myosin inhibitor. Pestic. Biochem. Phys. 2018, 147, 127. [Google Scholar] [CrossRef]
- Hao, F.M.; Yan, L.Y.; Zang, Q.Y.; Ma, E.L.; Deng, W.H.; Huang, Y.P.; Wang, L.H. Identification of Fusarium from roots and leaves of melon in Zhejiang province. Chin. Cucurbits Veg. 2020, 33, 13–17. [Google Scholar]
- Khastini, R.O.; Ogawara, T.; Sato, Y.; Narisawa, K. Control of Fusarium wilt in melon by the fungal endophyte, Cadophora sp. Eur. J. Plant Pathol. 2014, 139, 339–348. [Google Scholar] [CrossRef]
- Keane, J.F.; Brown, J.F. Disease management: Resistant cultivars. In Plant Pathogens and Plant Disease; Brown, J.F., Ogle, H.J., Eds.; University of New England: Armidale, Australia, 1997; pp. 405–426. [Google Scholar]
- Cal, A.D.; Sztejnberg, A.; Sabuquillo, P.; Melgarejo, P. Management Fusarium wilt on melon and watermelon by Penicillium oxalicum. Biol. Control. 2009, 51, 480–486. [Google Scholar] [CrossRef]
- Zhang, N.; Xu, H.; Xie, J.C.; Cui, J.Y.; Yang, J.; Zhao, J.; Tong, Y.J.; Jiang, J.C. Screening of cucumber Fusarium wilt bio-inhibitor: High sporulation Trichoderma harzianum mutant cultured on Moso bamboo medium. Front. Microbiol. 2021, 12, 763006. [Google Scholar] [CrossRef]
- Yoshimi, A.; Tsuda, M.; Tanaka, C. Cloning and characterization of the histidine kinase gene Dic1 from Cochliobolus heterostrophus that confers dicarboximide resistance and osmotic adaptation. Mol. Gen. Genom. 2004, 271, 228–236. [Google Scholar] [CrossRef]
- Furukawa, K.; Randhawa, A.; Kaur, H. Fungal fludioxonil sensitivity is diminished by a constitutively active form of the group III histidine kinase. FEBS Lett. 2012, 586, 2417–2422. [Google Scholar] [CrossRef] [PubMed] [Green Version]
- Brandhorst, T.T.; Kean, I.R.L.; Lawry, S.M.; Wiesner, D.L.; Klein, B.S. Phenylpyrrole fungicides act on triosephosphate isomerase to induce methylglyoxal stress and alter hybrid histidine kinase activity. Sci. Rep. 2019, 9, 5047. [Google Scholar] [CrossRef] [PubMed]
- Hu, J.; Zhou, Y.X.; Gao, T.; Geng, J.M.; Dai, Y.; Ren, H.Y.; Lamour, K.; Liu, X.-L. Resistance risk assessment for fludioxonil in Sclerotinia homoeocarpa in China. Pestici. Biochem. Phys. 2019, 156, 123–128. [Google Scholar] [CrossRef]
- Zhou, F.; Hu, H.Y.; Song, Y.L.; Gao, Y.Q.; Liu, Q.L.; Song, P.W.; Chen, E.Y.; Yu, Y.A.; Li, D.X.; Li, C.W. Biological characteristics and molecular mechanism of fludioxonil resistance in Botrytis cinerea from Henan province of China. Plant Dis. 2020, 104, 1041–1047. [Google Scholar] [CrossRef]
- Zhou, F.; Li, D.X.; Hu, H.Y.; Song, Y.L.; Fan, Y.C.; Guan, Y.Y.; Song, P.W.; Wei, Q.C.; Yan, H.F.; Li, C.W. Biological characteristics and molecular mechanism of fludioxonil resistance in Fusarium graminearum in China. Plant Dis. 2020, 104, 2426–2433. [Google Scholar] [CrossRef]
- Corran, A.; Knauf-Beiter, G.; Zeun, R. Fungicides acting on signal transduction. In Modern Crop Protection Compounds, 2nd ed.; Wiley-VCH: Weinheim, Germany, 2012; pp. 715–737. [Google Scholar]
- Hohmann, S. Osmotic stress signaling and osmoadaptation in yeasts. Microbiol Mol. Biol. Rev. 2002, 66, 300–372. [Google Scholar] [CrossRef] [Green Version]
- Hohmann, S. Control of high osmolarity signalling in the yeast Saccharomyces cerevisiae. FEBS Lett. 2009, 583, 4025–4029. [Google Scholar] [CrossRef] [Green Version]
- Brewster, J.L.; de Valoir, T.; Dwyer, N.D.; Winter, E.; Gustin, M.C. An osmosensing signal transduction pathway in yeast. Science 1993, 259, 1760–1763. [Google Scholar] [CrossRef]
- Miller, T.K.; Renault, S.; Selitrennikoff, C.P. Molecular dissection of alleles of the osmotic-1 locus of Neurospora crassa. Fungal Genet. Biol. 2002, 35, 147–155. [Google Scholar] [CrossRef] [PubMed]
- Koch, E.; Leadbeater, A.J. Phenylpyrroles-a new class of fungicides for seed treatment. Brighton Crop Protection Conference, Pests and Diseases. Brit. Crop Prot. Coun. 1992, 3, 1137–1146. [Google Scholar]
- Ochiai, N.; Fujimura, M.; Motoyama, T.; Ichiishi, A.; Usami, R.; Horikoshi, K.; Yamaguchi, I. Characterization of mutations in the two-component histidine kinase gene that confer fludioxonil resistance and osmotic sensitivity in the os-1 mutants of Neurospora crassa. Pest Manag. Sci. 2001, 57, 437–442. [Google Scholar] [CrossRef] [PubMed]
- Avenot, H.; Simoneau, P. Characterization of mutations in the two-component histidine kinase gene AbNIK1 from Alternaria brassicicola that confer high dicarboximide and phenylpyrrole resistance. Curr. Genet. 2005, 47, 234–243. [Google Scholar] [CrossRef]
- Li, H.X.; Xiao, C.L. Characterization of fludioxonil-resistant and pyrimethanil-resistant phenotypes of Penicillium expansum from apple. Phytopathology 2008, 98, 427–435. [Google Scholar] [CrossRef] [PubMed] [Green Version]
- Kuang, J.; Hou, Y.P.; Wang, J.X.; Zhou, M.G. Sensitivity of Sclerotinia sclerotiorum to fludioxonil: In vitro determination of baseline sensitivity and resistance risk. Crop Prot. 2011, 30, 876–882. [Google Scholar] [CrossRef]
- Gachango, E.; Kirk, W.; Hanson, L. First report of in vitro fludioxonil-resistant isolates of Fusarium spp. causing potato dry rot in Michigan. Plant Dis. 2011, 95, 228. [Google Scholar] [CrossRef]
- Peters, R.D.; Platt, H.W.; Drake, K.A. First report of fludioxonil-resistant isolates of Fusarium spp. causing potato seed-piece decay. Plant Dis. 2008, 92, 172. [Google Scholar] [CrossRef]
- Malandrakis, A.A.; Vattis, K.N.; Doukas, E.G. Effect of phenylpyrrole-resistance on fitness parameters and ochratoxin production in Aspergillus carbonarius. Int. J. Food Microbiol. 2013, 165, 287–294. [Google Scholar] [CrossRef]
- Ren, W.C.; Shao, W.Y.; Han, X.; Zhou, M.G.; Chen, C.J. Molecular and biochemical characterization of laboratory and field mutants of Botrytis cinerea resistant to fludioxonil. Plant Dis. 2016, 100, 1414–1423. [Google Scholar] [CrossRef] [Green Version]
- Catlett, N.L.; Yoder, O.C.; Turgeon, B.G. Whole-genome analysis of two-component signal transduction genes in fungal pathogens. Eukaryot. Cell 2003, 2, 1151–1161. [Google Scholar] [CrossRef] [PubMed] [Green Version]
- Qiu, J.B.; Yu, M.Z.; Yin, Q.; Xu, J.H.; Shi, J.R. Molecular and characterization, fitness and mycotoxin production of Fusarium asiaticum strains resistant to fludioxonil. Plant Dis. 2018, 102, 1759–1765. [Google Scholar] [CrossRef] [Green Version]
- Karlsson, I.; Persson, P.; Friberg, H. Fusarium head blight from a microbiome perspective. Front. Microbiol. 2021, 12, 628373. [Google Scholar] [CrossRef]
- Livak, K.J.; Schmittgen, T.D. Analysis of relative gene expression data using real-time quantitative PCR and the 2−ΔΔCT method. Methods 2001, 25, 402–408. [Google Scholar] [CrossRef]
- Kilani, J.; Fillinger, S. Phenylpyrroles: 30 years, two molecules (nearly) no resistance. Front. Microbiol. 2016, 7, 2014. [Google Scholar] [CrossRef] [Green Version]
- Wang, H.; Lin, A.; Gu, W.; Huan, L.; Gao, S.; Wang, G. The sporulation of the green alga Ulva prolifera is controlled by changes in photosynthetic electron transport chain. Sci. Rep. 2016, 6, 24923. [Google Scholar] [CrossRef] [PubMed] [Green Version]
- Yoshimi, A.; Imanishi, J.; Gafur, A.; Tanaka, C.; Tsuda, M. Characterization and genetic analysis of laboratory mutants of Cochliobolus heterostrophus resistant to dicarboximide and phenylpyrrole fungicides. J. Gen. Plant Pathol. 2003, 69, 101–108. [Google Scholar] [CrossRef]
- Ziogas, B.N.; Markoglou, A.N.; Spyropoulou, V. Effect of phenylpyrrole-resistance mutations on ecological fitness of Botrytis cinerea and their genetical basis in Ustilago maydis. Eur. J. Plant Pathol. 2005, 113, 83–100. [Google Scholar] [CrossRef]
- Taiwo, A.O.; Harper, L.A.; Derbyshire, M.C. Impacts of fludioxonil resistance on global gene expression in the necrotrophic fungal plant pathogen Sclerotinia sclerotiorum. BMC Genom. 2021, 22, 91. [Google Scholar] [CrossRef]
- Camele, I.; Elshafie, H.S.; Caputo, L.; Sakr, S.H.; De, F.V. Bacillus mojavensis: Biofilm formation and biochemical investigation of its bioactive metabolites. J. Biol. Res. 2019, 92, 39–45. [Google Scholar] [CrossRef]




| Active Ingredient (%) | Manufacturer | Fungicide Group | Mode of Action | FRAC * Code |
|---|---|---|---|---|
| Fludioxonil (96.0) | Hubei Jianyuan Chemical Co., Ltd. (Wuhan, China) | Phenylpyrrole | MAP/histidine kinase in osmotic signal transduction | 12 |
| Tebuconazole (96.2) | Sheyang Huanghai Pesticide Chemical Co., Ltd. (Yancheng, China) | DMI (14α-demethylase inhibitor) | Sterol biosynthesis in membranes | 3 |
| Prochloraz (97.0) | Hubei Kangbaotai Fine Chemical Co., Ltd. (Wuhan, China) | Sterol biosynthesis in membranes | C14-demethylase in sterol biosynthesis (erg11/cyp51) | 3 |
| Fluazinam (96.0) | Hubei Jianyuan Chemical Co., Ltd. (Wuhan, China) | Respiration | Uncouplers of oxidative phosphorylation | 29 |
| Pyraclostrobin(97.7) | Hubei Kangbaotai Fine Chemical Co., Ltd. (Wuhan, China) | Respiration | Complex III: cytochrome bc1 (ubiquinol oxidase) at Qo site (cyp b gene) | 11 |
| Kresoxim-methyl (97.5) | Jiangsu Gengyun Chemical Co., Ltd. (Zhenjiang, China) | Respiration | Complex III: cytochrome bc1 (ubiquinol oxidase) at Qo site (cyp b gene) | 11 |
| Difenoconazole (95.0) | Hubei Jianyuan Chemical Co., Ltd. (Wuhan, China) | DMI (14α-demethylase inhibitor) | Sterol biosynthesis in membranes | 3 |
| Carbendazim (98.1) | Haili Guixi Chemical Co., Ltd. (Yingtan, China) | Methyl benzimidazole carbamate | ß-tubulin assembly in mitosis | 1 |
| Primers | Sequences (5′-3′) | Purpose | Sources |
|---|---|---|---|
| FoOs1-F1 | ATGGTTGACGACGCGGCCCTCGCCGCT | Full-length gene amplification | Current study |
| FoOs1-R1 | TTAGTTGGTAAGACTTCGCATATCAGAG | ||
| RT-FoOs1-F1 | GGCGTCAAATCTCACAGTCC | Gene expression analysis | [35] |
| RT-FoOs1-R1 | AACTCGCTGCACTTCGTAAC | ||
| RT-EF1α-F | CATCGGCCACGTCGACTCT | ||
| RT-EF1α-R | AGAACCCAGGCGTACTTGAA |
| Fungicides | Fludioxonil-Sensitive Isolates (EC50, μg/mL) | Fludioxonil-Resistant Mutants (EC50, μg/mL) | ||||||||
|---|---|---|---|---|---|---|---|---|---|---|
| TY-1 | TY-3 | TY-5 | TY-8 | TG-5 | TY-1-fR | TY-3-fR | TY-5-fR | TY-8-fR | TG-5-fR | |
| Fludioxonil | 0.03 * | 0.02 | 0.03 | 0.03 | 0.04 | 225.84 | 204.07 | 230.42 | 264.22 | 232.96 |
| Tebuconazole | 0.33 | 0.23 | 0.22 | 0.38 | 0.31 | 0.39 | 0.32 | 0.34 | 0.43 | 0.40 |
| Prochloraz | 0.003 | 0.003 | 0.003 | 0.002 | 0.001 | 0.007 | 0.002 | 0.006 | 0.003 | 0.003 |
| Fluzainam | 0.051 | 0.033 | 0.04 | 0.041 | 0.02 | 0.049 | 0.035 | 0.053 | 0.016 | 0.058 |
| Carbendazim | 1.094 | 0.793 | 0.748 | 0.706 | 0.633 | 0.536 | 0.467 | 0.403 | 0.484 | 0.506 |
| Pyraclostrobin | 0.114 | 0.097 | 0.104 | 0.130 | 0.106 | 0.687 | 0.646 | 0.206 | 0.518 | 0.369 |
| Kresoxim-methyl | 0.392 | 0.581 | 0.528 | 0.520 | 0.119 | 0.569 | 0.295 | 0.599 | 0.238 | 0.764 |
| Difenoconazole | 0.303 | 0.212 | 0.256 | 0.207 | 0.167 | 0.222 | 0.119 | 0.232 | 0.119 | 0.800 |
| Mutants | Mutation Type and Location | |
|---|---|---|
| Nucleotide | Amino Acid | |
| TY-1-fR | A1294G *, T1863C **, G1916C, T2015C, C2108T, A2330G, A2471G, T3533C, G3745A, and G4063A | S564P and E702Q |
| TY-3-fR | A1294G, G1916C, C2108T, A2330G, A2471G, G2910A, T3533C, G3745A, and G4063A | E702Q and A896T |
| TY-5-fR | A1294G, G1916C, C2108T, A2330G, A2471G, G2910A, T3533C, G3745A, and G4063A | E702Q and A896T |
| TY-8-fR | T66C, A1722C, G1916C, C2108T, A2330G, A2471G, T3533C, G3745A, and G4063A | R66A, N537T, and E702Q |
| TG-5-fR | A1722C, G1916C, A2330G, T3533C, G3745A, and G4063A | N537T and E702Q |
Publisher’s Note: MDPI stays neutral with regard to jurisdictional claims in published maps and institutional affiliations. |
© 2022 by the authors. Licensee MDPI, Basel, Switzerland. This article is an open access article distributed under the terms and conditions of the Creative Commons Attribution (CC BY) license (https://creativecommons.org/licenses/by/4.0/).
Share and Cite
Wang, Y.-F.; Hao, F.-M.; Zhou, H.-H.; Chen, J.-B.; Su, H.-C.; Yang, F.; Cai, Y.-Y.; Li, G.-L.; Zhang, M.; Zhou, F. Exploring Potential Mechanisms of Fludioxonil Resistance in Fusarium oxysporum f. sp. melonis. J. Fungi 2022, 8, 839. https://doi.org/10.3390/jof8080839
Wang Y-F, Hao F-M, Zhou H-H, Chen J-B, Su H-C, Yang F, Cai Y-Y, Li G-L, Zhang M, Zhou F. Exploring Potential Mechanisms of Fludioxonil Resistance in Fusarium oxysporum f. sp. melonis. Journal of Fungi. 2022; 8(8):839. https://doi.org/10.3390/jof8080839
Chicago/Turabian StyleWang, Yan-Fen, Fang-Min Hao, Huan-Huan Zhou, Jiang-Bo Chen, Hai-Chuan Su, Fang Yang, Yuan-Yuan Cai, Guan-Long Li, Meng Zhang, and Feng Zhou. 2022. "Exploring Potential Mechanisms of Fludioxonil Resistance in Fusarium oxysporum f. sp. melonis" Journal of Fungi 8, no. 8: 839. https://doi.org/10.3390/jof8080839
APA StyleWang, Y.-F., Hao, F.-M., Zhou, H.-H., Chen, J.-B., Su, H.-C., Yang, F., Cai, Y.-Y., Li, G.-L., Zhang, M., & Zhou, F. (2022). Exploring Potential Mechanisms of Fludioxonil Resistance in Fusarium oxysporum f. sp. melonis. Journal of Fungi, 8(8), 839. https://doi.org/10.3390/jof8080839

