A Rapid Screening Program for Histoplasmosis, Tuberculosis, and Cryptococcosis Reduces Mortality in HIV Patients from Guatemala
Abstract
1. Introduction
2. Materials and Methods
2.1. Study Design and Participants
2.2. Procedures and Definitions
2.3. Ethics Statement
2.4. Data Analysis
3. Results
3.1. Study Population
3.2. Opportunistic Infections
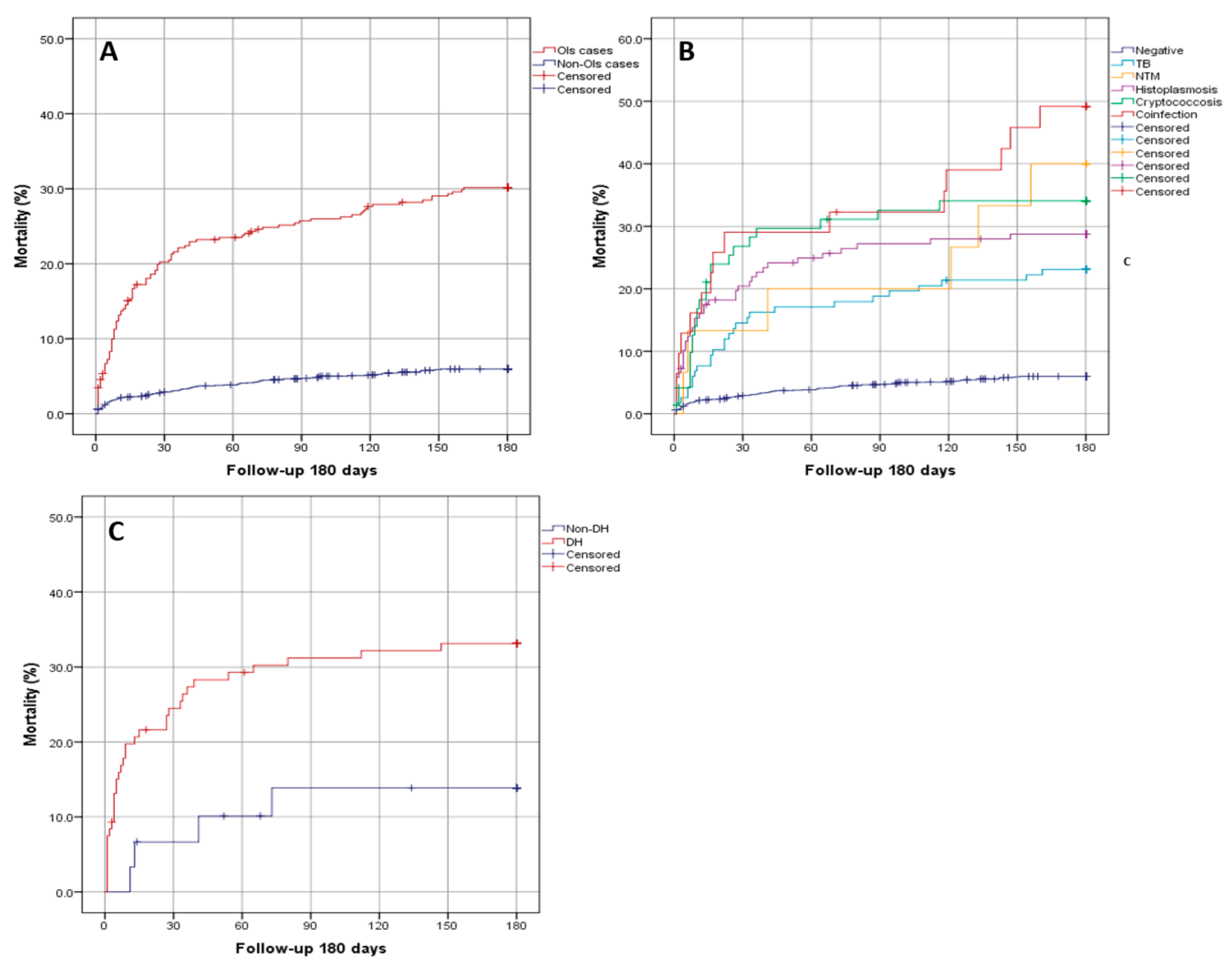
3.3. Treatment and Outcome
4. Discussion
Author Contributions
Funding
Institutional Review Board Statement
Informed Consent Statement
Data Availability Statement
Acknowledgments
Conflicts of Interest
References
- Low, A.; Gavriilidis, G.; Larke, N.; B-Lajoie, M.-R.; Drouin, O.; Stover, J.; Muhe, L.; Easterbrook, P. Incidence of Opportunistic Infections and the Impact of Antiretroviral Therapy Among HIV-Infected Adults in Low-and Middle-Income Countries: A Systematic Review and Meta-analysis. Clin. Infect. Dis. 2016, 62, 1595–1603. [Google Scholar] [CrossRef] [PubMed]
- Unaids. UNAIDS Data 2019; Unaids: Geneva, Switzerland, 2019. [Google Scholar]
- World Health Organization. Guidelines for Managing Advanced HIV Disease and Rapid Initiation of Antiretroviral Theraphy; World Health Organization: Geneva, Switzerland, 2017. [Google Scholar]
- Adenis, A.A.; Valdes, A.; Cropet, C.; Mccotter, O.Z.; Derado, G.; Couppie, P.; Chiller, T.; Nacher, M. Burden of HIV-associated histoplasmosis compared with tuberculosis in Latin America: A modelling study. Lancet Infect. Dis. 2018, 3099, 1150–1159. [Google Scholar] [CrossRef]
- Medina, N.; Samayoa, B.; Lau-Bonilla, D.; Denning, D.W.; Herrera, R.; Mercado, D.; Guzmán, B.; Pérez, J.C.; Arathoon, E. Burden of serious fungal infections in Guatemala. Eur. J. Clin. Microbiol. Infect. Dis. 2017, 36, 965–969. [Google Scholar] [CrossRef] [PubMed]
- Samayoa, B.; Aguirre, L.; Bonilla, O.; Medina, N.; Lau-Bonilla, D.; Mercado, D.; Moller, A.; Perez, J.C.; Alastruey-Izquierdo, A.; Arathoon, E.; et al. The Diagnostic Laboratory Hub: A New Health Care System Reveals the Incidence and Mortality of Tuberculosis, Histoplasmosis, and Cryptococcosis of PWH in Guatemala. Open Forum Infect. Dis. 2020, 7, 1–10. [Google Scholar] [CrossRef] [PubMed]
- Medina, N.; Alastruey-izquierdo, A.; Mercado, D.; Aguirre, L.; Samayoa, B.; Bonilla, O.; Pérez, J.C.; Rodriguez-tudela, J.L. Comparative performance of the laboratory assays used by a Diagnostic Laboratory Hub for opportunistic infections in people living with HIV. AIDS 2020, 34, 1625–1632. [Google Scholar] [CrossRef] [PubMed]
- Ministerio de Salud Pública y Asistencia Social de Guatemala. Guía de uso de los antirretrovirales en personas con VIH y su aplicación profiláctica; Ministerio de Salud Pública y Asistencia Social de Guatemala: Guatemala City, Guatemala, 2019; pp. 1–125.
- Ministerio de Salud Pública y Asistencia Social de Guatemala. Manual de atención para el manejo del paciente con Tuberculosis; Ministerio de Salud Pública y Asistencia Social de Guatemala: Guatemala City, Guatemala, 2018; pp. 1–113.
- Kiertiburanakul, S.; Boettiger, D.; Lee, M.P.; Fs Omar, S.; Tanuma, J.; Ng, O.T.; Durier, N.; Phanuphak, P.; Ditangco, R.; Chaiwarith, R.; et al. Trends of CD4 cell count levels at the initiation of antiretroviral therapy over time and factors associated with late initiation of antiretroviral therapy among Asian HIV-positive patients. J. Int. AIDS Soc. 2014, 17, 18804. [Google Scholar] [CrossRef] [PubMed]
- Melaku, Z.; Lamb, M.R.; Wang, C.; Lulseged, S.; Gadisa, T.; Ahmed, S.; Habtamu, Z.; Alemu, H.; Assefa, T.; Abrams, E.J. Characteristics and outcomes of adult Ethiopian patients enrolled in HIV care and treatment: A multi-clinic observational study. BMC Public Health 2015, 15, 1–13. [Google Scholar] [CrossRef] [PubMed]
- Burden, H.; Carmona, S.; Bor, J.; Nattey, C.; Maughan-Brown, B.; Maskew, M.; Fox, M.P.; Glencross, D.K.; Ford, N.; Macleod, W.B. High Burden of Advanced HIV Disease Among Patients Seeking Care in South Africa’s National HIV Program: Data From a Nationwide Laboratory Cohort. Clin. Infect. Dis. 2018, 2018, 111–118. [Google Scholar] [CrossRef]
- Mutimura, E.; Addison, D.; Anastos, K.; Hoover, D.; Dusingize, J.C.; Karenzie, B.; Izimukwiye, I.; Mutesa, L.; Nsanzimana, S.; Nashi, D. Trends in and correlates of CD4 + cell count at antiretroviral therapy initiation after changes in national ART guidelines in Rwanda. AIDS 2015, 29, 67. [Google Scholar] [CrossRef] [PubMed]
- Lahuerta, M.; Wu, Y.; Hoffman, S.; Elul, B.; Kulkarni, S.G.; Remien, R.H.; Nuwagaba-Biribonwoha, H.; El-Sadr, W.; Nash, D. Findings From Four Sub-Saharan African Countries for the Multi-level determinants of late ART initiation in sub-Saharan Africa Team and the Identifying Optimal Models of HIV Care in sub-Saharan Africa Collaboration. Clin. Infect. Dis. 2014, 58, 432–441. [Google Scholar] [CrossRef] [PubMed]
- Taylor, T.M.; Hembling, J.; Bertrand, J.T. Ethnicity and HIV risk behaviour, testing and knowledge in Guatemala. Ethn. Health 2015, 20, 163–177. [Google Scholar] [CrossRef] [PubMed][Green Version]
- Hu, X.; Liang, B.; Zhou, C.; Jiang, J.; Huang, J.; Ning, C.; Liu, J.; Zhou, B.; Zang, N.; Lai, J.; et al. HIV late presentation and advanced HIV disease among patients with newly diagnosed HIV/AIDS in Southwestern China: A large-scale cross-sectional study AIDS Research and Therapy. AIDS Res. Ther. 2019. [Google Scholar] [CrossRef] [PubMed]
- Meléndez, J.; Reinhardt, S.W.; O’Halloran, J.A.; Spec, A.; Alonzo Cordon, A.; Powderly, W.G.; Mejia Villatoro, C. Late Presentation and Missed Opportunities for HIV Diagnosis in Guatemala. AIDS Behav. 2019, 23, 920–928. [Google Scholar] [CrossRef] [PubMed]
- World Health Organization. Guidelines for the Diagnosis, Prevention and Management of Cryptococcal Disease in HIV-Infected Adults, Adolescents and Children; World Health Organization: Geneva, Switzerland, 2018; ISBN 978-92-4-155027-7. [Google Scholar]
- Taylor, R.L.; Dobrovolny, C.G. The Distribution of Histoplasmin Sensitivity in Guatemala. Am. J. Trop. Med. Hyg. 1960, 9, 518–522. [Google Scholar] [CrossRef] [PubMed]
- Pan American Health Organization. Diagnosing and Managing Disseminated Histoplasmosis among People Living with HIV; Pan American Health Organization: Washington, DC, USA; World Health Organization: Geneva, Switzerland, 2020; ISBN 9789275122488. [Google Scholar]
- Rajasingham, R.; Smith, R.M.; Park, B.J.; Jarvis, J.N.; Govender, N.P.; Chiller, T.M.; Denning, D.W.; Loyse, A.; Boulware, D.R. Global burden of disease of HIV-associated cryptococcal meningitis: An updated analysis. Lancet Infect. Dis. 2017, 17, 873–881. [Google Scholar] [CrossRef]
- Pan American Health Organization. Tuberculosis in the Americas; Pan American Health Organization: Washington, DC, USA; World Health Organization: Geneva, Switzerland, 2014; Volume 28, p. 543. [Google Scholar] [CrossRef]
- Agudelo, C.A.; Restrepo, C.A.; Molina, D.A.; Tobón, A.M.; Kauffman, C.A.; Murillo, C.; Restrepo, A. Tuberculosis and histoplasmosis co-infection in AIDS patients. Am. J. Trop. Med. Hyg. 2012, 87, 1094–1098. [Google Scholar] [CrossRef] [PubMed]
- Adenis, A.; Nacher, M.; Hanf, M.; Vantilcke, V.; Boukhari, R.; Blachet, D.; Demar, M.; Aznar, C.; Carme, B.; Couppie, P. HIV-Associated Histoplasmosis Early Mortality and Incidence Trends: From Neglect to Priority. PLoS Negl. Trop. Dis. 2014, 8, e3100. [Google Scholar] [CrossRef] [PubMed]
- Falci, D.R.; Monteiro, A.A.; Braz Caurio, C.F.; Magalhães, T.C.O.; Xavier, M.O.; Basso, R.P.; Melo, M.; Schwarzbold, A.V.; Ferreira, P.R.A.; Vidal, J.E.; et al. Histoplasmosis, An Underdiagnosed Disease Affecting People Living With HIV/AIDS in Brazil: Results of a Multicenter Prospective Cohort Study Using Both Classical Mycology Tests and Histoplasma Urine Antigen Detection. Open Forum Infect. Dis. 2019, 6, ofz073. [Google Scholar] [CrossRef] [PubMed]
- Loyse, A.; Thangaraj, H.; Easterbrook, P.; Ford, N.; Roy, M.; Chiller, T.; Govender, N.; Harrison, T.S.; Bicanic, T. Cryptococcal meningitis: Improving access to essential antifungal medicines in resource-poor countries. Lancet Infect. Dis. 2013, 13, 629–637. [Google Scholar] [CrossRef]
- Flucytosine and Cryptococcosis: Time to Urgently Address the Worldwide Accessibility of a 50-Year-Old Antifungal. Available online: https://www.ncbi.nlm.nih.gov/pmc/articles/PMC3797641/ (accessed on 3 July 2020).
- Samayoa, B.; Mercado, D.; Scheel, C.; Guazmán, B.; Amado, I.; Gómez, B.; Morales, R.E.; Chiller, T.; Arathoon, E.; Recinos, A.; et al. Disseminated histoplasmosis (DH) before and after the implementation of urine antigen detection ELISA (UADE) in an HIV clinic in Guatemala. ICAAC 2012, M-1694. [Google Scholar]

| Characteristic | Total 2127 (100%) | With OI 385 (18%) | Without OI 1742 (82%) | |||
|---|---|---|---|---|---|---|
| n | % | n | % | n | % | |
| Sex | ||||||
| Male | 1495 | 70.3 | 280 | 72.7 | 1215 | 69.7 |
| Female | 608 | 28.6 | 104 | 27.0 | 504 | 28.9 |
| Transsexual | 24 | 1.1 | 1 | 0.3 | 23 | 1.3 |
| Age (years) | ||||||
| n | 2121 | 99.7 | 380 | 98.7 | 1741 | 99.9 |
| Median, IQR | 31 | (25–41) | 35 | (28–45) | 30 | (24–40) |
| Sexual orientation | ||||||
| Heterosexual | 1420 | 66.8 | 306 | 79.5 | 1114 | 63.9 |
| Homosexual | 486 | 22.8 | 39 | 10.1 | 447 | 25.7 |
| Bisexual | 163 | 7.7 | 19 | 4.9 | 144 | 8.3 |
| Unknown | 58 | 2.7 | 21 | 5.5 | 37 | 2.1 |
| Ethnic group | ||||||
| Ladino | 1524 | 71.7 | 266 | 69.1 | 1258 | 72.2 |
| Mayan | 334 | 15.7 | 60 | 15.6 | 274 | 15.7 |
| Other | 13 | 0.6 | 4 | 1.0 | 9 | 0.5 |
| Unknown | 256 | 12.0 | 55 | 14.3 | 201 | 11.5 |
| Residence | 2077 | 97.6 | 371 | 96.3 | 1706 | 97.9 |
| Urban | 995 | 47.9 | 159 | 42.9 | 836 | 49 |
| Rural | 1082 | 52.1 | 212 | 57.1 | 870 | 51 |
| BMI | ||||||
| n | 1198 | 56.3 | 185 | 48.0 | 1013 | 58.1 |
| Underweight | 148 | 12.4 | 45 | 24.5 | 103 | 10.2 |
| Normal | 695 | 58.1 | 98 | 53.3 | 597 | 58.9 |
| Overweight | 275 | 23.0 | 33 | 17.9 | 242 | 23.9 |
| Obese | 79 | 6.6 | 8 | 4.3 | 71 | 7.0 |
| CD4 (cells/mm3) | ||||||
| n | 1682 | 79.1 | 268 | 69.6 | 1414 | 81.2 |
| Median, IQR | 187 | (73–326) | 53 | (19–137) | 220 | (102–359) |
| <200 | 877 | 52.1 | 227 | 84.7 | 650 | 46.0 |
| <350 | 1298 | 77.2 | 253 | 94.4 | 1045 | 73.9 |
| ≥350 | 384 | 22.8 | 15 | 5.6 | 369 | 26.1 |
| Viral load (copies/mL) | ||||||
| n | 1668 | 78.4 | 277 | 72.0 | 1391 | 79.8 |
| Log10 Median, IQR | 4.8 | (4.2–5.3) | 5.2 | (4.7–5.7) | 4.7 | (4.1–5.2) |
| OIs | Overall Incidence | Interval CD4 Cell Count | ||||
|---|---|---|---|---|---|---|
| <50 | 50–99 | 100–199 | 200–350 | >350 | ||
| Tuberculosis | 7.1% | 11.5% | 10.8% | 7.5% | 2.7% | 2.9% |
| NTM | 1.1% | 2.4% | 0.5% | 1.9% | 0.3% | 0.0% |
| Histoplasmosis * | 7.9% | 19.7% | 7.0% | 4.1% | 2.4% | 1.1% |
| Cryptococcosis + | 4.8% | 14.3% | 7.4% | 3.3% | 1.5% | 0.3% |
| Total | 21.0% | 47.9% | 25.8% | 16.8% | 6.8% | 4.3% |
| CD4 Threshold | Sensitivity (95% CI) | Specificity (95% CI) |
|---|---|---|
| <100 | 66.6 (59.8–71.1) | 75.2 (73.1–77.6) |
| <200 | 85.1 (80–88.5) | 53.9 (51.4–56.6) |
| <350 | 94.4 (90.1–96.6) | 26.0 (23.8–28.4) |
| Treatments | Total | TB | NTM | Histo | Crypto | Coinfections |
|---|---|---|---|---|---|---|
| (n = 385) | (n = 121) | (n = 15) | (n = 140) | (n = 78) | (n = 31) | |
| n (%) | n (%) | n (%) | n (%) | n (%) | n (%) | |
| Antifungal therapy | 206 (53.5) | - | - | 116 (82.9) | 64 (82) | 25 (80.6) |
| Amphotericin B | 141 (36.6) | - | - | 89 (63.6) | 39 (50) | 13 (41.9) |
| Itraconazole | 74 (19.2) | - | - | 67 (47.9) | 2 (2.5) | 5 (16.1) |
| Fluconazole | 75 (19.5) | - | - | 7 (5) | 52 (66.7) | 12 (38.7) |
| Anti-tuberculous drugs | 127 (33) | 112 (92.5) | - | - | - | 12 (38.7) |
| Antibiotics | 11 (2.9) | - | 2 (13.3) | - | - | 2 (6.4) |
Publisher’s Note: MDPI stays neutral with regard to jurisdictional claims in published maps and institutional affiliations. |
© 2021 by the authors. Licensee MDPI, Basel, Switzerland. This article is an open access article distributed under the terms and conditions of the Creative Commons Attribution (CC BY) license (https://creativecommons.org/licenses/by/4.0/).
Share and Cite
Medina, N.; Alastruey-Izquierdo, A.; Bonilla, O.; Gamboa, O.; Mercado, D.; Pérez, J.C.; Salazar, L.R.; Arathoon, E.; Denning, D.W.; Rodriguez-Tudela, J.L. A Rapid Screening Program for Histoplasmosis, Tuberculosis, and Cryptococcosis Reduces Mortality in HIV Patients from Guatemala. J. Fungi 2021, 7, 268. https://doi.org/10.3390/jof7040268
Medina N, Alastruey-Izquierdo A, Bonilla O, Gamboa O, Mercado D, Pérez JC, Salazar LR, Arathoon E, Denning DW, Rodriguez-Tudela JL. A Rapid Screening Program for Histoplasmosis, Tuberculosis, and Cryptococcosis Reduces Mortality in HIV Patients from Guatemala. Journal of Fungi. 2021; 7(4):268. https://doi.org/10.3390/jof7040268
Chicago/Turabian StyleMedina, Narda, Ana Alastruey-Izquierdo, Oscar Bonilla, Osmar Gamboa, Danicela Mercado, Juan C. Pérez, Luis Roberto Salazar, Eduardo Arathoon, David W. Denning, and Juan Luis Rodriguez-Tudela. 2021. "A Rapid Screening Program for Histoplasmosis, Tuberculosis, and Cryptococcosis Reduces Mortality in HIV Patients from Guatemala" Journal of Fungi 7, no. 4: 268. https://doi.org/10.3390/jof7040268
APA StyleMedina, N., Alastruey-Izquierdo, A., Bonilla, O., Gamboa, O., Mercado, D., Pérez, J. C., Salazar, L. R., Arathoon, E., Denning, D. W., & Rodriguez-Tudela, J. L. (2021). A Rapid Screening Program for Histoplasmosis, Tuberculosis, and Cryptococcosis Reduces Mortality in HIV Patients from Guatemala. Journal of Fungi, 7(4), 268. https://doi.org/10.3390/jof7040268

