Effects of Using Mechanical Brushes on the Productive Performance of Dairy Cows
Abstract
Simple Summary
Abstract
1. Introduction
2. Materials and Methods
2.1. Animals and Housing
2.2. Mechanical Brush Installation and Usage Data Collection
2.3. Collection of Data Related to Lactation, Disease, and Reproduction of Dairy Cows
2.4. Assessment of Cow Body’s Surface Cleanliness
2.5. Experimental Groups and Control Groups
2.6. Breeding Program and Detection of Uterine Involution and Luteolysis
2.7. Detection of Serum Estradiol and Progesterone Concentrations by ELISA
2.8. Statistical Analysis
3. Results
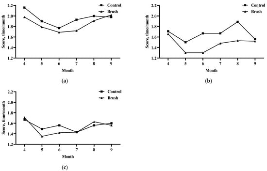
3.1. Analysis of the Use of Mechanical Brushes by Dairy Cows at Different Physiological Stages
3.2. Effect of Using Mechanical Brushes on Milk Production in Dairy Cows
3.3. Effect of Using Mechanical Brushes on the Health Status of Cows
3.4. Effect of Mechanical Brush on the Reproductive Performance of Dairy Cows
4. Discussion
5. Conclusions
Author Contributions
Funding
Institutional Review Board Statement
Informed Consent Statement
Data Availability Statement
Acknowledgments
Conflicts of Interest
References
- Reynolds, S.J.; Lundqvist, P.; Colosio, C. International Dairy Health and Safety. J. Agromed. 2013, 18, 179–183. [Google Scholar] [CrossRef] [PubMed]
- Barkema, H.W.; von Keyserlingk, M.A.; Kastelic, J.P.; Lam, T.J.; Luby, C.; Roy, J.P.; Leblanc, S.J.; Keefe, G.P.; Kelton, D.F. Invited Review: Changes in the Dairy Industry Affecting Dairy Cattle Health and Welfare. J. Dairy Sci. 2015, 98, 7426–7445. [Google Scholar] [CrossRef]
- Crossley, R.E.; Bokkers, E.; Browne, N.; Sugrue, K.; Kennedy, E.; de Boer, I.; Conneely, M. Assessing Dairy Cow Welfare during the Grazing and Housing Periods on Spring-Calving, Pasture-Based Dairy Farms. J. Anim. Sci. 2021, 99, skab093. [Google Scholar] [CrossRef]
- Sun, F.; Zhao, Q.; Chen, X.; Zhao, G.; Gu, X. Physiological Indicators and Production Performance of Dairy Cows with Tongue Rolling Stereotyped Behavior. Front. Vet. Sci. 2022, 9, 840726. [Google Scholar] [CrossRef] [PubMed]
- Mota-Rojas, D.; Whittaker, A.L.; Dominguez-Oliva, A.; Strappini, A.C.; Alvarez-Macias, A.; Mora-Medina, P.; Ghezzi, M.; Lendez, P.; Lezama-Garcia, K.; Grandin, T. Tactile, Auditory, and Visual Stimulation as Sensory Enrichment for Dairy Cattle. Animals 2024, 14, 1265. [Google Scholar] [CrossRef]
- Horvath, K.C.; Allen, A.N.; Miller-Cushon, E.K. Effects of Access to Stationary Brushes and Chopped Hay on Behavior and Performance of Individually Housed Dairy Calves. J. Dairy Sci. 2020, 103, 8421–8432. [Google Scholar] [CrossRef]
- Park, R.M.; Schubach, K.M.; Cooke, R.F.; Herring, A.D.; Daigle, C.L. Impact of a Cattle Brush on Feedlot Steer Behavior, Productivity and Stress Physiology. Appl. Anim. Behav. Sci. 2020, 228, 104995. [Google Scholar] [CrossRef]
- Devries, T.J.; Vankova, M.; Veira, D.M.; von Keyserlingk, M.A.G. Short Communication: Usage of Mechanical Brushes by Lactating Dairy Cows. J. Dairy Sci. 2007, 90, 2241–2245. [Google Scholar] [CrossRef]
- Foris, B.; Sadrzadeh, N.; Krahn, J.; Weary, D.M.; von Keyserlingk, M. The Effect of Placement and Group Size on the Use of an Automated Brush by Groups of Lactating Dairy Cattle. Animals 2023, 13, 760. [Google Scholar] [CrossRef]
- Zhang, C.; Juniper, D.T.; Mcdonald, R.; Parsons, S.; Meagher, R.K. Holstein Calves’ Preference for Potential Physical Enrichment Items on Different Presentation Schedules. J. Dairy Sci. 2022, 105, 8316–8327. [Google Scholar] [CrossRef]
- Schukken, Y.H.; Young, G.D. Field Study on milk production and mastitis effect of the DeLaval Swinging Cow Brush. DeLaval Tumba Sweden 2009, 1–26. [Google Scholar]
- Chen, X.; Gu, X.; Sun, F. Investigation Report on Welfare of Dairy Farms in Southwest China. China Dairy Cattle 2021, 16–19. [Google Scholar]
- Gu, X.; Chen, J.; He, X.; Li, G.; Peng, D. Study Report on Dairy Welfare and Health Feeding in Beijing: Investigation on Breeding Stock. Annual Milk Yield, Cowshed Type, Calves Breeding Facilities and Rearing System. China Dairy Cattle 2017, 12–15. [Google Scholar]
- Mandel, R.; Nicol, C.J.; Whay, H.R.; Klement, E. Short Communication: Detection and Monitoring of Metritis in Dairy Cows Using an Automated Grooming Device. J. Dairy Sci. 2017, 100, 5724–5728. [Google Scholar] [CrossRef]
- Mandel, R.; Harazy, H.; Gygax, L.; Nicol, C.J.; Ben-David, A.; Whay, H.R.; Klement, E. Short Communication: Detection of Lameness in Dairy Cows Using a Grooming Device. J. Dairy Sci. 2018, 101, 1511–1517. [Google Scholar] [CrossRef]
- van Gastelen, S.; Westerlaan, B.; Houwers, D.J.; van Eerdenburg, F.J.C.M. A Study on Cow Comfort and Risk for Lameness and Mastitis in Relation to Different Types of Bedding Materials. J. Dairy Sci. 2011, 94, 4878–4888. [Google Scholar] [CrossRef]
- Li, Z.; Luan, S.; Yan, L.; Xie, C.; Lian, Z.; Yang, M.; Mei, M.; Lin, P.; Wang, A.; Jin, Y. Effect of Double-Ovsynch and Presynch-Ovsynch on postpartum ovarian cysts and inactive ovary in high-yielding dairy cows. Front. Vet. Sci. 2024, 11, 1348734. [Google Scholar] [CrossRef] [PubMed]
- Brusveen, D.J.; Cunha, A.P.; Silva, C.D.; Cunha, P.M.; Sterry, R.A.; Silva, E.P.; Guenther, J.N.; Wiltbank, M.C. Altering the Time of the Second Gonadotropin-Releasing Hormone Injection and Artificial Insemination (AI) during Ovsynch Affects Pregnancies Per Ai in Lactating Dairy Cows. J. Dairy Sci. 2008, 91, 1044–1052. [Google Scholar] [CrossRef]
- Zhang, J.; Deng, L.X.; Zhang, H.L.; Hua, G.H.; Han, L.; Zhu, Y.; Meng, X.J.; Yang, L.G. Effects of Parity on Uterine Involution and Resumption of Ovarian Activities in Postpartum Chinese Holstein Dairy Cows. J. Dairy Sci. 2010, 93, 1979–1986. [Google Scholar] [CrossRef]
- Horvath, K.C.; Miller-Cushon, E.K. Characterizing Grooming Behavior Patterns and the Influence of Brush Access on the Behavior of Group-Housed Dairy Calves. J. Dairy Sci. 2019, 102, 3421–3430. [Google Scholar] [CrossRef]
- Velasquez-Munoz, A.; Manriquez, D.; Paudyal, S.; Solano, G.; Han, H.; Callan, R.; Velez, J.; Pinedo, P. Effect of a Mechanical Grooming Brush on the Behavior and Health of Recently Weaned Heifer Calves. BMC Vet. Res. 2019, 15, 284. [Google Scholar] [CrossRef] [PubMed]
- Zobel, G.; Neave, H.W.; Henderson, H.V.; Webster, J. Calves Use an Automated Brush and a Hanging Rope When Pair-Housed. Animals 2017, 7, 84. [Google Scholar] [CrossRef] [PubMed]
- Mcconnachie, E.; Smid, A.; Thompson, A.J.; Weary, D.M.; Gaworski, M.A.; von Keyserlingk, M. Cows are Highly Motivated to Access a Grooming Substrate. Biol. Lett. 2018, 14, 20180303. [Google Scholar] [CrossRef] [PubMed]
- Newby, N.C.; Duffield, T.F.; Pearl, D.L.; Leslie, K.E.; Leblanc, S.J.; von Keyserlingk, M.A.G. Short Communication: Use of a Mechanical Brush by Holstein Dairy Cattle around Parturition. J. Dairy Sci. 2013, 96, 2339–2344. [Google Scholar] [CrossRef]
- Mandel, R.; Whay, H.R.; Nicol, C.J.; Klement, E. The Effect of Food Location, Heat Load, and Intrusive Medical Procedures on Brushing Activity in Dairy Cows. J. Dairy Sci. 2013, 96, 6506–6513. [Google Scholar] [CrossRef]
- Foris, B.; Lecorps, B.; Krahn, J.; Weary, D.M.; von Keyserlingk, M. The Effects of Cow Dominance on the Use of a Mechanical Brush. Sci. Rep. 2021, 11, 22987. [Google Scholar] [CrossRef]
- Reyes, F.S.; Gimenez, A.R.; Anderson, K.M.; Miller-Cushon, E.K.; Dorea, J.R.; Van Os, J. Impact of Stationary Brush Quantity on Brush Use in Group-Housed Dairy Heifers. Animals 2022, 12, 972. [Google Scholar] [CrossRef]
- Meneses, X.C.A.; Park, R.M.; Ridge, E.E.; Daigle, C.L. Hourly Activity Patterns and Behaviour-Based Management of Feedlot Steers with and without a Cattle Brush. Appl. Anim. Behav. Sci. 2021, 236, 105241. [Google Scholar] [CrossRef]
- Van Os, J.; Goldstein, S.A.; Weary, D.M.; von Keyserlingk, M. Stationary Brush Use in Naive Dairy Heifers. J. Dairy Sci. 2021, 104, 12019–12029. [Google Scholar] [CrossRef]
- Zhang, X.; Li, S. The Enlightenment of Dairy Cow Welfare to Dairy Farming in China. China Dairy Cattle 2023, 7–10. [Google Scholar]
- Ashraf, A.; Imran, M. Causes, Types, Etiological Agents, Prevalence, Diagnosis, Treatment, Prevention, Effects on Human Health and Future Aspects of Bovine Mastitis. Anim. Health Res. Rev. 2020, 21, 36–49. [Google Scholar] [CrossRef] [PubMed]
- Fricke, P.M.; Wiltbank, M.C. Symposium Review: The Implications of Spontaneous Versus Synchronized Ovulations on the Reproductive Performance of Lactating Dairy Cows. J. Dairy Sci. 2022, 105, 4679–4689. [Google Scholar] [CrossRef] [PubMed]
- Lonergan, P.; Sanchez, J.M. Symposium Review: Progesterone Effects on Early Embryo Development in Cattle. J. Dairy Sci. 2020, 103, 8698–8707. [Google Scholar] [CrossRef] [PubMed]
- Hirako, M.; Takahashi, T.; Domeki, I. Peripheral Changes in Estrone Sulfate Concentration during the First Trimester of Gestation in Cattle: Comparison with Unconjugated Estrogens and Relationship to Fetal Number. Theriogenology 2002, 57, 1939–1947. [Google Scholar] [CrossRef]
- Mcneill, R.E.; Diskin, M.G.; Sreenan, J.M.; Morris, D.G. Associations between Milk Progesterone Concentration on Different Days and with Embryo Survival during the Early Luteal Phase in Dairy Cows. Theriogenology 2006, 65, 1435–1441. [Google Scholar] [CrossRef]
- Gomez, N.A.; Conley, A.J.; Robinson, P.H. Effects of Long-Term, Near-Term, and Real-Time Energy Balance, and Blood Progesterone Concentrations, on the Pregnancy Rate of Contemporary Dairy Cows. Anim. Reprod. Sci. 2018, 189, 136–145. [Google Scholar] [CrossRef]

Mechanical brush;
Feeding trough;
Water trough; (a, b, c, d) represent the installation positions of different mechanical brushes.
Mechanical brush;
Feeding trough;
Water trough; (a, b, c, d) represent the installation positions of different mechanical brushes.






| Parity | Brush | Control | p-Value | ||
|---|---|---|---|---|---|
| Mean ± SD | N | Mean ± SD | N | ||
| Second parity (kg) | 12,343.88 ± 2329.79 | 8 | 11,415.91 ± 954.52 | 11 | 0.276 |
| Third parity (kg) | 12,752.10 ± 1587.09 | 39 | 12,164.29 ± 1754.10 | 35 | 0.140 |
| Fourth parity (kg) | 13,819.67 ± 1520.15 a | 9 | 11,520.57 ± 1976.49 b | 7 | 0.028 |
| Fifth parity (kg) | 13,992.29 ± 2155.13 a | 35 | 12,962.81 ± 1713.19 b | 32 | 0.038 |
| Whole group (kg) | 13,298.79 ± 1997.92 A | 91 | 12,315.05 ± 1770.12 B | 85 | <0.001 |
| Item | Brush | Control | p-Value |
|---|---|---|---|
| Uterine involution rate (%; n) | 70 (30) | 55 (56) | 0.105 |
| Luteolysis rate (%; n) | 100 (30) | 95 (56) | 0.549 |
| First service conception rate (%; n) | 35.94 (64) | 30.61 (49) | 0.694 |
| Days open (d; n) | 114.38 ± 56.39 (64) | 113.80 ± 53.62 (49) | 0.956 |
| Number of services per conception (time; n) | 2.19 ± 1.22 (64) | 2.14 ± 1.07 (49) | 0.841 |
| 30 d-60 d abortion rate (%; n) | 7.81 (64) | 10.20 (49) | 0.939 |
| Abortion rate after 60 d (%; n) | 3.13 (64) | 4.08 (49) | 0.785 |
Disclaimer/Publisher’s Note: The statements, opinions and data contained in all publications are solely those of the individual author(s) and contributor(s) and not of MDPI and/or the editor(s). MDPI and/or the editor(s) disclaim responsibility for any injury to people or property resulting from any ideas, methods, instructions or products referred to in the content. |
© 2024 by the authors. Licensee MDPI, Basel, Switzerland. This article is an open access article distributed under the terms and conditions of the Creative Commons Attribution (CC BY) license (https://creativecommons.org/licenses/by/4.0/).
Share and Cite
Li, H.; Zhang, R.; Li, H.; Yuan, H.; Zhang, R.; Ren, H.; Xiao, J.; Li, Z.; Wang, A.; Jin, Y.; et al. Effects of Using Mechanical Brushes on the Productive Performance of Dairy Cows. Vet. Sci. 2024, 11, 481. https://doi.org/10.3390/vetsci11100481
Li H, Zhang R, Li H, Yuan H, Zhang R, Ren H, Xiao J, Li Z, Wang A, Jin Y, et al. Effects of Using Mechanical Brushes on the Productive Performance of Dairy Cows. Veterinary Sciences. 2024; 11(10):481. https://doi.org/10.3390/vetsci11100481
Chicago/Turabian StyleLi, Hanbing, Ruixue Zhang, Haijing Li, Haojie Yuan, Ruihang Zhang, Hongyu Ren, Jinbang Xiao, Zuhui Li, Aihua Wang, Yaping Jin, and et al. 2024. "Effects of Using Mechanical Brushes on the Productive Performance of Dairy Cows" Veterinary Sciences 11, no. 10: 481. https://doi.org/10.3390/vetsci11100481
APA StyleLi, H., Zhang, R., Li, H., Yuan, H., Zhang, R., Ren, H., Xiao, J., Li, Z., Wang, A., Jin, Y., & Lin, P. (2024). Effects of Using Mechanical Brushes on the Productive Performance of Dairy Cows. Veterinary Sciences, 11(10), 481. https://doi.org/10.3390/vetsci11100481

