Effect of a Ketogenic Medium Chain Triglyceride-Enriched Diet on the Fecal Microbiota in Canine Idiopathic Epilepsy: A Pilot Study
Abstract
Simple Summary
Abstract
1. Introduction
2. Materials and Methods
2.1. Animals and Procedures
Ethics Statement
2.2. Diet
2.3. Fecal Collection and Microbiota Analysis
2.4. Bioinformatics and Statistical Methods
3. Results
3.1. Clinical Outcomes
3.2. Differences in Fecal Microbiota between Epileptic and Non-Epileptic Dogs before and after MCT Diet
3.3. Fecal Microbiota Results in Epileptic Dogs before and after MCT Diet
3.4. Fecal Microbiota Results in Non-Epileptic Dogs before and after MCT Diet
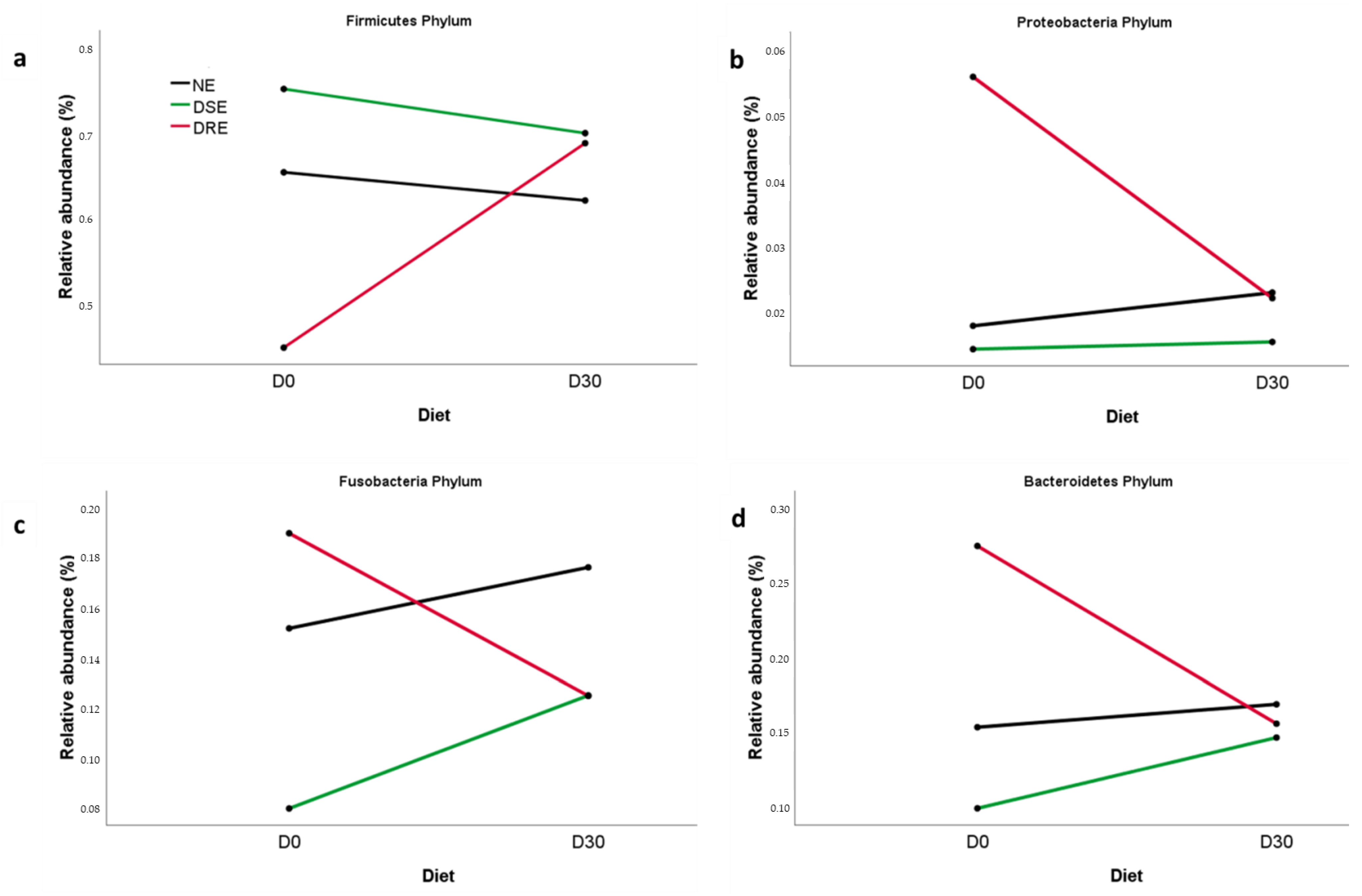
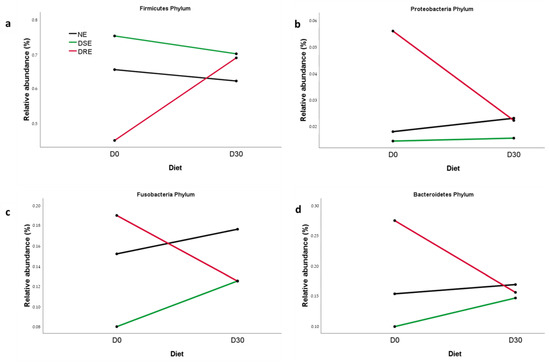
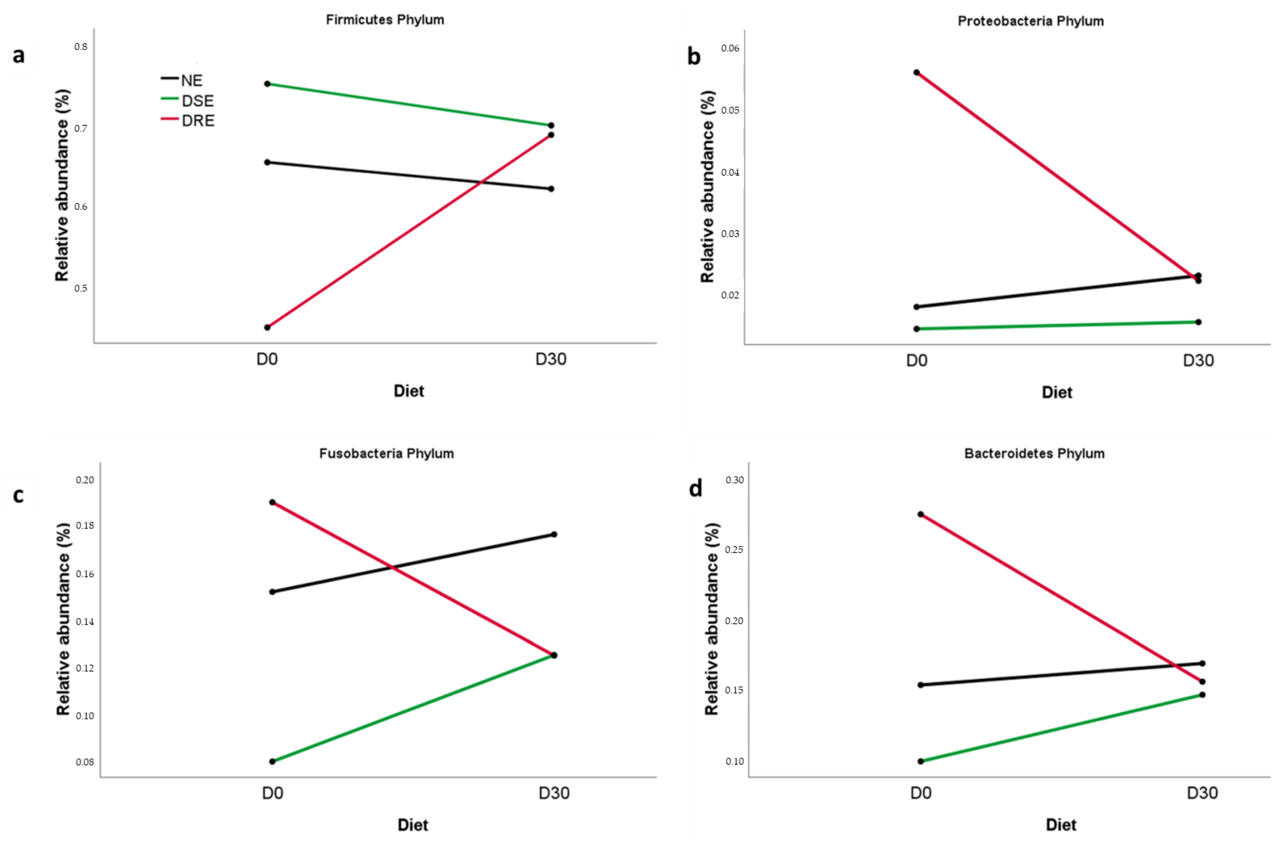
3.5. Differences in Fecal Microbiota between Drug-Refractory and Drug-Sensitive Epileptic Dogs
4. Discussion
5. Conclusions
Author Contributions
Funding
Institutional Review Board Statement
Informed Consent Statement
Data Availability Statement
Acknowledgments
Conflicts of Interest
References
- Fiest, K.M.; Sauro, K.M.; Wiebe, S.; Patten, S.B.; Kwon, C.-S.; Dykeman, J.; Pringsheim, T.; Lorenzetti, D.L.; Jetté, N. Prevalence and incidence of epilepsy: A systematic review and meta-analysis of international studies. Neurology 2017, 88, 296–303. [Google Scholar] [CrossRef] [PubMed]
- Beghi, E. The epidemiology of epilepsy. Neuroepidemiology 2020, 54, 185–191. [Google Scholar] [CrossRef] [PubMed]
- Kearsley-Fleet, L.; O’Neill, D.G.; Volk, H.A.; Church, D.B.; Brodbelt, D.C. Prevalence and risk factors for canine epilepsy of unknown origin in the UK. Vet. Rec. 2013, 172, 338. [Google Scholar] [CrossRef] [PubMed]
- Erlen, A.; Potschka, H.; Volk, H.A.; Sauter-Louis, C.; O’Neill, D.G. Seizure occurrence in dogs under primary veterinary care in the UK: Prevalence and risk factors. J. Vet. Intern. Med. 2018, 32, 1665–1676. [Google Scholar] [CrossRef] [PubMed]
- Hamamoto, Y.; Hasegawa, D.; Mizoguchi, S.; Yu, Y.; Wada, M.; Kuwabara, T.; Fujiwara-Igarashi, A.; Fujita, M. Retrospective epidemiological study of canine epilepsy in Japan using the International Veterinary Epilepsy Task Force classification 2015 (2003–2013): Etiological distribution, risk factors, survival time, and lifespan. BMC Vet. Res. 2016, 12, 248. [Google Scholar] [CrossRef]
- Hall, R.; Labruyere, J.; Volk, H.; Cardy, T.J. Estimation of the prevalence of idiopathic epilepsy and structural epilepsy in a general population of 900 dogs undergoing MRI for epileptic seizures. Vet. Rec. 2020, 187, e89. [Google Scholar] [CrossRef]
- Packer RM, A.; Shihab, N.K.; Torres BB, J.; Volk, H.A. Responses to successive anti-epileptic drugs in canine idiopathic epilepsy. Vet. Rec. 2015, 176, 203. [Google Scholar] [CrossRef]
- Han, F.Y.; Conboy-Schmidt, L.; Rybachuk, G.; Volk, H.A.; Zanghi, B.; Pan, Y.; Borges, K. Dietary medium chain triglycerides for management of epilepsy: New data from human, dog, and rodent studies. Epilepsia 2021, 62, 1790–1806. [Google Scholar] [CrossRef]
- Dupuis, N.; Curatolo, N.; Benoist, J.-F.; Auvin, S. Ketogenic diet exhibits anti-inflammatory properties. Epilepsia 2015, 56, e95–e98. [Google Scholar] [CrossRef]
- Dahlin, M.; Singleton, S.S.; David, J.A.; Basuchoundary, A.; Wickström, R.; Mazumder, R.; Prast-Nielsen, S. Higher levels of Bifidobacteria and tumor necrosis factor in children with drug-resistant epilepsy are associated with anti-seizure response to the ketogenic diet. EBioMedicine 2022, 80, 104061. [Google Scholar] [CrossRef]
- Berk, B.A.; Packer, R.M.A.; Law, T.H.; Volk, H.A. Investigating owner use of dietary supplements in dogs with idiopathic epilepsy. Res. Vet. Sci. 2018, 119, 276–284. [Google Scholar] [CrossRef] [PubMed]
- Law, T.H.; Davies, E.S.S.; Pan, Y.; Zanghi, B.; Want, E.; Volk, H.A. A randomised trial of a medium-chain TAG diet as treatment for dogs with idiopathic epilepsy. Br. J. Nutr. 2015, 114, 1438–1447. [Google Scholar] [CrossRef] [PubMed]
- Packer, R.M.A.; Law, T.H.; Davies, E.; Zanghi, B.; Pan, Y.; Volk, H.A. Effects of a ketogenic diet on ADHD-like behavior in dogs with idiopathic epilepsy. Epilepsy Behav. 2016, 55, 62–68. [Google Scholar] [CrossRef]
- Berk, B.A.; Packer, R.M.A.; Law, T.H.; Wessmann, A.; Bathen-Nöthen, A.; Jokinen, T.S.; Knebel, A.; Tipold, A.; Pelligand, L.; Volk, H.A. A double-blinded randomised dietary supplement crossover trial design to investigate the short-term influence of medium chain fatty acid (MCT) supplement on canine idiopathic epilepsy: Study protocol. BMC Vet. Res. 2019, 15, 181. [Google Scholar] [CrossRef]
- Berk, B.A.; Law, T.H.; Packer, R.M.A.; Wessmann, A.; Bathen-Nöthen, A.; Jokinen, T.S.; Knebel, A.; Tipold, A.; Pelligand, L.; Meads, Z.; et al. A multicenter randomized controlled trial of medium-chain triglyceride dietary supplementation on epilepsy in dogs. J. Vet. Intern. Med. 2020, 34, 1248–1259. [Google Scholar] [CrossRef]
- Molina, J.; Jean-Philippe, C.; Conboy, L.; Añor, S.; Fuente, C.; Wrzosek, M.A.; Spycher, A.; Luchsinger, E.; Wenger-Riggenbach, B.; Montoliu, P.; et al. Efficacy of medium chain triglyceride oil dietary supplementation in reducing seizure frequency in dogs with idiopathic epilepsy without cluster seizures: A non-blinded, prospective clinical trial. Vet. Rec. 2020, 187, 356. [Google Scholar] [CrossRef] [PubMed]
- Pan, Y.; Larson, B.; Araujo, J.A.; Lau, W.; de Rivera, C.; Santana, R.; Gore, A.; Milgram, N.W. Dietary supplementation with medium-chain TAG has long-lasting cognition-enhancing effects in aged dogs. Br. J. Nutr. 2010, 103, 1746–1754. [Google Scholar] [CrossRef]
- Berk, B.A.; Packer, R.M.A.; Law, T.H.; Wessmann, A.; Bathen-Nöthen, A.; Jokinen, T.S.; Knebel, A.; Tipold, A.; Pelligand, L.; Volk, H.A. Medium-chain triglycerides dietary supplement improves cognitive abilities in canine epilepsy. Epilepsy Behav. 2021, 114, 107608. [Google Scholar] [CrossRef]
- Gernone, F.; Uva, A.; Silvestrino, M.; Cavalera, M.A.; Zatelli, A. Role of Gut microbiota through gut–brain axis in epileptogenesis: A systematic review of human and veterinary medicine. Biology 2022, 11, 1290. [Google Scholar] [CrossRef]
- Dahlin, M.; Prast-Nielsen, S. The gut microbiome and epilepsy. EBioMedicine 2019, 44, 741–746. [Google Scholar] [CrossRef]
- Özcan, E.; Lum, G.R.; Hsiao, E.Y. Chapter eight—Interactions between the gut microbiome and ketogenic diet in refractory epilepsy. In International Review of Neurobiology; Elsevier: Amsterdam, The Netherlands, 2022; Volume 167, pp. 217–249. [Google Scholar] [CrossRef]
- Gong, X.; Cai, Q.; Liu, X.; An, D.; Zhou, D.; Luo, R.; Peng, R.; Hong, Z. Gut flora and metabolism are altered in epilepsy and partially restored after ketogenic diets. Microb. Pathog. 2021, 155, 104899. [Google Scholar] [CrossRef] [PubMed]
- Olson, C.A.; Vuong, H.E.; Yano, J.M.; Liang, Q.Y.; Nusbaum, D.J.; Hsiao, E.Y. The gut microbiota mediates the anti-seizure effects of the ketogenic diet. Cell 2018, 173, 1728–1741.e13. [Google Scholar] [CrossRef] [PubMed]
- Pilla, R.; Law, T.H.; Pan, Y.; Zanghi, B.M.; Li, Q.; Want, E.J.; Lidbury, J.A.; Steiner, J.M.; Suchodolski, J.S.; Volk, H.A. The effects of a ketogenic medium-chain triglyceride diet on the feces in dogs with idiopathic epilepsy. Front. Vet. Sci. 2020, 7, 541547. [Google Scholar] [CrossRef] [PubMed]
- De Risio, L.; Bhatti, S.; Muñana, K.; Penderis, J.; Stein, V.; Tipold, A.; Berendt, M.; Farqhuar, R.; Fischer, A.; Long, S.; et al. International veterinary epilepsy task force consensus proposal: Diagnostic approach to epilepsy in dogs. BMC Vet. Res. 2015, 11, 148. [Google Scholar] [CrossRef]
- Berendt, M.; Farquhar, R.G.; Mandigers, P.J.; Pakozdy, A.; Bhatti, S.F.; De Risio, L.; Fischer, A.; Long, S.; Matiasek, K.; Muñana, K.; et al. International veterinary epilepsy task force consensus report on epilepsy definition, classification and terminology in companion animals. BMC Vet. Res. 2015, 11, 182. [Google Scholar] [CrossRef]
- Bhatti, S.F.M.; De Risio, L.; Muñana, K.; Penderis, J.; Stein, V.M.; Tipold, A.; Berendt, M.; Farquhar, R.G.; Fischer, A.; Long, S.; et al. Interational Veterinary Task Force consensus proposal: Medical treatment of canine epilepsy in Europe. BMC Vet. Res. 2015, 11, 176. [Google Scholar] [CrossRef]
- García-Belenguer, S.; Grasa, L.; Valero, O.; Palacio, J.; Luño, I.; Rosado, B. Gut microbiota in canine idiopathic epilepsy: Effects of disease and treatment. Animals 2021, 11, 3121. [Google Scholar] [CrossRef]
- Caporaso, J.G.; Lauber, C.L.; Walters, W.A.; Berg-Lyons, D.; Lozupone, C.A.; Turnbaugh, P.J.; Fierer, N.; Knight, R. Global patterns of 16S rRNA diversity at a depth of millions of sequences per sample. Proc. Natl. Acad. Sci. USA 2011, 108 (Suppl. 1), 4516–4522. [Google Scholar] [CrossRef]
- Choi, Y.J.; Jeon, S.-M.; Shin, S. Impact of a ketogenic diet on metabolic parameters in patients with obesity or overweight and with or without type 2 diabetes: A meta-analysis of randomized controlled trials. Nutrients 2020, 12, 2005. [Google Scholar] [CrossRef]
- Berk, B.A.; Packer, R.M.-A.; Fritz, J.; Volk, H.A. Oral palatabilitytesting of a medium-chain trygliceride oil supplement (MCT) in a cohort of healthy dogs in a non-clinical setting. Animals 2022, 12, 1639. [Google Scholar] [CrossRef]
- Mazzoli, R.; Pessione, E. The neuro-endocrinological role of microbial glutamate and GABA signaling. Front. Microbiol. 2016, 7, 1934. [Google Scholar] [CrossRef] [PubMed]
- Muñana, K.R.; Jacob, M.E.; Callahan, B.J. Evaluation of fecal Lactobacillus populations in dogs with idiopathic epilepsy: A pilot study. Anim. Microb. 2020, 2, 19. [Google Scholar] [CrossRef] [PubMed]
- Wang, X.; Yang, C.; Yang, L.; Zhang, Y. Modulating the gut microbiota ameliorates spontaneous seizures and cognitive deficits in rats with kainic acid-induced status epilepticus by inhibiting inflammation and oxidative stress. Front. Nutr. 2022, 9, 985841. [Google Scholar] [CrossRef] [PubMed]
- Liu, Z.; Zhao, J.; Yang, S.; Zhang, Y.; Song, L.; Wu, N.; Liu, Z. Network pharmacology and absolute bacterial quantification-combined approach to explore the mechanism of Tianqi pingchan granule against 6-OHDA-induced Parkinson’s disease in rats. Front. Nutr. 2022, 9, 836500. [Google Scholar] [CrossRef]
- Watanangura, A.; Meller, S.; Suchodolski, J.S.; Pilla, R.; Khattab, M.R.; Loderstedt, S.; Becker, L.F.; Bathen-Nöthen, A.; Mazzuoli-Weber, G.; Volk, H.A. The effect of phenobarbital treatment on behavioral comorbidities and on the composition and function of the fecal microbiome in dogs with idiopathic epilepsy. Front. Vet. Sci. 2022, 9, 933905. [Google Scholar] [CrossRef]




| Group | Number of Dogs | Males | Females | Age (Years) | Weight D0 (kg) | Weight D30 (kg) | Seizures D0 (per Month) | Seizures D30 (per Month) |
|---|---|---|---|---|---|---|---|---|
| (%) | Mean ± SD | Mean ± SD | Mean ± SD | Mean ± SD | Mean ± SD | |||
| NE | (n = 12) | 41.6 | 58.3 | 4.2 ± 2.9 | 14.9 ± 1.8 ab | 13.8 ± 2.2 ab | Not applicable | Not applicable |
| E | (n = 11) | 45.5 | 54.5 | 5.6 ± 1.9 | 22.2 ± 17.1 b | 22.2 ± 16.6 b | 2.2 ± 1.6 a | 1.3 ± 1.3 a |
| DSE | (n = 6) | 33.3 | 66.7 | 4.7 ± 1.8 | 24.0 ± 22.8 | 24.0 ± 22.2 | 0.8 ± 0.4 | 0.3 ± 0.5 |
| DRE | (n = 5) | 60.0 | 40.0 | 6.8 ± 1.8 | 20.0 ± 8.2 | 20.2 ± 8.3 | 3.8 ± 0.4 | 2.4 ± 0.9 |
Disclaimer/Publisher’s Note: The statements, opinions and data contained in all publications are solely those of the individual author(s) and contributor(s) and not of MDPI and/or the editor(s). MDPI and/or the editor(s) disclaim responsibility for any injury to people or property resulting from any ideas, methods, instructions or products referred to in the content. |
© 2023 by the authors. Licensee MDPI, Basel, Switzerland. This article is an open access article distributed under the terms and conditions of the Creative Commons Attribution (CC BY) license (https://creativecommons.org/licenses/by/4.0/).
Share and Cite
García-Belenguer, S.; Grasa, L.; Palacio, J.; Moral, J.; Rosado, B. Effect of a Ketogenic Medium Chain Triglyceride-Enriched Diet on the Fecal Microbiota in Canine Idiopathic Epilepsy: A Pilot Study. Vet. Sci. 2023, 10, 245. https://doi.org/10.3390/vetsci10040245
García-Belenguer S, Grasa L, Palacio J, Moral J, Rosado B. Effect of a Ketogenic Medium Chain Triglyceride-Enriched Diet on the Fecal Microbiota in Canine Idiopathic Epilepsy: A Pilot Study. Veterinary Sciences. 2023; 10(4):245. https://doi.org/10.3390/vetsci10040245
Chicago/Turabian StyleGarcía-Belenguer, Sylvia, Laura Grasa, Jorge Palacio, Jon Moral, and Belén Rosado. 2023. "Effect of a Ketogenic Medium Chain Triglyceride-Enriched Diet on the Fecal Microbiota in Canine Idiopathic Epilepsy: A Pilot Study" Veterinary Sciences 10, no. 4: 245. https://doi.org/10.3390/vetsci10040245
APA StyleGarcía-Belenguer, S., Grasa, L., Palacio, J., Moral, J., & Rosado, B. (2023). Effect of a Ketogenic Medium Chain Triglyceride-Enriched Diet on the Fecal Microbiota in Canine Idiopathic Epilepsy: A Pilot Study. Veterinary Sciences, 10(4), 245. https://doi.org/10.3390/vetsci10040245

