Normative Muscle Activation Patterns During One and Five Countermovement Jumps
Abstract
1. Introduction
2. Materials and Methods
2.1. Participants
2.2. Measures
2.3. Procedures
2.4. Statistical Analysis
3. Results
4. Discussion
5. Conclusions
Author Contributions
Funding
Institutional Review Board Statement
Informed Consent Statement
Data Availability Statement
Acknowledgments
Conflicts of Interest
Abbreviations
| VL | Vastus lateralis |
| VM | Vastus medialis |
| BF | Biceps femoral |
| CMJ | Countermovement Jump |
| EMG | Electromyography |
| H:Q | Hamstring:Quadriceps |
| RMS | Root Mean Square (RMS) |
References
- Krause, D.A.; Elliott, J.J.; Fraboni, D.F.; McWilliams, T.J.; Rebhan, R.L.; Hollman, J.H. Electromyography of the hip and thigh muscles during two variations of the lunge exercise: A cross-sectional study. Int. J. Sports Phys. Ther. 2018, 13, 137–142. Available online: https://www.ncbi.nlm.nih.gov/pmc/articles/PMC6063068/ (accessed on 23 April 2023). [CrossRef] [PubMed]
- Stone, M.H.; Sands, W.A.; Carlock, J.; Callan, S.; Dickie, D.; Daigle, K.; Cotton, J.; Smith, S.L.; Hartman, M. The importance of isometric maximum strength and peak rate-of-force development in sprint cycling. J. Strength Cond. Res. 2004, 18, 878–884. [Google Scholar] [CrossRef] [PubMed]
- Delgado, J.; Drinkwater, E.J.; Banyard, H.G.; Haff, G.G.; Nosaka, K. Comparison Between Back Squat, Romanian Deadlift, and Barbell Hip Thrust for Leg and Hip Muscle Activities During Hip Extension. J. Strength Cond. Res. 2019, 33, 2595–2601. [Google Scholar] [CrossRef] [PubMed]
- Martín-Fuentes, I.; Oliva-Lozano, J.M.; Muyor, J.M. Electromyographic activity in deadlift exercise and its variants. A systematic review. PLoS ONE 2020, 15, e0229507. [Google Scholar] [CrossRef] [PubMed]
- Muyor, J.M.; Martín-Fuentes, I.; Rodríguez-Ridao, D.; Antequera-Vique, J.A. Electromyographic activity in the gluteus medius, gluteus maximus, biceps femoris, vastus lateralis, vastus medialis and rectus femoris during the Monopodal Squat, Forward Lunge and Lateral Step-Up exercises. PLoS ONE 2020, 15, e0230841. [Google Scholar] [CrossRef] [PubMed]
- Eliassen, W.; Saeterbakken, A.H.; van den Tillaar, R. Comparison of Bilateral and Unilateral Squat Exercises on Barbell Kinematics and Muscle Activation. Int. J. Sports Phys. Ther. 2018, 13, 871–881. [Google Scholar] [CrossRef] [PubMed]
- Nimphius, S.; McBride, J.M.; Rice, P.E.; Goodman-Capps, C.L.; Capps, C.R. Comparison of Quadriceps and Hamstring Muscle Activity during an Isometric Squat between Strength-Matched Men and Women. J. Sports Sci. Med. 2019, 18, 101–108. [Google Scholar] [PubMed]
- Cavanaugh, M.T.; Aboodarda, S.J.; Behm, D.G. Intrasession and Intersession Reliability of Quadriceps’ and Hamstrings’ Electromyography During a Standardized Hurdle Jump Test with Single Leg Landing. J. Strength Cond. Res. 2017, 31, 1601–1609. [Google Scholar] [CrossRef] [PubMed]
- da Silva, J.C.L.; Tarassova, O.; Ekblom, M.M.; Andersson, E.; Rönquist, G.; Arndt, A. Quadriceps and hamstring muscle activity during cycling as measured with intramuscular electromyography. Eur. J. Appl. Physiol. 2016, 116, 1807–1817. [Google Scholar] [CrossRef] [PubMed]
- Day, A.; Taylor, N.F.; Green, R.A. The stabilizing role of the rotator cuff at the shoulder--responses to external perturbations. Clin. Biomech. 2012, 27, 551–556. [Google Scholar] [CrossRef] [PubMed]
- Fábrica, G.; González Rodríguez, P.; Fagundes Loss, J. Cambios en el control neuromuscular de seis músculos de miembro inferior durante CMJ máximos realizados con fatiga. Rev. Bras. Ciências Esporte 2013, 35, 389–407. [Google Scholar] [CrossRef]
- Reed, D.; Cathers, I.; Halaki, M.; Ginn, K.A. Does changing the plane of abduction influence shoulder muscle recruitment patterns in healthy individuals? Man. Ther. 2016, 21, 63–68. [Google Scholar] [CrossRef] [PubMed]
- Chester, R.; Smith, T.O.; Hooper, L.; Dixon, J. The impact of subacromial impingement syndrome on muscle activity patterns of the shoulder complex: A systematic review of electromyographic studies. BMC Musculoskelet. Disord. 2010, 11, 45. [Google Scholar] [CrossRef] [PubMed]
- Ortega-Cebrián, S.; Navarro, R.; Seda, S.; Salas, S.; Guerra-Balic, M. Patellar Tendon Structural Adaptations Occur during Pre-Season and First Competitive Cycle in Male Professional Handball Players. Int. J. Environ. Res. Public Health 2021, 18, 12156. [Google Scholar] [CrossRef] [PubMed]
- Hatfield, G.L.; Charlton, J.M.; Cochrane, C.K.; Hammond, C.A.; Napier, C.; Takacs, J.; Krowchuk, N.M.; Hunt, M.A. The Biomechanical Demands on the Hip During Progressive Stepping Tasks. J. Strength Cond. Res. 2017, 31, 3444. [Google Scholar] [CrossRef] [PubMed]
- Ebben, W.P.; Fauth, M.L.; Petushek, E.J.; Garceau, L.R.; Hsu, B.E.; Lutsch, B.N.; Feldmann, C.R. Gender-Based Analysis of Hamstring and Quadriceps Muscle Activation During Jump Landings and Cutting. J. Strength Cond. Res. 2010, 24, 408. [Google Scholar] [CrossRef] [PubMed]
- Krause, D.A.; Jacobs, R.S.; Pilger, K.E.; Sather, B.R.; Sibunka, S.P.; Hollman, J.H. Electromyographic Analysis of the Gluteus Medius in Five Weight-Bearing Exercises. J. Strength Cond. Res. 2009, 23, 2689. [Google Scholar] [CrossRef] [PubMed]
- Ellenberger, L.; Casutt, S.; Fröhlich, S.; Frey, W.O.; Snedeker, J.G.; Spörri, J. Thigh muscle activation patterns and dynamic knee valgus at peak ground reaction force during drop jump landings: Reliability, youth competitive alpine skiing-specific reference values and relation to knee overuse complaints. J. Sci. Med. Sport 2021, 24, 1230–1234. [Google Scholar] [CrossRef] [PubMed]
- Letafatkar, A.; Rajabi, R.; Minoonejad, H.; Rabiei, P. Efficacy of perturbation-enhanced neuromuscular training on hamstring and quadriceps onset time, activation and knee flexion during a tuck-jump task. Int. J. Sports Phys. Ther. 2019, 14, 214–227. [Google Scholar] [CrossRef] [PubMed]
- Lindenberg, K.M.; Lefever, C.R.; Andreyo, K.; Vaughan, R. The influence of heel height on muscle electromyography of the lower extremity durning landing tasks in recreationally active females: A within subjects randomized trial. Int. J. Sports Phys. Ther. 2019, 14, 866–876. [Google Scholar] [CrossRef] [PubMed]
- Alpert, S.W.; Pink, M.M.; Jobe, F.W.; McMahon, P.J.; Mathiyakom, W. Electromyographic analysis of deltoid and rotator cuff function under varying loads and speeds. J. Shoulder Elb. Surg. 2000, 9, 47–58. [Google Scholar] [CrossRef] [PubMed]
- Boettcher, C.E.; Cathers, I.; Ginn, K.A. The role of shoulder muscles is task specific. J. Sci. Med. Sport 2010, 13, 651–656. [Google Scholar] [CrossRef] [PubMed]
- De Mey, K.; Danneels, L.; Cagnie, B.; Borms, D.; T’Jonck, Z.; Van Damme, E.; Cools, A.M. Shoulder muscle activation levels during four closed kinetic chain exercises with and without Redcord slings. J. Strength Cond. Res. 2014, 28, 1626–1635. [Google Scholar] [CrossRef] [PubMed]
- Souza, R.B.; Powers, C.M. Differences in hip kinematics, muscle strength, and muscle activation between subjects with and without patellofemoral pain. J. Orthop. Sports Phys. Ther. 2009, 39, 12–19. [Google Scholar] [CrossRef] [PubMed]
- Willson, J.D.; Kernozek, T.W.; Arndt, R.L.; Reznichek, D.A.; Scott Straker, J. Gluteal muscle activation during running in females with and without patellofemoral pain syndrome. Clin. Biomech. 2011, 26, 735–740. [Google Scholar] [CrossRef] [PubMed]
- Baker, R.L.; Souza, R.B.; Rauh, M.J.; Fredericson, M.; Rosenthal, M.D. Differences in Knee and Hip Adduction and Hip Muscle Activation in Runners with and Without Iliotibial Band Syndrome. PM R 2018, 10, 1032–1039. [Google Scholar] [CrossRef] [PubMed]
- Silva, E.R.; Maffulli, N.; Migliorini, F.; Santos, G.M.; de Menezes, F.S.; Okubo, R. Function, strength, and muscle activation of the shoulder complex in Crossfit practitioners with and without pain: A cross-sectional observational study. J. Orthop. Surg. Res. 2022, 17, 24. [Google Scholar] [CrossRef] [PubMed]
- de Sire, A.; Marotta, N.; Demeco, A.; Moggio, L.; Paola, P.; Marotta, M.; Iona, T.; Invernizzi, M.; Leigheb, M.; Ammendolia, A. Electromyographic Assessment of Anterior Cruciate Ligament Injury Risk in Male Tennis Players: Which Role for Visual Input? A Proof-of-Concept Study. Diagnostics 2021, 11, 997. [Google Scholar] [CrossRef] [PubMed]
- Cui, H.; Cao, Z.; Wang, S.; Zhang, H.; Chen, Z.; Wu, X.; Zhao, Y.; Qie, S.; Li, W. Surface electromyography characteristics of patients with anterior cruciate ligament injury in different rehabilitation phases. Front. Physiol. 2023, 14, 1116452. [Google Scholar] [CrossRef] [PubMed]
- Sabido Solana, R.; Gómez Navarrete, J.; Barbado Murillo, D.; Gómez-Valadés Horrillo, J.M. Relaciones Entre Pruebas de Velocidad, Tests de Salto y Dinamometría Isométrica en Velocistas. 2010. Available online: https://revista-apunts.com/wp-content/uploads/2020/11/083-086.pdf (accessed on 28 December 2022).
- Soslu, R.; Özer, Ö.; Uysal, A.; Pamuk, Ö. Deaf and non-deaf basketball and volleyball players’ multi-faceted difference on repeated counter movement jump performances: Height, force and acceleration. Front. Sports Act. Living 2022, 4, 941629. [Google Scholar] [CrossRef] [PubMed]
- Ravier, G.; Grappe, F.; Rouillon, J.D. Application of force-velocity cycle ergometer test and vertical jump tests in the functional assessment of karate competitor. J. Sports Med. Phys. Fit. 2004, 44, 349–355. [Google Scholar]
- Lutz, F.D.; Cleary, C.J.; Moffatt, H.M.; Sullivan, V.E.; LaRoche, D.P.; Cook, S.B. Comparison of the H:Q Ratio Between the Dominant and Nondominant Legs of Soccer Players: A Meta-Analysis. Sports Health 2022, 15, 486–496. [Google Scholar] [CrossRef] [PubMed]
- Sangnier, S.; Tourny-Chollet, C. Comparison of the decrease in strength between hamstrings and quadriceps during isokinetic fatigue testing in semiprofessional soccer players. Int. J. Sports Med. 2007, 28, 952–957. [Google Scholar] [CrossRef] [PubMed]
- Congo Pabón, B.M.; Masalema Guaman, Y.E.; Bravo Zambonino, J.M. Evaluación de la Lateralidad Mediante el Test de Harris. Prometeo Conoc. Científico 2024, 4, e91. [Google Scholar] [CrossRef]
- Anonymous. Welcome at Seniam.org. Available online: http://www.seniam.org/pmg.htm (accessed on 29 October 2024).
- Navarro, E.; Chorro, D.; Torres, G.; Navandar, A.; Rueda, J.; Veiga, S. Electromyographic activity of quadriceps and hamstrings of a professional football team during Bulgarian Squat and Lunge exercises. J. Hum. Sport Exerc. 2020, 16, 581–594. [Google Scholar] [CrossRef]
- Goodwin, P.C.; Koorts, K.; Mack, R.; Mai, S.; Morrissey, M.C.; Hooper, D.M. Reliability of leg muscle electromyography in vertical jumping. Eur. J. Appl. Physiol. 1999, 79, 374–378. [Google Scholar] [CrossRef] [PubMed]
- Rubio-Arias, J.Á.; Ramos-Campo, D.J.; Peña Amaro, J.; Esteban, P.; Mendizábal, S.; Jiménez, J.F. Gender variability in electromyographic activity, in vivo behaviour of the human gastrocnemius and mechanical capacity during the take-off phase of a countermovement jump. Clin. Physiol. Funct. Imaging 2017, 37, 741–749. [Google Scholar] [CrossRef] [PubMed]
- Padulo, J.; Tiloca, A.; Powell, D.; Granatelli, G.; Bianco, A.; Paoli, A. EMG amplitude of the biceps femoris during jumping compared to landing movements. SpringerPlus 2013, 2, 520. [Google Scholar] [CrossRef] [PubMed]
- Dauty, M.; Menu, P.; Fouasson-Chailloux, A.; Ferréol, S.; Dubois, C. Prediction of hamstring injury in professional soccer players by isokinetic measurements. Muscles Ligaments Tendons J. 2016, 6, 116–123. [Google Scholar] [CrossRef] [PubMed]
- Cerrah, A.; Onarici Gungor, E.; Soylu, A.; Ertan, H. Turkish Journal of Sport and Exercise Muscular activation differences between professional and amateur soccer players during countermovement jump. Turk. J. Sport Exerc. 2014, 16, 51–58. [Google Scholar] [CrossRef]
- Cone, S.; Lee, S. Lower Limb Force Asymmetries During Landing and Jumping Exercises: A Pilot Study. Int. J. Exerc. Sci. 2021, 14, 544–551. [Google Scholar] [CrossRef] [PubMed]
- Baratta, R.; Solomonow, M.; Zhou, B.H.; Letson, D.; Chuinard, R.; D’Ambrosia, R. Muscular coactivation. The role of the antagonist musculature in maintaining knee stability. Am. J. Sports Med. 1988, 16, 113–122. [Google Scholar] [CrossRef] [PubMed]
- Behm, D.G. Force Maintenance with Submaximal Fatiguing Contractions. Can. J. Appl. Physiol. 2004, 29, 274–290. [Google Scholar] [CrossRef] [PubMed]
- Bermúdez, G.; Fábrica, C. Determinant factors of efficiency when the Counter Movement Jump is performed in acute fatigue. Rev. Bras. Cineantropometria Desempenho Hum. 2014, 16, 316–324. [Google Scholar] [CrossRef][Green Version]
- Earl, J.E.; Monteiro, S.K.; Snyder, K.R. Differences in Lower Extremity Kinematics Between a Bilateral Drop-Vertical Jump and A Single-Leg Step-down. J. Orthop. Sports Phys. Ther. 2007, 37, 245–252. [Google Scholar] [CrossRef] [PubMed]
- Russell, K.A.; Palmieri, R.M.; Zinder, S.M.; Ingersoll, C.D. Sex differences in valgus knee angle during a single-leg drop jump. J. Athl. Train. 2006, 41, 166–171. [Google Scholar] [PubMed]
- Jankaew, A.; Wang, P.; Jan, Y.; Hwang, I.; Lin, C. Hamstring activation deficits during Double-Leg Jump-Landing tasks in athletes with hamstring strain injuries using EMG Time-Frequency analysis. J. Biomech. 2025, 179, 112475. [Google Scholar] [CrossRef] [PubMed]
- Claudino, J.G.; Cronin, J.; Mezêncio, B.; McMaster, D.T.; McGuigan, M.; Tricoli, V.; Amadio, A.C.; Serrão, J.C. The countermovement jump to monitor neuromuscular status: A meta-analysis. J. Sci. Med. Sport 2017, 20, 397–402. [Google Scholar] [CrossRef] [PubMed]
- Wu, P.P.; Sterkenburg, N.; Everett, K.; Chapman, D.W.; White, N.; Mengersen, K. Predicting fatigue using countermovement jump force-time signatures: PCA can distinguish neuromuscular versus metabolic fatigue. PLoS ONE 2019, 14, e0219295. [Google Scholar] [CrossRef] [PubMed]
- Armada-Cortés, E.; Benítez-Muñoz, J.A.; San Juan, A.F.; Sánchez-Sánchez, J. Evaluation of Neuromuscular Fatigue in a Repeat Sprint Ability, Countermovement Jump and Hamstring Test in Elite Female Soccer Players. Int. J. Environ. Res. Public Health 2022, 19, 15069. [Google Scholar] [CrossRef] [PubMed]



| Take-Off | Landing | ||||||||
|---|---|---|---|---|---|---|---|---|---|
| M ± SD | 95% IC | W | p | M ± SD | 95% IC | W | p | ||
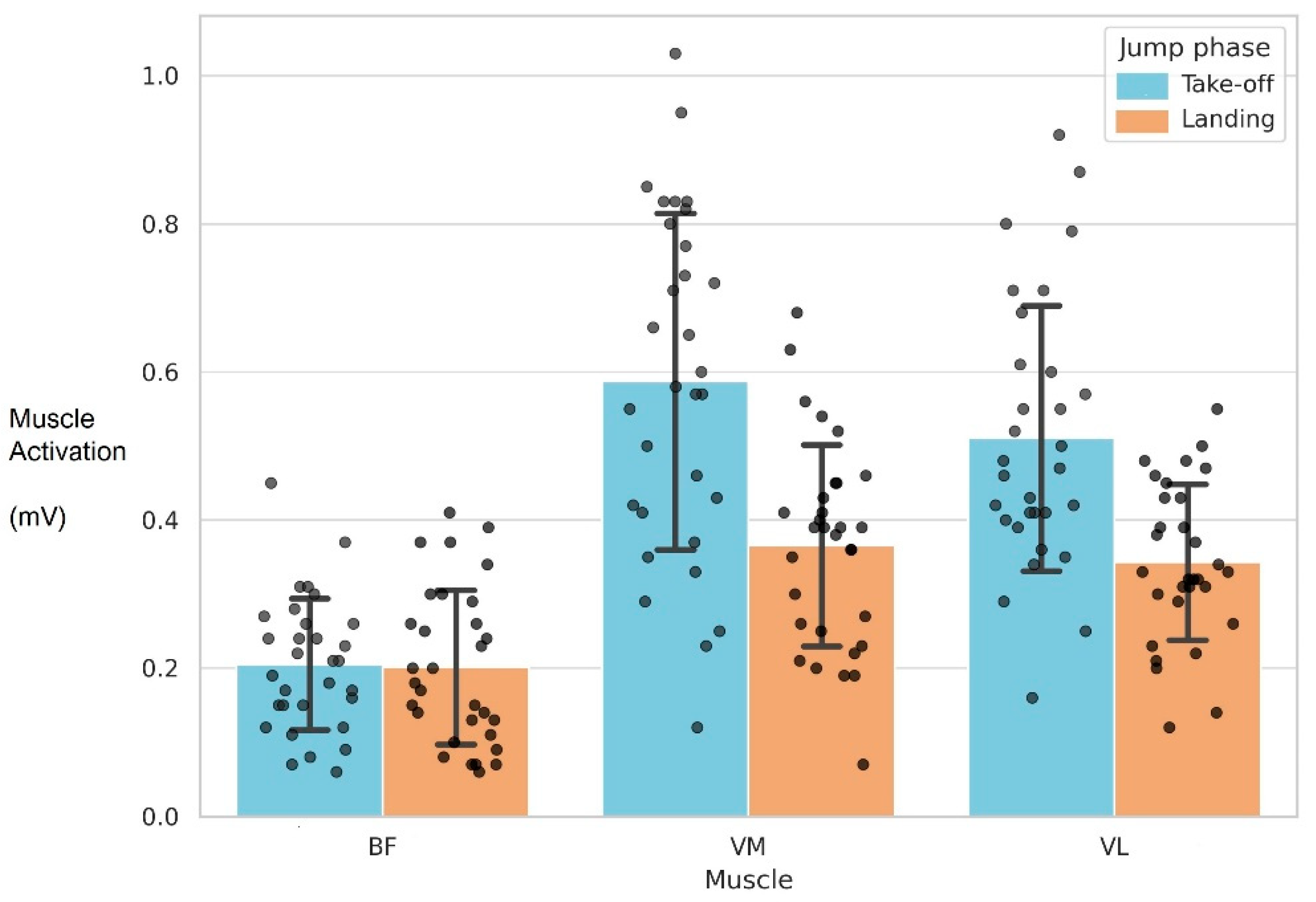
| BF | CMJ | 0.20 ± 0.09 | 0.172–0.239 | 0.970 | 0.532 | 0.20 ± 0.10 | 0.162–0.24 | 0.935 | 0.058 |
| 5 CMJ | 0.21 ± 0.10 | 0.179–0.254 | 0.954 | 0.115 | 0.18 ± 0.11 | 0.141–0.223 | 0.892 | 0.005 | |
| VM | CMJ | 0.58 ± 0.23 | 0.502–0.672 | 0.978 | 0.752 | 0.36 ± 0.14 | 0.315–0.417 | 0.974 | 0.645 |
| 5 CMJ | 0.60 ± 0.23 | 0.52–0.69 | 0.952 | 0.181 | 0.38 ± 0.13 | 0.332–0.431 | 0.971 | 0.542 | |
| VL | CMJ | 0.51 ± 0.18 | 0.443–0.576 | 0.961 | 0.31 | 0.34 ± 0.10 | 0.303–0.381 | 0.977 | 0.727 |
| 5 CMJ | 0.53 ± 0.19 | 0.461–0.606 | 0.938 | 0.73 | 0.37 ± 0.12 | 0.327–0.419 | 0.937 | 0.069 | |
| R BF/VM | CMJ | 0.43 ± 0.39 | 0.292–0.581 | 0.634 | <0.001 | 0.74 ± 0.72 | 0.473–1.00 | 0.752 | 0.001 |
| 5 CMJ | 0.41 ± 0.26 | 0.336–0.597 | 0.856 | <0.001 | 0.58 ± 0.48 | 0.410–0.767 | 0.829 | 0.001 | |
| R BF/VL | CMJ | 0.45 ± 0.30 | 0.342–0.566 | 0.709 | <0.001 | 0.65 ± 0.46 | 0.486–0.822 | 0.801 | 0.001 |
| 5 CMJ | 0.46 ± 0.35 | 0.336–0.597 | 0.668 | <0.001 | 0.54 ± 0.47 | 0.369–0.720 | 0.665 | 0.001 | |
| Take Off | Landing Jump | 95% Confidence Interval of the Difference | ||||||
|---|---|---|---|---|---|---|---|---|
| M ± SD | M ± SD | Lower | Upper | T | P | d | ||
| BF | CMJ | 0.20 ± 0.09 | 0.20 ± 0.10 | −0.035 | 0.043 | 0.228 | 0.821 | 0.106 |
| 5 CMJ | 0.21 ± 0.10 | 0.18 ± 0.11 | −0.003 | 0.073 | 1.930 | 0.054 | 0.28 | |
| VM | CMJ | 0.58 ± 0.23 | 0.36 ± 0.14 | 0.169 | 0.273 | 8.667 | 0.000 | 0.142 |
| 5 CMJ | 0.60 ± 0.23 | 0.38 ± 0.13 | 0.170 | 0.277 | 8.501 | 0.000 | 0.146 | |
| VL | CMJ | 0.51 ± 0.18 | 0.34 ± 0.10 | 0.219 | 0.219 | 6.620 | 0.000 | 0.14 |
| 5 CMJ | 0.53 ± 0.19 | 0.37 ± 0.12 | 0.108 | 0.213 | 6.248 | 0.000 | 0.143 | |
| Mdn (Range) | Mdn (Range) | Z | P | r | ||||
| R BF/VM | CMJ | 0.33 (2.13) | 0.39 (3.30) | 0.383 | 0.816 | 3.63 | 0.001 | 0.651 |
| 5 CMJ | 0.33 (1.30) | 0.35 (1.65) | 0.146 | 0.709 | 2.646 | 0.004 | 0.475 | |
| R BF/VL | CMJ | 0.40 (1.74) | 0.53 (2.19) | 0.146 | 0.709 | 2.65 | 0.008 | 0.475 |
| 5 CMJ | 0.41 (1.97) | 0.44 (2.59) | −0.193 | 0.496 | 0.958 | 0.445 | 0.172 | |
| CMJ | 5 CMJ | 95% Confidence Interval of the Difference | ||||||
| M ± SD | M ± SD | t | p | d | Lower | Upper | ||
| BF | Take off | 0.20 ± 0.09 | 0.21 ± 0.10 | −0.457 | 0.707 | 0.096 | −0.060 | 0.038 |
| Landing | 0.20 ± 0.10 | 0.18 ± 0.11 | 0.708 | 0.954 | 0.11 | −0.035 | 0.075 | |
| VM | Take off | 0.58 ± 0.23 | 0.60 ± 0.23 | −0.312 | 0.817 | 0.23 | −0.136 | 0.099 |
| Landing | 0.36 ± 0.14 | 0.38 ± 0.13 | −0.454 | 0.961 | 0.13 | −0.085 | 0.053 | |
| VL | Take off | 0.51 ± 0.18 | 0.53 ± 0.19 | −0.499 | 0.742 | 0.19 | −0.121 | 0.073 |
| Landing | 0.34 ± 0.10 | 0.37 ± 0.12 | −1.041 | 0.416 | 0.34 | −0.090 | 0.028 | |
| Mdn (Range) | Mdn (Range) | U | p | r | Lower | Upper | ||
| R BF/VM | Take off | 0.43 ± 0.39 | 0.41 ± 0.26 | 495.00 | 0.838 | 0.026 | −0.214 | 0.274 |
| Landing | 0.74 ± 0.72 | 0.58 ± 0.48 | 415.00 | 0.356 | −0.117 | −0.360 | 0.135 | |
| R BF/VL | Take off | 0.45 ± 0.30 | 0.46 ± 0.35 | 473.00 | 0.916 | −0.11 | −0.262 | 0.237 |
| Landing | 0.65 ± 0.46 | 0.54 ± 0.47 | 382.50 | 0.168 | −0.175 | −0.407 | 0.078 | |
| CMJ | ||||||
|---|---|---|---|---|---|---|
| Male | Female | |||||
| M ± SD | M ± SD | t | P | D | ||
| BF | Take off | 0.243 ± 0.097 | 0.186 ± 0.081 | 1.743 | 0.092 | 0.659 |
| Landing | 0.155 ± 0.089 | 0.227 ± 0.107 | −1.870 | 0.072 | −0.709 | |
| VM | Take off | 0.758 ± 1.690 | 0.493 ± 0.208 | 3.603 | 0.001 | 0.272 |
| Landing | 0.418 ± 0.091 | 0.337 ± 0.154 | 1.838 | 0.077 | 0.591 | |
| VL | Take off | 0.552 ± 0.221 | 0.486 ± 0.157 | 0.974 | 0.338 | 0.367 |
| Landing | 0.358 ± 0.132 | 0.334 ± 0.091 | 0.614 | 0.544 | 0.227 | |
| 5 CMJ (last jump) | ||||||
| Male | Female | Jump | ||||
| M ± SD | M ± SD | t | P | D | ||
| BF | Take off | 0.257 ± 0.085 | 0.195 ± 0.105 | 1.685 | 0.103 | 0.626 |
| Landing | 0.153 ± 0.105 | 0.198 ± 0.114 | −1.089 | 0.285 | 0.405 | |
| VM | Take off | 0.752 ± 0.183 | 0.524 ± 0.217 | 2.950 | 0.006 | 1.103 |
| Landing | 0.417 ± 0.777 | 0.362 ± 0.155 | 1.324 | 0.196 | 0.120 | |
| VL | Take off | 0.593 ± 0.226 | 0.501 ± 0.179 | 1.242 | 0.224 | 0.471 |
| Landing | 0.381 ± 0.137 | 0.369 ± 0.123 | 0.258 | 0.798 | 0.094 | |
| 1º Jump | 2º Jump | 3º Jump | 4º Jump | 5º Jump | Multivariant Test | Multivariant Test | |||||||||||
|---|---|---|---|---|---|---|---|---|---|---|---|---|---|---|---|---|---|
| Male | Female | Male | Female | Male | Female | Male | Female | Male | Female | Jump | Sex | ||||||
| M ± SD | M ± SD | M ± SD | M ± SD | M ± SD | M ± SD | M ± SD | M ± SD | M ± SD | M ± SD | F | p | ŋ2 | F | p | ŋ2 | ||
| BF | Take off | 0.221 ± 0.01 | 0.670 ± 0.10 | 0.318 ± 0.127 | 0.808 ± 0.858 | 0.304 ± 0.126 | 1.049 ± 1.241 | 0.311 ± 0.111 | 1.010 ± 1.261 | 0.300 ± 0.121 | 0.627 ± 0.749 | 0.890 | 0.472 | 0.031 | 0.329 | 0.858 | 0.012 |
| Landing | 0.148 ± 0.080 | 0.245 ± 0.160 | 0.169 ± 0.116 | 0.219 ± 0.122 | 0.150 ± 0.108 | 0.258 ± 0.157 | 0.177 ± 0.082 | 0.271 ± 0.171 | 0.160 ± 0.119 | 0.254 ± 0.168 | 0.999 | 0.411 | 0.034 | 0.690 | 0.600 | 0.034 | |
| VM | Take off | 0.652 ± 0.169 | 0.447 ± 0.258 | 0.695 ± 0.184 | 0.453 ± 0.231 | 0.627 ± 0.313 | 0.481 ± 0.254 | 0.695 ± 0.225 | 0.466 ± 0.246 | 0.701 ± 0.230 | 0.496 ± 0.270 | 1.577 | 0.185 | 0.053 | 0.333 | 0.855 | 0.012 |
| Landing | 0.437 ± 0.162 | 0.322 ± 0.149 | 0.465 ± 0.180 | 0.334 ± 0.150 | 0.469 ± 0.168 | 0.318 ± 0.140 | 0.456 ± 0.189 | 0.326 ± 0.140 | 0.371 ± 0.126 | 0.342 ± 0.151 | 1.757 | 0.143 | 0.059 | 3.464 | 0.010 | 0.110 | |
| VL | Take off | 0.589 ± 0.185 | 0.436 ± 0.211 | 0.582 ± 0.255 | 0.457 ± 0.234 | 0.638 ± 0.235 | 0.482 ± 0.222 | 0.582 ± 0.220 | 0.466 ± 0.234 | 0.626 ± 0.215 | 0.463 ± 0.233 | 1.581 | 0.184 | 0.054 | 0.445 | 0.776 | 0.016 |
| Landing | 0.406 ± 0.191 | 0.316 ± 0.151 | 0.508 ± 0.181 | 0.364 ± 0.182 | 0.395 ± 0.137 | 0.378 ± 0.199 | 0.444 ± 0.186 | 0.361 ± 0.166 | 0.394 ± 0.125 | 0.373 ± 0.176 | 3.521 | 0.010 | 0.112 | 3.250 | 0.015 | 0.104 | |
Disclaimer/Publisher’s Note: The statements, opinions and data contained in all publications are solely those of the individual author(s) and contributor(s) and not of MDPI and/or the editor(s). MDPI and/or the editor(s) disclaim responsibility for any injury to people or property resulting from any ideas, methods, instructions or products referred to in the content. |
© 2025 by the authors. Licensee MDPI, Basel, Switzerland. This article is an open access article distributed under the terms and conditions of the Creative Commons Attribution (CC BY) license (https://creativecommons.org/licenses/by/4.0/).
Share and Cite
Gallego-Pérez, A.; Benito-Martínez, E.; Alonso-Cortés Fradejas, B. Normative Muscle Activation Patterns During One and Five Countermovement Jumps. Bioengineering 2025, 12, 767. https://doi.org/10.3390/bioengineering12070767
Gallego-Pérez A, Benito-Martínez E, Alonso-Cortés Fradejas B. Normative Muscle Activation Patterns During One and Five Countermovement Jumps. Bioengineering. 2025; 12(7):767. https://doi.org/10.3390/bioengineering12070767
Chicago/Turabian StyleGallego-Pérez, Anabel, Elisa Benito-Martínez, and Beatriz Alonso-Cortés Fradejas. 2025. "Normative Muscle Activation Patterns During One and Five Countermovement Jumps" Bioengineering 12, no. 7: 767. https://doi.org/10.3390/bioengineering12070767
APA StyleGallego-Pérez, A., Benito-Martínez, E., & Alonso-Cortés Fradejas, B. (2025). Normative Muscle Activation Patterns During One and Five Countermovement Jumps. Bioengineering, 12(7), 767. https://doi.org/10.3390/bioengineering12070767

