Simplatab: An Automated Machine Learning Framework for Radiomics-Based Bi-Parametric MRI Detection of Clinically Significant Prostate Cancer
Abstract
1. Introduction
Related Work
- The provision of an open-source automated ML Framework with XAI analysis included, that does not require any code capabilities from the end-user. It encompasses functionalities for data bias detection, feature selection, ML algorithm selection, and hyperparameter optimization, either exhaustive or randomized. An easily interpretable, complete report with the trained models as pickle files and their performance is given as Excel files and images, including ROC-AUC curves, precision–recall curves, and results for both internal K-fold and external validation using six performance metrics (Figure S1). Furthermore, Shapley analysis results for feature importance are provided along with a bias assessment figures to facilitate the detection of bias and notify the user of it. Additionally, a model vulnerabilities detection model is included to inform the user regarding models’ deficiencies related to performance bias, robustness, calibration (overconfident and underconfident predictions), data leakage, stochasticity, and confounded features presence.
- The evaluation of Simplatab in the context of radiomics-based analysis of clinically significant prostate cancer (csPCa) using bi-parametric MR images of 4816 patients from twelve clinical centers in nine European countries.
- The assessment of radiomic features and the identification of the most valuable ones for predicting csPCA from bi-parametric MR images.
- The assessment of Simplatab’s versality by experimenting on two additional use cases, presented in Appendix A (Bank Marketing Campaign Strategies) and in Appendix B (Airline Customer Satisfaction).
2. Materials and Methods
2.1. Simplatab Description
2.2. Data Bias Detection Module
2.3. Model Vulnerabilities Detection Module
2.4. Dataset Description and Preprocessing
2.5. Machine Learning Algorithms
2.6. Evaluation Scheme
2.7. Open Access Repository, Container Application, and Community Support
3. Results
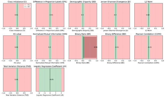
3.1. Bias Detection Assessment
3.2. Internal Stratified 10-Fold Cross-Validation
3.3. External Validation
3.4. XAI Analysis
3.5. Interpretation of Important Features
3.6. Model Vulnerability Detection Results
4. Discussion
5. Conclusions
Supplementary Materials
Author Contributions
Funding
Institutional Review Board Statement
Informed Consent Statement
Data Availability Statement
Conflicts of Interest
Abbreviations
| PCa | Prostate Cancer |
| AI | Artificial Intelligence |
| ROI | Region of Interest |
| ML | Machine Learning |
| AutoML | Automated Machine Learning |
| TPOT | Tree-based Optimization Tool |
| XAI | Explainable Artificial Intelligence |
| ROC-AUC | Receiver Operating Characteristic—Area Under Curve |
| ATM | Auto Tune Models |
| NAS | Neural Architecture Search |
| PZ | Peripheral Zone |
| csPCa | Clinically Significant Prostate Cancer |
| DBD | Data Bias Detection |
| DB | Davies–Bouldin |
| CI | Class Imbalance |
| DPL | Difference in Proportions of Labels |
| DD | Demographic Disparity |
| JS | Jensen–Shannon |
| TVD | Total Variation Distance |
| KS | Kolmogorov–Smirnov |
| NMI | Normalized Mutual Information |
| CORR | Pearson Correlation |
| LR | Logistic Regression |
| DT | Decision Tree |
| MLP | Multi-Layer Perceptron |
| SULOV | Searching for Uncorrelated List of Variables |
| RFE | Recursive Feature Elimination |
| RF | Random Forest |
| SGD | Stochastic Gradient Descent |
| SVM | Support Vector Machines |
| RBF | Radial Basis Function |
| XGBoost | Extreme Gradient Boosting |
Appendix A
Appendix A.1. Use Case 1: Bank Marketing Campaign Strategies
Appendix A.1.1. Dataset
| Features | Interpretation |
|---|---|
| Age | Age of the client (groups) |
| Job | Type of job, e.g., ‘admin.’, ‘blue-collar’, ‘entrepreneur’, etc. |
| Marital | Marital status, e.g., ‘divorced’, ‘married’, ‘single’, etc. |
| Education | Education level, e.g., ‘basic.4y’, ‘high.school’, ‘university.degree’, etc. |
| Default | Has credit in default? (yes/no) |
| Balance | Average yearly balance in euros |
| Housing | Has housing loan? (yes/no) |
| Loan | Has personal loan? (yes/no) |
| Contact | Contact communication type, e.g., ‘cellular’, ‘telephone’ |
| Day of week | Last contact day of the week |
| Month | Last contact month of the year, e.g., ‘jan’, ‘feb’, ‘mar’, etc. |
| Duration | Last contact duration in seconds |
| Campaign | Number of contacts performed during this campaign and for this client |
| pdays | Number of days that passed by after the client was last contacted from a previous campaign |
| Previous | Number of contacts performed before this campaign for this client |
| poutcome | Outcome of the previous marketing campaign, e.g., ‘failure’, ‘nonexistent’, ‘success’ |
| y | Has the client subscribed to a term deposit? (yes/no) |
| Month | Last contact month of the year, e.g., ‘jan’, ‘feb’, ‘mar’, etc. |
| Duration | Last contact duration in seconds |
| Campaign | Number of contacts performed during this campaign and for this client |
Appendix A.1.2. Results

| Validation | Model | Sensitivity | Specificity | AUC | F-Score | Accuracy | Balanced Accuracy |
|---|---|---|---|---|---|---|---|
| Internal five-fold stratified CV | Decision Trees | 0.45 ± 0.00 | 0.92 ± 0.00 | 0.69 ± 0.00 | 0.45 ± 0.00 | 0.87 ± 0.00 | 0.69 ± 0.00 |
| Logistic Regression | 0.81 ± 0.00 | 0.84 ± 0.00 | 0.90 ± 0.00 | 0.54 ± 0.00 | 0.84 ± 0.00 | 0.82 ± 0.00 | |
| Multi-Layer Neural Network | 0.86 ± 0.02 | 0.81 ± 0.01 | 0.90 ± 0.00 | 0.52 ± 0.01 | 0.81 ± 0.01 | 0.83 ± 0.00 | |
| Random Forest | 0.86 ± 0.00 | 0.83 ± 0.01 | 0.91 ± 0.00 | 0.56 ± 0.01 | 0.84 ± 0.01 | 0.85 ± 0.00 | |
| Stochastic Gradient Descent | 0.77 ± 0.04 | 0.83 ± 0.00 | 0.87 ± 0.01 | 0.51 ± 0.01 | 0.82 ± 0.00 | 0.80 ± 0.01 | |
| Support Vector Machines | 0.78 ± 0.10 | 0.79 ± 0.12 | 0.88 ± 0.00 | 0.50 ± 0.09 | 0.79 ± 0.09 | 0.79 ± 0.00 | |
| XGBoost | 0.88 ± 0.00 | 0.80 ± 0.00 | 0.91 ± 0.00 | 0.52 ± 0.00 | 0.81 ± 0.00 | 0.84 ± 0.00 | |
| Hold-out set | Decision Trees | 0.47 | 0.92 | 0.69 | 0.46 | 0.87 | 0.69 |
| Logistic Regression | 0.80 | 0.84 | 0.90 | 0.54 | 0.84 | 0.82 | |
| Multi-Layer Neural Network | 0.91 | 0.78 | 0.91 | 0.51 | 0.79 | 0.84 | |
| Random Forest | 0.84 | 0.84 | 0.91 | 0.55 | 0.84 | 0.84 | |
| Stochastic Gradient Descent | 0.73 | 0.86 | 0.87 | 0.53 | 0.84 | 0.79 | |
| Support Vector Machines | 0.71 | 0.91 | 0.88 | 0.60 | 0.88 | 0.81 | |
| XGBoost | 0.90 | 0.79 | 0.92 | 0.51 | 0.80 | 0.84 |

Appendix B
Appendix B.1. Use Case 2: Airline Customer Satisfaction
Appendix B.1.1. Dataset
| Features | Interpretation |
|---|---|
| Customer ID | Unique identifier for each customer |
| Gender | Gender of the customer |
| Customer type | Whether the customer is a first-time flyer or a returning customer |
| Age | Age of the customer |
| Type of travel | Purpose of the travel, such as business or personal |
| Class | Travel class (economy, business, etc.) |
| Flight distance | Distance traveled by the customer on the flight |
| In-flight Wi-Fi service | Customer rating of the in-flight Wi-Fi service |
| Departure/arrival time convenience | Customer feedback on the convenience of departure and arrival times |
| Ease of online booking | Customer rating of the ease of booking their flight online |
| Gate location | Customer feedback on the gate location |
| On-board service | Feedback on the quality of on-board services |
| Leg room service | Customer rating of the legroom space |
| Check-in service | Feedback on the check-in process |
| Cleanliness | Customer rating of the cleanliness of the aircraft |
| In-flight Service | Feedback on the overall in-flight service |
| In-flight entertainment | Customer rating of in-flight entertainment options |
| Food and drink | Customer feedback on the food and beverage service |
| Seat comfort | Rating of the comfort of the seats |
| Baggage handling | Feedback on the baggage handling process |
| Departure delay in minutes | Duration of departure delay in minutes |
| Arrival delay in minutes | Duration of arrival delay in minutes |
| Satisfaction (target variable) | Whether the customer was satisfied or not |
| Baggage handling | Feedback on the baggage handling process |
Appendix B.1.2. Results

| Validation | Model | Sensitivity | Specificity | AUC | F-Score | Accuracy | Balanced Accuracy |
|---|---|---|---|---|---|---|---|
| Internal five-fold stratified CV | Decision Trees | 0.93 ± 0.00 | 0.93 ± 0.00 | 0.96 ± 0.00 | 0.94 ± 0.00 | 0.93 ± 0.00 | 0.93 ± 0.00 |
| Logistic Regression | 0.90 ± 0.00 | 0.81 ± 0.00 | 0.91 ± 0.00 | 0.88 ± 0.00 | 0.86 ± 0.00 | 0.85 ± 0.00 | |
| Multi-Layer Neural Network | 0.95 ± 0.00 | 0.92 ± 0.00 | 0.98 ± 0.00 | 0.95 ± 0.00 | 0.94 ± 0.00 | 0.94 ± 0.00 | |
| Random Forest | 0.94 ± 0.00 | 0.93 ± 0.00 | 0.98 ± 0.00 | 0.94 ± 0.00 | 0.94 ± 0.00 | 0.93 ± 0.00 | |
| Stochastic Gradient Descent | 0.88 ± 0.01 | 0.82 ± 0.01 | 0.92 ± 0.00 | 0.87 ± 0.00 | 0.86 ± 0.00 | 0.85 ± 0.00 | |
| Support Vector Machines | 0.94 ± 0.00 | 0.92 ± 0.00 | 0.98 ± 0.00 | 0.94 ± 0.00 | 0.93 ± 0.00 | 0.93 ± 0.00 | |
| XGBoost | 0.96 ± 0.00 | 0.92 ± 0.00 | 0.98 ± 0.00 | 0.95 ± 0.00 | 0.94 ± 0.00 | 0.94 ± 0.00 | |
| Hold-out set | Decision Trees | 0.94 | 0.93 | 0.97 | 0.94 | 0.94 | 0.94 |
| Logistic Regression | 0.89 | 0.81 | 0.91 | 0.87 | 0.85 | 0.85 | |
| Multi-Layer Neural Network | 0.95 | 0.93 | 0.98 | 0.95 | 0.94 | 0.94 | |
| Random Forest | 0.94 | 0.93 | 0.98 | 0.94 | 0.94 | 0.94 | |
| Stochastic Gradient Descent | 0.87 | 0.83 | 0.91 | 0.87 | 0.85 | 0.85 | |
| Support Vector Machines | 0.94 | 0.93 | 0.98 | 0.94 | 0.94 | 0.93 | |
| XGBoost | 0.96 | 0.93 | 0.98 | 0.95 | 0.94 | 0.94 |

Appendix C
Appendix C.1. Clinical Variables and Vendor-Specific Analysis
Appendix C.1.1. Results Using Retrospective and Prospective Data with Clinical Variables
| Model | Sensitivity | Specificity | AUC | F-Score | Accuracy | Balanced Accuracy |
|---|---|---|---|---|---|---|
| Decision Trees | 0.63 ± 0.15 | 0.64 ± 0.15 | 0.69 ± 0.02 | 0.70 ± 0.12 | 0.63 ± 0.08 | 0.63 ± 0.02 |
| Logistic Regression | 0.44 ± 0.11 | 0.78 ± 0.12 | 0.64 ± 0.03 | 0.58 ± 0.07 | 0.53 ± 0.05 | 0.61 ± 0.02 |
| Multi-Layer Neural Network | 0.58 ± 0.13 | 0.66 ± 0.13 | 0.65 ± 0.01 | 0.67 ± 0.09 | 0.60 ± 0.06 | 0.62 ± 0.01 |
| Random Forest | 0.69 ± 0.11 | 0.58 ± 0.09 | 0.70 ± 0.03 | 0.75 ± 0.07 | 0.66 ± 0.06 | 0.64 ± 0.02 |
| Stochastic Gradient Descent | 0.51 ± 0.22 | 0.65 ± 0.20 | 0.63 ± 0.03 | 0.60 ± 0.16 | 0.55 ± 0.11 | 0.58 ± 0.02 |
| Support Vector Machines | 0.80 ± 0.39 | 0.20 ± 0.40 | 0.58 ± 0.02 | 0.68 ± 0.34 | 0.65 ± 0.19 | 0.50 ± 0.00 |
| XGBoost | 0.65 ± 0.17 | 0.61 ± 0.20 | 0.70 ± 0.03 | 0.72 ± 0.09 | 0.64 ± 0.08 | 0.63 ± 0.02 |
| Model | Sensitivity | Specificity | AUC | F-Score | Accuracy | Balanced Accuracy |
|---|---|---|---|---|---|---|
| Decision Trees | 0.63 | 0.53 | 0.61 | 0.68 | 0.60 | 0.58 |
| Logistic Regression | 0.48 | 0.71 | 0.65 | 0.60 | 0.55 | 0.60 |
| Multi-Layer Neural Network | 0.51 | 0.60 | 0.59 | 0.60 | 0.54 | 0.55 |
| Random Forest | 0.72 | 0.43 | 0.63 | 0.73 | 0.63 | 0.58 |
| Stochastic Gradient Descent | 0.58 | 0.65 | 0.65 | 0.67 | 0.60 | 0.62 |
| Support Vector Machines | 0.56 | 0.66 | 0.58 | 0.63 | 0.61 | 0.58 |
| XGBoost | 0.73 | 0.41 | 0.63 | 0.72 | 0.62 | 0.57 |
Appendix C.1.2. Vendor-Specific Analysis
| Model | Model | Sensitivity | Specificity | AUC | F-Score | Accuracy | Balanced Accuracy |
|---|---|---|---|---|---|---|---|
| GE | Random Forest | 0.78 | 0.60 | 0.74 | 0.80 | 0.73 | 0.69 |
| XGBoost | 0.80 | 0.53 | 0.73 | 0.81 | 0.73 | 0.67 | |
| Siemens | Random Forest | 0.73 | 0.42 | 0.63 | 0.77 | 0.66 | 0.57 |
| XGBoost | 0.76 | 0.36 | 0.64 | 0.79 | 0.68 | 0.56 | |
| Philips | Random Forest | 0.74 | 0.68 | 0.76 | 0.75 | 0.71 | 0.71 |
| XGBoost | 0.75 | 0.64 | 0.77 | 0.74 | 0.70 | 0.7 |
References
- Rebello, R.J.; Oing, C.; Knudsen, K.E.; Loeb, S.; Johnson, D.C.; Reiter, R.E.; Gillessen, S.; Van der Kwast, T.; Bristow, R.G. Prostate cancer. Nat. Rev. Dis. Primers 2021, 7, 9. [Google Scholar] [CrossRef] [PubMed]
- Greenberg, J.W.; Koller, C.R.; Casado, C.; Triche, B.L.; Krane, L.S. A narrative review of biparametric MRI (bpMRI) implementation on screening, detection, and the overall accuracy for prostate cancer. Ther. Adv. Urol. 2022, 14, 17562872221096377. [Google Scholar] [CrossRef] [PubMed]
- Tamada, T.; Kido, A.; Yamamoto, A.; Takeuchi, M.; Miyaji, Y.; Moriya, T.; Sone, T. Comparison of Biparametric and Multiparametric MRI for Clinically Significant Prostate Cancer Detection with PI-RADS Version 2.1. J. Magn. Reson. Imaging 2021, 53, 283–291. [Google Scholar] [CrossRef] [PubMed]
- Xu, L.; Zhang, G.; Shi, B.; Liu, Y.; Zou, T.; Yan, W.; Xiao, Y.; Xue, H.; Feng, F.; Lei, J.; et al. Comparison of biparametric and multiparametric MRI in the diagnosis of prostate cancer. Cancer Imaging 2019, 19, 90. [Google Scholar] [CrossRef] [PubMed]
- Hietikko, R.; Kilpeläinen, T.P.; Kenttämies, A.; Ronkainen, J.; Ijäs, K.; Lind, K.; Marjasuo, S.; Oksala, J.; Oksanen, O.; Saarinen, T.; et al. Expected impact of MRI-related interreader variability on ProScreen prostate cancer screening trial: A pre-trial validation study. Cancer Imaging 2020, 20, 72. [Google Scholar] [CrossRef]
- Bardis, M.D.; Houshyar, R.; Chang, P.D.; Ushinsky, A.; Glavis-Bloom, J.; Chahine, C.; Bui, T.-L.; Rupasinghe, M.; Filippi, C.G.; Chow, D.S. Applications of Artificial Intelligence to Prostate Multiparametric MRI (mpMRI): Current and Emerging Trends. Cancers 2020, 12, 1204. [Google Scholar] [CrossRef]
- Chaddad, A.; Kucharczyk, M.J.; Cheddad, A.; Clarke, S.E.; Hassan, L.; Ding, S.; Rathore, S.; Zhang, M.; Katib, Y.; Bahoric, B.; et al. Magnetic Resonance Imaging Based Radiomic Models of Prostate Cancer: A Narrative Review. Cancers 2021, 13, 552. [Google Scholar] [CrossRef]
- Goldenberg, S.L.; Nir, G.; Salcudean, S.E. A new era: Artificial intelligence and machine learning in prostate cancer. Nat. Rev. Urol. 2019, 16, 391–403. [Google Scholar] [CrossRef]
- Guiot, J.; Vaidyanathan, A.; Deprez, L.; Zerka, F.; Danthine, D.; Frix, A.; Lambin, P.; Bottari, F.; Tsoutzidis, N.; Miraglio, B.; et al. A review in radiomics: Making personalized medicine a reality via routine imaging. Med. Res. Rev. 2022, 42, 426–440. [Google Scholar] [CrossRef] [PubMed]
- Lambin, P.; Leijenaar, R.T.H.; Deist, T.M.; Peerlings, J.; de Jong, E.E.C.; van Timmeren, J.; Sanduleanu, S.; Larue, R.T.H.M.; Even, A.J.G.; Jochems, A.; et al. Radiomics: The bridge between medical imaging and personalized medicine. Nat. Rev. Clin. Oncol. 2017, 14, 749–762. [Google Scholar] [CrossRef]
- Hunter, B.; Hindocha, S.; Lee, R.W. The Role of Artificial Intelligence in Early Cancer Diagnosis. Cancers 2022, 14, 1524. [Google Scholar] [CrossRef] [PubMed]
- Koh, D.-M.; Papanikolaou, N.; Bick, U.; Illing, R.; Kahn, C.E.; Kalpathi-Cramer, J.; Matos, C.; Martí-Bonmatí, L.; Miles, A.; Mun, S.K.; et al. Artificial intelligence and machine learning in cancer imaging. Commun. Med. 2022, 2, 133. [Google Scholar] [CrossRef] [PubMed]
- Aerts, H.J.W.L.; Velazquez, E.R.; Leijenaar, R.T.H.; Parmar, C.; Grossmann, P.; Carvalho, S.; Bussink, J.; Monshouwer, R.; Haibe-Kains, B.; Rietveld, D.; et al. Decoding tumour phenotype by noninvasive imaging using a quantitative radiomics approach. Nat. Commun. 2014, 5, 4006. [Google Scholar] [CrossRef] [PubMed]
- van Timmeren, J.E.; Cester, D.; Tanadini-Lang, S.; Alkadhi, H.; Baessler, B. Radiomics in medical imaging—‘how-to’ guide and critical reflection. Insights Imaging 2020, 11, 91. [Google Scholar] [CrossRef] [PubMed]
- Demircioğlu, A. Evaluation of the dependence of radiomic features on the machine learning model. Insights Imaging 2022, 13, 28. [Google Scholar] [CrossRef] [PubMed]
- Ibrahim, A.; Primakov, S.; Beuque, M.; Woodruff, H.; Halilaj, I.; Wu, G.; Refaee, T.; Granzier, R.; Widaatalla, Y.; Hustinx, R.; et al. Radiomics for precision medicine: Current challenges, future prospects, and the proposal of a new framework. Methods 2021, 188, 20–29. [Google Scholar] [CrossRef]
- Pedregosa, F.; Varoquaux, G.; Gramfort, A.; Michel, V.; Thirion, B.; Grisel, O.; Blondel, M.; Prettenhofer, P.; Weiss, R.; Dubourg, V.; et al. Scikit-Learn: Machine Learning in Python. 2012. Available online: http://arxiv.org/abs/1201.0490 (accessed on 13 December 2024).
- Hall, M.; Frank, E.; Holmes, G.; Pfahringer, B.; Reutemann, P.; Witten, I.H. The WEKA data mining software. ACM SIGKDD Explor. Newsl. 2009, 11, 10–18. [Google Scholar] [CrossRef]
- Thornton, C.; Hutter, F.; Hoos, H.H.; Leyton-Brown, K. Auto-WEKA. In Proceedings of the 19th ACM SIGKDD International Conference on Knowledge Discovery and Data Mining, Chicago, IL, USA, 11–14 August 2013; ACM: New York, NY, USA, 2013; pp. 847–855. [Google Scholar] [CrossRef]
- Feurer, M.; Eggensperger, K.; Falkner, S.; Lindauer, M.; Hutter, F. Auto-sklearn 2.0: Hands-free AutoML via meta-learning. J. Mach. Learn. Res. 2022, 23, 1–61. [Google Scholar]
- Mohr, F.; Wever, M.; Hüllermeier, E. ML-Plan: Automated machine learning via hierarchical planning. Mach. Learn. 2018, 107, 1495–1515. [Google Scholar] [CrossRef]
- Swearingen, T.; Drevo, W.; Cyphers, B.; Cuesta-Infante, A.; Ross, A.; Veeramachaneni, K. ATM: A distributed, collaborative, scalable system for automated machine learning. In Proceedings of the 2017 IEEE International Conference on Big Data (Big Data), Boston, MA, USA, 11–14 December 2017; pp. 151–162. [Google Scholar] [CrossRef]
- Bisong, E. Google AutoML: Cloud Vision. In Building Machine Learning and Deep Learning Models on Google Cloud Platform; Apress: Berkeley, CA, USA, 2019; pp. 581–598. [Google Scholar] [CrossRef]
- Le, T.T.; Fu, W.; Moore, J.H. Scaling tree-based automated machine learning to biomedical big data with a feature set selector. Bioinformatics 2020, 36, 250–256. [Google Scholar] [CrossRef]
- Tramer, F.; Atlidakis, V.; Geambasu, R.; Hsu, D.; Hubaux, J.-P.; Humbert, M.; Juels, A.; Lin, H. FairTest: Discovering Unwarranted Associations in Data-Driven Applications. In Proceedings of the 2017 IEEE European Symposium on Security and Privacy (EuroS&P), Paris, France, 26–28 April 2017. [Google Scholar]
- Hardt, M.; Chen, X.; Cheng, X.; Donini, M.; Gelman, J.; Gollaprolu, S.; He, J.; Larroy, P.; Liu, X.; McCarthy, N.; et al. Amazon SageMaker Clarify: Machine Learning Bias Detection and Explainability in the Cloud. In Proceedings of the 27th ACM SIGKDD Conference on Knowledge Discovery & Data Mining, Singapore, 14–18 August 2021; ACM: New York, NY, USA, 2021; pp. 2974–2983. [Google Scholar] [CrossRef]
- Giskard, A.I. The Testing Platform for AI Models. Available online: https://www.giskard.ai/ (accessed on 25 November 2024).
- Dovrou, A.; Nikiforaki, K.; Zaridis, D.; Manikis, G.C.; Mylona, E.; Tachos, N.; Tsiknakis, M.; Fotiadis, D.I.; Marias, K. A segmentation-based method improving the performance of N4 bias field correction on T2weighted MR imaging data of the prostate. Magn. Reason. Imaging 2023, 101, 1–12. [Google Scholar] [CrossRef] [PubMed]
- Rodrigues, N.M.; de Almeida, J.G.; Verde, A.S.C.; Gaivão, A.M.; Bilreiro, C.; Santiago, I.; Ip, J.; Belião, S.; Moreno, R.; Matos, C.; et al. Analysis of domain shift in whole prostate gland, zonal and lesions segmentation and detection, using multicentric retrospective data. Comput. Biol. Med. 2024, 171, 108216. [Google Scholar] [CrossRef] [PubMed]
- Chen, X.; Jeong, J.C. Enhanced recursive feature elimination. In Proceedings of the Sixth International Conference on Machine Learning and Applications (ICMLA 2007), Cincinnati, OH, USA, 13–15 December 2007; pp. 429–435. [Google Scholar] [CrossRef]
- Fernández-Delgado, M.; Cernadas, E.; Barro, S.; Amorim, D.; Fernández-Delgado, A. Do We Need Hundreds of Classifiers to Solve Real World Classification Problems? 2014. Available online: http://www.mathworks.es/products/neural-network (accessed on 20 January 2025).
- Raschka, S. Model Evaluation, Model Selection, and Algorithm Selection in Machine Learning. arXiv 2018, arXiv:1811.12808. [Google Scholar]
- Lundberg, S.; Lee, S.-I. A Unified Approach to Interpreting Model Predictions. In Proceedings of the Advances in Neural Information Processing Systems, Long Beach, CA, USA, 4–9 December 2017. [Google Scholar]
- Weerts, H.J.P.; Mueller, A.C.; Vanschoren, J. Importance of Tuning Hyperparameters of Machine Learning Algorithms. arXiv 2020, arXiv:2007.07588. [Google Scholar]
- Aggarwal, M.; Madhukar, M. IBM’s Watson Analytics for Health Care. In Cloud Computing Systems and Applications in Healthcare; IGI Global Scientific Publishing: Hershey, PA, USA, 2017; pp. 117–134. [Google Scholar] [CrossRef]
- Beers, A.; Brown, J.; Chang, K.; Hoebel, K.; Patel, J.; Ly, K.I.; Tolaney, S.M.; Brastianos, P.; Rosen, B.; Gerstner, E.R.; et al. DeepNeuro: An open-source deep learning toolbox for neuroimaging. Neuroinformatics 2021, 19, 127–140. [Google Scholar] [CrossRef] [PubMed]
- van Griethuysen, J.J.M.; Fedorov, A.; Parmar, C.; Hosny, A.; Aucoin, N.; Narayan, V.; Beets-Tan, R.G.H.; Fillion-Robin, J.-C.; Pieper, S.; Aerts, H.J.W.L. Computational Radiomics System to Decode the Radiographic Phenotype. Cancer Res. 2017, 77, e104–e107. [Google Scholar] [CrossRef] [PubMed]
- Tabassi, E. Artificial Intelligence Risk Management Framework (AI RMF 1.0); NIST: Gaithersburg, MD, USA, 2023. [Google Scholar] [CrossRef]
- Chen, A.; Chow, A.; Davidson, A.; Dcunha, A.; Ghodsi, A.; Hong, S.A.; Konwinski, A.; Mewald, C.; Murching, S.; Nykodym, T.; et al. Developments in MLflow. In Proceedings of the Fourth International Workshop on Data Management for End-to-End Machine Learning, Portland OR USA, 14 June 2020; ACM: New York, NY, USA, 2020; pp. 1–4. [Google Scholar] [CrossRef]
- Bellamy, R.K.E.; Dey, K.; Hind, M.; Hoffman, S.C.; Houde, S.; Kannan, K.; Lohia, P.; Martino, J.; Mehta, S.; Mojsilovic, A.; et al. AI Fairness 360: An extensible toolkit for detecting and mitigating algorithmic bias. IBM J. Res. Dev. 2019, 63, 4:1–4:15. [Google Scholar] [CrossRef]






| A. Load Data B. Read User’s Configuration from the Provided Front-end C. Bias Assessment Save bias metrics as JSON files for each set Save bias plots as PNG images for each set D. Train Models With K-Fold Cross-validation Save results to Excel and generate confusion matrices E. External Validation |
| Model | Sensitivity | Specificity | AUC | F-Score | Accuracy | Balanced Accuracy |
|---|---|---|---|---|---|---|
| Decision Trees | 0.58 ± 0.10 | 0.72 ± 0.12 | 0.69 ± 0.03 | 0.69 ± 0.07 | 0.61 ± 0.05 | 0.65 ± 0.03 |
| Logistic Regression | 0.68 ± 0.08 | 0.70 ± 0.10 | 0.76 ± 0.02 | 0.77 ± 0.04 | 0.69 ± 0.04 | 0.69 ± 0.03 |
| Multi-Layer Neural Network | 0.69 ± 0.09 | 0.67 ± 0.10 | 0.72 ± 0.03 | 0.76 ± 0.05 | 0.68 ± 0.05 | 0.68 ± 0.03 |
| Random Forest | 0.70 ± 0.08 | 0.70 ± 0.07 | 0.77 ± 0.03 | 0.77 ± 0.05 | 0.70 ± 0.05 | 0.70 ± 0.02 |
| Stochastic Gradient Descent | 0.67 ± 0.07 | 0.70 ± 0.09 | 0.73 ± 0.02 | 0.76 ± 0.04 | 0.68 ± 0.04 | 0.69 ± 0.02 |
| Support Vector Machines | 0.78 ± 0.04 | 0.56 ± 0.06 | 0.73 ± 0.03 | 0.81 ± 0.02 | 0.73 ± 0.03 | 0.67 ± 0.03 |
| XGBoost | 0.74 ± 0.06 | 0.68 ± 0.06 | 0.77 ± 0.03 | 0.80 ± 0.04 | 0.72 ± 0.04 | 0.71 ± 0.02 |
| Model | Sensitivity | Specificity | AUC | F-Score | Accuracy | Balanced Accuracy |
|---|---|---|---|---|---|---|
| Decision Trees | 0.67 | 0.56 | 0.66 | 0.72 | 0.64 | 0.62 |
| Logistic Regression | 0.76 | 0.54 | 0.72 | 0.77 | 0.69 | 0.65 |
| Multi-Layer Neural Network | 0.82 | 0.46 | 0.71 | 0.79 | 0.70 | 0.64 |
| Random Forest | 0.75 | 0.61 | 0.73 | 0.78 | 0.71 | 0.68 |
| Stochastic Gradient Descent | 0.68 | 0.61 | 0.71 | 0.73 | 0.66 | 0.65 |
| Support Vector Machines | 0.87 | 0.44 | 0.71 | 0.82 | 0.74 | 0.66 |
| XGBoost | 0.77 | 0.56 | 0.74 | 0.78 | 0.70 | 0.67 |
| Feature | Metric | Deviation | Description |
|---|---|---|---|
| ‘log-sigma-4-0-mm-3D_firstorder_Skewness_T2’≤9.229 × 10−1 | Overconfidence rate | +40.38% than global | For records in the dataset where ‘log-sigma-4-0-mm-3D_firstorder_Skewness_T2’ < −9.229 × 10−1, we found a significantly higher number of overconfident wrong predictions (81 samples, corresponding to 81.82% of the wrong predictions in the data slice). |
| ‘wavelet-LLL_firstorder_Minimum_T2’≤7.182 × 101 | Overconfidence rate | +32.80% than global | For records in the dataset where ‘wavelet-LLL_firstorder_Minimum_T2’ < −7.182 × 101, we found a significantly higher number of overconfident wrong predictions (137 samples, corresponding to 77.40% of the wrong predictions in the data slice). |
| ‘original_firstorder_10Percentile_T2’ < 29.361 | Overconfidence rate | +32.69% than global | For records in the dataset where ‘original_firstorder_10Percentile_T2’ < 29.361, we found a significantly higher number of overconfident wrong predictions (116 samples, corresponding to 77.33% of the wrong predictions in the data slice). |
| ‘log-sigma-3-0-mm-3D_firstorder_Skewness_T2’≤9.336 × 10−1 | Overconfidence rate | +30.52% than global | For records in the dataset where ‘log-sigma-3-0-mm-3D_firstorder_Skewness_T2’ < −9.336 × 10−1, we found a significantly higher number of overconfident wrong predictions (89 samples, corresponding to 76.07% of the wrong predictions in the data slice). |
| ‘wavelet-HLL_glcm_Correlation_DWI’≤0.269 | Overconfidence rate | +22.03% than global | For records in the dataset where ‘wavelet-HLL_glcm_Correlation_DWI’ < 0.269, we found a significantly higher number of overconfident wrong predictions (133 samples, corresponding to 71.12% of the wrong predictions in the data slice). |
| ‘log-sigma-4-0-mm-3D_glszm_SmallAreaEmphasis_T2’ ≥ 0.222 | Overconfidence rate | +19.15% than global | For records in the dataset where ‘log-sigma-4-0-mm-3D_glszm_SmallAreaEmphasis_T2’ ≥ 0.222, we found a significantly higher number of overconfident wrong predictions (125 samples, corresponding to 69.44% of the wrong predictions in the data slice). |
| ‘wavelet-LLL_glcm_Imc1_DWI’≤1.527 × 10−1 | Overconfidence rate | +18.69% than global | For records in the dataset where ‘wavelet-LLL_glcm_Imc1_DWI’ < −1.527 × 10−1, we found a significantly higher number of overconfident wrong predictions (92 samples, corresponding to 69.17% of the wrong predictions in the data slice). |
| ‘log-sigma-3-0-mm-3D_firstorder_90Percentile_ADC’ ≥ 15.519 | Overconfidence rate | +15.11% than global | For records in the dataset where ‘log-sigma-3-0-mm-3D_firstorder_90Percentile_ADC’ ≥ 15.519, we found a significantly higher number of overconfident wrong predictions (106 samples, corresponding to 67.09% of the wrong predictions in the data slice). |
| ‘log-sigma-4-0-mm-3D_glszm_SmallAreaEmphasis_T2’ ≥ 0.417 | Balanced Accuracy | −13.14% than global | For records in the dataset where ‘log-sigma-4-0-mm-3D_glszm_SmallAreaEmphasis_T2’ ≥ 0.417, the balanced accuracy is 13.14% lower than the global balanced accuracy. |
| ‘wavelet-LLL_glcm_Imc1_DWI’ ≥ 1.615 × 10−1 | Precision | −7.71% than global | For records in the dataset where ‘wavelet-LLL_glcm_Imc1_DWI’ ≥ −1.615 × 10−1, the precision is 7.71% lower than the global precision. |
| ‘wavelet-LLL_glcm_Imc1_DWI’≤1.615 × 10−1 | Balanced Accuracy | −6.45% than global | For records in the dataset where ‘wavelet-LLL_glcm_Imc1_DWI’ < −1.615 × 10−1, the balanced accuracy is 6.45% lower than the global balanced accuracy. |
| Feature | Simplatab | Auto-WEKA | Auto-Sklearn | ML-Plan | ATM | Google AutoML | TPOT |
|---|---|---|---|---|---|---|---|
| Optimal threshold for the models based on user needs | ✓ | -- | -- | -- | -- | -- | -- |
| Ease of Use | High | Moderate (setup + coding) | Moderate (coding) | Moderate (setup+coding) | Moderate (cloud + Setup+ coding) | High (cloud) | High |
| User-friendly interface | ✓ | -- | -- | -- | -- | ✓ | -- |
| No code | ✓ | -- | -- | -- | -- | -- | -- |
| Open access | ✓ | ✓ | ✓ | ✓ | ✓ | -- | ✓ |
| Subscription | -- | -- | -- | -- | -- | ✓ | -- |
| Detailed Human-readable reporting and visualization | ✓ | -- | -- | -- | -- | -- | -- |
| Shapley XAI analysis | ✓ | -- | -- | -- | -- | -- | -- |
| Data bias detection | Suite of multiple bias detection metrics | -- | -- | -- | -- | -- | -- |
| Model vulnerabilities detection | assess robustness, calibration, data leakage, performance bias, stochasticity, and confounded features | -- | -- | -- | -- | -- | -- |
| Transparency | Resulting pipelines given for all models | Best model given | Best model given | Best model given | Best model given | Resulting pipelines given for all models | Best model given |
| Model export | ✓ | -- | ✓ | ✓ | ✓ | ✓ | ✓ |
| cloud integration | -- | -- | -- | -- | ✓ | ✓ | -- |
| Community support | Open-access GitHub repository | ✓ | ✓ | ✓ | ✓ | -- | ✓ |
Disclaimer/Publisher’s Note: The statements, opinions and data contained in all publications are solely those of the individual author(s) and contributor(s) and not of MDPI and/or the editor(s). MDPI and/or the editor(s) disclaim responsibility for any injury to people or property resulting from any ideas, methods, instructions or products referred to in the content. |
© 2025 by the authors. Licensee MDPI, Basel, Switzerland. This article is an open access article distributed under the terms and conditions of the Creative Commons Attribution (CC BY) license (https://creativecommons.org/licenses/by/4.0/).
Share and Cite
Zaridis, D.I.; Pezoulas, V.C.; Mylona, E.; Kalantzopoulos, C.N.; Tachos, N.S.; Tsiknakis, N.; Matsopoulos, G.K.; Regge, D.; Papanikolaou, N.; Tsiknakis, M.; et al. Simplatab: An Automated Machine Learning Framework for Radiomics-Based Bi-Parametric MRI Detection of Clinically Significant Prostate Cancer. Bioengineering 2025, 12, 242. https://doi.org/10.3390/bioengineering12030242
Zaridis DI, Pezoulas VC, Mylona E, Kalantzopoulos CN, Tachos NS, Tsiknakis N, Matsopoulos GK, Regge D, Papanikolaou N, Tsiknakis M, et al. Simplatab: An Automated Machine Learning Framework for Radiomics-Based Bi-Parametric MRI Detection of Clinically Significant Prostate Cancer. Bioengineering. 2025; 12(3):242. https://doi.org/10.3390/bioengineering12030242
Chicago/Turabian StyleZaridis, Dimitrios I., Vasileios C. Pezoulas, Eugenia Mylona, Charalampos N. Kalantzopoulos, Nikolaos S. Tachos, Nikos Tsiknakis, George K. Matsopoulos, Daniele Regge, Nikolaos Papanikolaou, Manolis Tsiknakis, and et al. 2025. "Simplatab: An Automated Machine Learning Framework for Radiomics-Based Bi-Parametric MRI Detection of Clinically Significant Prostate Cancer" Bioengineering 12, no. 3: 242. https://doi.org/10.3390/bioengineering12030242
APA StyleZaridis, D. I., Pezoulas, V. C., Mylona, E., Kalantzopoulos, C. N., Tachos, N. S., Tsiknakis, N., Matsopoulos, G. K., Regge, D., Papanikolaou, N., Tsiknakis, M., Marias, K., & Fotiadis, D. I. (2025). Simplatab: An Automated Machine Learning Framework for Radiomics-Based Bi-Parametric MRI Detection of Clinically Significant Prostate Cancer. Bioengineering, 12(3), 242. https://doi.org/10.3390/bioengineering12030242

