The Nitrogen Budget of Coastal Eastern Guangdong in the Last 15 Years
Abstract
1. Introduction
2. Materials and Methods
2.1. Study Area
2.2. Data Acquisition and Processing
2.3. Methodology
2.3.1. Input of the Nitrogen
2.3.2. Output of the Nitrogen
2.3.3. Nitrogen Budget
NO = NDe + NV + NH + NWo
NN = NI − NO
3. Results
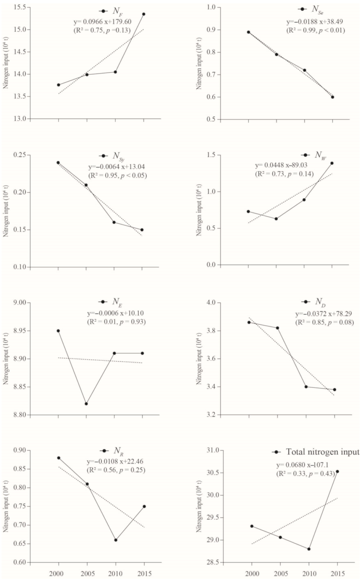
3.1. Input of Nitrogen and Its Temporal Dynamics
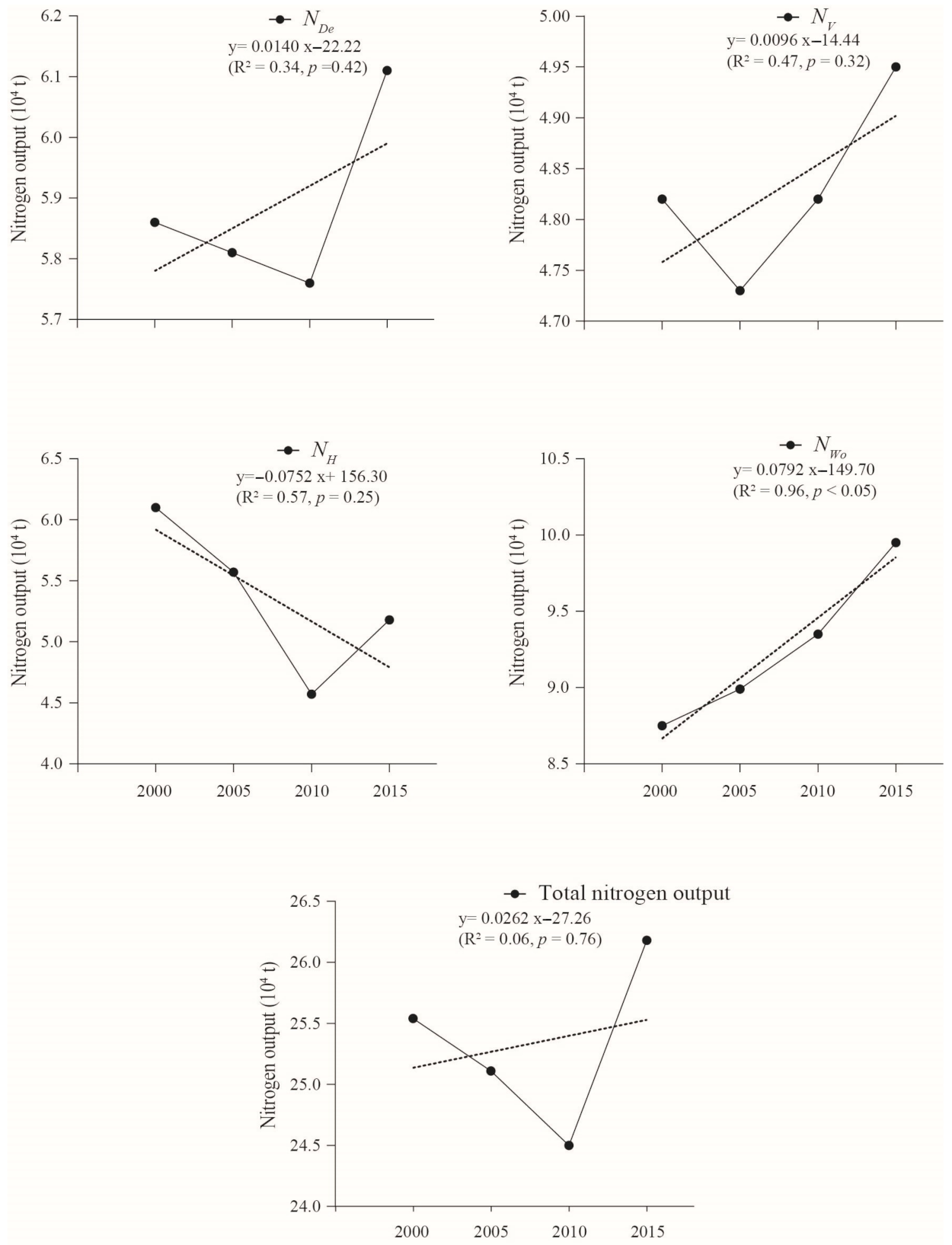
3.2. Nitrogen Output and Its Dynamics
3.3. Nitrogen Budget of the Coastal Eastern Guangdong
4. Discussion
4.1. Nitrogen Surplus Ratio and Unit Area Surplus
4.2. Water Output Nitrogen
4.3. Agricultural Nitrogen Input
4.4. Regional Comparison of Nitrogen Load and Nitrogen Flux on Land
5. Conclusions and Outlook
Supplementary Materials
Author Contributions
Funding
Conflicts of Interest
References
- Wu, G.H.; Wang, N.A.; Hu, S.X.; Tian, L.S.; Zhang, J.M. Physical Geography, 4th ed.; Higher Education Press: Beijing, China, 2008; pp. 421–423. [Google Scholar]
- Fang, H.; Mo, J.M. Reactive nitrogen increasing: A threat to our environment. Ecol. Environ. Sci. 2006, 15, 164–168. [Google Scholar] [CrossRef]
- Shen, Z.L.; Liu, Q.; Zhang, S.M.; Miao, H.; Zhang, P. A Nitrogen budget of the Changjiang River Catchment. Ambio 2003, 32, 65–69. [Google Scholar] [CrossRef] [PubMed]
- Wu, Y.L.; Xu, H.; Yang, G.J.; Zhu, G.W.; Qin, B.Q. Progress in nitrogen pollution research in Lake Taihu. J. Lake Sci. 2014, 26, 19–28. [Google Scholar] [CrossRef]
- Xie, L.C.; Chen, J.Y. Nitrogen Budgets of the Pearl River Delta and Its Regional Differences during the Past Decade. J. Nat. Resour. 2014, 29, 237–248. [Google Scholar] [CrossRef]
- Xu, X.G.; Peng, H.F.; Xu, Q.Z. Land Resource Conflicts and Coordination in Fast Urbanized Coastal Zone: A Case Study of the Shandong Peninsula. Beijing Da Xue Xue Bao Zi Ran Ke Xue Bao 2006, 42, 527–533. [Google Scholar] [CrossRef]
- Howarth, R.W.; Billen, G.; Swaney, D.; Townsend, A.; Jaworski, N.; Lajtha, K.; Downing, J.A.; Elmgren, R.; Caraco, N.; Jordan, T.; et al. Regional nitrogen budgets and riverine N & P fluxes for the drainages to the North Atlantic Ocean: Natural and human influences. Biogeochemistry 1996, 35, 75–139. [Google Scholar] [CrossRef]
- Deng, M.H.; Xie, Y.X.; Xiong, Z.Q.; Xing, G.X.; Yan, X.Y. Nitrogen budgets of the Yangtze delta region and their effect on the environment. Acta Sci. Circumst. 2007, 27, 1709–1716. [Google Scholar] [CrossRef]
- Xiao, T.; Qi, Y.X.; Wang, J.B. Nitrogen budget estimation based on precipitation and runoff in the source of Yangtze River. Acta Ecol. Sin. 2010, 30, 5404–5412. [Google Scholar]
- Schilling, K.E.; Jones, C.S.; Wolter, C.F.; Liang, X.; Zhang, Y.-K.; Seeman, A.; Isenhart, T.; Schnoebelen, D.; Skopec, M. Variability of nitrate-nitrogen load estimation results will make quantifying load reduction strategies difficult in Iowa. J. Soil Water Conserv. 2017, 72, 317–325. [Google Scholar] [CrossRef]
- Filoso, S.; Martinelli, L.A.; Howarth, R.W.; Boyer, E.W.; Dentener, F. Human activities changing the nitrogen cycle in Brazil. Biogeochemistry 2006, 79, 61–89. [Google Scholar] [CrossRef]
- Vries, W.; Leip, A.; Reinds, G.J.; Kros, J.; Lesschen, J.; Bouwman, A. Comparison of land nitrogen budgets for European agriculture by various modeling approaches. Environ. Pollut. 2011, 159, 3254–3268. [Google Scholar] [CrossRef]
- Boyer, E.W.; Goodale, C.L.; Jaworski, N.A.; Howarth, R.W. Anthropogenic nitrogen sources and relationships to riverine nitrogen export in the northeastern USA. Biogeochemistry 2002, 57-58, 137–169. [Google Scholar] [CrossRef]
- Piske, J.; Peterson, E.W. The role of corn and soybean cultivation on nitrate export from Midwestern US agricultural watershed. Environ. Earth Sci. 2020, 79, 208. [Google Scholar] [CrossRef]
- McIsaac, G.F.; David, M.B.; Gertner, G.Z. Illinois River Nitrate-Nitrogen Concentrations and Loads: Long-term Variation and Association with Watershed Nitrogen Inputs. J. Environ. Qual. 2016, 45, 1268–1275. [Google Scholar] [CrossRef]
- Cherry, K.A.; Shepherd, M.; Withers, P.J.A.; Mooney, S. Assessing the effectiveness of actions to mitigate nutrient loss from agriculture: A review of methods. Sci. Total Environ. 2008, 406, 1–23. [Google Scholar] [CrossRef]
- Panagopoulos, Y.; Makropoulos, C.; Mimikou, M. Decision support for diffuse pollution management. Environ. Model. Softw. 2012, 30, 57–70. [Google Scholar] [CrossRef]
- Panagopoulos, Y.; Makropoulos, C.; Mimikou, M. Multi-objective optimization for diffuse pollution control at zero cost. Soil Use Manag. 2013, 29, 83–93. [Google Scholar] [CrossRef]
- Galloway, J.N.; Howarth, R.W.; Michaels, A.E.; Nixon, S.W.; Prospero, J.M.; Dentener, F.J. Nitrogen and phosphorus budgets of the North Atlantic Ocean and its watershed. Biogeochemistry 1996, 35, 3–25. [Google Scholar] [CrossRef]
- Xing, G.X.; Zhu, Z.L. Regional nitrogen budgets for China and its major watersheds. Biogeochemistry 2002, 57-58, 405–427. [Google Scholar] [CrossRef]
- Meng, Y.F.; Chen, F.J.; Xiao, B.; Zeng, Z. Nitrogen Budgets of the Zhanjiang Bay Area. J. Guangdong Ocean. Univ. 2015, 35, 76–81. [Google Scholar]
- Zhu, Z.L. Nitrogen balance and cycling in agroecosystems of China. In Nitrogen in Soils of China, 1st ed.; Zhu, Z.L., Wen, Q.X., Freney, J.R., Eds.; Kluwer Academic Publishers: Dordrecht, The Netherlands, 1997; Volume 74, pp. 323–330. [Google Scholar] [CrossRef]
- Yan, W.J.; Yin, C.Q.; Zhang, S. Nutrient budgets and biogeochemistry in an experimental agricultural watershed in Southeastern China. Biogeochemistry 1999, 45, 1–19. [Google Scholar] [CrossRef]
- Xing, G.X.; Yan, X.Y. Direct nitrous oxide emissions from agricultural fields in China estimated by the revised 1996 IPPC guidelines for national greenhouse gases. Environ. Sci. Policy 1999, 2, 355–361. [Google Scholar] [CrossRef]
- Xing, G.X.; Zhu, Z.L. Analysis and estimation of nitrogen sources and sinks in China watershed. Acta Pedol. Sin. 2000, 37, 72–82. [Google Scholar]
- Galloway, J.N.; Cowling, E.B. Reactive Nitrogen and The World: 200 Years of Change. Ambio 2002, 31, 64–71. [Google Scholar] [CrossRef]
- Chen, F.J.; Jia, G.D. Nitrogen Budgets of the Beijiang River Basin. Trop. Geogr. 2009, 29, 11–15. [Google Scholar]
- Yu, C.; Huang, X.; Chen, H.; Godfray, H.C.J.; Wright, J.S.; Hall, J.W.; Gong, P.; Ni, S.; Qiao, S.; Huang, G.; et al. Managing nitrogen to restore water quality in China. Nature 2019, 567, 516–520. [Google Scholar] [CrossRef]
- Water Resources Department of Guangdong Province. Guangdong Water Resources Bulletin. Available online: http://slt.gd.gov.cn/szygb/index.html (accessed on 9 April 2021).
- Zheng, Y.; Cheng, X.J.; Wang, Z.L.; Lai, C.G. Non-point source pollution in Hanjiang River Basin and its relation with landscape pattern. Water Resour. Prot. 2019, 35, 78–85. [Google Scholar] [CrossRef]
- Tian, Y.; Li, T.; Hu, S.M.; Xie, X.D.; Liu, S. Temporal and spatial characteristics of harmful algal blooms in Guangdong coastal area. Mar. Environ. Sci. 2020, 39, 1–8. [Google Scholar] [CrossRef]
- Xu, N.; Qi, Y.Z.; Chen, J.F.; Huang, W.J.; Lu, S.H.; Wang, Y. Analysis on the cause of Phaeocystis globose Scherffel red tide. Acta Sci. Circumst. 2003, 23, 113–118. [Google Scholar] [CrossRef]
- Wang, J.G.; Lin, B.; Li, B.G. Nitrogen Cycling and Management Strategies in Chinese Agriculture coastal area. Sci. Agric. Sin. 2016, 49, 503–517. [Google Scholar] [CrossRef]
- Zhou, T.; Wang, Y.P.; Wang, F.; Feng, Y.F. Analysis of the nitrogen footprint of agriculture in Guangdong. China Environ. Sci. 2014, 34, 2430–2438. [Google Scholar]
- Zhang, W.F.; Ma, L.; Huang, G.Q.; Wu, L.; Chen, X.P.; Zhang, F.S. The Development and Contribution of Nitrogenous Fertilizer in China and Challenges Faced by the Country. Sci. Agric. Sin. 2013, 46, 3161–3171. [Google Scholar] [CrossRef]
- Gao, C.; Zhang, T.L.; Sun, B.; Wu, W.D.; Lu, R.K. Nitrogen Management in Chinese Agriculture since Early 1980s: Status and Problems. J. Nanjing Univ. 2002, 38, 716–721. [Google Scholar]
- Guo, J.S.; Liu, J.; Fang, F.; Sun, J.Y.; Sun, Z.W.; Du, L.G. Input-output budgets for nitrogen in typical purple soil sloping ploughland in Three Gorges areas. J. Chongqing Univ. 2011, 34, 141–147. [Google Scholar]
- Meng, Y.F.; Chen, F.J.; Zeng, Z. Nitrogen Budget Evolution in Zhanjiang Municipal District and Its Environmental Effect during 2002–2013. Trop. Geogr. 2015, 35, 777–784. [Google Scholar] [CrossRef]
- Yan, W.J.; Zhang, S.; Wang, J.H. Nitrogen Biogeochemical Cycling in the Changjiang Drainage Basin and its Effect on Changjiang River Dissolved Inorganic Nitrogen Temporal Trend for the Period 1968–1997. Acta Geogr. Sin. 2001, 56, 504–513. [Google Scholar] [CrossRef]
- Han, Z.; Wang, M.H.; Zhou, J.G.; Wang, Y.; Shen, J.L.; Li, X.; Li, Y.Y.; Wu, J.S. N balance analysis and adjusting countermeasures of small watershed in subtropical hilly area. J. Agro-Environ. Sci. 2017, 36, 743–752. [Google Scholar] [CrossRef]
- Xing, G.X.; Zhu, Z.L. The Environmental Consequences of Altered Nitrogen Cycling Resulting from Industrial Activity, Agricultural Production and Population Growth in China. Sci. World. J. 2001, 1, 70–80. [Google Scholar] [CrossRef]






| City | Longitude/Latitude | Area | Altitude | GDP | Resources | Population |
|---|---|---|---|---|---|---|
| Shantou | 116°14′ E–117°19′ E 23°02′ N–23°38′ N | 2199.04 km2 | Delta alluvial plain | 1.87 × 1011 Yuan | Water, Marine, Wind, Mineral | 5.55 × 106 people |
| Chaozhou | 116°22′ E–117°11′ E 23°26′ N–24°14′ N | 3145.93 km2 | Mountains, Hills | 0.91 × 1011 Yuan | Water, Marine, Mineral | 2.64 × 106 people |
| Jieyang | 115°36′ E–116°37′ E 22°53′ N–23°46′ N | 5265.38 km2 | Mountains, Hills, Plains | 1.89 × 1011 Yuan | Biological | 6.06 × 106 people |
| City | Year | P (mm) | NF (104 t) | CF (104 t) | WWD (108 t) | CA (ha) | PD (Per/km2) |
|---|---|---|---|---|---|---|---|
| Shantou | 2000 | 1426 | 2.95 | 0.33 | 2.06 | 56,977 | 2266.38 |
| 2005 | 1662 | 2.81 | 0.80 | 1.83 | 39,249 | 2395.59 | |
| 2010 | 1369 | 2.66 | 1.38 | 2.61 | 35,283 | 2400.44 | |
| 2015 | 1496 | 2.99 | 1.77 | 2.62 | 37,790 | 2524.78 | |
| Chaozhou | 2000 | 1879 | 2.66 | 1.06 | 0.63 | 47,925 | 773.12 |
| 2005 | 1755 | 1.90 | 1.71 | 0.71 | 45,843 | 810.32 | |
| 2010 | 1420 | 1.88 | 1.29 | 1.68 | 31,923 | 861.97 | |
| 2015 | 1533 | 2.31 | 1.75 | 1.24 | 35,812 | 839.33 | |
| Jieyang | 2000 | 2041 | 6.53 | 1.31 | 1.02 | 121,709 | 1001.16 |
| 2005 | 1988 | 6.86 | 1.53 | 1.45 | 121,665 | 1068.11 | |
| 2010 | 1844 | 6.89 | 1.70 | 1.73 | 118,117 | 1117.17 | |
| 2015 | 1701 | 6.68 | 2.08 | 2.47 | 87,718 | 1150.70 | |
| Coastal Eastern Guangdong | 2000 | 1871 | 12.14 | 2.70 | 3.71 | 226,611 | 1183.82 |
| 2005 | 1854 | 11.57 | 4.04 | 3.99 | 206,757 | 1254.23 | |
| 2010 | 1620 | 11.43 | 4.37 | 6.02 | 185,323 | 1314.42 | |
| 2015 | 1601 | 11.98 | 5.60 | 6.33 | 161,319 | 1343.17 |
| Component | Data Source | Formula | Reference |
|---|---|---|---|
| NF | Guangdong Rural Statistical Yearbook | Nitrogen fertilizer × 100% + Compound fertilizer × 60% | [8,21] |
| NSe | Guangdong Rural Statistical Yearbook | Paddy area × Paddy field nitrogen fixation parameters (45 kg N ha−1 yr−1) + Dry land area × Dryland nitrogen fixation parameters (15 kg N ha−1 yr−1) | [22] |
| NSy | Guangdong Rural Statistical Yearbook | Peanut acreage × Nitrogen fixation rate of peanut (112 kg N ha−1 yr−1) + Soybean planting area × Soybean nitrogen fixation rate (105 kg N ha−1 yr−1) | [23] |
| NW | Guangdong Statistical Yearbook | The total amount of wastewater discharged by each city in the Coastal Eastern Guangdong as a percentage of the amount of wastewater discharged from Guangdong Province × Ammonia nitrogen emission from wastewater in Guangdong Province | [5] |
| NE | Guangdong Rural Statistical Yearbook | Year-end inventory of poultry × Poultry conversion parameters (0.6 kg N yr−1) + Resident population × Human conversion parameters (4 kg N yr−1) + Year-end inventory of goat × Goat conversion parameters (7 kg N yr−1) + Year-end inventory of pigs × Pig conversion parameters (8 kg N yr−1) + Year-end inventory of cattle × Cattle conversion parameters (42 kg N yr−1) | [8,24,25] |
| ND | Guangdong Statistical Yearbook Weather station | Precipitation × National Land area × Average nitrogen concentration (About 1.98 mg/L) | [5,20,21] |
| NR | Guangdong Rural Statistical Yearbook | Crop yield × (Stem/seed quality ratio) × Nitrogen content of Crop stems and leaves (Straw) × 38% | [8,20,24] |
| Crop Type | Nitrogen Content [8] | Stem/Seed Quality Ratio [24] | |
|---|---|---|---|
| Seed (Fruit) | Stems and Leaves (Straw) | ||
| Rice | 1.53% | 0.64% | 1.2 |
| Beans | 5.11% | 2.01% | 1.6 |
| Peanut (oil crop) | 3.73% | 0.84% | 1.7 |
| Vegetables | 0.50% | 0.50% | 0.5 |
| Component | Data Source | Formula | Reference |
|---|---|---|---|
| NDe | Guangdong Rural Statistical Yearbook Guangdong Statistical Yearbook | Total input nitrogen × Denitrification parameter (20%) | [5,20,24] |
| NV | Guangdong Rural Statistical Yearbook | The area of cultivated land in paddy fields (dry land) in that year/the area of cultivated land in the city in that year × Fertilizer Nitrogen × Ammonia nitrogen volatilization coefficient in paddy fields (dry land) + Human and Livestock Excreta Nitrogen × 0.20 | [20] |
| NH | Guangdong Rural Statistical Yearbook | Crop yield × (Stem/seed quality ratio) × Nitrogen content of Crop stems and leaves (Straw) × 62% + Crop yield × Nitrogen content of Seed (fruit) | [8,20,24] |
| NWo | Guangdong Rural Statistical Yearbook Guangdong Statistical Yearbook | Artificially activated nitrogen(Fertilizer Nitrogen + Farmland Self-Nitrogen Fixation + Farmland Symbiotic Nitrogen Fixation + Wastewater Discharge Nitrogen) × 30% + The number of permanent residents in the year × The amount of nitrogen lost per person to the waste discharged from the water body (3.3 kg N yr−1) | [5,20] |
| Years | NI (104 t) | NO (104 t) | NN (104 t) |
|---|---|---|---|
| 2000 | 29.31 | 25.54 | 3.77 |
| 2005 | 29.06 | 25.11 | 3.95 |
| 2010 | 28.80 | 24.50 | 4.30 |
| 2015 | 30.53 | 26.18 | 4.35 |
| Region | Years | Cultivated Land Area (ha) | Agricultural Nitrogen Input (104 t) | Total Nitrogen Input (104 t) | Proportion (%) |
|---|---|---|---|---|---|
| Coastal Eastern Guangdong | 2000 | 226,610.90 | 15.77 | 29.31 | 53.81 |
| 2005 | 206,757.00 | 15.79 | 29.06 | 54.33 | |
| 2010 | 185,323.00 | 15.59 | 28.80 | 54.13 | |
| 2015 | 161,319.11 | 16.85 | 30.53 | 55.19 | |
| Pearl River Delta [5] | 2000 | 1,894,667.67 | 39.67 | 91.16 | 43.52 |
| 2005 | 1,504,365.33 | 33.94 | 84.71 | 40.07 | |
| 2010 | 1,322,137.47 | 31.44 | 89.06 | 35.30 | |
| Beijiang Basin [27] | 2006 | — | 18.58 | 39.52 | 47.01 |
| Zhanjiang Bay Area [21] | 2010 | 60,353.3 | 2.99 | 5.37 | 55.67 |
| Region | Nitrogen Load (kg N ha−1 yr−1) | Region | Nitrogen Flux on Land (kg N ha−1 yr−1) |
|---|---|---|---|
| China [20] | 64 | Northeast coast of the United States [7] | 10.7 |
| Pearl River Basin [20] | 104.44 | Northern rivers, Canada [7] | 7.6 |
| Yangtze River delta [8] | 291 | Northwest coast of Europe [7] | 13 |
| Pearl River Delta [5] | 175.03–196.98 | North Atlantic coast around the North Sea [7] | 14.5 |
| Three Gorges Reservoir area [37] | 348.8 | Pearl River Delta [5] | 111.93–130.85 |
| Zhanjiang Bay Area [21] | 249.99 | Yangtze River delta [8] | 224 |
| Zhanjiang City [38] | 210.10–277.17 | Zhanjiang Bay Area [21] | 200.11 |
| Yangtze River Basin [39] | 60.1 | Small watershed of subtropical hills in Hunan Province [40] | 115–216 |
| Beijiang River Basin [27] | 84.91 | Yangtze River Basin [41] | 81.88 |
| Small watershed of subtropical hills in Hunan Province [40] | 312 | Yellow River Basin [41] | 42.93 |
| Amazon Basin [7] | 1.74 | Pearl River Basin [41] | 72.44 |
| Mississippi River Basin [7] | 22.2 | Eastern China [41] | 142.62 |
| Baltic Sea [7] | 22.6 | Taihu Lake, China [41] | 300 |
| North Sea [7] | 70.4 | Central and Western China [41] | 18.16 |
| Caribbean Islands and Central America [7] | 4.82 | Remote areas in Western China [41] | 6.22 |
| St. Lawrence Basin [7] | 11.68 | Tibet, China [41] | 3.27 |
| Coastal Eastern Guangdong | 276.01–299.60 | Coastal Eastern Guangdong | 221.26–239.06 |
Publisher’s Note: MDPI stays neutral with regard to jurisdictional claims in published maps and institutional affiliations. |
© 2021 by the authors. Licensee MDPI, Basel, Switzerland. This article is an open access article distributed under the terms and conditions of the Creative Commons Attribution (CC BY) license (https://creativecommons.org/licenses/by/4.0/).
Share and Cite
Su, Y.; Song, S.; Xie, L.; He, Z. The Nitrogen Budget of Coastal Eastern Guangdong in the Last 15 Years. Hydrology 2021, 8, 81. https://doi.org/10.3390/hydrology8020081
Su Y, Song S, Xie L, He Z. The Nitrogen Budget of Coastal Eastern Guangdong in the Last 15 Years. Hydrology. 2021; 8(2):81. https://doi.org/10.3390/hydrology8020081
Chicago/Turabian StyleSu, Yongsong, Song Song, Lichun Xie, and Zhenyu He. 2021. "The Nitrogen Budget of Coastal Eastern Guangdong in the Last 15 Years" Hydrology 8, no. 2: 81. https://doi.org/10.3390/hydrology8020081
APA StyleSu, Y., Song, S., Xie, L., & He, Z. (2021). The Nitrogen Budget of Coastal Eastern Guangdong in the Last 15 Years. Hydrology, 8(2), 81. https://doi.org/10.3390/hydrology8020081
