Hydrological Properties of Litter in Different Vegetation Types: Implications for Ecosystem Functioning
Abstract
1. Introduction
2. Materials and Methods
2.1. Study Sites
2.2. Rainfall and Throughfall
2.3. Determination of Litter Hydrological Properties
2.4. Soil Physical Properties
2.5. Statistical Analysis
3. Results
3.1. Weather Conditions
3.2. Litter Accumulation and Composition
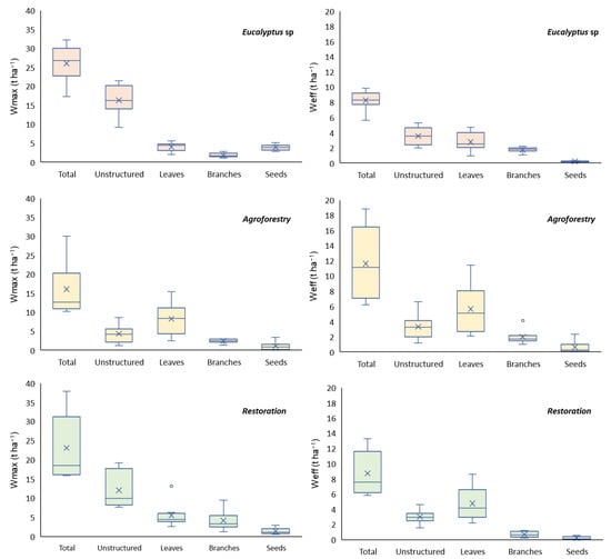
3.3. Hydrological Properties of Litter
3.4. Soil Physical Properties
4. Discussion
4.1. Hydrological Properties and Water Retention Capacity of Litter
4.2. Implications for Ecosystem Functioning
5. Conclusions
Author Contributions
Funding
Data Availability Statement
Conflicts of Interest
References
- Vasconcelos, S.S.; Zarin, D.J.; Araújo, M.M.; Rangel-Vasconcelos, L.G.T.; Carvalho, C.J.R.; Staudhammer, C.L.; Oliveira, F. de A. Effects of Seasonality, Litter Removal and Dry-Season Irrigation on Litterfall Quantity and Quality in Eastern Amazonian Forest Regrowth, Brazil. J. Trop. Ecol. 2008, 24, 27–38. [Google Scholar] [CrossRef]
- Giácomo, R.G.; Alves, M.C.; Camara, R.; Pereira, M.G.; de Arruda, O.G.; Souto, S.N.; de Moraes, M.L.T. Litterfall and Nutrient Input in a Degraded Area. Floresta E Ambiente 2017, 24, e20160028. [Google Scholar] [CrossRef][Green Version]
- Martius, C.; Höfer, H.; Garcia, M.V.B.; Römbke, J.; Hanagarth, W. Litter Fall, Litter Stocks and Decomposition Rates in Rainforest and Agroforestry Sites in Central Amazonia. Nutr. Cycl. Agroecosyst. 2004, 68, 137–154. [Google Scholar] [CrossRef]
- Pereira, L.C.; Balbinot, L.; Lima, M.T.; Bramorski, J.; Tonello, K.C. Aspects of Forest Restoration and Hydrology: The Hydrological Function of Litter. J. For. Res. 2021, 33, 543–552. [Google Scholar] [CrossRef]
- Lima, J.A.; Tonello, K.C. Rainfall Partitioning in Amazon Forest: Implications of Reduced Impact Logging on Litter Water Conservation. Hydrology 2023, 10, 97. [Google Scholar] [CrossRef]
- Su, S.; Liu, X. The Water Storage Function of Litters and Soil in Five Typical Plantations in the Northern and Southern Mountains of Lanzhou, Northwest China. Sustainability 2022, 14, 8231. [Google Scholar] [CrossRef]
- Li, W.; Li, Y.; Long, M.; Li, X. Study on Water-Holding Properties of Litters in Different Types of Forests of Yuntaishan Mountain Area in Shibing County, Guizhou Province. In IOP Conference Series: Materials Science and Engineering; Institute of Physics Publishing: Bristol, UK, 2018; Volume 394. [Google Scholar]
- Xia, L.; Song, X.; Fu, N.; Cui, S.; Li, L.; Li, H.; Li, Y. Effects of Forest Litter Cover on Hydrological Response of Hillslopes in the Loess Plateau of China. Catena 2019, 181, 104076. [Google Scholar] [CrossRef]
- Tu, Z.; Chen, S.; Ruan, D.; Chen, Z.; Huang, Y.; Chen, J. Differential Hydrological Properties of Forest Litter Layers in Artificial Afforestation of Eroded Areas of Latosol in China. Sustainability 2022, 14, 14869. [Google Scholar] [CrossRef]
- Santos, A.F.A.; Carneiro, A.C.P.; Martinez, D.T.; Caldeira, S.F. Capacidade de Retenção Hídrica Do Estoque de Serapilheira de Eucalipto. Floresta E Ambiente 2017, 24, e20150303. [Google Scholar] [CrossRef]
- Throop, H.L.; Abu Salem, M.; Whitford, W.G. Fire Enhances Litter Decomposition and Reduces Vegetation Cover Influences on Decomposition in a Dry Woodland. Plant Ecol. 2017, 218, 799–811. [Google Scholar] [CrossRef]
- Bryanin, S.; Kondratova, A.; Abramova, E. Litter Decomposition and Nutrient Dynamics in Fire-Affected Larch Forests in the Russian Far East. Forests 2020, 11, 882. [Google Scholar] [CrossRef]
- Bomfim, B.; Silva, L.C.R.; Pereira, R.S.; Gatto, A.; Emmert, F.; Higuchi, N. Litter and Soil Biogeochemical Parameters as Indicators of Sustainable Logging in Central Amazonia. Sci. Total Environ. 2020, 714, 136780. [Google Scholar] [CrossRef] [PubMed]
- Watanabe, T.; Fukuzawa, K.; Shibata, H. Temporal Changes in Litterfall, Litter Decomposition and Their Chemical Composition in Sasa Dwarf Bamboo in a Natural Forest Ecosystem of Northern Japan. J. For. Res. 2013, 18, 129–138. [Google Scholar] [CrossRef]
- Zhu, X.; Liu, W.; Chen, H.; Deng, Y.; Chen, C.; Zeng, H. Effects of Forest Transition on Litterfall, Standing Litter and Related Nutrient Returns: Implications for Forest Management in Tropical China. Geoderma 2019, 333, 123–134. [Google Scholar] [CrossRef]
- Horodecki, P.; Nowiński, M.; Jagodziński, A.M. Advantages of Mixed Tree Stands in Restoration of Upper Soil Layers on Postmining Sites: A Five-Year Leaf Litter Decomposition Experiment. Land Degrad. Dev. 2019, 30, 3–13. [Google Scholar] [CrossRef]
- Ge, X.; Zeng, L.; Xiao, W.; Huang, Z.; Geng, X.; Tan, B. Effect of Litter Substrate Quality and Soil Nutrients on Forest Litter Decomposition: A Review. Acta Ecol. Sin. 2013, 33, 102–108. [Google Scholar] [CrossRef]
- Tonello, K.C.; Pereira, L.C.; Balbinot, L.; Nnadi, E.O.; Mosleh, M.H.; Bramorski, J. Patterns of Litter and Nutrient Return to the Soil during Passive Restoration in Cerrado, Brazil. Biologia 2023, 78, 399–414. [Google Scholar] [CrossRef]
- Peng, Y.; Vesterdal, L.; Peñuelas, J.; Peguero, G.; Wu, Q.; Heděnec, P.; Yue, K.; Wu, F. Soil Fauna Effects on Litter Decomposition Are Better Predicted by Fauna Communities within Litterbags than by Ambient Soil Fauna Communities. Plant Soil 2023, 487, 49–59. [Google Scholar] [CrossRef]
- Yue, K.; De Frenne, P.; Van Meerbeek, K.; Ferreira, V.; Fornara, D.A.; Wu, Q.; Ni, X.; Peng, Y.; Wang, D.; Heděnec, P.; et al. Litter Quality and Stream Physicochemical Properties Drive Global Invertebrate Effects on Instream Litter Decomposition. Biol. Rev. 2022, 97, 2023–2038. [Google Scholar] [CrossRef]
- Neris, J.; Tejedor, M.; Rodríguez, M.; Fuentes, J.; Jiménez, C. Effect of Forest Floor Characteristics on Water Repellency, Infiltration, Runoff and Soil Loss in Andisols of Tenerife (Canary Islands, Spain). Catena 2013, 108, 50–57. [Google Scholar] [CrossRef]
- Chen, S.; Cao, T.; Tanaka, N.; Gao, T.; Zhu, L.; Zou, C.B. Hydrological Properties of Litter Layers in Mixed Forests in Mt. Qinling, China. IForest 2018, 11, 243–250. [Google Scholar] [CrossRef]
- Cheng, J.D.; Lin, J.P.; Lu, S.Y.; Huang, L.S.; Wu, H.L. Hydrological Characteristics of Betel Nut Plantations on Slopelands in Central Taiwan. Hydrol. Sci. J. 2008, 53, 1208–1220. [Google Scholar] [CrossRef]
- Xie, J.; Su, D. Water-Holding Characteristics of Litter in Meadow Steppes with Different Years of Fencing in Inner Mongolia, China. Water 2020, 12, 2374. [Google Scholar] [CrossRef]
- Bai, Y.; Zhou, Y.; Du, J.; Zhang, X.; Di, N. Effects of a Broadleaf-Oriented Transformation of Coniferous Plantations on the Hydrological Characteristics of Litter Layers in Subtropical China. Glob. Ecol. Conserv. 2021, 25, e01400. [Google Scholar] [CrossRef]
- Tonello, K.C.; Van Stan, J.T.; Rosa, A.G.; Balbinot, L.; Pereira, L.C.; Bramorski, J. Stemflow Variability across Tree Stem and Canopy Traits in the Brazilian Cerrado. Agric. For. Meteorol. 2021, 308–309, 108551. [Google Scholar] [CrossRef]
- Tonello, K.C.; Rosa, A.G.; Pereira, L.C.; Matus, G.N.; Guandique, M.E.G.; Navarrete, A.A. Rainfall Partitioning in the Cerrado and Its Influence on Net Rainfall Nutrient Fluxes. Agric. For. Meteorol. 2021, 303, 108372. [Google Scholar] [CrossRef]
- Van Stan, J.T.; Gutmann, E.; Friesen, J. Precipitation Partitioning by Vegetation: A Global Synthesis; Springer International Publishing: Berlin/Heidelberg, Germany, 2020; ISBN 9783030297022. [Google Scholar]
- Lima, J.; Tonello, K.C. Rainfall Partitioning in Amazon Forest: Implications of Reduced Impact Logging for Hydrological Processes. Agric. For. Meteorol. 2023, 327, 109505. [Google Scholar] [CrossRef]
- Van Stan, J.T.; Coenders-Gerrits, M.; Dibble, M.; Bogeholz, P.; Norman, Z. Effects of Phenology and Meteorological Disturbance on Litter Rainfall Interception for a Pinus Elliottii Stand in the Southeastern United States. Hydrol. Process. 2017, 31, 3719–3728. [Google Scholar] [CrossRef]
- Acharya, B.S.; Stebler, E.; Zou, C.B. Monitoring Litter Interception of Rainfall Using Leaf Wetness Sensor under Controlled and Field Conditions. Hydrol. Process. 2017, 31, 240–249. [Google Scholar] [CrossRef]
- Melissa, K.; Dickow, C.; Marques, R.; Pinto, C.B.; Höfer, H. Produção de Serapilheira Em Diferentes Fases Sucessionais de Uma Floresta Subtropical Secundária, Em Antonina, PR. Cerne 2011, 18, 75–86. [Google Scholar]
- Winkler, J.P.; Negreiros, A.B. A Serrapilheira Como Bioindicador de Qualidade Ambiental Em Fragmentos de Eucalyptus. Rev. Cont. (UFRRJ) 2018, 7, 175–202. [Google Scholar] [CrossRef]
- Floriancic, M.G.; Allen, S.T.; Meier, R.; Truniger, L.; Kirchner, J.W.; Molnar, P. Potential for Significant Precipitation Cycling by Forest-Floor Litter and Deadwood. Ecohydrology 2022, 16, e2493. [Google Scholar] [CrossRef]
- Zagyvai-Kiss, K.A.; Kalicz, P.; Szilágyi, J.; Gribovszki, Z. On the Specific Water Holding Capacity of Litter for Three Forest Ecosystems in the Eastern Foothills of the Alps. Agric. For. Meteorol. 2019, 278, 107656. [Google Scholar] [CrossRef]
- Li, Y.; Li, B.; Zhang, X.; Chen, J.J.; Zhan, F.D.; Guo, X.H.; Zu, Y.Q. Differential Water and Soil Conservation Capacity and Associated Processes in Four Forest Ecosystems in Dianchi Watershed, Yunnan Province, China. J. Soil Water Conserv. 2015, 70, 198–206. [Google Scholar] [CrossRef]
- Dubreuil, V.; Fante, K.P.; Planchon, O.; Sant’Anna Neto, J.L. Climate Change Evidence in Brazil from Köppen’s Climate Annual Types Frequency. Int. J. Climatol. 2019, 39, 1446–1456. [Google Scholar] [CrossRef]
- Pinheiro, R.C.; Tonello, K.C.; Valente, R.O.A.; Mingoti, R.; Santos, I.P. Occupation and Hydrologic Characterization of Ipaneminha Watershed, Sorocaba-SP. IRRIGA 2011, 16, 234. [Google Scholar] [CrossRef][Green Version]
- Lima, M.T.; Urso-Guimarães, M.V.; Van Stan, J.T.; Tonello, K.C. Stemflow Metazoan Transport from Common Urban Tree Species (São Paulo, Brazil). Ecohydrology 2023, 16, e2517. [Google Scholar] [CrossRef]
- Oliveira, J.B.; Camargo, M.N.; Rossi, M.; Calderano Filho, B. Solos Do Estado de São: Descrição Das Classes Registradas No Mapa Pedológico; Embrapa Solos: Rio de Janeiro, Brazil; Instituto Agronômico: Campinas, Brazil, 1999. [Google Scholar]
- Lloyd, C.R.; Marques, A.O. Spatial Variability of Throughfall and Stemflow Measurements in Amazonian Rainforest. Agric. For. Meteorol. 1988, 42, 73. [Google Scholar] [CrossRef]
- Zhou, Q.; Keith, D.M.; Zhou, X.; Cai, M.; Cui, X.; Wei, X.; Luo, Y. Comparing the Water-Holding Characteristics of Broadleaved, Coniferous, and Mixed Forest Litter Layers in a Karst Region. Mt. Res. Dev. 2018, 38, 220–229. [Google Scholar] [CrossRef]
- Ayres, M.; Ayres, M., Jr.; Ayres, D.L.; Santos, A.A. Bioestat 5.0 Aplicações Estatísticas Nas Áreas Das Ciências Biológicas e Médicas; IDSM: Belém, Brazil, 2007. [Google Scholar]
- Cui, Y.; Pan, C.; Zhang, G.; Sun, Z.; Wang, F. Effects of Litter Mass on Throughfall Partitioning in a Pinus Tabulaeformis Plantation on the Loess Plateau, China. Agric. For. Meteorol. 2022, 318, 108908. [Google Scholar] [CrossRef]
- Zhu, H.; Wang, G.; Yinglan, A.; Liu, T. Ecohydrological Effects of Litter Cover on the Hillslope-Scale Infiltration-Runoff Patterns for Layered Soil in Forest Ecosystem. Ecol. Eng. 2020, 155, 105930. [Google Scholar] [CrossRef]
- Souza, J.A.; Davide, A.C. Decomposição de Serapilheira e Nutrientes Em Uma Mata Não Minerada e Em Plantações de Bracatinga (Mimosa Scabrella) e de Eucalipto (Eucalyptus Saligna) Em Áreas de Mineração de Bauxita. Cerne 2001, 7, 101–113. [Google Scholar]
- Balieiro, F.D.C.; Franco, A.A.; Pereira, M.G.; Campello, E.F.C.; Dias, L.E.; de Faria, S.M.; Alves, B.J.R. Dinâmica Da Serapilheira e Transferência de Nitrogênio Ao Solo, Em Plantios de Pseudosamanea Guachapele e Eucalyptus Grandis. Pesqui. Agropecuária Bras. 2004, 39, 597–601. [Google Scholar] [CrossRef]
- Melos, A.R.; Sato, A.M.; Coelho Netto, A.L. Produção, Estoque e Retenção Hídrica Da Serrapilheira Em Encosta Sob Plantio de Híbridos de Eucalyptus Urophylla e Eucalyptus Grandis: Médio Vale Do Rio Paraíba Do Sul. Anuário Do Inst. De Geociências 2010, 33, 66–73. [Google Scholar] [CrossRef]
- Pereira, M.G.; Menezes, L.F.T.; Schultz, N. Aporte e Decomposição Da Serapilheira Na Floresta Atlântica, Ilha Da Marambaia, Mangaratiba, RJ. Ciência Florest. 2008, 18, 443–454. [Google Scholar] [CrossRef]
- Pires, L.A.; Miranda De Britez, R.; Martel, G.; Pagano, S.N. Produção, Acúmulo e Decomposição Da Serapilheira Em Uma Restinga Da Ilha Do Mel, Paranaguá, PR, Brasil. Acta Bot. Bras. 2006, 20, 173–184. [Google Scholar] [CrossRef]
- Santos, F.M.; Chaer, G.M.; Diniz, A.R.; Balieiro, F.C. Nutrient Cycling over Five Years of Mixed-Species Plantations of Eucalyptus and Acacia on a Sandy Tropical Soil. For. Ecol. Manag. 2017, 384, 110–121. [Google Scholar] [CrossRef]
- Mateus, F.A.; Couto Miranda, C.; Valcarcel, R.; Figueiredo, P.H.A. Estoque e Capacidade de Retenção Hídrica Da Serrapilheira Acumulada Na Restauração Florestal de Áreas Perturbadas Na Mata Atlântica. Floresta E Ambiente 2013, 20, 336–343. [Google Scholar] [CrossRef]
- Rahman, M.M.; Tsukamoto, J.; Rahman, M.M.; Yoneyama, A.; Mostafa, K.M. Lignin and Its Effects on Litter Decomposition in Forest Ecosystems. Chem. Ecol. 2013, 29, 540–553. [Google Scholar] [CrossRef]
- Vogelmann, E.S.; Prevedello, J.; Reichert, J.M. Origem Dos Compostos Hidrofóbicos e Seus Efeitos Em Florestas de Pinus e Eucalyptus. Ciência Florest. 2015, 25, 1067–1079. [Google Scholar] [CrossRef]
- Tonello, K.C.; Campos, S.D.; de Menezes, A.J.; Bramorski, J.; Mathias, S.L.; Lima, M.T. How Is Bark Absorbability and Wettability Related to Stemflow Yield? Observations From Isolated Trees in the Brazilian Cerrado. Front. For. Glob. Chang. 2021, 4, 650665. [Google Scholar] [CrossRef]
- Cunha, G.M.; Costa, G.S.; Gama-Rodrigues, A.C. Litter Stock and Quality in Eucalyptus Grandis in Northern Rio de Janeiro State, Brazil. Floresta E Ambiente 2020, 27, e20180129. [Google Scholar] [CrossRef]
- Ma, X.; Chen, J.; Zhu, J.; Yan, N. Lignin-Based Polyurethane: Recent Advances and Future Perspectives. Macromol. Rapid Commun. 2021, 42, 2000492. [Google Scholar] [CrossRef] [PubMed]
- Meena, R.S.; Lal, R.; Yadav, G.S. Long-Term Impacts of Topsoil Depth and Amendments on Soil Physical and Hydrological Properties of an Alfisol in Central Ohio, USA. Geoderma 2020, 363, 114164. [Google Scholar] [CrossRef]
- Haruna, S.I.; Anderson, S.H.; Udawatta, R.P.; Gantzer, C.J.; Phillips, N.C.; Cui, S.; Gao, Y. Improving Soil Physical Properties through the Use of Cover Crops: A Review. Agrosystems Geosci. Environ. 2020, 3, e20105. [Google Scholar] [CrossRef]
- Wei, Y.; Wu, X.; Xia, J.; Miller, G.A.; Cai, C.; Guo, Z.; Arash, H. The Effect of Water Content on the Shear Strength Characteristics of Granitic Soils in South China. Soil Tillage Res. 2019, 187, 50–59. [Google Scholar] [CrossRef]
- Tu, Z.; Chen, S.; Chen, Z.; Ruan, D.; Zhang, W.; Han, Y.; Han, L.; Wang, K.; Huang, Y.; Chen, J. Hydrological Properties of Soil and Litter Layers of Four Forest Types Restored in the Gully Erosion Area of Latosol in South China. Forests 2023, 14, 360. [Google Scholar] [CrossRef]
- Biao, Z.; Wenhua, L.; Gaodi, X.; Yu, X. Water Conservation of Forest Ecosystem in Beijing and Its Value. Ecol. Econ. 2010, 69, 1416–1426. [Google Scholar] [CrossRef]





| Information | Eucalyptus sp. (EU) | Agroforest (AF) | Restoration Forest (RF) |
|---|---|---|---|
| Density [trees ha−1] | 1667 | 1250 | 1667 |
| Management | 3 × 2 m planting system. Established in 2014. | Trees on 4 × 2 m, with Musa spp. (Banana) and leguminous species between rows. Exotic species controlled through weeding. Established in 2014. | 3 × 2 m planting system. Established in 2010. |
| Diameter at breast height [m] | 13.5 ± 0.1 | 14.6 ± 1.5 | 13.8 ± 2.6 |
| Height [m] | 21.5 ± 0.3 | 8.2 ± 0.2 | 10.3 ± 0.1 |
| Litter thickness [cm] | 1.3 ± 0.1 | 2.0 ± 0.1 | 1.5 ± 0.1 |
| Slope aspect | N-NW | N-NW | N-NW |
| Slope (°) | 10.0% | 10.3% | 10.2% |
| Indicator | Description | Equation |
|---|---|---|
| Water holding capacity [WHC, %] | is the amount of water that can be preserved in litter | |
| Effective water holding capacity [EWC, %] | is the water holding capacity of litter under ambient conditions [5,9] | |
| Effective water retention capacity [Weff, t ha−1] | is the maximum amount of rainwater that can be retained by the litter layer in the forest in the natural field environment. Is numerically smaller than water retention capacity [42] | M = is the unit litter mass, t ha−1 |
| Maximum water retention capacity [Wmax, t ha−1] | is the maximum amount of water that can be retained after removing the amount of water contained in the litter under normal conditions [42] | M = is the unit litter mass, t ha−1 |
| Stand | Total | Unstructured | Leaves | Branches | Seeds |
|---|---|---|---|---|---|
| Water holding capacity [WHC, %] | |||||
| Eucalyptus sp. | 164 ± 6.8 a | 228 ±16 a | 193 ± 28 a | 94 ± 3.8 a | 141 ± 8 a |
| Agroforest | 218 ± 12 b | 222 ± 20 a | 272 ± 32 b | 200 ± 19 b | 179 ± 15 b |
| Restoration | 212 ±14 b | 220 ± 18 a | 265 ± 15 b | 160 ± 24 c | 204 ± 39 b |
| Effective water holding capacity [EWC, %] | |||||
| Eucalyptus sp. | 23 ± 3 a | 25 ± 4 a | 26 ± 2 a | 17 ± 2 a | 24 ± 2 a |
| Agroforest | 25 ± 3 ab | 25 ± 3 a | 28 ± 3 a | 28 ± 2 b | 27 ± 2 a |
| Restoration | 34 ± 4 b | 34 ± 5 a | 33 ± 3 a | 35 ± 3 b | 36 ± 3 a |
Disclaimer/Publisher’s Note: The statements, opinions and data contained in all publications are solely those of the individual author(s) and contributor(s) and not of MDPI and/or the editor(s). MDPI and/or the editor(s) disclaim responsibility for any injury to people or property resulting from any ideas, methods, instructions or products referred to in the content. |
© 2023 by the authors. Licensee MDPI, Basel, Switzerland. This article is an open access article distributed under the terms and conditions of the Creative Commons Attribution (CC BY) license (https://creativecommons.org/licenses/by/4.0/).
Share and Cite
Castagnolli, L.; Boggiani, F.S.; Lima, J.A.d.; Lima, M.T.; Tonello, K.C. Hydrological Properties of Litter in Different Vegetation Types: Implications for Ecosystem Functioning. Hydrology 2023, 10, 165. https://doi.org/10.3390/hydrology10080165
Castagnolli L, Boggiani FS, Lima JAd, Lima MT, Tonello KC. Hydrological Properties of Litter in Different Vegetation Types: Implications for Ecosystem Functioning. Hydrology. 2023; 10(8):165. https://doi.org/10.3390/hydrology10080165
Chicago/Turabian StyleCastagnolli, Lara, Fernando Santos Boggiani, Jeferson Alberto de Lima, Marcelle Teodoro Lima, and Kelly Cristina Tonello. 2023. "Hydrological Properties of Litter in Different Vegetation Types: Implications for Ecosystem Functioning" Hydrology 10, no. 8: 165. https://doi.org/10.3390/hydrology10080165
APA StyleCastagnolli, L., Boggiani, F. S., Lima, J. A. d., Lima, M. T., & Tonello, K. C. (2023). Hydrological Properties of Litter in Different Vegetation Types: Implications for Ecosystem Functioning. Hydrology, 10(8), 165. https://doi.org/10.3390/hydrology10080165

