Next Article in Journal
CFD Simulation of High Gas Flow Rate in Large-Scale Rotating Packed Beds
Previous Article in Journal
Optimizing Wastewater Treatment Reactor Design Using Computational Fluid Dynamics: Impact of Geometrical Parameters on Residence Time and Pollutant Degradation
 
 
Font Type:
Arial Georgia Verdana
Font Size:
Aa Aa Aa
Line Spacing:
Column Width:
Background:
Article

Modeling of Hydrodynamics of Agglomeration of Low-Grade Phosphorites in the Presence of Phosphate-Siliceous Shales and Oil Sludge

by
Saltanat Tleuova
1,
Zhunisbek Turishbekov
1,
Ayaulym Tileuberdi
2,*,
Dana Pazylova
3,*,
Iskandarbek Iristaev
4,
Mariyam Ulbekova
1 and
Nurila Sagindikova
1
1
Department of Chemical Engineering and Biotechnology, M. Auezov South Kazakhstan University, Shymkent 160012, Kazakhstan
2
Department of Ecology, M. Auezov South Kazakhstan University, Shymkent 160012, Kazakhstan
3
Department of Physics, M. Auezov South Kazakhstan University, Shymkent 160012, Kazakhstan
4
Research Laboratory “Multiphysical Modeling of Structures, Devices and Processes”, Shymkent 160012, Kazakhstan
*
Authors to whom correspondence should be addressed.
ChemEngineering 2025, 9(6), 125; https://doi.org/10.3390/chemengineering9060125
Submission received: 15 August 2025 / Revised: 24 October 2025 / Accepted: 3 November 2025 / Published: 7 November 2025

Abstract

The purpose of this study is to develop a multiphysical model of agglomeration of low-grade phosphorites with the addition of phosphate-siliceous shales and oil sludge. To achieve these tasks, a numerical approach was used in the COMSOL Multiphysics environment, based on solving the related problems of heat transfer and hydrodynamics during heat treatment of the material. A laboratory vertical tubular furnace made of heat-resistant quartz glass with electric heating was used to study the effect of the temperature field and the velocity of gases on the degree of sintering and the dynamics of phosphorous agglomerate formation under various technological conditions. It has been established that the optimal temperature for the agglomeration process is a layer temperature of 950–1000 °C at a gas flow rate of 1.5–2 m/s, which ensures the formation of durable granules and minimizes sintering heterogeneity. The maximum sintering layer height of the test charge reaches 210–230 mm at pressures of 0.015–0.027 MPa. A comparison of the numerical simulation results with experimental data showed a good agreement, which confirms the practical significance of the proposed model for the design and optimization of industrial processes of agglomeration of phosphorous raw materials. Modern physical and chemical analyses have established the phase, microstructural, and element-by-element characteristics of the studied phosphate-siliceous shale and the product of agglomeration firing. The results of modeling the hydrodynamics of the charge agglomeration process can be recommended to increase the efficiency of processing phosphate-containing waste and reduce energy consumption.

1. Introduction

The main raw material resource for the production of phosphorus and its compounds, as well as a wide range of fertilizers in the Republic of Kazakhstan is one of the largest in the world, the Karatau phosphorous basin with a total reserve of about 3.5 billion tons [1,2,3,4,5,6,7,8,9].
In Central Asia and Europe, Kazakhstan is the main producer and supplier of pure phosphorus to countries such as the Czech Republic, Poland, Switzerland, England, Italy, and almost all European companies that consume phosphorus, its acids, and various salts. In addition, the phosphorous-containing mineral fertilizers produced are in high demand in the markets of Asian and Arab states [10,11,12,13,14,15,16,17].
The production of phosphorus by electrothermal method meets the requirements for obtaining a high-frequency final product (99.5%). At the same time, the regenerative process is characterized by high energy consumption [18,19].
The authors presented the results of mathematical modeling of the firing of phosphorite pellets in a dense moving layer [20,21,22]. The research reflects the reaction-heat treatment of pellets on a belt roasting machine. A one-dimensional model of a layer with heat exchange between a solid material (pellets) and a gas fraction is proposed. The thermal balance equations took into account the thermal conductivity of particles with sources of endothermic decomposition of carbonates and convective heat transfer by a gaseous coolant. The authors analyzed the calculated temperatures and compositions of the gas, the degree of decarbonization to determine the optimal firing mode. The methodological significance of the work lies in the complex coupling of heat and mass transfer and chemical processes within the framework of a single pellet layer model, which is important for designing energy-efficient modes of agglomeration of low-grade phosphorite.
Panchenko et al. [23] proposed a mathematical model of heat and mass transfer in a homogeneous layer of a phosphorite mixture during sintering. The object was a continuous layer of a mixture of pellets with a distributed coke content, through which a gas coolant is pumped. The boundary conditions are set by the initial values of temperature, layer, pressure, fuel and moisture fractions. The material parameters (density, heat capacity and thermal conductivity of the material, porosity of the layer, rate of chemical reactions, thermal emission reactions, coefficients of heat/mass transfer) were selected based on experimental data. Calculations have shown that by controlling the gas supply, temperature, and flow velocity, it is possible to dramatically change the acceleration time of the layer. The model took into account the granulometric composition of the mixture, the processes of moisture evaporation and fuel burnout, which is typical of a real multicomponent agglomeration of phosphorites with admixtures of siliceous shales and oil sludge. Thus, the results of the work of Panchenko et al. can be applied to the assessment of agglomeration modes of low-grade phosphorite.
Hollander et al. [24] carried out a numerical study of the effect of turbulent flow on the agglomeration of microparticles in a continuous flow. The mathematical model is designed as a multiphysical relationship between hydrodynamics and population dynamics: the velocity field is calculated using the Lattis-Boltzmann (LBM) scheme. The boundary conditions are typical for an agglomeration flow with a given pressure gradient or constant velocity. The authors’ model made it possible to quantify the local turbulent flow structures with the efficiency of aggregate formation.
Rahmat et al. [25] developed a numerical Lagrange model of particle agglomeration during sedimentation (dehydration) of a suspension. Using the smoothed particle method (SPH), a model with specified masses, velocities, and densities is presented for the solid and viscous phases. Hydrodynamics is given by the Navier–Stokes equations in Lagrangian form. The results showed that with different combinations of energy, four main types of aggregates are formed during the interaction of particles—dispersed, “roller”, elongated spheroid, and almost equiaxed spheroid. This model demonstrates a flexible multiphysical combination of hydrodynamics and agglomeration.
The sintering of phosphorite concentrate from Leshan (China), a raw material for the production of phosphoric acid, was investigated; the concentrate was granulated in a two-stage rotating drum followed by sintering in a laboratory furnace [26]. The size of the granules and the permeability of the layer (P index) were evaluated, and during sintering—the yield of a durable product, weight loss, mechanical strength, and P2O5 content were evaluated during granulation. In the experiments, the carbon content (5–8% by weight) and the addition of SiO2 to regulate the acidity of SiO2/CaO were varied. It was revealed that the introduction of an additional quartz component improves granulation and regulates the size of granules and permeability. The result of sintering at about 7% carbon provides the maximum P2O5 content, slightly reduced at 8%. The addition of SiO2 reduces the yield and strength of the product.
However, the depletion of traditionally rich phosphorite deposits forces producers to actively involve poor and substandard ores in the production cycle, which requires environmentally oriented technologies for preparation and processing.
Taking into account the reduction in the supply of high-quality phosphorous lump ore, after the enrichment of the phosphorous concentrate, the need for an agglomeration process was established. In this regard, the authors investigated the mineralogy, granulation, and sintering of phosphorite ores from the Leshan deposit, China [27,28,29].
The results showed that an increase in the proportion of nucleating particles in phosphorite improved granulation results, while the addition of silicon dioxide had a negative effect on increasing the size of granules and the permeability of the layer. Adding 3% water to the concentrate, which contained approximately 8.3% free water, was optimal for a mixture without silicon dioxide, while adding 4% water was optimal for a mixture with silicon dioxide. The yield of durable agglomerate increased with an increase in the amount of carbon to 7%, but decreased with a further increase. The content of P2O5 in the agglomerate also corresponded to the same trend as the yield of the agglomerate.
More and more attention are being paid to involving poor ores and man-made waste in technological processes given the tendency to combine high-quality phosphate ores, [29,30].
Agglomeration of low-grade phosphorites using phosphate-siliceous shales and oil sludge is a promising way to expand the raw material base and waste disposal. Phosphate-siliceous shales, characterized by an increased content of SiO2 up to 46%, Al2O3 up to 4.5%, act as a fluxing additive, while oil sludge provides additional heat generation due to the combustion of carbon components [31].
The process modeling method was used in the COMSOL Multiphysics 6.1. environment to study the hydrodynamics and thermal characteristics of sintering. COMSOL Multiphysics is one of the leading platforms for engineering and scientific research, combining numerical methods, a wide library of application modules and tools for creating custom applications. This combination makes it a universal tool for solving problems in the fields of mechanics, electrical engineering, heat and mass transfer, chemical engineering and related disciplines [32,33].
The purpose of this research is to develop and investigate a three—dimensional multiphysical model of an agglomeration plant, analyzing the influence of key parameters on the distribution of velocity, pressure, temperature and height of the agglomerate layer. To achieve this goal, a laboratory vertical tubular furnace made of heat-resistant quartz glass with electric heating was used.
The scientific novelty of the study is that for the first time, a comprehensive multiphysical modeling of the hydrodynamics and heat transfer of the agglomeration process of low-grade phosphorites supplemented with phosphate-siliceous shales and oil sludge was carried out.
An important aspect of the novelty is the justification of the use of phosphate-siliceous shales and oil sludge as a fluxing and fuel material. These additives are also active structure-forming components that form the matrix of the phosphorous agglomerate.

2. Materials and Methods

2.1. Raw Materials and Parameters

Low-grade phosphorites from the Janatas deposit (Janatas city, Republic of Kazakhstan), with a content of P2O5—19–22%, and a proportion of carbonate minerals (mainly CaCO3) up to 52%, were used to simulate agglomeration firing. The main particle fraction is 5–10 mm.
Phosphate-siliceous shales of the Janatas deposit containing nonmetallic components SiO2, Al2O3 up to 50–51%. The particle size is also predominantly in the range of 5–10 mm. Oil sludge from the treatment facilities of the PetroKazakhstan Oil Products (Shymkent city, Republic of Kazakhstan) Oil Refinery, containing 10–15% water, 20–45% heavy hydrocarbons, up to 20–40% of the mineral part [21,30].

2.2. Methods

The analysis methods are based on an integrated approach, including physical and chemical analyses of phosphate-siliceous shale and oil sludge. The microstructure, element-wise composition, and quantitative phase composition were determined by X–ray fluorescence analysis ShimadzuIRPrestige-21 (Shimadzu, Kyoto, Japan) and a scanning electron microscope JEOL JSM–6490 LV (JEOL, Tokyo, Japan).
The degree of decarbonization of agglomeration firing was determined by the content of CO2 and moisture in the firing products according to known methods.
The determination of CO2 was carried out by weight, and the percentage of CO2 content was calculated using the Formula (1):
C O 2 = ( m 1 m 2 ) m 1 × 100 %
where m1 is the mass of the lime sample, g; m2 is the mass of the sample after firing.
The mass fraction of moisture X, %, is calculated by the Formula (2):
X = ( m 1 m 2 ) × 100 m
where m1 is the mass of the attachment with a bux before drying, g;
m2 is the mass of the attachment with a bux after drying, g;
m is the mass of the sample attachment, g.
The raw materials were prepared by grinding in a laboratory ball mill to a specific surface area of 3500, 4000 cm2/g. The granulation of raw materials was carried out on a plate granulator with the following technical characteristics:
the diameter of the plate is 1200 mm;
plate side height—600 mm;
the tilt angle of the bowl is 50°;
the rotation speed is 10 rpm.
The IR spectrum of the phosphate-siliceous Janatas shale shows the following characteristic absorption bands (Figure 1).
A wide band in the range of 3400–3700 cm−1 corresponds to the O–H waves stretching vibrations of hydroxyl and water molecules adsorbed in the interlayer and interstitial positions of the silicate mineral. Insignificant absorption bands in the range of 2569–2930 cm−1 indicate a low content of organic C–H groups. The 1454 cm−1 spectrum is characterized by δ(CO32−) deformation modulation of carbonate anions, which indicates an admixture of dolomite or calcite. The group of intense bands 1010–1058 cm−1 is caused by the asymmetric stretching of the Si–O–Si waves structural elements of silica. In the region 667–789 cm–1, Si–O–Al waves and Si–O–Si waves deformation vibrations of the aluminosilicate phase are detected. The low-frequency bands 475–585 cm−1 correspond to Si–O–Si deformations and possible fluctuations of Si–O–Mg, Si–O–Fe bonds. This distribution of bands clearly confirms the predominance of the silicate matrix with minor admixtures of carbonates and phosphates.
The spectrum of X-ray fluorescence (XRF) analysis of the phosphate-siliceous shale of the Janatas deposit shows a typical multicomponent emission pattern reflecting its complex mineralogical composition (Figure 2).
Intense fluorescence peaks relate to calcium: the main Ca Kα1 line was recorded at 3.690 keV, and its satellite Ca Kß at 4.012 keV. The intensity of these bands is twice as high as all other elements, which indicates the dominant content of calcium minerals, carbonates and phosphates. The next peaks in intensity are lines of phosphorus P Kα1 (~2.013 keV) and P Kß (~2.150 keV), which confirms the significant presence of phosphate phases. The distinct sharp lines of silicon: Si Ka1 at 1.740 keV and Si Kß at about 1.839 keV indicate the predominance of silica, quartz, and amorphous SiO2 in the rock. Along with silicon, aluminum Al Ka1 (1.486 keV) and Al Kß (1.557 keV) characterize the admixture of clay aluminosilicates. The less intense peak activity of transition metals: iron Fe Ka1 (6.404 keV) and Fe Kß (7.058 keV), indicates the presence of siderite and hematite impurities in the structure. The less pronounced lines of the metallic components indicate small inclusions of these elements in the form of latent oxides.
In general, the XRF spectrum confirms that the phosphate-siliceous Janatas shale is a silicate-phosphate aggregate with a predominance of calcium-phosphate and silica phases, with a low content of aluminosilicates and ferruginous inclusions. This qualitative distribution reflects the typical geochemical profile of technogenic phosphate-siliceous rocks of this deposit and allows us to recommend it for optimizing agglomeration processes.
Phosphoric fines and phosphate-siliceous shale fractions of 5–10 mm are used for agglomeration firing. As a result of firing at a gas flow rate of 1.2–2 m/ s, an agglomeration sinter with a temperature of 980–1000 °C is formed, which is subsequently cooled with cold air and crushed to a usable fraction of 10–20 mm. This fraction is sent to the electric furnace. Fractions of less than 5 mm are sent as a concentrate to the sintering machine.
As the granules of the desired fraction (10–20 mm) were formed, they were unloaded, dispersed into fractions, and the yield of each fraction was determined by volume and weight. The raw granules must have the required strength so that they do not collapse during transportation and installation on the grates of the sintering machine. Therefore, the quality of raw pellets was assessed by strength at the maximum drop height and by the number of drops on a metal plate from a height of 300 mm. The impact strength of the raw granules was determined by the number of granules falling from a height of 300 mm onto a metal plate, at which the first crack appeared. The maximum drop height was determined by dropping pellets from different heights onto a metal plate. The maximum height of the fall was taken to be the height from which no more than two out of ten pellets are destroyed.
Experimental studies of agglomeration roasting using poor phosphate ores, phosphate-siliceous shales and processing waste were carried out depending on the temperature, duration and composition of the charge.

2.3. Description of the Equipment Design

In the present study, a laboratory sintering furnace of vertical tin with a cylindrical body was considered, designed for thermal sintering of low-grade phosphate charges.
Structurally, the device is a vertical tubular reactor made of heat-resistant quartz glass, with electric heating around the circumference (Figure 3). This type of installation is used to study the thermophysical characteristics of a charge, control temperature distribution, and evaluate the effectiveness of heat transfer and gas filtration processes through a porous layer.
The furnace operates on the principle of contact heating of the reactor walls, followed by heating of a porous layer of solid material due to thermal conductivity and convection. Heating is carried out using silite heating elements located around the perimeter of the housing.
The inner chamber of the reactor has a diameter of 100 mm and a height of 500 mm. The porous layer of the agglomerated material is laid inside the reactor in the form of a fixed layer 250–300 mm high. The raw material used is a phosphate charge with additives of oil sludge and siliceous phosphate shale, characterized by high porosity and particle size after firing. During heating of the material, partial melting and sintering occurs, accompanied by a decrease in gas permeability.
This furnace design is a model analog of real agglomeration plants, adapted for laboratory research and numerical modeling. Geometric simplicity while maintaining key physical processes makes it convenient to implement in the comsol software environment and analyze the influence of parameters on the efficiency of heat and mass transfer and the formation of the sintering zone.

2.4. Setting the Simulation Parameters

In the simulation, the porous layer was described using empirical parameters. The permeability of the layer was 1 × 10−6 m2, the porosity of the layer was chosen 0.26, the diameter of the phosphorite granules was in the range of 8–10 mm. The height of the porous material layer is 250–300 mm.
The gas stream is fed into the reactor at a temperature of 20 °C and speeds of 1–2 m/s. The inlet pressure varied between 0.01 and 0.03 MPa. The reactor walls were set at a constant temperature of 1250 °C, and a zero-pressure condition was set at the reactor outlet. In this way, gas filtration through the material layer is achieved, similar to industrial agglomeration.

2.5. Setting up the Model Grid

For numerical simulation in the Comsol Multiphysics software environment, a three-dimensional tetrahedral computational grid was used, built in the mesh module using the cisco—controlled mesh automatic configuration. The grid size of the normal level was chosen as the main parameter, ensuring a balanced ratio between the accuracy of calculations and their computational cost (Figure 4).
Calculations were performed using three variants to verify the results obtained from the size of the finite element grid: coarse, normal, and fine.
As can be seen from Table 1, when switching from the normal grid to the finer fine grid, the change in the main parameters (average gas velocity, maximum temperature and pressure drop) does not exceed 2%. Thus, choosing a normal grid ensures sufficient accuracy.
In the key areas: the gas inlet, the contact area with the porous layer and the reactor walls, the program automatically reduced the size of the elements in order to more accurately describe the change in speed and temperature. This approach made it possible to maintain high accuracy in important areas of the model without having to make the entire grid too small. Table 2 shows the selected values of the model grid.
The simulation results changed slightly when the cell size was reduced at several control points, which indicates the convergence of the numerical solution and the absence of dependence on the grid. Thus, the discretization used made it possible to achieve a balance between calculation accuracy and performance while maintaining the reliability of the results.

2.6. Mathematical Description

Numerical investigation of hydrodynamic and thermophysical processes occurring during agglomeration firing of low-grade phosphorous raw materials using a vertical tubular furnace. The COMSOL Multiphysics environment was used for numerical implementation. The porous structure of the charge layer is described by the Darcy–Brinkman filtration Equation (3), which takes into account the viscous and inertial effects characteristic of real technological conditions of agglomeration.
The Darcy–Brinkman equation was used to describe the hydrodynamics of gas in the porous medium of the charge layer:
ρ u t + ρ ε u · u = p + μ e f f 2 u μ k u
The continuity equation is presented in Formula (4):
ρ n=0
where ρ is the density of matter, kg/m3;
u is the velocity vector, m/s;
t is time (s);
ε is the porosity of the charge layer;
p is pressure, Pa;
µeff is the effective dynamic viscosity of the gas flow in a porous medium (Pa·s);
µ is the dynamic viscosity (Pa·s);
k is the permeability of the charge layer (m2).
The left side of the equation describes the inertial effects of the gas flow. The right-hand side takes into account the pressure gradient, viscous forces, and resistance of the porous medium.
The effective viscosity was calculated using the formula in the Darcy-Brinkman Equation (5):
μ e f f T , ε = μ g T ε
where μ g T —the viscosity of the gas phase, the porosity of the layer according to the experiment, ε = 0.40 ± 0.03.
For our conditions T = 1000 °C μ g μ g = 4.2 × 10 5   P a · s , μ e f f   μ e f f   = 1.06 × 10 4   P a · s .
The Reynolds number, which determines the gas flow regime in the apparatus, was found based on the boundary conditions of the model. Inside the porous layer, due to the high resistance and small pore size, the gas velocity decreases significantly, and the calculated value of the Reynolds number is less than 100. This makes it possible to classify the flow as laminar in the entire volume of the simulated area. This mode corresponds to the accepted physical conditions and justifies the use of the laminar flow interface without the need to take into account turbulence.
The heat transfer in the model was calculated using the heat transfer in porous media interface, which allows taking into account thermal conductivity and convective energy transfer in a porous material. Equation (6) includes the effective thermophysical properties of the medium, which depend on the porosity and phase distribution. External heat sources due to heating of the walls of the device are also taken into account.
ρ f C p , f u × T + × q = Q + Q p + Q v d
where pf is the density of a liquid or gas, kg/m3;
Cp,f is the specific heat at constant pressure, J/kg × K;
u is the velocity vector, m/s;
T is the change in the temperature of the substance, K;
× q—change of heat flow in space, W/m3;
Q—external heat source, W;
Qp is the heat inside the system as a result of combustion or chemical reaction, J.;
Qvd is the thermal energy associated with the phase transition of a substance that occurs during evaporation or condensation in a porous medium, J.
The assumption of local thermal equilibrium in Equation (6) is accepted because, under operating conditions of an agglomeration plant, heat exchange between the gas and solid phases occurs much faster than the transfer of mass and energy along the flow. The agglomerate particles are small in size, and the gas velocity ensures a high heat transfer coefficient. Therefore, the temperature of the gas and solid phases is almost the same, and one common temperature T can be used in the model.
Both interfaces are connected through the velocity field of the gas coming from below and passing through the porous loading. Thus, the model implements a multiphysical relationship between hydrodynamics and heat transfer, which makes it possible to reliably describe the distribution of temperature, pressure, and velocity inside the furnace’s working area. The calculations were carried out in steady-state mode, with the appropriate boundary conditions set at the inlet, outlet and walls of the reactor.
All the necessary physical dependencies (between velocity, viscosity, temperature, and density) are built into the Comsol platform and do not require manual input of equations.
The simulation was carried out in a stationary study, which is acceptable when analyzing steady-state sintering conditions and thermal equilibrium in the layer. The design area included both a gas phase and a solid porous medium combined using a multiphase interface.
The application of the Darcy–Brinkman equation is a scientifically sound and methodologically correct approach for numerical modeling of hydrodynamics and heat and mass transfer processes in porous media, in particular during agglomeration of low-grade phosphorites. This will significantly improve the accuracy and reliability of calculations, which is an important condition for designing and optimizing sintering technology on an industrial scale.

3. Results and Discussion

Based on the constructed model, the key parameters characterizing the flow and heat transfer in the volume of the sintering furnace were obtained. The results of hydrodynamics show that in the free zone before entering the charge layer, the flow velocity is evenly distributed and corresponds to the specified boundary conditions at the inlet.
Figure 5 shows the distribution of the gas velocity modulus in the cross-section of an agglomeration furnace. After entering the porous medium, there is a sharp decrease in the gas velocity caused by the resistance of the charge structure. The gas is filtered through the porous structure of the charge, and the velocity in the central part of the layer decreases to 0.01–0.03 m/s even at an inlet velocity of 1–2 m/s. The velocity increases as you move up in the height of the layer between 180 and 460 mm, reaching a local maximum in the upper part of the layer up to 260 mm due to the partial expansion of the channels and a decrease in resistance as you warm up (Figure 6).
Near the interface between the gas and porous zones, there are sharp changes in the velocity distribution curves, reflecting a physically justified shift flow mode.
The abrupt discontinuity observed in Figure 6 is associated with a change in gas velocity and resistance in the sintered material layer. As a result, the gap of the curves, depending on the velocity of the gas flow, characterizes the thickness of the sintered material corresponding to 200 mm by the difference in the boundaries of the gap.
Visualization of streamlines showed a uniform distribution of the flow without pronounced stagnation zones, which indicates good contact between the phases. The current lines are colored in the appropriate colors depending on the velocity of the gas flow. As can be seen from Figure 7, the gas flow is evenly distributed throughout the inner cavity of the reactor.
Figure 8 shows the pressure distribution over the reactor cross-section, which shows a clearly defined gradient inside the charge. The maximum pressure of up to 30 kPa is fixed at the entrance to the porous layer, after which it gradually decreases in the direction of exit to 5 kPa.
This is consistent with the classical laws of filtration flow and confirms the correctness of the choice of a mathematical model. The pressure profile is almost linear within the porous medium, with the exception of the initial section, where the transition from a free volume to a zone with increased resistance occurs.
As can be seen from Figure 8, there is a gradual decrease in gas pressure in the area up to 200 mm, which is caused by the laminar flow of gas in a free volume. Starting from 200 mm, there is a sharp pressure jump, which corresponds to the beginning of a porous medium. In the charge layer, the pressure change occurs linearly, which is consistent with the Darcy’s law flow model. This indicates the uniformity of the charge structure and a stable pressure gradient in the filtering medium.
In this case, the pressure drops increase in proportion to the initial inlet pressure, which confirms the laminar flow regime of the gas and is consistent with the theory of filtration resistance. When leaving the charge layer, a decrease in pressure is observed, which is associated with the release of gas from the porous medium into the medium with the least resistance.
With an increase in pressure from 0.01 to 0.03 MPa, an increase in the overall pressure gradient and deeper penetration of gas into the upper layers of the charge are observed. However, this reduces the uniformity of the velocity distribution over the cross-section, which can lead to local overheating and deterioration of the uniformity of sinterability (Figure 9).
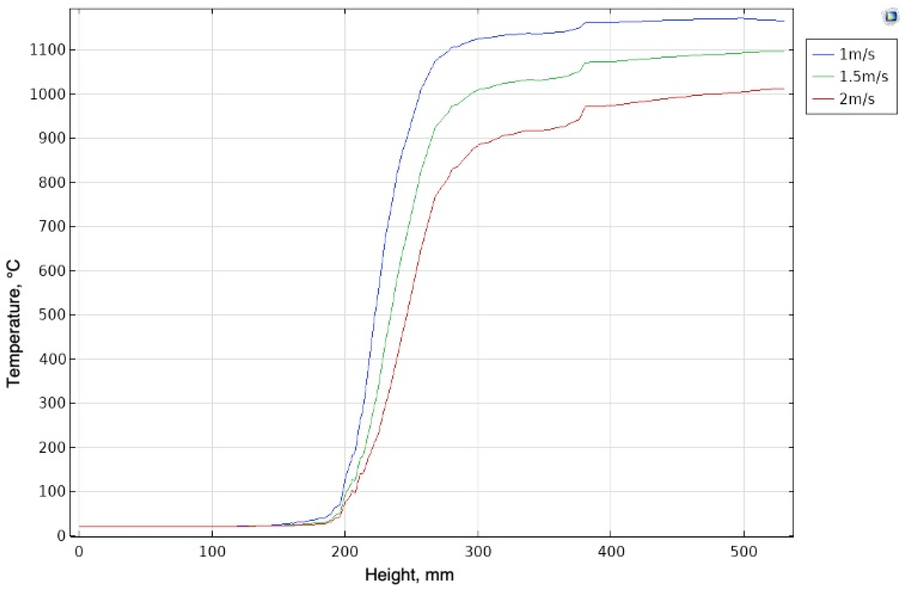
The temperature fields of the gas and solid layer reflect intense heat transfer from the heated walls to the center of the charge. As can be seen from Figure 10, when gas is supplied, its temperature begins to rise sharply when entering the charge layer to 400 °C and reaching a maximum of 1250 °C at the reactor outlet. The highest temperature values are recorded on the walls, while a delay in heating is observed in the center of the porous layer. This is due to both weak convection and low thermal conductivity of the agglomerated material.
In a layer of porous material, the gas temperature does not rise uniformly. As can be seen from the figure, the temperature in the center of the porous material is lower than in the areas close to the reactor wall.
Analysis of the data obtained showed that an increase in the gas flow velocity leads to an increase in the temperature in the charge layer, since more heat enters the porous space of the material.
The temperature efficiency of the sintering process was determined by the temperature inside the layer. At speeds above 1.5 m/s, temperatures up to 1100 °C are reached, but there is a decrease in the uniformity of heating.
The most optimal conditions are observed at a speed of 1 m/s: a uniform temperature distribution is achieved over the height of the layer, and a stable sinter zone is formed. When the pressure increases from 0.01 to 0.03 MPa, the height of the heated zone increases. This is due to deeper penetration of heat and improved gas filtration through the charge. Calculations show that at a pressure of 0.02–0.03 MPa, the active heating zone increases to 250 mm, which makes it possible to achieve more complete sinterability of the material (Figure 11).
Analysis of the gas permeability of the agglomeration charge showed that in the initial stage, the process is facilitated by high porosity and particle size. However, during heating and sintering, partial melting and compaction of the structure occurs. As a result, the filtration capacity of the layer decreases, which affects the gas outlet rate and the formation of a pressure gradient.
In addition to numerical modeling, laboratory measurements of the gas permeability of an agglomeration charge made of phosphorites with additives of siliceous phosphate shale and oil sludge were carried out. These data were used to verify the computational model and analyze changes in layer resistance during heat exchange.
The initial charge is characterized by high initial permeability due to the particle size and low bulk density (1.3–1.4 kg/m3). However, during the sintering process, there is a sharp decrease in the filtration capacity of the material. This is due to the thermal expansion of the particles, their cracking and partial melting, which leads to the formation of a finely porous structure with discontinuous channels. The experimental curves (Figure 12) confirm a decrease in the conditional rate of air filtration through the layer as it warms up, especially at the stage of intensive heating at temperatures above 1000 °C.
The extraction of furnace gas from phosphorus production during agglomeration of low-grade phosphorites with the addition of phosphate-siliceous shales, coke and oil sludge is provided to ensure the burning of the coke component. This ensures the formation of flue gases containing CO2 and H2O vapors as a result of the combustion of fuel components and the decarbonization of phosphate raw materials.
The conditional air filtration rate   ω was measured at various discharge values ΔP under the grate to determine the experimental values of the gas dynamic coefficients of the individual structural zones of the sintered layer. Such measurements were made for the layers of the initial charge, the charge after waterlogging, after drying the waterlogged charge and the finished agglomerate. At the same time, the structure and gas-dynamic characteristics of the layer after drying of the waterlogged charge correspond to the gas-dynamic characteristics of the intensive heating zone. The gas dynamic parameters of the melting zone were taken as the average values of the corresponding parameters of the zones of intense heating and cooling agglomerate. The research results are plotted on a graph as a function ΔP = f( ω ) (Figure 13).
The gas dynamics Equation (7) for a porous layer was used to calculate the values of ΔP:
P = K 1 h p ϑ ω + K 2 h p ϑ ω 2
where K1, K2 are the coefficients characterizing the specific gas dynamic resistance of the layer, regardless of the properties and motion of gases.
The numerical values of these coefficients for a given layer were determined provided that at least two gas flow velocities and their corresponding pressure losses are known. The analytical coefficients are found using the following formulas:
K 1 = P 1 ω 2 2 P 2 ω 1 2 h p ϖ 1 · ω 2 ( ω 1 ω 2 )
K 2 = P 1 ω 2 P 2 ω 1 h p ω 1 · ω 2 ( ω 2 ω 1 )
The values of the gas dynamic coefficients were also determined graphically (Figure 14) after converting Equation (10) into the equation of a straight line relative to a variable:
P h p ω ϑ = K 1 + K 2 ω ϑ
where P h ρ ω ϑ   is the specific gas dynamic resistance of the layer;
ω ϑ   is the inertial parameter;
K1 is the segment cut off by a straight line on the ordinate axis;
K2 is the tangent of the angle of inclination of this line to the abscissa axis.
The values of coefficients K1 and K2 calculated from experimental data for phosphorite charges using phosphate-siliceous shales and oil sludge are shown in Table 3.
A comparison of the gas dynamic characteristics of the phosphorite charge with the additive’s phosphate-siliceous shale and oil sludge showed that they have a better gas permeability of 83.91 m−1 compared with a charge containing only coke fines. This is especially noticeable in the presence of oil sludge 101.10 m−1. Waterlogged and dried after waterlogging phosphorite agglomeration charge in the presence of phosphate-siliceous shale and oil sludge is also more gas permeable than without them. Waterlogged and subsequent drying of the charge was accompanied by a slight decrease in its gas permeability. The values of the coefficients K1 and K2 calculated for the sintered layer are many times higher than the corresponding values of the initial charge. As a result, the gas dynamic resistance of the finished agglomerate layer and intensive heating are also greater than the resistance of the initial charge.
The reason for the low gas permeability of the finished agglomerate layer is the specificity of its structure, which is determined by the phase composition and physical and chemical properties of the starting materials, the peculiarities of the sintering mechanism and the formation of the agglomerate structure.
The results of modeling the hydrodynamics of agglomeration of low-grade phosphorites are consolidated in comparison with the results of researchers [34,35,36]. Figure 15 shows a comparative graph of the dependence of the pressure drop on the gas filtration rate.
The analysis of the obtained curves showed consistent correlations of the comparative data of pressure drop dependences on the gas filtration rate. There is a similarity in the nature of comparable data with the published results of the authors. The error between the simulation results in Comsol Multiphysics and the data from the literary source [34,35,36] does not exceed 1%.
The values (θ) were calculated using the following Formula (11) to compare the results of the temperature difference from the gas filtration rate during the simulation:
θ = T T i n T m a x T i n
Figure 16 shows the change in temperature difference from the gas filtration rate based on the simulation results.
The analysis of the obtained dependences of the results of modeling the hydrodynamics of agglomeration of low-grade phosphorites indicates a shift in the heating front with an increase in the gas filtration rate from 0.8 to 1.0 m/s. These indicators are close to the data of the literary source [21,34,35].
Thus, the results of modeling the hydrodynamics of agglomeration of low-grade phosphorites in comparison with the research of the authors [21,34,35], showed the reliability of the Comsol program for determining the hydrodynamics and heat transfer during agglomeration of phosphorous fines.
As the gas moves through the individual layers of the sintered charge, its chemical composition, volume, and, consequently, filtration rate and physical and chemical properties change due to the reactions occurring in them.
The microstructure and elemental composition of the charge firing product is phosphorite-phosphate-siliceous shale-coke-oil sludge at a ratio of 65:26:6:3 (Figure 17, Table 4).
Analysis of the microstructure and EDS-element composition of the batch firing product phosphorite-phosphate-siliceous shale-coke-oil sludge (65:26:6:3) (Figure 17) showed that the main cementing component is lamellar calcium phosphate, represented by aggregates of thin crystalline plates. The detected content of Si (9.18%) and Al (2.10%) indicates the formation of aluminosilicate minerals represented by elongated or spherical hydrosilicate aggregates. Mg (1.76%) and Fe (1.43%) are localized in fine–grained Ca-Fe–O inclusions, which perform a strengthening function similar to calcium ferrite.
Thus, in the course of studies of the gas-dynamic characteristics of the structural zones of the sintered layer of agglomeration of phosphorous fines in the presence of phosphate-siliceous shale, coke and oil sludge, significant features of this process have been established in comparison with the agglomeration of phosphorites used as fuel only for coke fines. They are determined by the physical and chemical nature of the initial charge materials and the mineralogical structure of the calcination product of the phosphorous agglomerate. All these features affect not only the gas-dynamic characteristics of the sintered layer, but also all the main technical and economic indicators of phosphorite agglomeration.

4. Conclusions

The obtained values of the resistance coefficients show the greatest gas permeability in the zone of the finished agglomerate in the presence of phosphate-siliceous shale and oil sludge. These data are consistent with the numerical model of the visualized velocity and pressure fields in Comsol, which shows a similar trend—an increase in resistance when passing through the warmed-up charge zone. The presence of oil sludge in the charge for agglomeration contributes to an increase in gas permeability and porosity due to the burning out of hydrocarbon components.
As a result of tunneling the furnace structure, taking into account technological conditions, the effects of gas velocity, temperature and pressure on the formation of a given charge height of up to 250–280 mm have been established.
The calculation results show that the use of the Darcy–Brinkman equation provides reliable modeling of hydrodynamics and thermophysical processes under conditions of agglomeration roasting of phosphorites. Comparison with experimental data confirmed good convergence of the calculated and experimental results in such parameters as pressure drop (maximum deviation up to 8–10%), temperature fields (average error does not exceed 5%), and distribution of gas velocities in the layer (deviation less than 7%).
Thus, experimental data confirm the reliability of numerical modeling, which describes key changes in the structure of the porous layer during agglomeration of phosphorites. The coincidence of the calculation and measurement results indicates the applicability of the developed model for the analysis and optimization of processes in the furnace.
The results of studies of agglomeration firing of low-grade phosphorites with the addition of phosphate-siliceous shales, coke and oil sludge are confirmed by the utility model patent of the Republic of Kazakhstan No. 9772 dated 15 November 2024, which indicates the practical significance and novelty of the data obtained. In the future, it is planned to conduct pilot industrial tests in order to standardize technological parameters and further commercialize the developed technology in production conditions.

Author Contributions

Conceptualization, S.T.; methodology, S.T.; software, D.P.; validation, D.P., A.T.; formal analysis, Z.T. and N.S.; investigation, A.T.; resources, Z.T.; data curation, M.U.; writing—original draft preparation, S.T.; writing—review and editing, A.T.; visualization, I.I.; supervision, A.T.; project administration, I.I.; funding acquisition, M.U. All authors have read and agreed to the published version of the manuscript.

Funding

This research was funded by Committee on Science and Higher Education of the Republic of Kazakhstan, grant number BR21882181.

Data Availability Statement

The original materials presented in the study are included in the article. Additional requests can be sent to the corresponding author.

Conflicts of Interest

The authors declare no conflicts of interest.

References

  1. Beysenbayev, O.K.; Umirzakov, S.I.; Tleuov, A.S.; Smaylov, B.M.; Issa, A.B.; Dzhamantikov, K.h.; Zakirov, B.S. Obtaining and research of physical and chemical properties of chelated polymer-containing microfertilizers on the basis of technogenic waste for rice seed biofortification. News Natl. Acad. Sci. Repub. Kazakhstan Ser. Geol. Tech. Sci. 2019, 1, 80–89. [Google Scholar] [CrossRef]
  2. Kareeva, A.; Bolysbek, A.; Nazarbek, U.; Abdurazova, P.; Rayimbekov, E. Comprehensive study of physico-chemical properties of low-grade phosphate raw materials. Eng. J. Satbayev Univ. 2023, 145, 25–31. [Google Scholar] [CrossRef]
  3. Askarov, M.A.; Khamidov, L.A.; Akhtamov, F.E.; Rakhimov, S.N. Basic methods and problems of processing phosphorite ores. Min. Bull. Uzb. 2005, 4, 49–52. Available online: http://gorniyvestnik.uz/assets/uploads/pdf/2005-oktyabr-dekabr.pdf (accessed on 4 April 2005).
  4. Litvinova, T.E.; Suchkov, D.V. An integratedapproachto the disposal of man-madewaste from the mineralresourcecomplex. Min. Inf. Anal. 2022, 6-1, 331–348. [Google Scholar] [CrossRef]
  5. Sadyrova, A.T.; Mynzhasarova, G.U.; Ashimkhanova, Z.S. Analytical review of the current state of the problems of processing phosphorite and apatite raw materials. Chem. J. Kazakhstan 2004, 1, 109–132. [Google Scholar]
  6. Raiymbekov, Y.; Besterekov, U.; Abdurazova, P.; Nazarbek, U. Review of methods and technologies for the enrichment of low-grade phosphorites. Rev. Inorg. Chem. 2022, 42, 385–395. [Google Scholar] [CrossRef]
  7. Jurayev, R.S.; Eshkulov, B.R.u.; Kakhkhorov, N.T.u. Production of Complex and Mixed Fertilizers by Acidic Processing of Phosphorites. Eng. Proc. 2024, 67, 59. [Google Scholar] [CrossRef]
  8. Abildayeva, A.; Turgumbayeva, K.; Blumberga, D. Systematization of material flows of natural and secondary raw materials of phosphorus industry of the Republic of Kazakhstan. Riga Tech. Univ. Zinat. 2021, 25, 894–906. [Google Scholar] [CrossRef]
  9. Vishnevskaya, I.A.; Malov, V.I.; Soloshenko, N.G.; Letnikova, A.F.; Kiseleva, V.Y.; Ivanov, A.V. Isotopic and geochemical features of Cambrian phosphorites of the Karatau basin (Southern Kazakhstan). Bull. St. Petersburg Univ. Earth Sci. 2018, 63, 267–290. [Google Scholar] [CrossRef]
  10. Sadyrova, A.T.; Ashimkhanova, Z.S.; Kalauova, A.S.; Bayburkutova, M.A. Trends in the development of the phosphate industry in Kazakhstan and the strategy of research teams and industrial enterprises to address issues of processing phosphate raw materials. News Sci. Tech. Soc. Kahak 2008, 2, 53–85. [Google Scholar]
  11. Kholmurodov, J.E. Nitrogen-phosphorus fertilizers based on phosphoric acid decomposition of off-balance phosphorous ore by cyclic method. Universe Tech. Sci. Electron 2019, 11, 57–61. Available online: http://7universum.com/ru/tech/archive/item/8166 (accessed on 25 November 2019).
  12. Gao, L.; Yang, R.; Wu, T.; Luo, C.; Xu, H.; Ni, X. Studies on geochemical characteristics and biomineralization of Cambrian phosphorites, Zhijin, Guizhou Province, China. J. Pone 2013, 18, e0281671. [Google Scholar] [CrossRef]
  13. Fan, J.; Zhang, Y.; Wen, W.; Gu, S.; Lu, X.; Guo, X. The Future of Internet of Things in Agriculture: Plant High-Throughput Phenotypic Platform. J. Clean. Prod. 2020, 280, 123651. [Google Scholar] [CrossRef]
  14. Hashimov, I.E. Feed monocalcium phosphate based on the treatment of bone meal with thermal phosphoric acid. Univ. Tech. Sci. 2024, 8, 61–68. Available online: https://7universum.com/ru/tech/archive/item/18097 (accessed on 27 August 2024).
  15. Idrissi, H.; Taha, Y.; Elghali, A.; Khessaimi, Y.; Aboulayt, A.; Amalik, J. Sustainable use of phosphate waste rocks: From characterization to potential applications. Mater. Chem. Phys. 2020, 260, 119–124. [Google Scholar] [CrossRef]
  16. Yang, Y.; Wei, Z.; Chen, Y.-L.; Li, Y.; Li, X. Utilizing phosphate mine tailings to produce ceramisite. Constr. Build. Mater. 2017, 155, 1081–1090. [Google Scholar] [CrossRef]
  17. Tleuova, S.T.; Tleuov, A.S.; Pazylova, D.T.; Sagindikova, N.T.; Turishbekov, Z.h.A. Investigation of physico-chemicalfeaturesandthermodynamicpatterns of the agglomerationprocess of phosphateraw materials usingpetroleumcoke. Bull. Shakarim Univ. Tech. 2024, 2, 552–560. [Google Scholar] [CrossRef]
  18. Shevko, V.M.; Serzhanov, G.M.; Karataeva, G.E. Thermodynamic features and an experimental study of the extraction of phosphorus from ferrophosphorus in the presence of iron silicides. Russ. Metall. 2015, 2015, 1030–1035. [Google Scholar] [CrossRef]
  19. Tleuov, A.S. Joint Agglomeration of Phosphate Fines and Manganese Ore with Coal Mining Waste. Orient. J. Chem. 2016, 32, 993–1001. [Google Scholar] [CrossRef]
  20. Bobkov, V.I.; Borisov, V.V.; Dli, M.I. Modeling the calcination of phosphorite pellets in a dense bed. Theor. Found. Chem. Eng. 2015, 49, 176–182. [Google Scholar] [CrossRef]
  21. Bobkov, V.I.; Borisov, V.V.; Dli, M.I. Multicriterial optimization of the energy efficiency of the thermal preparation of raw materials. Theor. Found. Chem. Eng. 2015, 49, 842–846. [Google Scholar] [CrossRef]
  22. Bobkov, V.I.; Fedulov, A.S.; Dli, M.I. Scientific basis of effective energy resource use and environmentally safe processing of phosphorus-containing manufacturing waste of ore-dressing barrows and processing enterprises. Clean Technol. Environ. Policy 2018, 20, 2209–2221. [Google Scholar] [CrossRef]
  23. Pancnehko, S.; Bobkov, V.; Fedulov, A.; Chernovalova, M. Mathematical modelling of thermal and physical-chemical processes during sintering. Non-Ferr. Met. 2018, 45, 50–55. [Google Scholar] [CrossRef]
  24. Hollander, E.D.; Derksen, J.J.; Bruinsma, O.S.L.; Van den Akker, H.; Rosmalen, G.M. A numerical study on the coupling of hydrodynamics and agglomeration. Chem. Eng. Sci. 2001, 56, 2531–2541. [Google Scholar] [CrossRef]
  25. Rahmat, A.; Weston, D.; Madden, D.; Usher, S.h.; Barigou, M.; Alexiadis, A. Modeling the agglomeration of settling particles in a dewatering process. Phys. Fluids 2020, 32, 123314. [Google Scholar] [CrossRef]
  26. Lv, X.; Yu, B.; Zhang, J.; Xiang, S. Sintering behaviour and sinter properties of phosphorite. Miner. Process. Extr. Metall. 2015, 124, 16–26. [Google Scholar] [CrossRef]
  27. Wu, F.; Zhao, C.; Qu, G.; Liu, S.; Ren, Y.; Chen, B.; Li, J.; Liu, L. A critical review of the typical by-product clean ecology links in the Chinese phosphorus chemical industry in China: Production technologies, fates and future directions. J. Environ. Chem. Eng. 2022, 10, 106685. [Google Scholar] [CrossRef]
  28. Luo, Z.; Ma, S.; Hu, S.; Chen, D. Towards the sustainable development of the regional phosphorus resources industry in China: A system dynamics approach. Resour. Conserv. Recycl. 2017, 126, 186–197. [Google Scholar] [CrossRef]
  29. Tleuov, A.S.; Tleuova, S.T.; Pazylova, D.T.; Tleuberdi, A.N.; Ulbekova, M.M.; Turishbekov, Z.h. Patentfor the field model of the Republic of Kazakhstan. The method of agglomeration of phosphate raw materials. №9772 from 15 November 2024.
  30. Kareeva, A.; Besterekov, U.; Abdurazova, P.; Nazarbek, U.; Pochitalkina, I.; Raiymbekov, Y. Synthesis of NPK fertilizer from low-grade phosphate raw material. Int. J. Chem. React. Eng. 2022, 20, 805–814. [Google Scholar] [CrossRef]
  31. Tleuova, S.; Tileuberdi, A.; Pazylova, D.; Ulbekova, M.; Sagyndykova, N.; Lavrov, B.; Turishbekov, Z. Investigation of the Process of Agglomeration of Phosphorites Using Phosphate-Siliceous Shales and Oil Sludge. Open Chem. Eng. J. 2024, 18, e18741231331231. [Google Scholar] [CrossRef]
  32. Comsolmuitiphysics CFD Module User’s Guide. 2019, 810p. Available online: https://doc.comsol.com/6.3/docserver/#!/com.comsol.help.comsol/helpdesk/helpdesk.html (accessed on 3 April 2024).
  33. Heat Transfer Module User’s Guide. 2019, 788p. Available online: https://doc.comsol.com/5.5/doc/com.comsol.help.heat/HeatTransferModuleUsersGuide.pdf?utm (accessed on 3 April 2024).
  34. Zhou, H.; Zhao, J.P.; Loo, C.E.; Ellis, B.; O’Dea, D. Numerical Modeling of the Iron Ore Sintering Process. ISIJ Int. 2024, 52, 1550–1558. [Google Scholar] [CrossRef]
  35. Zhou, M.; Liu, J.; Wang, Q. Simulation of the Internal Temperature Field and Flow Field in a Double-Layer Sintering Bed. ACS Omega 2022, 7, 46777–46786. [Google Scholar] [CrossRef] [PubMed]
  36. Feng, J.; Zhao, L.; Wang, H.; Cheng, Z.; Xia, Y.; Dong, H. Determination of Pressure Drop Correlation for Air Flow through Packed Bed of Sinter Particles in Terms of Euler Number. Energies 2022, 15, 4034. [Google Scholar] [CrossRef]
Figure 1. IR spectrogram of phosphate–siliceous shale of the Janatas deposit.
Figure 1. IR spectrogram of phosphate–siliceous shale of the Janatas deposit.
Chemengineering 09 00125 g001
Figure 2. XRF of phosphate-siliceous shale of the Janatas deposit.
Figure 2. XRF of phosphate-siliceous shale of the Janatas deposit.
Chemengineering 09 00125 g002
Figure 3. Geometry of the agglomeration reactor.
Figure 3. Geometry of the agglomeration reactor.
Chemengineering 09 00125 g003
Figure 4. Model grid–Mesh.
Figure 4. Model grid–Mesh.
Chemengineering 09 00125 g004
Figure 5. The magnitude of the gas flow velocity.
Figure 5. The magnitude of the gas flow velocity.
Chemengineering 09 00125 g005
Figure 6. The magnitude of the change in gas velocity over the height of the sintering furnace.
Figure 6. The magnitude of the change in gas velocity over the height of the sintering furnace.
Chemengineering 09 00125 g006
Figure 7. Gas flow current lines.
Figure 7. Gas flow current lines.
Chemengineering 09 00125 g007
Figure 8. Pressure in the sintering furnace.
Figure 8. Pressure in the sintering furnace.
Chemengineering 09 00125 g008
Figure 9. The magnitude of the pressure changes over the height of the sintering furnace.
Figure 9. The magnitude of the pressure changes over the height of the sintering furnace.
Chemengineering 09 00125 g009
Figure 10. Temperature in the sintering furnace.
Figure 10. Temperature in the sintering furnace.
Chemengineering 09 00125 g010
Figure 11. Temperature change over the height of the sintering furnace.
Figure 11. Temperature change over the height of the sintering furnace.
Chemengineering 09 00125 g011
Figure 12. Dependence of the conditional air filtration rate through the layer on the sintering time (1, 2, 3, 4—charges of phosphorous fines and coke, with the addition of phosphate-siliceous shale and oil sludge, respectively).
Figure 12. Dependence of the conditional air filtration rate through the layer on the sintering time (1, 2, 3, 4—charges of phosphorous fines and coke, with the addition of phosphate-siliceous shale and oil sludge, respectively).
Chemengineering 09 00125 g012
Figure 13. Dependence of P on the conditional air filtration rate during sintering of a phosphorous charge using phosphate-siliceous shale and oil sludge (1—agglomerate zone, 2—intensive heating, 3—waterlogging, 4—initial charge).
Figure 13. Dependence of P on the conditional air filtration rate during sintering of a phosphorous charge using phosphate-siliceous shale and oil sludge (1—agglomerate zone, 2—intensive heating, 3—waterlogging, 4—initial charge).
Chemengineering 09 00125 g013
Figure 14. Dependence of the coefficient of specific gas dynamic resistance on the filtration rate (1—agglomerate zone, 2—intensive heating, 3—waterlogging, 4—initial charge).
Figure 14. Dependence of the coefficient of specific gas dynamic resistance on the filtration rate (1—agglomerate zone, 2—intensive heating, 3—waterlogging, 4—initial charge).
Chemengineering 09 00125 g014
Figure 15. Comparative graph of pressure drop dependence on gas filtration rate.
Figure 15. Comparative graph of pressure drop dependence on gas filtration rate.
Chemengineering 09 00125 g015
Figure 16. Comparative graph of the temperature difference dependence on the gas filtration rate.
Figure 16. Comparative graph of the temperature difference dependence on the gas filtration rate.
Chemengineering 09 00125 g016
Figure 17. The microstructure and elemental composition of the charge firing product phosphorite-phosphate-siliceous shale-coke-oil sludge at a ratio of 65:26:6:3.
Figure 17. The microstructure and elemental composition of the charge firing product phosphorite-phosphate-siliceous shale-coke-oil sludge at a ratio of 65:26:6:3.
Chemengineering 09 00125 g017
Table 1. Comparative performance indicators for different grid sizes.
Table 1. Comparative performance indicators for different grid sizes.
Type of GridNumber of ElementsAverage Quality of the ElementsAverage Gas Velocity, m/sMaximum Temperature, °CDeviation From Fine, %
Coarse28,0000.581.9512831.9
Normal57,0850.601.9712811.2
Fine118,0000.632.01280
Table 2. Characteristics of the model grid.
Table 2. Characteristics of the model grid.
DescriptionValue
StatusComplete mesh
Mesh vertices17,763
Tetrahedra34,573
Pyramids1215
Prisms21,297
Triangles7250
Quads216
Edge elements927
Vertex elements80
Number of elements57,085
Minimum element quality0.02186
Average element quality0.6015
Element volume ratio5.666 × 10−4
Mesh volume2.635 × 106 mm3
Table 3. Values of the gas dynamic coefficients of the sintered charge layer zones.
Table 3. Values of the gas dynamic coefficients of the sintered charge layer zones.
ZoneA Charge Containing Coke FinesCharge Containing Phosphate-Siliceous Shales, Coke FinesCharge Containing Phosphate-Siliceous Shales, Coke Fines, Oil Sludge
K1 × 10−5, m2K2, m−1K1 × 10−5, m2K2, m−1K1 × 10−5, m2K2, m−1
Agglomerates12.5983.9115.1269.2317.92109.10
Melting point9.4550.0111.9840.0215.4557.93
Intensive heating7.629.9110.0115.9211.9418.75
Drying4.498.418.0212.117.9315.44
Waterlogging3.407.004.215.314.127.89
The initial charge2.696.002.993.113.546.56
Table 4. The elemental composition of the charge firing product.
Table 4. The elemental composition of the charge firing product.
ElementCOFMgAlSiPSKCaFeTotal
Weight, %6.8546.300.491.762.109.189.130.500.2821.971.44100
Disclaimer/Publisher’s Note: The statements, opinions and data contained in all publications are solely those of the individual author(s) and contributor(s) and not of MDPI and/or the editor(s). MDPI and/or the editor(s) disclaim responsibility for any injury to people or property resulting from any ideas, methods, instructions or products referred to in the content.

Share and Cite

MDPI and ACS Style

Tleuova, S.; Turishbekov, Z.; Tileuberdi, A.; Pazylova, D.; Iristaev, I.; Ulbekova, M.; Sagindikova, N. Modeling of Hydrodynamics of Agglomeration of Low-Grade Phosphorites in the Presence of Phosphate-Siliceous Shales and Oil Sludge. ChemEngineering 2025, 9, 125. https://doi.org/10.3390/chemengineering9060125

AMA Style

Tleuova S, Turishbekov Z, Tileuberdi A, Pazylova D, Iristaev I, Ulbekova M, Sagindikova N. Modeling of Hydrodynamics of Agglomeration of Low-Grade Phosphorites in the Presence of Phosphate-Siliceous Shales and Oil Sludge. ChemEngineering. 2025; 9(6):125. https://doi.org/10.3390/chemengineering9060125

Chicago/Turabian Style

Tleuova, Saltanat, Zhunisbek Turishbekov, Ayaulym Tileuberdi, Dana Pazylova, Iskandarbek Iristaev, Mariyam Ulbekova, and Nurila Sagindikova. 2025. "Modeling of Hydrodynamics of Agglomeration of Low-Grade Phosphorites in the Presence of Phosphate-Siliceous Shales and Oil Sludge" ChemEngineering 9, no. 6: 125. https://doi.org/10.3390/chemengineering9060125

APA Style

Tleuova, S., Turishbekov, Z., Tileuberdi, A., Pazylova, D., Iristaev, I., Ulbekova, M., & Sagindikova, N. (2025). Modeling of Hydrodynamics of Agglomeration of Low-Grade Phosphorites in the Presence of Phosphate-Siliceous Shales and Oil Sludge. ChemEngineering, 9(6), 125. https://doi.org/10.3390/chemengineering9060125

Article Metrics

Back to TopTop