Abstract
Ceramic tile adhesives (CTA) are playing a dominant role for the business of dry-mix producers. Their quality is classified according to EN 12004. In addition, this standard describes the procedure of a CTA’s performance evaluation. Therefore, a defined ceramic tile, a concrete substrate, and the actual tile adhesive is required. In our study, we investigated the influence of different concrete slabs on the results of two tile adhesives. In two cases, the influence of an additional thermal storage of the concrete slabs was evaluated. The tests were strictly performed according to EN 12004-2:2017. The highest variation for the same tile adhesive was found for the adhesion after heat storage measured on different concrete substrates. With a higher polymer content the influence tended to level out. Additionally, a significant deviation was observed for the adhesion strength after water storage, even causing a lower CTA classification on one substrate. The results of our investigation show that the quality of concrete slabs and their storage conditions should be seriously considered in comparing the performance of tile adhesive according to EN 12004.
1. Introduction
Tile adhesive mortars are one of the major business pillars for the dry-mix production industry. The growth of this market is proportional to the number of tiles produced. For 2020, the figures indicated a growth for tile consumption in Europe by 1.4% [1]. Since 2001, the performance of ceramic tile adhesive (here, named CTA) has been classified by the standard EN 12004 and by the revised subversions. The norm describes the procedure for determining the tile adhesive after different storage conditions [2]. This guarantees a certain performance for the end user. Having defined conditions, the norm describes, in addition to the test procedure, the quality of the tiles and concrete slabs being used for the performance evaluation.
The performance level achieved depends on the tile adhesive at first. This is characterized by the dosage and quality of the cement, filler, methyl cellulose, and dispersible polymer binder. In the following work, we chose two different formulations to meet the standard requirements for the C1- and C2-level requirements given by EN 12004-1.
In the past, several round-robin tests evaluated the influence on the results of different parameters. In [3], the results of series with one constant substrate and the individually used substrates of the participants were reported. There, the influence on the tensile adhesion strength after standard storage conditions was determined, with 10 participants checking seven different formulations. Their results indicated a rather low impact of the substrate, reporting a rather low standard deviation for the adhesion strength of the different test laboratories.
With a broader scope and in more detail was an interlaboratory comparison described in [4,5] covering all different storage conditions. In that series, one specific adhesive was tested on the individual substrate without knowing which participant used the same source of concrete substrate. The author concluded that the calculations made with the ISO 13528 and EN/ISO/IEC17043 revealed acceptable values, but the range of values in combination with the failure pattern indicated a substantial heterogeneity of the results. The uncertainty in that kind of assessment is discussed in article [6]. The author brings into the discussion the term “dark uncertainty” for explaining the higher deviation between different testing labs. Performing the adhesion strength according to EN 12004 usually takes one sample, applied according to the test procedure on one type of concrete slab. The uncertainty of the test result can be estimated by the deviation in the adhesion strength. The production of the concrete slab is usually out of the control of the testing laboratory and assumed to be constant, not having a significant influence, if the parameters described in the norm are kept.
Within this article we demonstrate some of the influence of the concrete slab on the achieved adhesion strength with the same tile adhesive and tiles. The results show that production/origin of the concrete slab and the additional post treatment of the same concrete slab batch has some influence on the adhesion strength. In some cases, this result would cause a lower CTA classification or even no classification of the same batch of tile adhesive. The target of this work is not only one concrete slab producer. Due to logistic and ecological aspects, the production should be located close to the lab facility. Therefore, no producers are named. The aim of this article is to sensitize people to the need for the quality and storage of concrete slabs, in order to achieve reliable adhesion strength values for monitoring the quality of cement-based tile adhesives.
2. Materials and Methods
For running the performance test according to EN 12004-1/2, three materials were required. We speak about the substrate as the concrete slab and specified tiles. In between is the tile adhesive being classified according to the regulation. For the evaluation, we used two different kinds of tile adhesive (see Table 1). Depending on the requirement, the amount of cement and dispersion polymer powder differs.
Table 1.
Recipe of the used tile adhesive and the water demand for the dry-mix application.
For the adhesion strength, test tiles with a facial dimension of (50 ± 1) mm × (50 ± 1) mm produced by a French company were used. The concrete slabs were chosen from two local and one international producers. They were used as delivered or with additional thermal post treatment for 5 days at 70 °C in order to allow the concrete slab to reach the mandatory moisture content of below 3%. In the case of having two of them, a comparison with the original delivered was made. Unfortunately, for the final concrete slabs, untreated slabs were not available; therefore, these comparison tests could not be conducted (see Table 2). The humidity of a concrete iso-block is determined by the so-called carbide method. This procedure is a destructive test method. The parameters can only be checked selectively on a few examples of each batch. Additionally, the capillary water absorption needs to be determined by a Carsten tube. Due to exposure to water, it is not applicable as a standard control. Internally, we use a capacitive structural moisture meter for monitoring constant humidity conditions (see Figure 1). The meter uses the dielectric constant/radio frequency principle of measurement. The procedure is abbreviated as “Gann-Device”.
Table 2.
For the tile adhesion tests, concrete slabs from three suppliers were used. For concrete slabs 1 and 2, tests were conducted with untreated concrete slabs. For all concrete slabs, an additional storage for 5 days at 70 °C was performed, indicated by suffix “A”.
Figure 1.
Measurement of the surface humidity in a nondestructive way via the Gann-device.
For application of the CTA, initially, the fresh mortar was prepared exactly according to the procedure described in EN12004-2:2017, chapter 6 “Mixing of the adhesive” [7]. Depending on the dry-mix mortar, the specific water dosage was used (see Table 1—water demand). After preparing the fresh mortar prior application on the concrete slab, a maturing time of 5 min was used.
The test specimens for the different storage conditions were prepared according to EN12004-2:2017, chapter 8.3 “Determination of tensile adhesion strength…” [7]. That meant all the tile adhesives were prepared with exactly the same procedure and were applied on the concrete slab in the same way. For the tests, we focused on the four different storage conditions of the standard conditions (23 °C at 50% humidity), water storage, heat storage, and freeze–thaw storage. For the pull off test, we used a Herion HP 850 with 9 kN plunger.
3. Results
3.1. Parameter Concrete Blocks
As shown in Table 3, the relevant data of the different concrete slabs were determined via the Carsten tube test, the carbide method, and the Gann method. The value according to the Gann method was measured in the center and at four edges of the concrete block. This method is nondestructive and does not change the surface of each concrete block; for later tile adhesive tests, each used concrete block was measured before the tile adhesive and tile was applied. Figure 2 contains the statistical values for each storage condition of the applied tile adhesive.
Table 3.
Test results of the tested concrete slabs for the parameters of surface water absorption and moisture content, as described in EN 12004-2:2017 (E) Chapter 5.3.1 [7]. Additionally, the inductive oscilloscopic measurement by Gann provides an indication of the moisture content, having the advantage of nondestructive measurement.
Figure 2.
The humidity of the concrete slabs used for the adhesion strength test with different storage conditions (a: standard condition, b: wet, c: heat, d: freeze thaw). Therefore, only the nondestructive method by Gann device was used. The figures slightly differ to the values shown in Table 3. In principle, the effect of the thermal treatment for concrete slab 1A and 2A becomes visible. In some cases, the same concrete slab was used to measure the C1 and C2-CTA. Therefore, the values are identical, e.g., for Substrate 1 and b/c/d-storage.
3.2. Adhesion Strength after Different Storage Conditions
The preparation of test specimens for the measurement of the adhesion strength in four different storage conditions was conducted according to the EN 12004 standard. Two different tile adhesives, according to Table 1, were prepared with slightly different water dosages.
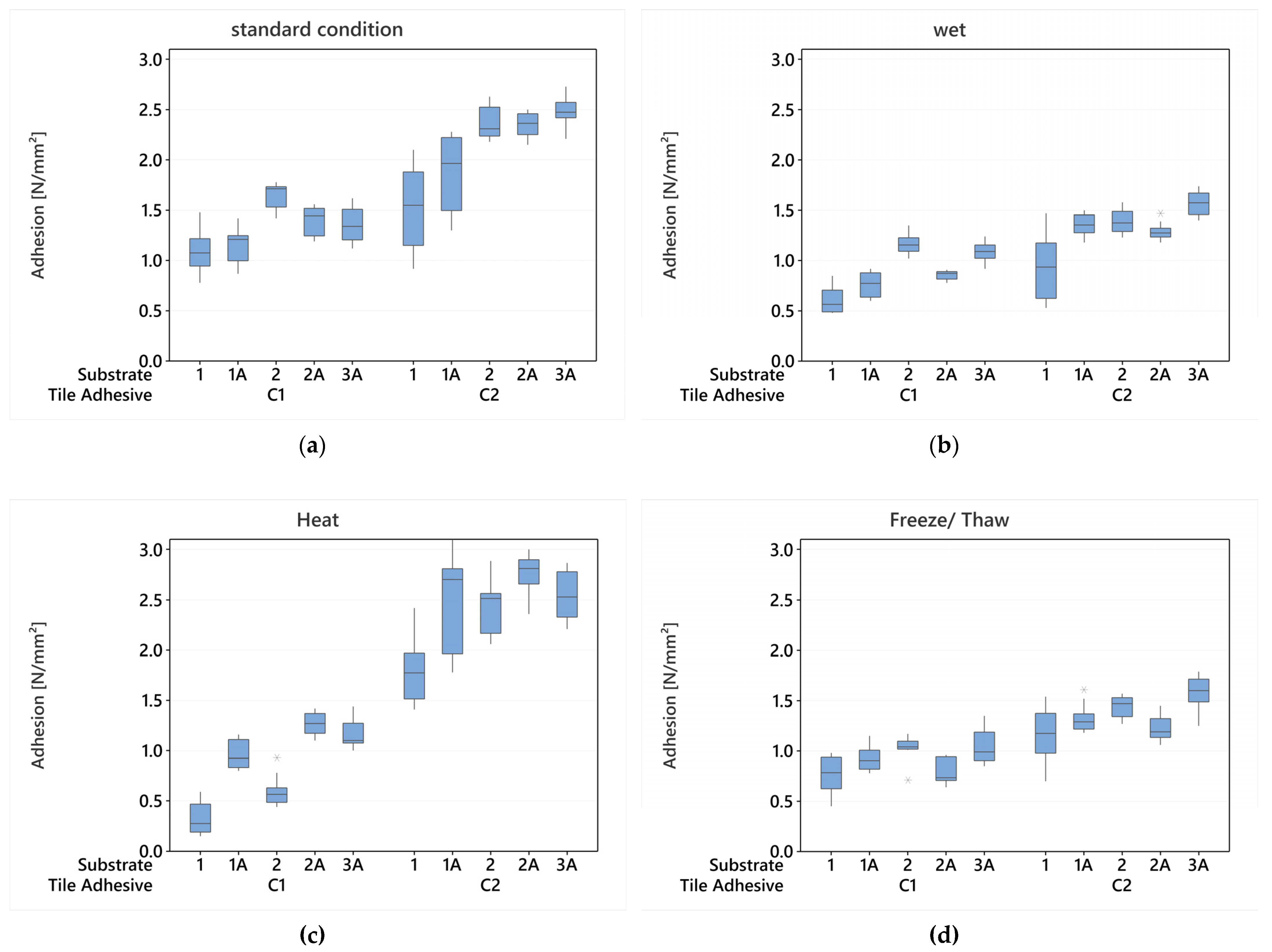
Figure 3 shows the results for each tile adhesive, named C1 and C2, on different concrete substrates after the standard storage condition, water immersion, heat storage, and freeze/thaw conditions. In each case, the adhesion strength value was accumulated over 10 tests, which means 10 tiles were applied on each concrete substrate and storage condition.
Figure 3.
Each figure represents the adhesion strength values of the tiles that were applied according to EN 12004. In figure (a), the storage after standard conditions is shown. Figure (b) represents the water storage and figure (c) the heat storage conditions. Finally, figure (d) shows the adhesion strength after freeze/thaw conditions. The results are grouped depending on the different tile adhesive, which was applied to different concrete blocks. For each condition, 10 adhesion tests were conducted. For better statistical demonstration, the box plot was chosen. The line represents the median, and the blue bar shows 50% of the measurements around the median. Outliers are identified by an Asterisk (*) symbol. These values are found at least 1.5 times of interquartile range (Q3–Q1) away from the edge of the box.
4. Discussion
The Norm EN 12004-2:2017 [7] describes in Chapter 5.3.1 the requirements for selecting a proper substrate with many details such as the thickness, moisture content, and water absorption over a certain time. In the attachment, further recommendations according to manufacturing a concrete slab (Chapter A.4.1) and conditioning (Chapter A.4.2) are provided. For practitioners, the chapters are not very helpful, especially for a concrete slab delivered over a large distance, having an unclear history of exposed conditions. Additionally, the used cement is not known and probably not based on CEM I due to economic and ecological reasons.
In our lab, we established a procedure for reducing the water content by storing the concrete slabs for 5 days at 70 °C. This helps to keep a constant moisture content independent from the history after production storage and delivery. In Table 2, we labelled that kind of treated concrete slab with addendum A. For the second and third different concrete slabs, we do not have a direct comparison between the just arrived and post-treated concrete slabs. The absolute moisture content (compare Table 3) determined via the carbide method was below 3% for all the tested concrete slabs, and the water absorption after 4 h was in the recommended range given by EN 12004 for the concrete slabs 1, 1A, and 2A [7]. In the norm, they provide guidance by the following formulation: “The concrete slab shall be at least 35 mm thick, have a moisture content of less than 3% by mass (carbide method) and have a water absorption at the surface after 4 h in the range of 0.5 cm3 to 1.5 cm3”. Only 3A had a higher water absorption. No further consequences are described in the norm for being out of this scope.
The measurement of these properties leads to the damage of a concrete slab, making it unusable for further adhesion tests. With this background, we used the Gann technology to control the surface humidity on a higher frequency. For the completely tested concrete slabs, in Table 3, we see that in the case of slab 1/1A, the lower moisture content was reflected in the lower value according to the Gann method too. Samples 1A, 2A, and 3A were at a comparable level. For the adhesion tests, the measured surface humidity values were used for each adhesion test and several positions on the concrete slab. The variance in the single values is shown in a box plot (Figure 2). The C1- and C2-tile adhesives were applied on the same substrate. Therefore, the values were identical. Within the different storage conditions, the values were at a similar level. The thermal post-treated concrete slabs 1A, 2A, and 3A were comparable. In addition, the nontreated samples 1 and 2 showed a significantly higher value. Nevertheless, compared with sample 1, the results in Figure 2 and Figure 3 according to the average values showed a significant difference with a value of ~4 versus ~6. This indicates that the values measured by the Gann method should be used by checking the properties within one series and not over a longer period. A possible explanation for the two different mean values for the similarly treated concrete slab Nr.1 might be a calibration failure or the slightly different surrounding conditions in the airconditioned lab.
Keeping in mind the difference of each concrete slab according to the moisture content and surface water absorption, the influence on the absolute adhesion strength values tested according to EN 12004-1 at different storage conditions becomes visible (see Figure 3). For achieving the different classifications, according to C1 and C2-CTA, the thresholds of 0.5 N/mm2 and 1.0 N/mm2 are important. Independent from the used formulation and concrete substrate, this hurdle was overcome for the storage at standard condition. For the substrates 2, 2A, and 3A, we clearly see a differentiation between the two formulations. In the case of 1 and 1A, the higher adhesion strength of C2 led to a broader variation in the adhesion strength values. Checking the influence of 5 days of heat storage on substrate 1/1A and 2/2A, the mean value did not differ very much. Nevertheless, none of the substrates would lead to a different classification of the results after the standard condition.
A different view provides the adhesion strength after water immersion (see Figure 3b). In our experience, the strength behavior was similar to the freeze/thaw conditions (compare Figure 3c), and for the polymer-modified mortars, the level of performance depends most likely on the quality and amount of cement. The observations in the present series are valid for both conditions. We see that for substrate 1 and 1A, the C1-CTA did not pass the C2 level but clearly achieved the C1 level. In the case of concrete slab 2 and 2A, a clear difference for the C1-CTA was visible, which would lead to a different classification. In terms of water immersion, the trend for the C2 was not as large. For the C2-formulation, this was in accordance with the better cement (CEM I 52.5 R versus CEM I 42.5 N) on a higher dosage level. For concrete slabs 1 and 1A, we observed an improvement with the additional storage of 1A. The adhesion strength values changed from a broad distribution slightly below 1.0 N/mm2 to a narrow distribution around 1.4 N/mm2. Rating the results according to the range and differentiation of the C1/C2 level, substrates 1A and 2A provide a clear picture for the adhesion after water immersion. For the freeze–thaw condition, we observed a good differentiation for substrate 1A, 2, 2A, and 3A. Concrete slab 1 would already provide a result below C2 for the C2-formulation, risking a proper classification.
Based on our experience, the largest change was seen for the adhesion strength after heat storage depending on the dosage level of the polymer powder. In a former publication [8], the concentration dependency was clearly demonstrated to achieve an adhesion strength value from 0.2 N/mm2 to 1.6 N/mm2. In our measurement, we covered almost that range in the C1 formulation by measuring on different concrete slabs. The lowest result was achieved by concrete slab Nr.1 that did not meet the minimum requirement of 0.5 N/mm2. By simply exposing the concrete slab to heat storage at 70 °C for 5 days, the results were raised almost achieving the C2 level. On concrete slab Nr.2, we observed a similar phenomenon; without prior treatment, the hurdle of 0.5 N/mm2 was just passed, and with additional treatment at 70 °C of the concrete slab, the adhesion after heat storage clearly passed the C2 level. The concrete slab 3A, as with 2A, generated C1-formulation results on the C2 level. For the C2-formulation, the polymer content of 6% probably compensated for these different effects, and the results showed only the cohesion failure underground. Therefore, the range around the median value probably increased for all substrates. For the classification according to the C2 level, these results were not critical because the limit of 1.0 N/mm2 was clearly passed by all the concrete slabs.
In summary, we see the influences caused by the different suppliers of the concrete slabs and, by the additional treatment, an influence on almost all the adhesion strength values of the different storage conditions. In this study, we examined two formulations, and the variance in the results for the two formulations made it difficult to judge the C1 or C2 level depending on the chosen concrete slab. This was the case for the C1-CTA by testing the adhesion after heat storage on concrete slab Nr.1. Similarly bad results were found for the C2-CTA testing of the adhesion after water immersion on the same concrete slab. The additional storage of this concrete slab for 5 days at 70 °C improved the moisture content detected by the inductive method bringing the concrete slabs to a similar level. With this treatment, the results for concrete slab Nr.1, according to the classification of C1/C2-level, were improved as well. In terms of product safety, this needs to be seen as critical and requires additional monitoring. Taking the additional energy consumption for the drying step into account, the results suggest skipping this procedure for concrete slab 2. For concrete slab 3A, a direct comparison was not available so far, and further clarification is required.
The largest variation in the test results on different concrete slabs was observed for wet storage (C1/C2-CTA) and heat storage (C1-CTA). The producer of a tile adhesive might handle the uncertainty of the heat storage by using a higher dosage of polymer powder. However, the uncertainty of the wet storage cannot be compensated by an additional safety buffer by using a higher cement content because this would lead to less flexibility, which is necessary for a flexible tile adhesive. For a better and safer classification of tile adhesive, the current EN norm should provide more detailed guidance on checking the quality of a concrete slab. Checking the moisture content and water absorption might be not enough. The quality of the approved concrete slabs might change over time and, consequently, contribute to the uncertainty of the test results. Additional regulation might improve and help retain the quality level for tile-adhesive products. This work cannot provide a clear answer as to how to improve the current norm, but it demonstrates the influence of the concrete slab on the tested tile adhesive.
Author Contributions
Conceptualization, M.F. and A.E.; formal analysis, A.E.; investigation, M.F. and A.E.; resources, A.E.; data curation, A.E. and M.F.; writing—original draft preparation, M.F.; writing—review and editing, M.F.; visualization, M.F. All authors have read and agreed to the published version of the manuscript.
Funding
This research received no external funding.
Institutional Review Board Statement
Not applicable.
Informed Consent Statement
Not applicable.
Data Availability Statement
The data presented in this study are available on request from the corresponding author.
Conflicts of Interest
The authors declare no conflict of interest.
References
- Baraldi, L. World production and consumption of tiles. Ceram. World Rev. 2021, 143, 26–40. [Google Scholar]
- EN 120041:2017 E; Adhesives for Ceramic Tiles—Part 1: Requirements, Assessment, and Verification of Constancy of Performance, Classification and Marking. iTeh, Inc.: Newark, DE, USA, 2017.
- Felixberger, J.K. Polymer-Modified Thin-Bed Tile Adhesive; Institut De Promocio Ceramica: Castelló, Spain, 2008. [Google Scholar]
- Stancu, C.; Debski, D.; Michalak, J. Construction Products between Testing Laboratory and Market Surveillance: Case study of Cementitious Ceramic Tile Adhesives. Materials 2022, 15, 6167. [Google Scholar] [CrossRef] [PubMed]
- Stancu, C.; Michalak, J. Interlaboratory Comparison as a Source of Information for the Product Evaluation Process. Case Study Ceram. Tiles Adhesives. Mater. 2022, 15, 253. [Google Scholar]
- Szewczak, E. Does Standardisation Ensure a Reliable Assessment of the Performance of Construction Products? Standards 2022, 2, 260–275. [Google Scholar] [CrossRef]
- EN 12004-2:2017; Adhesive for Ceramic Tile—Part 2: Test Methods. iTeh, Inc.: Newark, DE, USA, 2017.
- Herold, H. Modification of Ceramic Tile adhesives with Redispersible Polymer Powders. In V World Congress on Ceramic Tile Quality; Qualicer 98; Open Paper—Group II; Cámara Oficial de Comercio, Industria y Navegación: Castellon, Spain, 1998; p. 191. [Google Scholar]
Disclaimer/Publisher’s Note: The statements, opinions and data contained in all publications are solely those of the individual author(s) and contributor(s) and not of MDPI and/or the editor(s). MDPI and/or the editor(s) disclaim responsibility for any injury to people or property resulting from any ideas, methods, instructions or products referred to in the content. |
© 2023 by the authors. Licensee MDPI, Basel, Switzerland. This article is an open access article distributed under the terms and conditions of the Creative Commons Attribution (CC BY) license (https://creativecommons.org/licenses/by/4.0/).


