Sign in to use this feature.

Years

Between: -

Subjects

remove_circle_outline
remove_circle_outline
remove_circle_outline
remove_circle_outline
remove_circle_outline
remove_circle_outline

Journals

Article Types

Countries / Regions

Search Results (19)

Search Parameters:
Keywords = ceramic tile adhesive

Order results
Result details
Results per page
Select all
Export citation of selected articles as:
27 pages, 8270 KB  
Article
Development of Half-Sandwich Panels with Alkali-Activated Ceramic and Slag Wastes: Mechanical and Thermal Characterization
by Norma Gaibor, Dinis Leitão, Ana Briga-Sá, Tiago Miranda, Nuno Cristelo, Eduardo N. B. Pereira and Vítor M. C. F. Cunha
Buildings 2025, 15(9), 1469; https://doi.org/10.3390/buildings15091469 - 26 Apr 2025
Viewed by 870
Abstract
This paper presents the development of two solutions for sandwich panels composed of a thin-layer alkali-activated composite (AAc) layer and a thicker insulation layer, formed by extruded polystyrene foam or expanded cork agglomerate (panels named APXPS or APICB, respectively). The [...] Read more.
This paper presents the development of two solutions for sandwich panels composed of a thin-layer alkali-activated composite (AAc) layer and a thicker insulation layer, formed by extruded polystyrene foam or expanded cork agglomerate (panels named APXPS or APICB, respectively). The AAc combined ceramic waste from clay bricks and roof tiles (75%) with ladle furnace slag (25%), activated with sodium silicate. The AAc layer was further reinforced with polyacrylonitrile (PAN) fibers (1% content). The mechanical behavior was assessed by measuring the uniaxial compressive strength of cubic AAc specimens, shear bond strength, pull-off strength between the AAc layer and the insulation material, and the flexural behavior of the sandwich panels. The thermal performance was characterized by heat flux, inner surface temperatures, the thermal transmission coefficient, thermal resistance, and thermal conductivity. Mechanical test results indicated clear differences between the two proposed solutions. Although APXPS panels exhibited higher tensile bond strength values, the APICB panels demonstrated superior interlayer bond performance. Similar findings were observed for the shear bond strength, where the irregular surface of the ICB positively influenced the adhesion to the AAc layer. In terms of flexural behavior, after the initial peak load, the APXPS exhibited a deflection-hardening response, achieving greater load-bearing capacity and energy absorption capacity compared to the APICB. Finally, thermal resistance values of 1.02 m2 °C/W and 1.14 m2 °C/W for APICB and APXPS were estimated, respectively, showing promising results in comparison to currently available building materials. Full article
(This article belongs to the Special Issue Research on Sustainable Materials in Building and Construction)
Show Figures

Figure 1

25 pages, 19797 KB  
Article
Investigating the Detachment of Glazed Ceramic Tiles Used in Buildings: A Brazilian Case Study
by Renato Freua Sahade, Priscila R. M. Leal, Sérgio S. Lima, Paulo Sérgio da Silva and Carlos R. C. Lima
Materials 2025, 18(2), 465; https://doi.org/10.3390/ma18020465 - 20 Jan 2025
Viewed by 2512
Abstract
Ceramic detachments in cladding systems are indicative of adhesion loss between the ceramic tiles and the substrate or its adhesive mortar due to inadequate quality workmanship, the quality of the adhesive mortar or that of the ceramic material, whether acting simultaneously or not. [...] Read more.
Ceramic detachments in cladding systems are indicative of adhesion loss between the ceramic tiles and the substrate or its adhesive mortar due to inadequate quality workmanship, the quality of the adhesive mortar or that of the ceramic material, whether acting simultaneously or not. The shear stresses resulting from the ceramic tiles’ expansion due to humidity accelerate this process. There is a shortage of studies on the quality of ceramic tiles and adhesive mortars. This study conducted elemental, physical and microstructural characterization tests on ceramic tiles and adhesive mortars that showed detachment up to two years after being laid. At first glance, the adhesive mortar samples had adequate traits and degree of hydration. The ceramic tiles, on the other hand, showed high porosity and high levels of amorphous and poorly sintered materials, with no crystalline phase. In a second analysis, scanning electron microscopy (SEM) tests associated with boiling plus autoclave moisture expansion tests executed on unused ceramic pieces of the same conformation proved to be more suitable for predicting expansion potential than standard tests. Due to the costs and difficulties in accessing and analyzing the SEM tests, chemical analysis of the ceramic tiles was executed using X-ray fluorescence (XRF) to assess the presence of the amorphous silica (free quartz) and alkaline oxides. Together with pressure and temperature determination tests (autoclave), they may represent another alternative that is easier to access and more cost-effective for predicting future expansion. Full article
(This article belongs to the Section Advanced Materials Characterization)
Show Figures

Figure 1

19 pages, 3651 KB  
Article
Adhesion Analysis of Adhesive Mortar Joints in Ceramic Tiles under Static Loading
by Janaina Salustio da Silva, Sandro M. Torres, Ângelo J. Costa e Silva, Fernando A. N. Silva, António C. Azevedo and João M. P. Q. Delgado
Buildings 2024, 14(3), 670; https://doi.org/10.3390/buildings14030670 - 2 Mar 2024
Cited by 2 | Viewed by 2492
Abstract
Ceramic detachment is a serious problem that persists in modern building constructions despite technological advances and updated regulatory documents. Most of these detachments occur at the interface between the adhesive mortar and the ceramic tile, due to the action of simultaneous tensile and [...] Read more.
Ceramic detachment is a serious problem that persists in modern building constructions despite technological advances and updated regulatory documents. Most of these detachments occur at the interface between the adhesive mortar and the ceramic tile, due to the action of simultaneous tensile and shearing efforts. However, despite this understanding, experimental studies that evaluate the integrity of the adhesion of façades covering materials subjected to simultaneous stress are scarce. In this sense, this study proposes to evaluate the integrity of adhesive mortar joints using the mixed-mode flexure (MMF) crack propagation test. Force and elastic and dissipated energy data were used in this analysis. Prismatic specimens, with a size of 160 × 40 mm2 and a thickness of 6 mm, were produced consisting of two ceramic plates joined by a layer of adhesive mortar at 5 ± 0.5 mm. An acetate film was inserted into one of the mortar–ceramic interfaces in order to simulate the presence of a previous crack, and different crack sizes were used. The results showed the high stress-concentrating effect that the existence of flaws in the interface region has on fracture resistance, as well as the importance of effective contact between the materials. The energy parameters confirmed the analyses carried out based on the load values. The elastic energy of the system fell in the cracked samples, showing that there is a close relationship between the interface energy and the adhesive strength of the material. An energy release of the order of 0.053 ± 0.031 J was required for a 15 mm crack to propagate, creating a fracture surface. Full article
(This article belongs to the Topic Sustainable and Smart Building)
Show Figures

Figure 1

17 pages, 5984 KB  
Article
Adhesion of Historic Tile Fragments in Outdoor Architectural Settings
by Jessica Musacchi, Helena M. A. R. Silva, Susana Cabral-Fonseca, Lurdes Esteves, José Delgado Rodrigues, Maria Paula Rodrigues and Sílvia R. M. Pereira
Buildings 2024, 14(2), 375; https://doi.org/10.3390/buildings14020375 - 1 Feb 2024
Cited by 3 | Viewed by 2433
Abstract
Azulejos are part of Portugal’s most important cultural heritage. However, a large part of this heritage is at risk due to lack of or improper conservation treatments. There are, however, not many studies dedicated to the procedures and materials used in their conservation [...] Read more.
Azulejos are part of Portugal’s most important cultural heritage. However, a large part of this heritage is at risk due to lack of or improper conservation treatments. There are, however, not many studies dedicated to the procedures and materials used in their conservation to guide the choices of conservators/restorers. Through this work, the performances of the adhesives commonly used in azulejo conservation are studied considering the extreme conditions they may experience when in an outdoor environment. Three types of adhesives were studied: acrylics, epoxies, and cellulose nitrates. The adhesives were evaluated for their workability and characterized by FTIR, DMA, and bending tests to obtain information on their adhesion effectiveness and compatibility with the azulejo ceramic substrate before and after artificial and natural ageing. When subjected to mechanical loads, the high strength and stiffness of the epoxy resins could lead to the development of new fractures in the previously undamaged ceramic matrix, making them less suitable for the adhesion of historic tile fragments. Cellulose nitrates revealed a high chemical alteration and the highest degradation rate in the mechanical properties with ageing, showing it to be the least stable in the studied conditions. The acrylic resins proved to be the most chemically stable, with less yellowing and with physical properties that revealed to be the most compatible for the adhesion of the studied azulejo fragments in outdoor environments. Full article
(This article belongs to the Special Issue Conservation of Building Materials)
Show Figures

Figure 1

12 pages, 934 KB  
Article
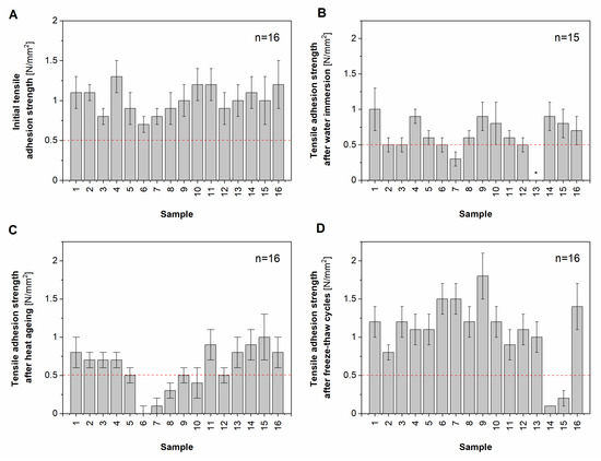
Assessment of Cementitious Ceramic Tile Adhesives in the Light of Repeatability and Reproducibility of the Tensile Adhesion Strength Measurements
by Jacek Michalak and Radosław Ziomek
Materials 2023, 16(12), 4245; https://doi.org/10.3390/ma16124245 - 8 Jun 2023
Cited by 2 | Viewed by 2110
Abstract
The paper presents the results of tensile adhesion strength measurements of ceramic tile adhesive (CTA) stored in various conditions performed by ten operators in one laboratory using the same equipment and auxiliary materials. The obtained results allowed the authors to estimate the repeatability [...] Read more.
The paper presents the results of tensile adhesion strength measurements of ceramic tile adhesive (CTA) stored in various conditions performed by ten operators in one laboratory using the same equipment and auxiliary materials. The obtained results allowed the authors to estimate the repeatability and reproducibility of the tensile adhesion strength measurement method using the methodology following ISO 5725-2:1994+AC1:2002. Standard deviations of repeatability ranging from 0.09 to 0.15 for the general means value in the range of 0.89–1.76 MPa and standard deviations of reproducibility ranging from 0.14 to 0.21 for the same general means content indicate that the accuracy of tensile adhesion strength measurement method is not high enough. From the group of ten operators, five perform tensile adhesion strength measurements daily, the remaining five perform other measures, and the results obtained by professionals and non-professionals showed no significant differences. In light of the obtained results, compliance assessment with this method with the criteria set out in the harmonized standard EN 12004:2007+A1:2012 carried out by different operators may be divergent, and there is a significant risk of incorrect assessments. This risk is additionally increasing in the case of the evaluation conducted by market surveillance authorities, which use the simple acceptance rule that does not consider measurement variability. Full article
(This article belongs to the Section Construction and Building Materials)
Show Figures

Figure 1

17 pages, 663 KB  
Article
Sustainability Assessment of Cementitious Ceramic Tile Adhesives
by Jacek Michalak
Buildings 2023, 13(5), 1326; https://doi.org/10.3390/buildings13051326 - 19 May 2023
Cited by 2 | Viewed by 3367
Abstract
This article presents the results of analyzing environmental impact indicators of thirteen ceramic tile adhesives (CTAs). The analyzed data came from ten third-party-verified Environmental Product Declarations (EPDs) created in 2016–2022. The paper examines seven environmental impact indicators for modules A1–A3 (cradle-to-gate). Significant differences [...] Read more.
This article presents the results of analyzing environmental impact indicators of thirteen ceramic tile adhesives (CTAs). The analyzed data came from ten third-party-verified Environmental Product Declarations (EPDs) created in 2016–2022. The paper examines seven environmental impact indicators for modules A1–A3 (cradle-to-gate). Significant differences were observed between the values of environmental indicators, which, in the case of Global Warming Potential (GWP), differed by almost 270% in the most extreme case. For the depletion of abiotic resources (elements) (ADPe), the values of products differed by nearly fourteen thousand times. Results are discussed from the perspective of the CTAs’ manufacturer assessing the product. The analysis focused on issues such as the historical dimension of data, which is the basis for Life Cycle Assessment (LCA), the need for their constant updating, and the subject of uncertainty—usually wholly omitted in the considerations on the environmental impact of construction products. The results of the analysis were also evaluated in terms of the planned introduction of the new 3+ assessment system in connection with the future amendment of the Construction Products Regulation (CPR). The results of the CTAs’ analysis of environmental indicators showed that, despite the EPDs functioning for a decade, the obligatory assessment of construction products in terms of sustainability using the 3+ system did not create the conditions for its proper occurrence. This analysis showed that, without obtaining reliable data on the environmental impact of CTAs, correct AVCP is not possible, and the consumer is not able to make proper choices. Full article
Show Figures

Figure 1

8 pages, 1049 KB  
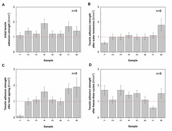
Article
Influence of the Concrete Block on the Tile Adhesive Strength Measured According to EN 12004
by Michael Faatz and Agnes Ehmann
Standards 2023, 3(2), 169-176; https://doi.org/10.3390/standards3020013 - 16 May 2023
Cited by 1 | Viewed by 3609
Abstract
Ceramic tile adhesives (CTA) are playing a dominant role for the business of dry-mix producers. Their quality is classified according to EN 12004. In addition, this standard describes the procedure of a CTA’s performance evaluation. Therefore, a defined ceramic tile, a concrete substrate, [...] Read more.
Ceramic tile adhesives (CTA) are playing a dominant role for the business of dry-mix producers. Their quality is classified according to EN 12004. In addition, this standard describes the procedure of a CTA’s performance evaluation. Therefore, a defined ceramic tile, a concrete substrate, and the actual tile adhesive is required. In our study, we investigated the influence of different concrete slabs on the results of two tile adhesives. In two cases, the influence of an additional thermal storage of the concrete slabs was evaluated. The tests were strictly performed according to EN 12004-2:2017. The highest variation for the same tile adhesive was found for the adhesion after heat storage measured on different concrete substrates. With a higher polymer content the influence tended to level out. Additionally, a significant deviation was observed for the adhesion strength after water storage, even causing a lower CTA classification on one substrate. The results of our investigation show that the quality of concrete slabs and their storage conditions should be seriously considered in comparing the performance of tile adhesive according to EN 12004. Full article
(This article belongs to the Special Issue Standards and Assessment of Construction Products)
Show Figures

Figure 1

20 pages, 6169 KB  
Article
Foam Glass Granule Usage in Tile Glue Mixtures That Use a Reduced Portland Cement Amount
by Ramune Zurauskiene and Lijana Navickiene
Materials 2023, 16(3), 1269; https://doi.org/10.3390/ma16031269 - 2 Feb 2023
Cited by 3 | Viewed by 2448
Abstract
In the last few years, ceramic tiles and tiles from natural rock with higher measurements were used. A huge amount of tile glue is used for high-measurement tile gluing due to a special gluing technology, which is characterized by a thicker glue layer. [...] Read more.
In the last few years, ceramic tiles and tiles from natural rock with higher measurements were used. A huge amount of tile glue is used for high-measurement tile gluing due to a special gluing technology, which is characterized by a thicker glue layer. Due to this, a higher and higher amount of tile glue is used up during decorating. Regular tile glue mixture uses up to about 50–60% cement (according to mixture mass). In carried-out experiments, a lower amount of cement was used in tile glue mixture production (30%). Additionally, 5%, 10%, 15%, 20% and 25% of sand was replaced with small foam glass granules. These granules are made from glass waste. By using foam glass granules, lighter tile glue mixtures were produced, while reducing the cement amount can lower energy usage and CO2 emissions into the atmosphere. The main properties of tile glue were investigated as follows: flow of mixture, density, compressive strength, bending strength, tensile-adhesive strength, slip and water absorption. The properties obtained during the research prove that newly produced tile glue mixtures fulfill all requirements given to these types of mixtures. A total of 25% of foam glass granule from filler mass can be used in tile glue production. Full article
Show Figures

Figure 1

20 pages, 14481 KB  
Article
Numerical Analysis of Experimental Research in a Lightweight Floor System (LFS) with Heat Diffuser
by Karpiesiuk Jacek and Tadeusz Chyży
Materials 2022, 15(18), 6466; https://doi.org/10.3390/ma15186466 - 17 Sep 2022
Cited by 1 | Viewed by 1871
Abstract
The article presents the results of research on a lightweight floor system (LFS) with a heat diffuser made of metal lamellae. It differs from traditional layered floors in the absence of a screed layer, which reduces thermal inertia and predisposes it to be [...] Read more.
The article presents the results of research on a lightweight floor system (LFS) with a heat diffuser made of metal lamellae. It differs from traditional layered floors in the absence of a screed layer, which reduces thermal inertia and predisposes it to be used with renewable energy sources. As part of the research, a real model of the floor, consisting of nine ceramic tiles, was made. Polyurethane adhesive was used to connect the individual layers of this composite. The model was subjected to a thermal action. It was constructed with the measuring equipment consisting of strain gauges. These were located at the boundaries of the composite layers and measured the material’s deformation. The measurement results were verified by numerical calculations. For this purpose, a computational model was made using FEM (finite element method). Comparable results of deformations were obtained (the differences did not exceed 6.1%), which made it possible to perform numerical calculations of light floor materials stresses. Additionally, the displacement of the tested model was measured and numerically verified. The results of these verifications can be useful not only in the heated/cooled LFS with aluminium lamellae, but also in other building partitions inside and outside the building. Full article
Show Figures

Figure 1

13 pages, 1564 KB  
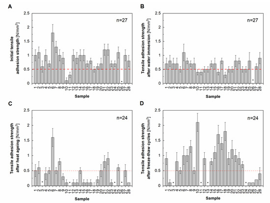
Article
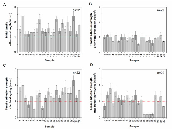
Construction Products between Testing Laboratory and Market Surveillance: Case study of Cementitious Ceramic Tile Adhesives
by Cristina Stancu, Dawid Dębski and Jacek Michalak
Materials 2022, 15(17), 6167; https://doi.org/10.3390/ma15176167 - 5 Sep 2022
Cited by 6 | Viewed by 3421
Abstract
This article presents the results of the interlaboratory comparison (ILC) study of the following four characteristics of ceramic tile adhesives (CTAs): initial tensile adhesion strength, tensile adhesion strength after heat ageing, tensile adhesion strength after immersion in water, and tensile adhesion strength after [...] Read more.
This article presents the results of the interlaboratory comparison (ILC) study of the following four characteristics of ceramic tile adhesives (CTAs): initial tensile adhesion strength, tensile adhesion strength after heat ageing, tensile adhesion strength after immersion in water, and tensile adhesion strength after freeze–thaw cycles. The results showed that the objective of the ILC was achieved—the z-score analysis carried out following ISO 13528 allowed for classifying all results obtained by 23 laboratories out of 27 as satisfactory. The results of the remaining four laboratories were rated worse. Despite the achieved goal, the ILC notes high heterogeneity of the results in terms of failure patterns, as well as significant differences between the lowest and the highest values of tensile adhesion strength for various measurement conditions. The results of the ILC were discussed in terms of the possibility of including them in the risk analysis conducted by the manufacturer. The results of the ILC are also valuable information for market surveillance authorities, who, in the authors’ opinion, should be more cautious about results on samples taken from the market. The ILC results for CTAs are also a valuable recommendation for a possible revision of EN 12004. Full article
Show Figures

Figure 1

10 pages, 2757 KB  
Review
Standards and Assessment of Construction Products: Case Study of Ceramic Tile Adhesives
by Jacek Michalak
Standards 2022, 2(2), 184-193; https://doi.org/10.3390/standards2020013 - 7 May 2022
Cited by 7 | Viewed by 5604
Abstract
This work attempts to draw attention to the importance of a multidimensional approach when creating standard requirements in the assessment of construction products with the example of ceramic tile adhesives (CTAs). CTAs are an essential group of building materials today, the continuous development [...] Read more.
This work attempts to draw attention to the importance of a multidimensional approach when creating standard requirements in the assessment of construction products with the example of ceramic tile adhesives (CTAs). CTAs are an essential group of building materials today, the continuous development of which has been noted since the 1960s. However, until 2001, i.e., the year when EN 12004 was published, there were no precise requirements for CTAs at the European level, which often made it difficult or, in extreme cases, even impossible to assess the product objectively. Under the provisions of EN 12004, for twenty years, the basis for the assessment and verification of constancy of performance (AVCP) of CTAs has been adhesion determined by tensile strength. The paper discusses the test methods, paying attention to their imperfections, including the impact of the materials used in measurements, i.e., concrete slab, ceramic tile, and water quality. The results of the multi-annual interlaboratory tests indicate that an essential factor that must be considered in the process of AVCP is test measurement uncertainty. Additionally, it should be remembered that uncertainty also occurs at other assessment levels. It also seems that the simple acceptance rule that does not consider the variability resulting from the measurement uncertainty is inadequate when assessing CTAs. Full article
(This article belongs to the Special Issue Feature Papers to Celebrate the Inaugural Issue of Standards)
Show Figures

Figure 1

10 pages, 3149 KB  
Article
Effect of Temperature on the Adhesion and Bactericidal Activities of Ag+-Doped BiVO4 Ceramic Tiles
by Ying Zhang, Xuhuan Zhao, Hao Wang, Shiqi Fu, Xiulong Lv, Qian He, Rui Liu, Fangying Ji and Xuan Xu
Inorganics 2022, 10(5), 61; https://doi.org/10.3390/inorganics10050061 - 6 May 2022
Cited by 8 | Viewed by 2882
Abstract
The aim of this research was to study the effect of temperature on the adhesion and disinfection activities of an Ag+-doped BiVO4 (Ag+/BiVO4) coating. Ag+/BiVO4 was prepared by a sol–gel method, and spraying [...] Read more.
The aim of this research was to study the effect of temperature on the adhesion and disinfection activities of an Ag+-doped BiVO4 (Ag+/BiVO4) coating. Ag+/BiVO4 was prepared by a sol–gel method, and spraying was used as the deposition method of coating. X-ray diffraction patterns showed that the monoclinic scheelite phase of the samples was unchanged by annealing at 450–650 °C. Scanning electron microscopy results showed that, at high temperatures, the particles melted and formed a dense coating, and the roughness of the coating decreased after initially increasing. The adhesion and disinfection activities were evaluated by ASTM D3359-08 and disinfection experiments. The results showed that the samples modified by silver had a good disinfection activity when annealed in the range of 450–650 °C. The adhesion increased upon increasing the annealing temperature. The sample annealed at 650 °C showed the best coating adhesion and completely killed Escherichia coli, Staphylococcus aureus, Shigella, and Salmonella after 2 h of visible-light irradiation. Full article
(This article belongs to the Special Issue Nanocomposites for Photocatalysis)
Show Figures

Figure 1

14 pages, 7794 KB  
Article
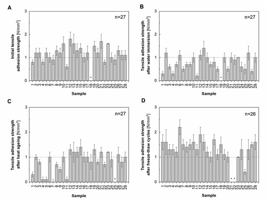
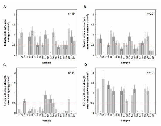
Interlaboratory Comparison as a Source of Information for the Product Evaluation Process. Case Study of Ceramic Tiles Adhesives
by Cristina Stancu and Jacek Michalak
Materials 2022, 15(1), 253; https://doi.org/10.3390/ma15010253 - 29 Dec 2021
Cited by 8 | Viewed by 2620
Abstract
In this study, the results obtained by 19 laboratories participating in 2 editions of the interlaboratory comparison (ILC) determining 2 properties of ceramic tiles adhesives (CTAs), i.e., initial tensile adhesion strength and tensile adhesion strength after water immersion following EN 12004, were analyzed. [...] Read more.
In this study, the results obtained by 19 laboratories participating in 2 editions of the interlaboratory comparison (ILC) determining 2 properties of ceramic tiles adhesives (CTAs), i.e., initial tensile adhesion strength and tensile adhesion strength after water immersion following EN 12004, were analyzed. The results show that participating laboratories maintain a constant quality of their work. The use of z-score analysis, under ISO 13528, allows for classifying 89.5% to 100% of laboratories as satisfactory, depending on the measurement’s kind and edition. The remaining laboratories are classified as questionable. The investigation of the predominant mode of failure of the CTA’s samples tested in the two editions shows significant differences. From the perspective of laboratories, the goal of the ILC has been achieved. From the standpoint of a manufacturer who evaluates a product’s properties when placing it on the market, the results indicate the necessity of a particular treatment of the product evaluation process because the variability of the obtained results is significant. It increases the possibility of the product failing to meet the assessment criteria verified by the construction market supervision authorities. The manufacturer must consider all possible variations in the risk analysis, including the ILC results, to improve the assessment process of CTAs. Full article
(This article belongs to the Special Issue Testing of Materials and Elements in Civil Engineering (2nd Edition))
Show Figures

Figure 1

13 pages, 298 KB  
Review
Ceramic Tile Adhesives from the Producer’s Perspective: A Literature Review
by Jacek Michalak
Ceramics 2021, 4(3), 378-390; https://doi.org/10.3390/ceramics4030027 - 27 Jun 2021
Cited by 18 | Viewed by 12303
Abstract
Ceramic tiles and ceramic tile adhesives (CTA) are two impressive materials that have changed construction history. Ceramic tiles could not provide their beauty and durability for buildings when used as a covering both for the inside and exterior finishing without CTA. Nowadays, they [...] Read more.
Ceramic tiles and ceramic tile adhesives (CTA) are two impressive materials that have changed construction history. Ceramic tiles could not provide their beauty and durability for buildings when used as a covering both for the inside and exterior finishing without CTA. Nowadays, they are complex multi-component systems. Among the various CTAs, cementitious products are the most commonly used. This article presents an extensive review of the literature, showing how they are perceived in the scientific literature today. In this paper, an attempt is made to review individual adhesives’ ingredients’ effects on their properties, with particular reference to redispersible polymer powders and methylcellulose ethers. The article presents the basics of the CTAs, assessing and verifying the constancy of their performance in force in European Union countries. Furthermore, it gives a critical review of CTA’s normalized measurement methodologies. The study also draws attention to the need to consider measurement uncertainty in decision-making and conformity assessment, supported by an analysis of the results of multi-annual inter-laboratory studies and market surveillance tests. Future research suggestions are also made based on the review, mainly from the adhesive manufacturer’s perspective. Full article
(This article belongs to the Special Issue Advances in Ceramics)
15 pages, 3363 KB  
Article
Assessment of the Constancy of Performance of Cementitious Adhesives for Ceramic Tiles: Analysis of the Test Results Commissioned by Polish Market Surveillance Authorities
by Mateusz Łukasik, Bartosz Michałowski and Jacek Michalak
Appl. Sci. 2020, 10(18), 6561; https://doi.org/10.3390/app10186561 - 20 Sep 2020
Cited by 16 | Viewed by 4607
Abstract
Assessment and verification of constancy of performance (AVCP) is a complex process. Without it, the manufacturer cannot mark the product with the Conformitè Europëenne (CE) marking and place it on the EU market. The verification of the correctness of the AVCP is carried [...] Read more.
Assessment and verification of constancy of performance (AVCP) is a complex process. Without it, the manufacturer cannot mark the product with the Conformitè Europëenne (CE) marking and place it on the EU market. The verification of the correctness of the AVCP is carried out by market surveillance. In Poland, supervision authorities regularly check manufacturers by collecting construction products that exist on the market for inspection. Among the dry-mix mortars, adhesives for ceramic tiles (CTA) constitute an essential group. The requirements for CTAs are specified in EN 12004. According to the standard, the basic characteristics of cementitious CTAs are tensile adhesion strength and open time. The adhesion measurements are performed after various laboratory conditions tests. The study analyzes the results obtained for 129 samples of cementitious CTAs, collected between the years 2016 and 2019 from the market, and tested in notified laboratories at the request of Polish construction supervision authorities. Many tested products did not meet the threshold values, which resulted in removing them from the market. The paper discusses the complexity of the tensile adhesion strength measurement. The obtained test results are considered in various dimensions, including using the simple acceptance rule method when evaluating the results, which does not consider the measurement uncertainty. Full article
(This article belongs to the Section Civil Engineering)
Show Figures

Figure 1

Back to TopTop