Abstract
The contamination of traditional Chinese medicines (TCMs) with neonicotinoid pesticides, notably acetamiprid (ACE), poses a significant challenge to product safety. Conventional detection methods are often hampered by operational complexity, prolonged analysis times, and dependence on sophisticated instrumentation, rendering them impractical for rapid on-site screening. To address these limitations, an indirect competitive enzyme-linked immunosorbent assay (ic-ELISA) was developed for the efficient quantification of ACE residue in TCM matrices. A monoclonal antibody-based ic-ELISA was developed through the synthesis of an ACE antigen. Critical assay parameters—including coated antigen concentration, antibody dilution ratio, and blocking buffer composition—were systematically optimized. The validated protocol was subsequently applied to ACE detection in five representative TCMs. The sensitivity (IC50), limit of detection (IC15), and detection range (IC20-IC80) of the developed ic-ELISA for ACE were 13.61 ng/mL, 0.50 ng/mL, and 1.00–150.99 ng/mL, respectively. The ic-ELISA demonstrated good stability and specificity, with cross-reactivity for ACE analogs all below 1.5%. Additionally, the ic-ELISA for ACE achieved recoveries of 86.87–104.80% in spiked TCM samples (Lonicerae Japonicae Flos, Lycii Fructus, Bulbus Lilii, Citri Reticulatae Pericarpium, and Jasminum sambae Flos), with relative standard deviations (RSDs) of 3.33–12.05%. The recovery rate of ic-ELISA was verified to be in good consistency with that of high-performance liquid chromatography (86.09–102.10%), indicating that ic-ELISA has acceptable accuracy and precision. This approach is simple and sensitive, making it suitable for the rapid quantitative detection of ACE residues in TCM products. It also provides technical references for the development of ic-ELISA for other small-molecule contaminants.
1. Introduction
Acetamiprid (ACE), a first-generation neonicotinoid, is widely used not only in agricultural pest control but also in disease and pest prevention during large-scale cultivation of traditional Chinese medicines (TCMs) owing to its high insecticidal efficiency, low toxicity, and broad pesticidal spectrum [,,,]. However, growing research has raised concerns regarding its possible hazards to mammalian health. ACE can be absorbed by mammals through the skin, mouth, and respiratory system, and it has been demonstrated in experimental models to be genotoxic, cytotoxic, and reproductively toxic []. Therefore, many countries have enacted regulatory measures to reduce the negative effects of ACE on human health. For example, the French government passed legislation in 2016 prohibiting the use of ACE and four other neonicotinoid insecticides []. The European Food Safety Authority defined maximum residue limits (MRLs) for ACE in numerous crops such as plums and eggplants at 0.04–0.4 mg/kg []. The Chinese Ministry of Agriculture and Rural Affairs also issued the national regulations ‘GB 2763-2021 Standard for Maximum Residue Limits of Pesticides in Food’, which establishes the MRLs for ACE in vegetables, fruits, grains, and other foods at 0.01–15 mg/kg [].
Traditional medicines can help prevent and treat a variety of diseases. According to a World Health Organization report, almost 80% of the world’s population relies on traditional medicines for primary healthcare, particularly TCMs []. Beyond clinical uses, TCMs are widely used in the manufacturing of functional foods [], food additives [], and cosmetics [], resulting in continual growth in the TCM industry’s scale and market demand. As natural TCM resources become increasingly scarce, artificial cultivation has emerged as the primary source of TCMs. Pesticides are frequently used in large-scale cultivation to control pests and illnesses, raising worries about pesticide residual contamination in TCM products.
Previous studies have shown that neonicotinoid insecticides, particularly ACE, are highly polluted in TCMs. Wang et al. [] used HPLC–MS/MS and GC–MS/MS to screen 168 pesticides in 1017 samples of 10 TCMs. Their findings showed that ACE had a detection rate of 17%. Wang et al. [] analyzed 109 samples of five TCMs with LC–MS/MS to detect 10 neonicotinoid pesticides and their 10 major hazardous metabolites. Ninety (82.57%) of the samples tested positive for neonicotinoid residues, with concentrations ranging from 0.26 to 139.28 μg/kg. ACE had the highest detection rate (77.06%) and maximum concentration (≤85.95 μg/kg). Gao et al. [] used UPLC–MS/MS to detect residues of 15 neonicotinoid pesticides and their metabolites in 15 batches of Lycium. Their findings showed an overall neonicotinoid detection rate of 73.3%, with ACE again dominating—exhibiting the highest detection rate (60%) and concentration range (0.0306–1.09 mg/kg). To address ACE overuse and ensure TCM safety, the 2025 edition of the Chinese Pharmacopoeia has established specific MRLs for ACE in Bulbus Lilii, Lycii Fructus, and Lonicerae Japonicae Flos of 0.05 mg/kg, 2 mg/kg, and 15 mg/kg, respectively [], and the significant difference in these MRLs is mainly related to field experiments. Therefore, the development of reliable, efficient detection methods for ACE in TCMs is urgently needed to enforce regulatory standards and safeguard the safety of TCM products for consumers.
Currently, instrumental analytical techniques are the major method for detecting ACE residues in TCMs, with common approaches including UPLC–MS/MS [], HPLC [,], and LC–HRMS []. These approaches have considerable advantages, including wide applicability, high separation efficiency, outstanding sensitivity, and exceptional reproducibility. However, sample preparation procedures are complex and time-consuming, operation requires well-trained professional personnel, and the associated instruments are large and expensive. These problems contribute to high testing costs [], limiting large-scale general deployment and making them unable to meet the requirements for rapid screening of large batches of TCMs at grassroots-level quality control sites. In recent years, ELISA—based on specific antibody–antigen recognition interactions—has emerged as one of the most promising trace detection techniques for small molecules due to its advantages of simple operation, high sensitivity, low detection cost, and compatibility with on-site real-time testing [,,]. ELISA has matured in the detection of pesticide residues in food and agricultural goods, with researchers developing ELISA for ACE detection in pollen [], vegetables [], and fruits []. However, TCM samples present unique challenges due to their complex composition and wide range of ACE residue levels. The specificity and detection range of ELISA methods for ACE in TCMs still need to be optimized to fully meet the practical demand for rapid, reliable residue detection.
Despite the growing concerns over ACE contamination in TCMs, the development of high-performance ELISA remains notably understudied. To address this critical gap and meet the urgent need for rapid ACE screening to ensure TCM product safety and regulatory compliance, we developed an ic-ELISA for ACE with both high sensitivity and a broad linear range through the employment of self-prepared monoclonal antibodies and the systematic optimization of key assay parameters. The developed ic-ELISA was successfully employed to rapidly detect ACE residues in Lonicerae Japonicae Flos, Lycii Fructus, Bulbus Lilii, Citri Reticulatae Pericarpium, and Jasminum sambae Flos. This work not only provides a reliable analytical tool for ACE monitoring in TCMs, but also establishes a methodological framework that could be adapted for detecting other neonicotinoid contaminants, thereby contributing to enhanced quality control in herbal medicine production and distribution.
2. Materials and Methods
2.1. Materials and Apparatus
Ovalbumin (OVA), bovine serum albumin (BSA), urea peroxide, N-hydroxysuccinimide (NHS), EDC (1-(3-dimethylaminopropyl)-3-ethylcarbodiimide hydrochloride), 3,3′,5,5′-tetramethylbenzidine (TMB), dimethyl sulfoxide (DMSO), sodium bicarbonate (NaHCO3), skimmed milk powder (SMP), and ethanol were purchased from Sigma Aldrich (Shanghai) Trading Co., LTD. (Shanghai, China). Macklin Biochemical Co., Ltd. (Shanghai, China) provided Tween-20. Jackson Immunoresearch Laboratories (West Grove, PA, USA) provided Goat anti-mouse HRP. Shanghai Aladdin Biochemical Technology Co., Ltd. (Shanghai, China) provided ACE, imidacloprid, alatzin, dinotefuran, nitenpyram, carbendazim, chlorpyrifos, omethoate, trichlorfon, thiacloprid, methanol, and other reagents. TCM materials (are shown in Figure S1): Lonicerae Japonicae Flos (LJF), Lycii Fructus (LF), Bulbus Lilii (BL), Citri Reticulatae Pericarpium (CRP), and Jasminum sambae Flos (JSF) were purchased from the market (Beijing, China).
Corning Incorporated (New York, NY, USA) provided 96-well EIA/RIA plates. Shimadzu (Shanghai, China) provided UV-visible spectrophotometer UV-1800. Waters (Shanghai, China) provided XTerra MS C18 column and Arc HPLC System with 2998 PDA Detector. Thermo Fisher Scientific Co. (Waltham, MA, USA) provided Varioskan LUX multimode microplate reader.
2.2. Preparation of ACE Hapten and Antigen
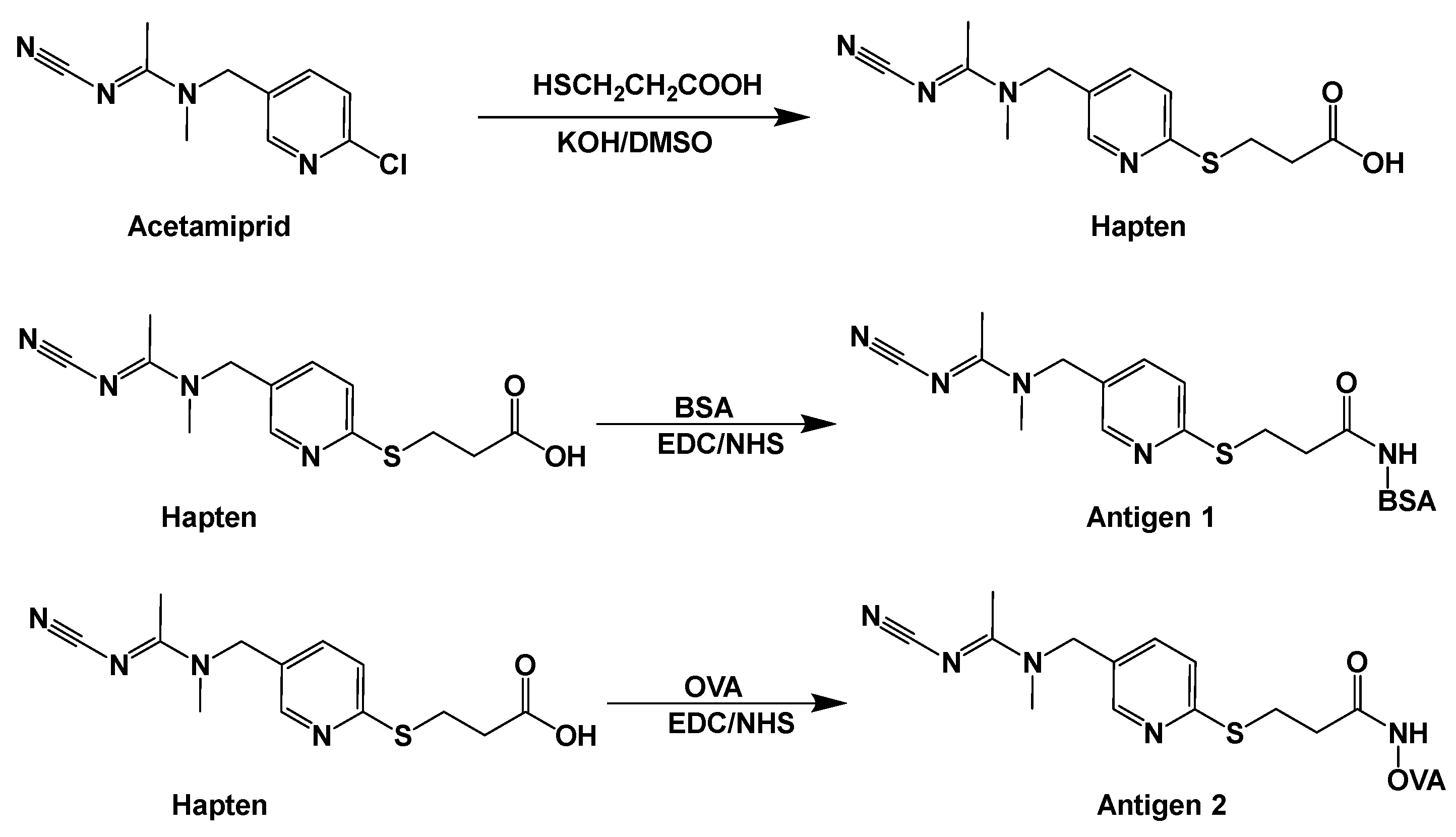
The ACE hapten and antigen synthetic route is shown in Figure 1. Firstly, a mixture containing 2.00 g ACE and 0.9 g KOH was dissolved in 3.0 mL DMSO, followed by the addition of 10 mL DMSO containing 0.84 g β-mercaptopropionic acid which was slowly dropped into the reaction mixture. After stirring at ambient temperature for 12 h, the mixture was filtered and concentrated to yield a yellow viscous liquid, which was then dissolved in 20.0 mL ultrapure water, with the pH of the solution adjusted to 3 using 2.0 mol/L HCl. Then, the aqueous phase was extracted twice with 10.0 mL ethyl acetate each time, and the organic phase was combined and washed twice with ultrapure water. The extracted solution was dried with anhydrous sodium sulfate and concentrated, and the crude product was recrystallized from methanol to obtain ACE hapten as a solid.
Figure 1.
Schematic diagram of the synthesis route for ACE hapten and antigen.
One hundred millimoles of the ACE hapten was dissolved in 2.0 mL DMSO. A 1.5 mL DMSO containing 0.1 moL NHS and 0.1 moL EDC was then added to the ACE hapten solution, and the reaction mixture was magnetically stirred at ambient temperature under a sealed condition for 7 h to overnight. After centrifuging at 8000 r/min for 5 min, the supernatant was slowly added into 2.0 mL of 15 mg/mL BSA (or OVA) solution, and the conjugation reaction was carried out by magnetic stirring at room temperature for 12 h. Upon completion of the conjugation reaction, dialysis was performed against 0.01 mol/L PBS solution (pH 7.4) at 4 °C with constant stirring for 4 days, with the dialysate renewed every 12 h. Finally, the ACE antigen was obtained and stored at −20 °C for subsequent use.
2.3. Preparation of ACE Monoclonal Antibodies
The animal immunization protocol (Table S1) and hybridoma cell preparation and screening, as well as mouse ascites production and antibody purification procedures, are described in detail in the Supplementary Materials.
2.4. Optimization of Working Parameters
Working parameters critically influence ic-ELISA performance. To achieve optimal sensitivity and detection limits, we systematically optimized the following key parameters: the concentration of coated antigen (0.05, 0.10, 0.15 μg/well), a series of dilution coefficients of anti-ACE antibodies (1:8000, 1:12,000, 1:16,000, 1:32,000, 1:64,000, 1:128,000, 1:256,000), and the type of blocking solution (0.4% SMP, 0.8% SMP, 0.4% BSA, 0.8% BSA, 0.4% gelatin, 0.8% gelatin). The HRP-conjugated secondary antibody was used at a fixed dilution of 1:1000. The limit of detection (LOD, calculated as IC15) of ACE served as the primary evaluation indicator.
2.5. Development of ic-ELISA
The development of the ACE ic-ELISA drew upon the prior work of Sheng et al. [], with the principal steps outlined as follows: First, each well was coated with the 100 µL ACE coating antigen solution and incubated at 4 °C overnight. After coating, the plate was washed three times with PBST (0.01 mol/L PBS with 10% Tween-20) to remove unbound antigen. Then, each well was blocked with 200 μL of 0.4% SMP solution and incubated at 37 °C for 1 h to block nonspecific binding sites. Once the blocking process was completed, the wells were cleaned again to eliminate residual blocking buffer. For the competitive reaction step, each well was added with 50 µL ACE standard or TCM sample solution and 50 µL ACE antibody solution (the blank well was added with 100 μL of PBS to correct for the TMB spontaneous color reaction in the absence of ACE antibody, HRP), after which the microwell plate was incubated at 37 °C for 1 h to allow the antigen–antibody reaction to occur. Following this reaction, the wells were cleaned again to remove unbound substances. Then, each well was added with 100 μL of the 1000-fold diluted HRP-labeled secondary antibody solution, and the plate was incubated at 37 °C for 30 min to enable the binding of the primary antibodies to the secondary antibodies. After another round of cleaning to eliminate excess secondary antibody, the plate was added with 0.2 mM TMB substrate solution (100 µL/well) and incubated at 37 °C for 15 min. Finally, the reaction in each well was terminated by adding 50 µL of 1.25 mol/L H2SO4 solution. The absorbance value at 450 nm was determined utilizing multimode microplate reader. S-shaped standard curve was fitted using ACE concentration on the x-axis and inhibition rate on the y-axis. The inhibition rate was calculated through the following formula.
where A0, Ai, and A correspond to the absorbance values of wells treated as follows: 100 µL PBS solution added for A0; 50 µL ACE antibody combined with 50 µL different concentrations of ACE solution for Ai; and 50 µL ACE antibody mixed with 50 µL PBS solution for A.
Inhibition rate (%) = (A − Ai)/(A − A0) × 100
2.6. Specificity Evaluation of ic-ELISA
Method specificity is one of the key indicators for evaluating ic-ELISA and was defined as the ability to specifically recognize the target compound to bind to the antibody. By adding ACE at a concentration of 100.0 ng/mL, structural or functional analogs of ACE (imidacloprid, alatzin, dinotefuran, nitenpyram, carbendazim, chlopyrifos, omethoate, trichlorfon, thiacloprid) at 1000 ng/mL, as well as positive (containing 100.0 ng/mL ACE) and negative (not containing ACE) mixed solutions, can be used to evaluate method specificity. The cross-reactivity was defined by the ratio of the IC50 value of ACE to that of other analogs, and its calculation formula was set as follows:
Cross-reactivity (%) = 100 × IC50 (ACE)/IC50 (other analogs)
2.7. Application Evaluation of ic-ELISA
The stability and accuracy of ic-ELISA were evaluated by detecting ACE in samples of LJF, LF, BL, CRP, and JSF. The sample preparation procedure for ic-ELISA is as follows: 2.0 g sample and 10.0 mL extraction solvent (ethanol: water = 1:9 (v/v)) were placed in a 50 mL centrifuge tube. The mixture was shaken vigorously for 3 min and then left to stand for 20 min. Subsequently, 5.0 mL of supernatant was transferred to another centrifuge tube as the test solution. For actual sample analysis, the above-mentioned test solution needs to be appropriately diluted before use. The sample preparation procedure and key parameters of HPLC are provided in Supplementary Materials.
3. Results and Discussion
3.1. Characterization of Antigens and Screening of Antibodies
The conjugation efficiency of ACE hapten to ovalbumin (ACE–OVA) and bovine serum albumin (ACE–BSA) was quantitatively assessed by UV–Vis spectroscopy. As illustrated in Figure 2A,B, the characteristic absorption peaks of the conjugates exhibited distinct bathochromic shifts compared to BSA and OVA, with the resultant spectra demonstrating intermediate wavelengths between the hapten and protein absorption maxima. This observed hypsochromic shift, coupled with alterations in peak morphology, is consistent with established conjugation characteristics reported in the literature [], thereby confirming successful covalent linkage between the hapten and carrier proteins. Subsequent immunization studies provided additional validation of the successful conjugation of the hapten to the carrier proteins.
Figure 2.
Ultraviolet absorption spectra of ACE–BSA (A) and ACE–OVA (B). Screening of positive hybridoma cell lines (C). Error bars represent the standard deviation (SD, n = 3).
Following three iterative cycles of subcloning, four stable monoclonal antibody-producing hybridoma cell lines (designated B1, C6, D8, and H4) were obtained. As shown in Figure 2C, under conditions of 0.1 μg/well coated antigen and 1:32,000 antibody dilution coefficient, the IC15 for the four antibody groups were 1.2 ng/mL, 5.5 ng/mL, 7.1 ng/mL, and 3.6 ng/mL, with corresponding IC50 of 54.3 ng/mL, 135.6 ng/mL, 136.9 ng/mL, and 112.6 ng/mL, respectively. Among the four cell lines, the B1 cell line (immunized with ACE–BSA) produced antibodies with the lowest IC15 and IC50, and was selected for subsequent development of ic-ELISA.
3.2. Optimization of ic-ELISA Conditions
The concentration of the coated antigen, the dilution factor of the anti-ACE antibody, and the type of blocking solution are critical factors influencing the performance of ic-ELISA []. Systematic optimization of these variables was conducted to enhance the assay sensitivity of ic-ELISA. As presented in Figure 3A, reducing the ACE coated antigen concentration from 0.15 μg/well to 0.05 μg/well generally decreased the IC15 value. When the ACE coated antigen was at a concentration of 0.05 μg/well and the ACE antibody had a dilution factor of 1:16,000, the constructed ic-ELISA exhibited the lowest IC15 value of 1.0 ng/mL. Further optimization was performed to evaluate the impact of blocking solutions on assay performance (Figure 3B). Comparative analysis revealed that SMP exhibited the highest blocking efficiency, yielding an IC15 of 0.5 ng/mL at 0.4% (w/v), compared to 1.1 ng/mL for BSA and 1.5 ng/mL for gelatin at the same concentration. Notably, 0.4% blocking solutions consistently outperformed their 0.8% counterparts, suggesting that excessive blocking agent concentration may hinder antibody–antigen interactions. Thus, 0.4% SMP was selected as the optimal blocking solution for subsequent ic-ELISA.
Figure 3.
Optimization of coated antigen concentration and antibody dilution factor (A) and blocking solution (B). Error bars represent the standard deviation (SD, n = 3).
3.3. Establishment of ic-ELISA Standard Curve
Under optimal working conditions, the S-shaped standard curve of ic-ELISA for ACE was established with the following equation: y = 1.3549 + (100.7262 − 1.3549)/[1 + (21.6648/x)0.5922]0.8501 (R2 = 0.9969). Calculations showed that ic-ELISA had a sensitivity (IC50) of 13.61 ng/mL, LOD (IC15) of 0.50 ng/mL, and a detection range (IC20-IC80) of 1.00–150.99 ng/mL (Figure 4A). To evaluate the stability of the established ic-ELISA, 96-well plates were blocked and stored at −20 °C, and the performance of ic-ELISA was monitored over 180 days. As shown in Figure 4B, the IC50 increased slightly from 13.6 ng/mL to 15.8 ng/mL, and statistical analysis revealed no significant difference in sensitivity (p > 0.05), confirming that the ic-ELISA exhibits excellent stability, maintaining reliable performance over 180 days.
Figure 4.
ACE sigmoidal standard curve (A) and stability evaluation (B) of the ic-ELISA. Error bars represent the standard deviation (SD, n = 3).
3.4. Evaluation of Specificity
To further verify the specificity of the established ic-ELISA, single standard substances (100.0 ng/mL ACE, 1000.0 ng/mL each of structurally/functionally analogous compounds) and mixed standard solutions including Mix 1 (containing 100.0 ng/mL ACE) and Mix 2 (containing no ACE) were tested. Results are shown in Figure 5. The inhibition rates of 100.0 ng/mL ACE and Mix 1 (containing 100.0 ng/mL ACE) were 78.8% and 79.0%, respectively. In contrast, inhibition rates of other standard solutions were all less than 4.0%, with cross-reactivity consistently less than 1.5% (Table 1). This confirms that the prepared ACE antibody possesses high specificity, being capable of recognizing only ACE. Compared with previously reported ACE antibodies [], the antibody in this study exhibits lower cross-reactivity with thiamethoxam and thiacloprid.
Figure 5.
Specificity evaluation of ic-ELISA. Error bars represent the standard deviation (SD, n = 3).
Table 1.
Cross-reactivity of ic-ELISA.
3.5. Application in Actual Samples
The absence of ACE residues in the test samples was confirmed through parallel analysis using both HPLC and ic-ELISA, qualifying these samples as appropriate blank controls for subsequent experiments. For the validation of the developed ic-ELISA’s reliability, ACE was spiked into samples at three distinct concentrations (5, 50, and 500 µg/kg). For actual sample analysis, the sample extract was diluted and tested by this method. As shown in Table 2, the recoveries of ACE by the ic-ELISA ranged from 86.87% to 104.80% with RSDs of 3.33–12.05%. These results showed excellent agreement with recovery values (86.09–102.10%) with RSDs (1.55–7.40%) using HPLC. The outcomes obtained from ic-ELISA showed consistency with HPLC results, with a correlation coefficient (R2) of 0.9980 (Figure S2). These results confirm that the established ic-ELISA possesses favorable accuracy, and it is applicable for detecting ACE in various parts of medicinal plants, including LJF (flower), JSF (flower), LF (fruit), BL (bulb), and CRP (fruit peel).
Table 2.
ACE determination results through ic-ELISA and HPLC in real samples (n = 3).
3.6. Comparison with Other Immunoassays
Many similar immunoassay reports were collected for the purpose of comparative analysis. The comparison results (sensitivity, detection range, cross-reactivity, applicable matrix, and pre-treatment) are shown in Table 3. First, this study is the first to develop an ic-ELISA method for detecting ACE in TCMs, while previous studies have primarily focused on food and agricultural products, such as Chinese chives [] and peaches []. Second, the established conventional HRP-based ic-ELISA exhibits a sensitivity and detection range essentially consistent with those studies that use novel signal-amplifying materials such as peroxidase-like bimetallic nanoenzyme [] or chemiluminescence enzyme []. Future work will explore the application of novel labeling materials such as nanoenzymes and artificial enzymes in TCM detection. Third, during sample preparation, ethanol was used for pesticide extraction instead of methanol or acetonitrile as in other ACE immunoassays [,], featured by lower toxicity, reduced solvent consumption, and simpler pre-treatment steps.
Table 3.
Comparison of the ACE immunoassay.
4. Conclusions
Based on the monoclonal antibody that had been prepared, the optimized ic-ELISA for the neonicotinoid insecticide ACE was successfully constructed and demonstrated a sensitivity (IC50) of 13.61 ng/mL, LOD (IC15) of 0.50 ng/mL, and detection range (IC20–IC80) of 1.00–150.99 ng/mL. The constructed ic-ELISA detected the other pesticides, showing cross-reactivity less than 1.5%. A comparison between the results of the proposed ic-ELISA and HPLC revealed strong consistency, with their correlation coefficient (R2) reaching 0.9980. The developed ic-ELISA was successfully applied to detecting ACE in five TCMs: LJF, LF, BL, CRP, and JSF. In conclusion, this rapid, accurate, and cost-effective ic-ELISA provides a practical solution for monitoring ACE residues in TCMs, supporting quality control and safety assurance. Furthermore, the methodological framework established here offers a valuable reference for developing ic-ELISAs targeting other small-molecule contaminants, including veterinary drug residues, biotoxins, and illegal additives in herbal products.
Supplementary Materials
The following supporting information can be downloaded at https://www.mdpi.com/article/10.3390/toxics13110982/s1, Experimental methods, Figure S1: The TCM materials used in this study; Figure S2: Correlation analysis between ic-ELISA and HPLC detection results; Table S1: Immunization program.
Author Contributions
T.Z.: Methodology, Validation, Formal analysis, Investigation, Data curation, Writing—Original draft preparation, Writing—Reviewing and Editing, Visualization. B.Z.: Conceptualization, Formal analysis, Investigation, Data curation, Writing—Original draft preparation, Writing—Reviewing and Editing, Visualization. X.X.: Validation. Y.L. (Yuanxi Liu): Resources, Conceptualization. H.L.: Formal analysis, Investigation. H.J.: Methodology, Validation, Formal analysis. Y.L. (Yongqiang Lin): Resources, Writing—Reviewing and Editing, Supervision. F.W.: Resources, Writing—Reviewing and Editing, Supervision, Funding acquisition. Y.W.: Resources, Writing—Reviewing and Editing, Supervision, Funding acquisition. All authors have read and agreed to the published version of the manuscript.
Funding
This work was supported by the National Key Research and Development Program of China (Grant No. 2023YFC3504103), the 1+n+n Regulatory Science Demonstration Project of NIFDC (Grant No. 2025NNJGKX001) and the Youth Development Research Foundation of NIFDC (Grant No. 1020052410206).
Institutional Review Board Statement
The animal study protocol was approved by the Ethics Committee of China Jiliang University (protocol code 028 and date of approval 16 July 2021).
Informed Consent Statement
Not applicable.
Data Availability Statement
The datasets generated for this study are available on request to the corresponding author.
Conflicts of Interest
The authors declare that they have no known competing financial interests or personal relationships that could appear to influence the work reported in this paper.
References
- Ospina, M.; Wong, L.-Y.; Baker, S.E.; Serafim, A.B.; Morales-Agudelo, P.; Calafat, A.M. Exposure to Neonicotinoid Insecticides in the U.S. General Population: Data from the 2015–2016 National Health and Nutrition Examination Survey. Environ. Res. 2019, 176, 108555. [Google Scholar] [CrossRef]
- Wrobel, S.A.; Bury, D.; Belov, V.N.; Klenk, J.M.; Hauer, B.; Hayen, H.; Martino-Andrade, A.J.; Koch, H.M.; Brüning, T.; Käfferlein, H.U. Rapid Quantification of Seven Major Neonicotinoids and Neonicotinoid-like Compounds and Their Key Metabolites in Human Urine. Anal. Chim. Acta 2023, 1239, 340680. [Google Scholar] [CrossRef]
- Wang, Y.; Fu, Y.; Wang, Y.; Lu, Q.; Ruan, H.; Luo, J.; Yang, M. A Comprehensive Review on the Pretreatment and Detection Methods of Neonicotinoid Insecticides in Food and Environmental Samples. Food Chem. X 2022, 15, 100375. [Google Scholar] [CrossRef]
- Mao, J.; Han, Y.; Wang, Z.; Wang, S.; Wei, Z.; Cao, H.; Yuan, H.; Ye, T.; Xu, F. Fabrication and Detection of Molecularly Imprinted Fluorescence Sensor Based on Acetamiprid. J. Food Sci. Biotechnol. 2022, 41, 40–47. [Google Scholar] [CrossRef]
- Phogat, A.; Singh, J.; Kumar, V.; Malik, V. Toxicity of the Acetamiprid Insecticide for Mammals: A Review. Environ. Chem. Lett. 2022, 20, 1453–1478. [Google Scholar] [CrossRef]
- Jactel, H.; Verheggen, F.; Thiéry, D.; Escobar-Gutiérrez, A.J.; Gachet, E.; Desneux, N. Alternatives to Neonicotinoids. Environ. Int. 2019, 129, 423–429. [Google Scholar] [CrossRef] [PubMed]
- Modification of the Existing Maximum Residue Levels for Acetamiprid in Various Crops—2021-EFSA Journal—Wiley Online Library. Available online: https://efsa.onlinelibrary.wiley.com/doi/full/10.2903/j.efsa.2021.6830 (accessed on 9 December 2024).
- GB 2763-2021; Standard for Maximum Residue Limits of Pesticides in Food. National Health Commission of the People’s Republic of China: Beijing, China, 2021. Available online: https://2763.foodvip.net/pesticides/limit/112.html (accessed on 30 May 2025).
- Ji, C.; Xiao, L.; Wang, X.; Hua, M.Z.; Wu, Y.; Wang, Y.; Wu, Z.; He, X.; Xu, D.; Zheng, W.; et al. Simultaneous Determination of 147 Pesticide Residues in Traditional Chinese Medicines by GC–MS/MS. ACS Omega 2023, 8, 28663–28673. [Google Scholar] [CrossRef]
- Piemontese, L. Plant Food Supplements with Antioxidant Properties for the Treatment of Chronic and Neurodegenerative Diseases: Benefits or Risks? J. Diet. Suppl. 2017, 14, 478–484. [Google Scholar] [CrossRef] [PubMed]
- Nabavi, S.F.; Di Lorenzo, A.; Izadi, M.; Sobarzo-Sánchez, E.; Daglia, M.; Nabavi, S.M. Antibacterial Effects of Cinnamon: From Farm to Food, Cosmetic and Pharmaceutical Industries. Nutrients 2015, 7, 7729–7748. [Google Scholar] [CrossRef]
- Wang, K.-H.; Lin, R.-D.; Hsu, F.-L.; Huang, Y.-H.; Chang, H.-C.; Huang, C.-Y.; Lee, M.-H. Cosmetic Applications of Selected Traditional Chinese Herbal Medicines. J. Ethnopharmacol. 2006, 106, 353–359. [Google Scholar] [CrossRef]
- Wang, Y.; Gou, Y.; Zhang, L.; Li, C.; Wang, Z.; Liu, Y.; Geng, Z.; Shen, M.; Sun, L.; Wei, F.; et al. Levels and Health Risk of Pesticide Residues in Chinese Herbal Medicines. Front. Pharmacol. 2022, 12, 818268. [Google Scholar] [CrossRef]
- Wang, Y.; Qin, J.; Lu, Q.; Tian, J.; Ke, T.; Guo, M.; Luo, J.; Yang, M. Residue Detection and Correlation Analysis of Multiple Neonicotinoid Insecticides and Their Metabolites in Edible Herbs. Food Chem. X 2023, 17, 100603. [Google Scholar] [CrossRef]
- Gao, M.; He, K.; Zhang, J.; Liu, X.; Ma, L. Simultaneous Determination of 15 Neonicotinoid Pesticide and Metabolite Residues in Lycium by QuEChERS-UPLC-MS/MS Method. Chin. J. Anal. Lab. 2025, 44, 36–41. [Google Scholar] [CrossRef]
- Chinese Pharmacopoeia Commission. General Requirements for the Verification of Medicinal Materials and the Prepared Slices of Chinese Crude Drugs 0212. In Pharmacopoeia of People’s Republic of China, 2025th ed.; People’s Medical Publishing House: Beijing, China, 2025; ISBN 978-7-5214-5207-5. [Google Scholar]
- Zhang, Y.; Zhang, J.; Wang, Y.; Luo, Z.; Li, X.; Wang, Y.; Luo, J.; Yang, M. Unveiling the Contamination Patterns of Neonicotinoid Insecticides: Detection, Distribution, and Risk Assessment in Panax Notoginseng across Plant Parts. J. Agric. Food Chem. 2024, 72, 17834–17846. [Google Scholar] [CrossRef]
- Vichapong, J.; Burakham, R.; Srijaranai, S. Alternative Liquid–Liquid Microextraction as Cleanup for Determination of Neonicotinoid Pesticides Prior HPLC Analysis. Chromatographia 2016, 79, 285–291. [Google Scholar] [CrossRef]
- Balayiannis, G.P.; Karasali, H. Determination of Azoxystrobin, Topramezone, Acetamiprid, Fluometuron and Folpet in Their Commercially Available Pesticide Formulations by Liquid Chromatography. J. Environ. Sci. Health Part B 2021, 56, 503–511. [Google Scholar] [CrossRef]
- Pan, H.; Zhou, H.; Lan, L.; Miao, S.; Gu, Y.; Cao, J.; Yuan, M.; Mao, X.; Hu, Q.; Ji, S. An Enhanced Approach for Targeted Multi-Residue Screening of Pesticides in Complex Herbal Medicines by Ultra High-Performance Liquid Chromatography Tandem Ion Mobility/Quadrupole Time-of-Flight Mass Spectrometry. Arab. J. Chem. 2023, 16, 105007. [Google Scholar] [CrossRef]
- Uchigashima, M.; Watanabe, E.; Ito, S.; Iwasa, S.; Miyake, S. Development of Immunoassay Based on Monoclonal Antibody Reacted with the Neonicotinoid Insecticides Clothianidin and Dinotefuran. Sensors 2012, 12, 15858–15872. [Google Scholar] [CrossRef]
- Przybylska, A.; Chrustek, A.; Olszewska-Słonina, D.; Koba, M.; Kruszewski, S. Determination of Patulin in Products Containing Dried Fruits by Enzyme-Linked Immunosorbent Assay Technique Patulin in Dried Fruits. Food Sci. Nutr. 2021, 9, 4211–4220. [Google Scholar] [CrossRef] [PubMed]
- Hojo, E.; Matsuura, N.; Kamiya, K.; Yonekita, T.; Morishita, N.; Murakami, H.; Kawamura, O. Development of a Rapid and Versatile Method of Enzyme-Linked Immunoassay Combined with Immunoaffinity Column for Aflatoxin Analysis. J. Food Prot. 2019, 82, 1472–1478. [Google Scholar] [CrossRef] [PubMed]
- Zhang, B.; Lang, Y.; Guo, B.; Cao, Z.; Cheng, J.; Cai, D.; Shentu, X.; Yu, X. Indirect Competitive Enzyme-Linked Immunosorbent Assay Based on Broad-Spectrum Antibody for Simultaneous Determination of Thirteen Fluoroquinolone Antibiotics in Rana Catesbeianus. Foods 2023, 12, 2530. [Google Scholar] [CrossRef]
- Fang, Q.; Zu, Q.; Hua, X.; Lv, P.; Lin, W.; Zhou, D.; Xu, Z.; Fan, J.; Li, X.; Cao, H. Quantitative Determination of Acetamiprid in Pollen Based on a Sensitive Enzyme-Linked Immunosorbent Assay. Molecules 2019, 24, 1265. [Google Scholar] [CrossRef]
- Wu, Y.; Guo, Y.; Yang, Q.; Li, F.; Sun, X. The Effects of Different Antigen–Antibody Pairs on the Results of 20 Min ELISA and 8 Min Chromatographic Paper Test for Quantitative Detection of Acetamiprid in Vegetables. Biosensors 2022, 12, 730. [Google Scholar] [CrossRef]
- Wanatabe, S.; Ito, S.; Kamata, Y.; Omoda, N.; Yamazaki, T.; Munakata, H.; Kaneko, T.; Yuasa, Y. Development of Competitive Enzyme-Linked Immunosorbent Assays (ELISAs) Based on Monoclonal Antibodies for Chloronicotinoid Insecticides Imidacloprid and Acetamiprid. Anal. Chim. Acta 2001, 427, 211–219. [Google Scholar] [CrossRef]
- Sheng, W.; Zhang, B.; Zhao, Q.; Wang, S.; Zhang, Y. Preparation of a Broad-Spectrum Heterocyclic Aromatic Amines (HAAs) Antibody and Its Application in Detection of Eight HAAs in Heat Processed Meat. J. Agric. Food Chem. 2020, 68, 15501–15508. [Google Scholar] [CrossRef]
- Liu, C.; Wang, Y.; Zhang, L.; Qin, J.; Dou, X.; Fu, Y.; Li, Q.; Zhao, X.; Yang, M. An Integrated Strategy for Rapid On-Site Screening and Determination of Prometryn Residues in Herbs. Anal. Bioanal. Chem. 2020, 412, 621–633. [Google Scholar] [CrossRef] [PubMed]
- Zhu, W.; Zhang, J.; Zhang, Y.; Zhang, H.; Miao, K.; Luo, J.; Yang, M. Establishment of a Rapid and Sensitive Ic-ELISA for the Detection of Thiacloprid Residues in Honey and Medicinal Herbs Using a Novel Highly Specific Monoclonal Antibody. Ecotoxicol. Environ. Saf. 2024, 284, 116911. [Google Scholar] [CrossRef] [PubMed]
- Li, H.; Wang, Z.; Kong, L.; Huang, B.; Xu, Y.; Hou, R. AuNPs-Based Lateral Flow Immunoassay for Point-of-Needs Analysis of Four Neonicotinoids in Tea Samples: Effects of Grinding Degrees, Solvent Types and Contents on Extraction Efficiency. Food Chem. 2022, 397, 133790. [Google Scholar] [CrossRef] [PubMed]
- Watanabe, E.; Yamasaki, T.; Hirakawa, Y.; Harada, A.; Iwasa, S.; Miyake, S. Organic Solvent-Free Immunoassay for Quantitative Detection of Neonicotinoid Acetamiprid Residues in Agricultural Products. Anal. Methods 2018, 10, 3162–3169. [Google Scholar] [CrossRef]
- Watanabe, E.; Miyake, S.; Baba, K.; Eun, H.; Endo, S. Immunoassay for Acetamiprid Detection: Application to Residue Analysis and Comparison with Liquid Chromatography. Anal. Bioanal. Chem. 2006, 386, 1441–1448. [Google Scholar] [CrossRef]
- Liu, B.; Zhai, R.; Abd El-Aty, A.M.; Zhang, J.; Liu, G.; Huang, X.; Lv, J.; Chen, J.; Liu, J.; Jin, M.; et al. Bimetallic Nanozyme-Assisted Immunoassay for the Detection of Acetamiprid in Vegetables. ACS Appl. Nano Mater. 2024, 7, 21833–21841. [Google Scholar] [CrossRef]
- Zhu, Z.; Shi, Q.; Wu, J.; He, K.; Feng, J.; Dong, S. Determination of Acetamiprid Residues in Vegetables by Indirect Competitive Chemiluminescence Enzyme Immunoassay. Foods 2022, 11, 2507. [Google Scholar] [CrossRef] [PubMed]
- Li, J.; Sun, W.; Qin, Y.; Cui, P.; Song, G.; Hua, X.; Wang, L.; Wang, M. Inner Filter Effect-Based Immunoassay for the Detection of Acetamiprid Using Upconversion Nanoparticles and Gold Nanoparticles. Food Agric. Immunol. 2021, 32, 740–753. [Google Scholar] [CrossRef]
- Xu, R.; Xiang, Y.; Shen, Z.; Li, G.; Sun, J.; Lin, P.; Chen, X.; Huang, J.; Dong, H.; He, Z.; et al. Portable Multichannel Detection Instrument Based on Time-Resolved Fluorescence Immunochromatographic Test Strip for on-Site Detecting Pesticide Residues in Vegetables. Anal. Chim. Acta 2023, 1280, 341842. [Google Scholar] [CrossRef] [PubMed]
Disclaimer/Publisher’s Note: The statements, opinions and data contained in all publications are solely those of the individual author(s) and contributor(s) and not of MDPI and/or the editor(s). MDPI and/or the editor(s) disclaim responsibility for any injury to people or property resulting from any ideas, methods, instructions or products referred to in the content. |
© 2025 by the authors. Licensee MDPI, Basel, Switzerland. This article is an open access article distributed under the terms and conditions of the Creative Commons Attribution (CC BY) license (https://creativecommons.org/licenses/by/4.0/).









