From Soil to Plate: Lithium and Other Trace Metals Uptake in Vegetables Under Variable Soil Conditions
Abstract
1. Introduction
2. Materials and Methods
2.1. Study Area and Sampling
2.2. Sample Preparation and Analytical Procedures
2.3. Analytical Procedure
2.4. Data Analysis
3. Results and Discussion
3.1. Experimental Results
3.1.1. Soil Concentrations of Metals and Metalloids
3.1.2. Vegetables Concentrations of Metals and Metalloids and Their Transfer Factors
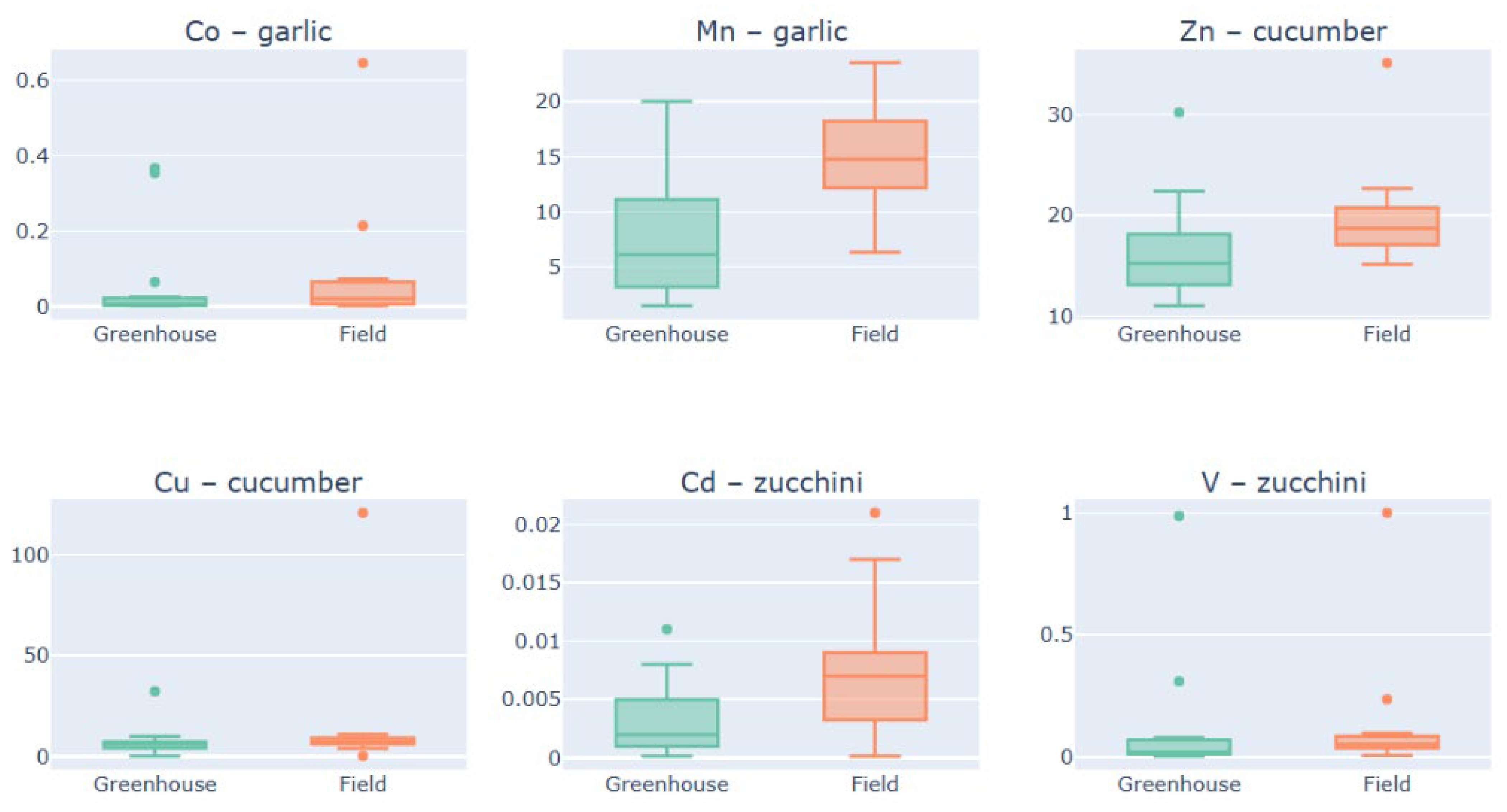
3.2. Statistical Analysis
3.3. Comparison with the Existing Literature and Mechanistic Interpretation
3.4. Health Risk Assessment and Regulatory Compliance
4. Conclusions
- (1)
- Targeted regional surveillance for Li and highly mobile elements like Sr in areas of known geological anomaly (e.g., Dolj, Olt) to track long-term bioavailability changes;
- (2)
- Broad, consistent monitoring for Cd and Pb at the local scale, especially near anthropogenic sources, as these elements pose the most immediate, albeit localized, public health risk.
Supplementary Materials
Author Contributions
Funding
Institutional Review Board Statement
Informed Consent Statement
Data Availability Statement
Acknowledgments
Conflicts of Interest
References
- Pickett, S.T.; Prke, V.T.; Fiedler, P. The New Paradigm in Ecology: Implications for Conservation Biology above the Species Level. In Conservation Biology; Fiedler, P.L., Jain, S.K., Eds.; Springer: Boston, MA, USA, 1992; pp. 65–88. [Google Scholar] [CrossRef]
- Eyre-Watt, B.; Mahendran, E.; Suetani, S.; Firth, J.; Kisely, S.; Siskind, D. The association between lithium in drinking water and neuropsychiatric outcomes: A systematic review and meta-analysis from across 2678 regions containing 113 million people. Aust. N. Z. J. Psychiatry 2021, 55, 139–152. [Google Scholar] [CrossRef]
- Hedya, S.A.; Avula, A.; Swoboda, H.D. Lithium Toxicity. In StatPearls; StatPearls Publishing: Treasure Island, FL, USA, 2023. [Google Scholar] [PubMed]
- Iordache, A.M.; Voica, C.; Roba, C.; Nechita, C. Lithium Content and Its Nutritional Beneficence, Dietary Intake, and Impact on Human Health in Edibles from the Romanian Market. Foods 2024, 13, 592. [Google Scholar] [CrossRef] [PubMed]
- Buendía-Valverde, M.d.l.L.; Gómez-Merino, F.C.; Fernández-Pavía, Y.L.; Mateos-Nava, R.A.; Trejo-Téllez, L.I. Lithium: An Element with Potential for Biostimulation and Biofortification Approaches in Plants. Horticulturae 2024, 10, 1022. [Google Scholar] [CrossRef]
- Available online: https://www.psychiatryredefined.org/lithium-as-a-nutrient/ (accessed on 20 September 2025).
- Hemen, S.; Tanushree, B.; Balal, Y.; Mahesh, N. Nanoplastics and lithium accumulation in soil–plant systems: Assessing uptake, toxicological effects, and potential synergistic interactions. Curr. Res. Biotechnol. 2024, 7, 100170. [Google Scholar] [CrossRef]
- Chevalier, N.; Guillou, P.; Viguié, C.; Fini, J.-B.; Sachs, L.M.; Michel-Caillet, C.; Mhaouty-Kodja, S. Lithium and endocrine disruption: A concern for human health? Environ. Int. 2024, 190, 108861. [Google Scholar] [CrossRef]
- Underwood, E.J. Trace Elements in Human and Animal Nutrition, 3rd ed.; Academic Press: New York, NY, USA, 1971; p. 543. [Google Scholar]
- Tangahu, B.V.; Sheikh Abdullah, S.R.; Basri, H.; Idris, M.; Anuar, N.; Mukhlisin, M. A review on trace metals (As, Pb, and Hg) uptake by plants through phytoremediation. Int. J. Chem. Eng. 2011, 2011, 939161. [Google Scholar] [CrossRef]
- Jan, S.; Parray, J.A. Approaches to Heavy Metal Tolerance in Plants; Springer: Singapore, 2016. [Google Scholar] [CrossRef]
- Mitra, S.; Chakraborty, A.J.; Tareq, A.M.; Emran, T.B.; Nainu, F.; Khusro, A.; Idris, A.M.; Khandaker, M.U.; Osman, H.; Alhumaydhi, F.A.; et al. Impact of trace metals on the environment and human health: Novel therapeutic insights to counter the toxicity. J. King Saud Univ. Sci. 2022, 34, 101865. [Google Scholar] [CrossRef]
- Vanisree, C.R.; Singh, S.M.; Singh, P.B.; Jadhav, E.; Verma, R.K.; Kant, A.K.; Awasthi, G.; Nagar, V. Heavy metal contamination of food crops: Transportation via food chain, human consumption, toxicity and management strategies. In Environmental Impact and Remediation of Trace Metals; IntechOpen: London, UK, 2022. [Google Scholar] [CrossRef]
- Khan, A.R.; Ara, M.H. A review on trace metals in vegetables available in Bangladesh. J. Hum. Environ. Health Promot. 2021, 7, 108–119. [Google Scholar] [CrossRef]
- Ülger, G.T.; Songur, A.N.; Çırak, Ö.; Çakıroğlu, F.P. Role of Vegetables in Human Nutrition and Disease Prevention. In Vegetables—Importance of Quality Vegetables to Human Health; IntechOpen: London, UK, 2018; pp. 34–47. [Google Scholar] [CrossRef]
- Medyńska-Juraszek, A.; Rivier, P.-A.; Rasse, D.; Joner, E.J. Biochar affects heavy metal uptake in plants through interactions in the rhizosphere. Appl. Sci. 2020, 10, 5105. [Google Scholar] [CrossRef]
- Sanders, T.; Liu, Y.; Buchner, V.; Tchounwou, P.B. Neurotoxic effects and biomarkers of lead exposure: A review. Rev. Environ. Health 2009, 24, 15–45. [Google Scholar] [CrossRef]
- Doguer, C.; Ha, J.H.; Collins, J.F. Intersection of iron and copper metabolism in the mammalian intestine and liver. Compr. Physiol. 2018, 8, 1433–1461. [Google Scholar] [CrossRef] [PubMed]
- Stiles, L.I.; Ferrao, K.; Mehta, K.J. Role of zinc in health and disease. Clin. Exp. Med. 2024, 24, 38–50. [Google Scholar] [CrossRef]
- Razzaque, M.S.; Wimalawansa, S.J. Minerals and human health: From deficiency to toxicity. Nutrients 2025, 17, 454. [Google Scholar] [CrossRef] [PubMed]
- Doley, J. Vitamins and minerals in older adults: Causes, diagnosis, and treatment of deficiency. In Nutrition and Functional Foods for Healthy Aging; Academic Press: Arizona, AZ, USA, 2017; pp. 125–137. [Google Scholar] [CrossRef]
- Charkiewicz, A.E.; Omeljaniuk, W.J.; Garley, M.; Nikliński, J. Mercury exposure and health effects: What do we really know? Int. J. Mol. Sci. 2025, 26, 2326. [Google Scholar] [CrossRef] [PubMed]
- Gupta, N.; Yadav, K.K.; Kumar, V.; Prasad, S.; Cabral-Pinto, M.M.S.; Jeon, B.-H.; Kumar, S.; Abdellattif, M.H.; Alsukaibia, A.K.D. Investigation of heavy metal accumulation in vegetables and health risk to humans from their consumption. Front. Environ. Sci. 2022, 10, 791052. [Google Scholar] [CrossRef]
- Melnyk, L.J.; Donohue, M.J.; Pham, M.; Donohue, J. Absorption of strontium by foods prepared in drinking water. J. Trace Elem. Med. Biol. 2019, 53, 22–26. [Google Scholar] [CrossRef]
- CEM. Mars 6 Microwave Digestion, Method Note Compendium; CEM: Matthews, NC, USA, 2019. [Google Scholar]
- Lemessa, F.; Simane, B.; Seyoum, A.; Gebresenbet, G. Analysis of the concentration of trace metals in soil, vegetables and water around the Bole Lemi Industry Park, Ethiopia. Heliyon 2022, 8, e12429. [Google Scholar] [CrossRef]
- Paun, N.; Zgavarogea, R.I.; Iordache, A.M.; Feizula, E.; Niculescu, V.-C. Lithium-enriched organic membranes for future enhanced electromigration performance. MRS Adv. 2025. [Google Scholar] [CrossRef]
- ISO 22036:2024; Solid Environmental Matrices. Determination of Elements by Inductively Coupled Plasma Optical Emission Spectrometry (ICP-OES). International Organization for Standardization: Geneva, Switzerland, 2024.
- ISO 8466–1:2022; Water Quality—Calibration and Evaluation of Analytical Method, Part 1: Linear Calibration Function. International Organization for Standardization: Geneva, Switzerland, 2022.
- Python Software Foundation. Python 3.13.3. Available online: https://www.python.org/ (accessed on 26 May 2025).
- The Matplotlib Development Team. Matplotlib 3.10.0. Available online: https://matplotlib.org/ (accessed on 26 May 2025).
- Waskom, M. Seaborn: Statistical data visualization. JOSS 2021, 6, 3021. [Google Scholar] [CrossRef]
- Wisniewski, F.; Martins, E. An integrative review on the analysis of pesticide multiresidues in sweet pepper samples using the QuEChERS method and chromatographic techniques. Braz. J. Anal. Chem. 2022, 9, 16–44. [Google Scholar] [CrossRef]
- Petrean, I.A.; Micle, V. Study regarding polluted soils with trace metals from Maramures mining basin, Romania, in view for the remediation of affected areas. Sci. Pap. Ser. E Land Reclam. Earth Obs. Survey. Environ. Eng. 2021, 10, 241–250. [Google Scholar]
- Luchian, C.E.; Motrescu, I.; Dumitrascu, A.I.; Scutarasu, E.C.; Cara, I.G.; Colibaba, L.C.; Cotea, V.V.; Jitareanu, G. Comprehensive assessment of soil heavy metal contamination in agricultural and protected areas: A case study from Iasi County, Romania. Agriculture 2025, 15, 1070. [Google Scholar] [CrossRef]
- Sur, I.M.; Micle, V.; Polyak, E.T.; Gabor, T. Assessment of soil quality status and the ecological risk in the Baia Mare, Romania area. Sustainability 2022, 14, 3739. [Google Scholar] [CrossRef]
- Ungureanu, T.; Iancu, G.O.; Pintilei, M.; Chicos, M.M. Spatial distribution and geochemistry of trace metals in soils: A case study from the NE area of Vaslui County, Romania. J. Geochem. Explor. 2017, 176, 20–32. [Google Scholar] [CrossRef]
- Ministerul Apelor, Pădurilor și Protecției Mediului. Ordinul nr. 756/1997 pentru aprobarea Reglementării privind evaluarea poluării mediului (Order No. 756/1997 for the Approval of the Regulation Regarding the Assessment of Environmental Pollution). In Monitorul Oficial al României, Partea I (Official Gazette of Romania, Part I); Ministerul Apelor, Pădurilor și Protecției Mediului: Bucharest, Romania, 1997. [Google Scholar]
- Vîjdea, A.-M.; Popescu, I.; Ivanov, A.A.; Alexe, V.E.; Asimopolos, N.-S.; Bălan, L.L. Geochemical Background Values for the Characterization of Sediment Contamination with Trace Elements in Romania: A Case Study in the Lower Danube Basin. Appl. Sci. 2025, 15, 2458. [Google Scholar] [CrossRef]
- Török, A.I.; Moldovan, A.; Levei, E.A.; Cadar, O.; Tănăselia, C.; Moldovan, O.T. Assessment of Lithium, Macro- and Microelements in Water, Soil and Plant Samples from Karst Areas in Romania. Materials 2021, 14, 4002. [Google Scholar] [CrossRef] [PubMed]
- Hampton, R.; Benson, T.R. Using machine learning to characterize the genesis of lithium-bearing sedimentary rocks in the Western United States. Econ. Geol. 2025, 120, 1235–1259. [Google Scholar] [CrossRef]
- Popescu, C. After deindustrialisation: Changing urban economy in the Danube valley region. Hum. Geogr. J. Stud. Res. Hum. Geogr. 2016, 10, 99–113. [Google Scholar] [CrossRef]
- Constantinescu, L. Soil pollution with trace metals in critical areas. Bull. UASVM Agric. 2008, 65, 2. [Google Scholar]
- Mununga Katebe, F.; Raulier, P.; Colinet, G.; Ngoy Shutcha, M.; Mpundu Mubemba, M.; Jijakli, M.H. Assessment of heavy metal pollution of agricultural soil, irrigation water, and vegetables in and nearby the cupriferous city of Lubumbashi, Democratic Republic of the Congo. Agronomy 2023, 13, 357. [Google Scholar] [CrossRef]
- Woitke, P.; Wellmitz, J.; Helm, D.; Kube, P.; Lepom, P.; Litheraty, P. Analysis and assessment of heavy metal pollution in suspended solids and sediments of the river Danube. Chemosphere 2003, 51, 633–642. [Google Scholar] [CrossRef] [PubMed]
- Radu, B. Industrial culture of former mining communities from Romania. Spec. Issue Ind. Cult. Urban Reg. Dev. 2018, 12, 39–51. [Google Scholar] [CrossRef]
- Eckmeier, E.; Gerlach, R.; Gehrt, E.; Schmidt, M.W.I. Pedogenesis of Chernozems in Central Europe—A review. Geoderma 2007, 139, 288–299. [Google Scholar] [CrossRef]
- Nuruzzaman, M.; Bahar, M.M.; Naidu, R. Diffuse soil pollution from agriculture: Impacts and remediation. Sci. Total Environ. 2025, 962, 178398. [Google Scholar] [CrossRef]
- Sloata, F.; Ene, A.; Bogdevich, O.; Spanos, T. Characterization of soils around a former chemical plant in Braila, SE Romania, using high performance atomic techniques (EDXRF, AAS, ICP-MS). Ann. Univ. Dunarea Jos Galati Fascicle II Math. Phys. Theor. Mech. 2022, 45, 23–32. [Google Scholar] [CrossRef]
- Arbanas (Moraru), S.-S.; Ene, A.; Moraru, D.I. Contamination level of Triticum vulgare L. cultivated on soils around a metallurgical area in Galati, Romania. Ann. Univ. Dunarea Jos Galati Fascicle II Math. Phys. Theor. Mech. 2019, 42, 1–9. [Google Scholar] [CrossRef]
- Gheboianu, A.I.; Olteanu, L. The effect of pesticide and insecticide use on orchard soils—A case study of orchards in Dambovita County. Ann. “Valahia” Univ. Targoviste Agric. 2024, 16, 40–43. [Google Scholar] [CrossRef]
- Aman, M.; Ullah, K.Z.; Javed, K.; Sattar, A.M.; Aamir, A.; Nida, J.; Ziqi, H.; Fuzhong, L. A comprehensive review of crop stress detection: Destructive, non-destructive, and ML-based approaches. Front. Plant Sci. 2025, 16, 1638675. [Google Scholar] [CrossRef]
- Fi-Compass. Insurance and Risk Management Tools for Agriculture in the EU. 2025. Available online: https://www.fi-compass.eu/library/market-analysis/insurance-and-risk-management-tools-agriculture-eu (accessed on 20 September 2025).
- Demainbeauty. Fruits and Vegetables Rich in Water. Available online: https://demainbeauty.com/en/blogs/blog/les-fruits-et-legumes-riches-en-eau#:~:text=Lettuce%2C%20celery%20and%20zucchini:%20hydrating,a%20good%20dose%20of%20hydration (accessed on 1 October 2025).
- Siddiq, M.; Uebersax, M.A. Handbook of Vegetables and Vegetable Processing; John Wiley & Sons Ltd.: Hoboken, NJ, USA, 2018. [Google Scholar] [CrossRef]
- Hänsch, R.; Mendel, R.R. Physiological functions of mineral micronutrients (Cu, Zn, Mn, Fe, Ni, Mo, B, Cl). Curr. Opin. Plant Biol. 2009, 12, 259–266. [Google Scholar] [CrossRef]
- Okereafor, U.; Makhatha, M.; Mekuto, L.; Uche-Okereafor, N.; Sebola, T.; Mavumengwana, V. Toxic Metal Implications on Agricultural Soils, Plants, Animals, Aquatic life and Human Health. Int. J. Environ. Res. Public Health 2020, 17, 2204. [Google Scholar] [CrossRef]
- Jomova, K.; Alomar, S.Y.; Valko, R.; Nepovimova, E.; Kuca, K.; Valko, M. The role of redox-active iron, copper, manganese, and redox-inactive zinc in toxicity, oxidative stress, and human diseases. EXCLI J. 2025, 24, 880–954. [Google Scholar] [CrossRef] [PubMed]
- Chen, X.; Zhang, H.; Wong, C.U.I.; Song, Z. Multi-Model and Variable Combination Approaches for Improved Prediction of Soil Heavy Metal Content. Processes 2025, 13, 2008. [Google Scholar] [CrossRef]
- Popescu, A.; Tindeche, C.; Mărcuță, A.; Mărcuță, L.; Honțuș, A. Pesticides—A problem in romania’s agriculture? Sci. Pap. Ser. Manag. Econ. Eng. Agric. Rural. Dev. 2021, 21, 477–486. [Google Scholar]
- Negrea, A. Teza de Abilitare; Universitatea Politehnica Timisoara: Timisoara, Romania, 2017; Available online: https://www.upt.ro/img/files/2016-2017/abilitare/negrea/Negrea_Adina-teza_abilitare.pdf (accessed on 1 October 2025).
- European Parliament and Council. Directive 2009/128/EC of the European Parliament and of the Council of 21 October 2009 Establishing a Framework for Community Action to Achieve the Sustainable Use of Pesticides. Off. J. Eur. Union 2009, L 309, 71–86. [Google Scholar]
- Mao, Y.; Wang, M.; Wei, H.; Gong, N.; Wang, F.; Zhu, C. Heavy Metal Pollution and Risk Assessment of Vegetables and Soil in Jinhua City of China. Sustainability 2023, 15, 4241. [Google Scholar] [CrossRef]
- Nash, D.M.; McDowell, R.W.; Condron, L.M.; McLaughlin, M.J. Direct Exports of Phosphorus from Fertilizers Applied to Grazed Pastures. J. Environ. Qual. 2019, 48, 1380–1396. [Google Scholar] [CrossRef]
- Rammal, J.; Diab, W.; Nasser, G.; Baki, Z.A.; El Badan, D.M.; Haidar, C.; Hijazi, A. Transport Pathways and Bioavailability of Soil-Borne Trace metals in Agricultural Systems. J. Appl. Organomet. Chem. 2025, 5, 368–391. [Google Scholar] [CrossRef]
- Abou Seeda, M.A.; Abou El-Nour, E.A.A.; Yassen, A.A.; Gad, M.M.; Zaghloul, S.M. Interaction of Copper, Zinc, and Their Importance in Plant Physiology: Review, Acquisition and Transport. Middle East J. Appl. Sci. 2020, 10, 407–434. [Google Scholar] [CrossRef]
- Balaram, V.; Santosh, M.; Satyanarayanan, M.; Srinivas, N.; Gupta, H. Lithium: A Review of Applications, Occurrence, Exploration, Extraction, Recycling, Analysis, and Environmental Impact. Geosci. Front. 2024, 15, 101868. [Google Scholar] [CrossRef]
- Chen, M.; Tang, Y.L.; Ao, J.; Wang, D. Effects of strontium on photosynthetic characteristics of oilseed rape seedlings. Russ. J. Plant Physiol. 2012, 59, 772–780. [Google Scholar] [CrossRef]
- Mazmanian, K.; Grauffel, C.; Dudev, T.; Lim, C. Protein Ca2+-Sites Prone to Sr2+ Substitution: Implications for Strontium Therapy. J. Phys. Chem. B 2023, 127, 5588–5600. [Google Scholar] [CrossRef]
- Pikuła, D.; Stępień, W. Effect of the Degree of Soil Contamination with Trace metals on Their Mobility in the Soil Profile in a Microplot Experiment. Agronomy 2021, 11, 878. [Google Scholar] [CrossRef]
- Haghighizadeh, A.; Rajabi, O.; Nezarat, A.; Hajyani, Z.; Haghmohammadi, M.; Hedayatikhah, S.; Delnabi Asl, S.; Aghababai Beni, A. Comprehensive Analysis of Heavy Metal Soil Contamination in Mining Environments: Impacts, Monitoring Techniques, and Remediation Strategies. Arab. J. Chem. 2024, 17, 105777. [Google Scholar] [CrossRef]
- Duan, K.; Li, Y.; Yang, W.; Lin, Y.; Rao, L.; Han, C. Risk Assessment of Heavy Metal Pollution in Agricultural Soils Around Industrial Enterprises in Lanzhou, China: A Multi-Industry Perspective Promoting Land Sustainability. Sustainability 2025, 17, 5343. [Google Scholar] [CrossRef]
- The European Commission. Commission Regulation (EU) 2023/915 of 25 April 2023 on maximum levels for certain contaminants in food and repealing Regulation (EC) No 1881/2006. Off. J. Eur. Union 2023, L 119, 103–157. [Google Scholar]
- KEMI—Swedish Chemicals Agency. Lithium and Human Health—A Review. INCHEM: Mumbai, India, 2002; Available online: https://www.inchem.org/documents/kemi/kemi/ah2002_16.pdf (accessed on 19 October 2025).
- U.S. Environmental Protection Agency (USEPA). Risk Assessment Guidance for Superfund (RAGS), Volume I: Human Health Evaluation Manual (Part A); EPA/540/1-89/002; Office of Emergency and Remedial Response: Washington, DC, USA, 1989. [Google Scholar]







| Element | Unit | Natural Geochemical Background (NGB) | Normal Value (NV) [38] | Alert Threshold (AT) [38] | Intervention Threshold (IT) [38] | Soil 5 cm (Range) | Soil 15 cm (Range) | Key Observations and Reference |
|---|---|---|---|---|---|---|---|---|
| Lithium (Li) | mg/kg | ≈20 | N/A | N/A | N/A | 125–444 | 119–409 | Extremely elevated compared to NGB. Peaks in Dolj and Calarasi. NGB is Global/Regional Median. Li is not regulated in Romania. |
| Zinc (Zn) | mg/kg | ≈100 | 100 | 300 | 700 | 34–160 | 43–191 | NGB/NV alignment. Some sites exceed NV but are generally below AT. |
| Cadmium (Cd) | mg/kg | ≈0.8 | 1 | 3 | 5 | <0.15–1.42 | <0.15–2.6 | High variability, with upper range approaching the AT (3) at certain sites. |
| Lead (Pb) | mg/kg | ≈20 | 20 | 50 | 100 | 4.6–152 | 6.6–65 | Exceeds IT (100) in Ilfov at 5 cm (152 mg/kg), indicating local contamination. |
| Nickel (Ni) | mg/kg | ≈20 | 20 | 75 | 150 | 1.7–99 | 1.9–161 | Elevated in Ialomita 5 cm (99 mg/kg), and Bacau (161) which exceed the AT (75). |
| Copper (Cu) | mg/kg | ≈20 | 20 | 100 | 200 | 11–135 | 13–74 | Peak at Calarasi 15 cm (135 mg/kg) exceeds the AT (100). |
| Chromium (Cr) | mg/kg | ≈60 | 30 | 100 | 200 | 3.72–68.6 | 4.22–78.7 | Measured values are generally below both the NGB (60) and NV (30). |
| Arsenic (As) | mg/kg | ≈5 | 15 | 25 | 40 | 0.003–4.22 | 0.003–4.36 | Measured values are low, below NGB and NV. |
| Mercury (Hg) | mg/kg | ≈0.1 | 0.2 | 1 | 5 | 0.001–0.850 | 0.001–0.210 | Trace amounts; one 5 cm value (0.85 mg/kg) approaches the AT (1). |
| Vanadium (V) | mg/kg | Variable | 30 | 100 | 200 | 33–122 | 27–122 | Upper range exceeds AT (100), but V is highly geologically variable. |
| Cobalt (Co) | mg/kg | ≈15 | N/A | N/A | N/A | 0.5–16.8 | 0.5–16.8 | Measured values align with NGB. Not regulated. |
| Manganese (Mn) | mg/kg | ≈600 | N/A | N/A | N/A | 51–1762 | 51–1762 | Very high at Calarasi 15 cm. Not regulated. |
| Strontium (Sr) | mg/kg | Variable | N/A | N/A | N/A | 388–1876 | 388–1368 | Extremely high NGB (Dambovita peak 1876 mg/kg). Not regulated. |
| Iron (Fe) | mg/kg | 40,000 | N/A | N/A | N/A | 1587–10,480 | 1458–10,480 | High Fe content (up to ~1%) in Calarasi. Reference element. |
| Element | Field (Range, mg/kg) | Greenhouse (Range, mg/kg) | Observation |
|---|---|---|---|
| Fe | 5.72–98.2 | 6.27–188 | Maximum Fe is substantially higher in greenhouse samples, indicating higher potential uptake or bioavailability. |
| Mn | 0.147–36.4 | 0.034–46.9 | Both types show similar broad ranges, with a slightly higher maximum concentration in greenhouse onions. |
| Sr | 2.34–36.6 | 2.13–47.7 | Higher maximum Sr observed in greenhouse samples, possibly reflecting the enriched soil or nutrient media. |
| Zn | 2.01–69.1 | 3.14–73.5 | Broad ranges in both cultivation types; greenhouse samples reach slightly higher maximum Zn levels. |
| Cu | 0.004–23.2 | 0.003–17.2 | High maximum concentration observed in Field samples, suggesting localized use of Cu-based pesticides or fertilizers. |
| Ni | 0.018–2.4 | 0.010–4.58 | Maximum Ni is twice as high in greenhouse samples, though overall concentrations remain low. |
| V | 0.011–5.5 | 0.003–6.03 | Low and comparable ranges for both, indicating limited transfer into the onion bulb. |
| Cr | 0.011–4.7 | 0.012–23.2 | Extremely high maximum Cr concentration in greenhouse suggests a single, highly contaminated local source or soil amendment. |
| Pb | 0.021–1.51 | 0.012–1.72 | Low accumulation in both, with maximum levels being comparable. |
| Cd | 0.000–0.121 | 0.000–0.336 | Maximum Cd is nearly three times higher in greenhouse samples, despite low overall ranges. |
| As | 0.001–0.182 | 0.002–0.156 | Trace levels observed in all samples, with very narrow and comparable ranges. |
| Co | 0.001–1.009 | 0.002–0.873 | Trace levels observed in all samples, with very narrow and comparable ranges. |
| Hg | 0.001–0.330 | 0.001–0.340 | Trace levels observed in all samples, with very narrow and comparable ranges. |
| Li | 0.031–47.4 | 0.045–40.4 | Extremely wide range in both, confirming high Li bioavailability and varying soil content across sites. |
| Region | Li TF | Sr TF | Zn TF | Cu TF | Pb TF | Cd TF |
|---|---|---|---|---|---|---|
| Arges | 0.0022 ± 0.0002 (0.0018–0.0028) | 0.0385 ± 0.0039 (0.0294–0.0577) | 0.2369 ± 0.0210 (0.1651–0.3087) | 0.6010 ± 0.0601 (0.4077–0.7869) | 0.0232 ± 0.0018 (0.0177–0.0311) | 0.1066 ± 0.0089 (0.0676–0.1418) |
| Bacau | 0.0028 ± 0.0003 (0.0018–0.0038) | 0.0249 ± 0.0041 (0.0074–0.0468) | 0.1744 ± 0.0215 (0.0969–0.2520) | 0.1609 ± 0.0169 (0.0991–0.2227) | 0.0053 ± 0.0006 (0.0037–0.0096) | 0.1352 ± 0.0187 (0.0676–0.2027) |
| Bihor | 0.0037 ± 0.0002 (0.0034–0.0043) | 0.0066 ± 0.0004 (0.0053–0.0081) | 0.1341 ± 0.0048 (0.1166–0.1517) | 0.0478 ± 0.0034 (0.0347–0.0610) | 0.0040 ± 0.0006 (0.0018–0.0064) | 0.1345 ± 0.0090 (0.0984–0.1706) |
| Braila | 0.0033 ± 0.0002 (0.0027–0.0041) | 0.0205 ± 0.0017 (0.0141–0.0259) | 0.1723 ± 0.0058 (0.1500–0.1947) | 0.0915 ± 0.0086 (0.0601–0.1229) | 0.0051 ± 0.0010 (0.0014–0.0094) | 0.1278 ± 0.0101 (0.0676–0.1689) |
| Bucuresti | 0.0026 ± 0.0002 (0.0022–0.0032) | 0.0315 ± 0.0041 (0.0125–0.0441) | 0.1179 ± 0.0039 (0.0978–0.1328) | 0.0783 ± 0.0071 (0.0445–0.1121) | 0.0047 ± 0.0005 (0.0021–0.0071) | 0.1013 ± 0.0063 (0.0676–0.1351) |
| Buzau | 0.0020 ± 0.0001 (0.0017–0.0022) | 0.0175 ± 0.0007 (0.0152–0.0207) | 0.1182 ± 0.0077 (0.0881–0.1492) | 0.0632 ± 0.0064 (0.0400–0.0894) | 0.0057 ± 0.0011 (0.0020–0.0108) | 0.1013 ± 0.0063 (0.0676–0.1351) |
| Calarasi | 0.0019 ± 0.0001 (0.0015–0.0023) | 0.0180 ± 0.0003 (0.0173–0.0187) | 0.1297 ± 0.0031 (0.1158–0.1436) | 0.0805 ± 0.0055 (0.0568–0.1026) | 0.0075 ± 0.0014 (0.0039–0.0144) | 0.1013 ± 0.0063 (0.0676–0.1351) |
| Constanta | 0.0014 ± 0.0001 (0.0011–0.0016) | 0.0084 ± 0.0005 (0.0063–0.0105) | 0.1341 ± 0.0064 (0.1100–0.1599) | 0.0689 ± 0.0060 (0.0461–0.0940) | 0.0038 ± 0.0005 (0.0021–0.0062) | 0.1013 ± 0.0063 (0.0676–0.1351) |
| Dambovita | 0.0022 ± 0.0002 (0.0018–0.0027) | 0.0261 ± 0.0024 (0.0210–0.0340) | 0.1245 ± 0.0048 (0.1042–0.1449) | 0.0792 ± 0.0058 (0.0543–0.1042) | 0.0046 ± 0.0006 (0.0021–0.0081) | 0.1178 ± 0.0101 (0.0676–0.1689) |
| Dolj | 0.0029 ± 0.0002 (0.0023–0.0033) | 0.0321 ± 0.0015 (0.0287–0.0341) | 0.0607 ± 0.0093 (0.0173–0.1026) | 0.0717 ± 0.0075 (0.0430–0.0967) | 0.0055 ± 0.0007 (0.0037–0.0090) | 0.2442 ± 0.0225 (0.2045–0.2965) |
| Galati | 0.0023 ± 0.0002 (0.0019–0.0028) | 0.0274 ± 0.0027 (0.0189–0.0342) | 0.1536 ± 0.0046 (0.1347–0.1724) | 0.0755 ± 0.0061 (0.0494–0.1017) | 0.0047 ± 0.0005 (0.0021–0.0073) | 0.1013 ± 0.0063 (0.0676–0.1351) |
| Giurgiu | 0.0027 ± 0.0001 (0.0024–0.0029) | 0.0307 ± 0.0027 (0.0227–0.0398) | 0.1423 ± 0.0063 (0.1177–0.1703) | 0.0813 ± 0.0078 (0.0437–0.1188) | 0.0055 ± 0.0011 (0.0026–0.0113) | 0.1013 ± 0.0063 (0.0676–0.1351) |
| Ialomita | 0.0022 ± 0.0001 (0.0018–0.0026) | 0.0463 ± 0.0038 (0.0384–0.0544) | 0.1517 ± 0.0057 (0.1287–0.1747) | 0.0905 ± 0.0078 (0.0598–0.1212) | 0.0052 ± 0.0006 (0.0023–0.0091) | 0.1013 ± 0.0063 (0.0676–0.1351) |
| Ilfov | 0.0021 ± 0.0001 (0.0019–0.0025) | 0.0302 ± 0.0029 (0.0193–0.0425) | 0.1212 ± 0.0030 (0.1084–0.1340) | 0.0585 ± 0.0038 (0.0427–0.0743) | 0.0081 ± 0.0007 (0.0049–0.0115) | 0.1013 ± 0.0063 (0.0676–0.1351) |
| Mehedinti | 0.0022 ± 0.0002 (0.0016–0.0028) | 0.0127 ± 0.0006 (0.0102–0.0152) | 0.1274 ± 0.0032 (0.1130–0.1418) | 0.0713 ± 0.0056 (0.0487–0.0957) | 0.0035 ± 0.0004 (0.0016–0.0053) | 0.7292 ± 0.0548 (0.5833–0.8750) |
| Olt | 0.0029 ± 0.0002 (0.0022–0.0037) | 0.0199 ± 0.0007 (0.0163–0.0232) | 0.1298 ± 0.0047 (0.1118–0.1479) | 0.0777 ± 0.0048 (0.0711–0.0842) | 0.0047 ± 0.0006 (0.0038–0.0056) | 0.0010 ± 0.0000 (0.0010–0.0010) |
| Tulcea | 0.0019 ± 0.0002 (0.0016–0.0021) | 0.0118 ± 0.0008 (0.0108–0.0128) | 0.1297 ± 0.0031 (0.1254–0.1340) | 0.0558 ± 0.0034 (0.0510–0.0607) | 0.0040 ± 0.0005 (0.0034–0.0047) | 0.5703 ± 0.0474 (0.5378–0.6027) |
| Vâlcea | 0.0017 ± 0.0003 (0.0013–0.0020) | 0.0189 ± 0.0014 (0.0169–0.0209) | 0.0863 ± 0.0045 (0.0800–0.0926) | 0.0711 ± 0.0089 (0.0583–0.0839) | 0.0038 ± 0.0007 (0.0028–0.0047) | 0.3378 ± 0.0000 (0.3378–0.3378) |
| Vrancea | 0.0019 ± 0.0001 (0.0018–0.0020) | 0.0233 ± 0.0017 (0.0210–0.0256) | 0.1328 ± 0.0036 (0.1278–0.1378) | 0.0858 ± 0.0056 (0.0780–0.0936) | 0.0040 ± 0.0007 (0.0030–0.0050) | 0.2304 ± 0.0381 (0.2036–0.2571) |
| Element | Garlic (Field) (mg/kg) | Garlic (Greenhouse) (mg/kg) | Observation |
|---|---|---|---|
| Zn | 2.78–31.4 | 3.78–29.5 | Field garlic slightly higher than greenhouse in most regions; essential micronutrient |
| Cd | 0.001–0.214 | 0.001–0.140 | Very low overall; negligible dietary risk |
| Pb | 0.026–9.03 | 0.014–3.177 | Low accumulation; slightly higher in field garlic in Dolj and Calarasi |
| Co | 0.001–0.067 | 0.001–0.032 | Minimal accumulation; no region exceeds safe limits |
| Ni | 0.112–6.10 | 0.207–3.45 | Field garlic generally higher, reflecting surface soil content |
| Sr | 9.30–33.1 | 7.80–25.1 | Low to moderate accumulation; varies with soil content |
| V | 0.893–4.21 | 0.941–4.22 | Similar for both cultivation methods; site-specific variations |
| Fe | 22.8–102 | 23.2–97.3 | Field garlic shows slightly higher values; essential micronutrient |
| Mn | 6.36–23.5 | 1.962–20.0 | Essential micronutrient; field garlic tends to be higher |
| Cu | 0.182–58.2 | 0.081–5.43 | Field garlic significantly higher in hotspots like Dambovita and Calarasi |
| Cr | 0.123–16.1 | 0.361–11.2 | Low accumulation overall; slightly higher in field samples |
| As | 0.001–0.374 | 0.001–0.401 | Negligible; consistent across regions |
| Hg | 0.001–0.302 | 0.001–0.078 | Very low; minimal dietary risk |
| Li | 0.129–1.214 | 0.221–2.04 | Low accumulation; slightly higher in greenhouse garlic in some regions |
| Region | Li TF | Sr TF | Zn TF | Cu TF | Pb TF | Cd TF |
|---|---|---|---|---|---|---|
| Arges | 0.0017 ± 0.0003 (0.0014–0.0020) | 0.0225 ± 0.0025 (0.0200–0.0250) | 0.0900 ± 0.0100 (0.0800–0.1000) | 0.0450 ± 0.0150 (0.0300–0.0600) | 0.0030 ± 0.0010 (0.0020–0.0040) | 0.0008 ± 0.0003 (0.0005–0.0010) |
| Bacau | 0.0019 ± 0.0001 (0.0019–0.0020) | 0.0190 ± 0.0010 (0.0180–0.0200) | 0.1300 ± 0.0100 (0.1200–0.1400) | 0.0500 ± 0.0200 (0.0300–0.0700) | 0.0190 ± 0.0020 (0.0170–0.0210) | 0.0015 ± 0.0005 (0.0010–0.0020) |
| Bihor | 0.0006 ± 0.0001 (0.0004–0.0007) | 0.0225 ± 0.0025 (0.0200–0.0250) | 0.1550 ± 0.0150 (0.1400–0.1700) | 0.0550 ± 0.0250 (0.0300–0.0800) | 0.0015 ± 0.0005 (0.0010–0.0020) | 0.0013 ± 0.0008 (0.0005–0.0020) |
| Braila | 0.0010 ± 0.0000 (0.0010–0.0010) | 0.0185 ± 0.0035 (0.0150–0.0220) | 0.1100 ± 0.0100 (0.1000–0.1200) | 0.0500 ± 0.0200 (0.0300–0.0700) | 0.0020 ± 0.0010 (0.0010–0.0030) | 0.0008 ± 0.0003 (0.0005–0.0010) |
| Bucuresti | 0.0009 ± 0.0001 (0.0008–0.0010) | 0.0190 ± 0.0050 (0.0140–0.0240) | 0.1450 ± 0.0050 (0.1400–0.1500) | 0.0450 ± 0.0150 (0.0300–0.0600) | 0.0075 ± 0.0005 (0.0070–0.0080) | 0.0008 ± 0.0003 (0.0005–0.0010) |
| Buzau | 0.0010 ± 0.0000 (0.0010–0.0010) | 0.0220 ± 0.0030 (0.0190–0.0250) | 0.0900 ± 0.0200 (0.0700–0.1100) | 0.0500 ± 0.0200 (0.0300–0.0700) | 0.0030 ± 0.0010 (0.0020–0.0040) | 0.0008 ± 0.0003 (0.0005–0.0010) |
| Calarasi | 0.0020 ± 0.0003 (0.0017–0.0020) | 0.0270 ± 0.0010 (0.0260–0.0280) | 0.0850 ± 0.0150 (0.0700–0.1000) | 0.0450 ± 0.0150 (0.0300–0.0600) | 0.0020 ± 0.0010 (0.0010–0.0030) | 0.0008 ± 0.0003 (0.0005–0.0010) |
| Constanta | 0.0010 ± 0.0000 (0.0010–0.0010) | 0.0065 ± 0.0005 (0.0060–0.0070) | 0.1050 ± 0.0050 (0.1000–0.1100) | 0.0350 ± 0.0150 (0.0200–0.0500) | 0.0015 ± 0.0005 (0.0010–0.0020) | 0.0008 ± 0.0003 (0.0005–0.0010) |
| Dambovita | 0.0010 ± 0.0000 (0.0010–0.0010) | 0.0180 ± 0.0020 (0.0160–0.0200) | 0.0850 ± 0.0150 (0.0700–0.1000) | 0.0500 ± 0.0200 (0.0300–0.0700) | 0.0020 ± 0.0010 (0.0010–0.0030) | 0.0008 ± 0.0003 (0.0005–0.0010) |
| Dolj | 0.0006 ± 0.0001 (0.0005–0.0007) | 0.0315 ± 0.0015 (0.0300–0.0330) | 0.1100 ± 0.0100 (0.1000–0.1200) | 0.0450 ± 0.0150 (0.0300–0.0600) | 0.0020 ± 0.0010 (0.0010–0.0030) | 0.0008 ± 0.0003 (0.0005–0.0010) |
| Galati | 0.0010 ± 0.0000 (0.0010–0.0010) | 0.0150 ± 0.0030 (0.0120–0.0180) | 0.0950 ± 0.0150 (0.0800–0.1100) | 0.0450 ± 0.0150 (0.0300–0.0600) | 0.0020 ± 0.0010 (0.0010–0.0030) | 0.0008 ± 0.0003 (0.0005–0.0010) |
| Giurgiu | 0.0019 ± 0.0002 (0.0017–0.0020) | 0.0215 ± 0.0035 (0.0180–0.0250) | 0.0950 ± 0.0250 (0.0700–0.1200) | 0.0600 ± 0.0300 (0.0300–0.0900) | 0.0030 ± 0.0010 (0.0020–0.0040) | 0.0008 ± 0.0003 (0.0005–0.0010) |
| Ialomita | 0.0020 ± 0.0003 (0.0017–0.0020) | 0.0325 ± 0.0025 (0.0300–0.0350) | 0.1100 ± 0.0100 (0.1000–0.1200) | 0.0450 ± 0.0150 (0.0300–0.0600) | 0.0020 ± 0.0010 (0.0010–0.0030) | 0.0008 ± 0.0003 (0.0005–0.0010) |
| Ilfov | 0.0017 ± 0.0004 (0.0013–0.0020) | 0.0220 ± 0.0030 (0.0190–0.0250) | 0.0750 ± 0.0050 (0.0700–0.0800) | 0.0400 ± 0.0100 (0.0300–0.0500) | 0.0040 ± 0.0010 (0.0030–0.0050) | 0.0008 ± 0.0003 (0.0005–0.0010) |
| Mehedinti | 0.0010 ± 0.0000 (0.0010–0.0010) | 0.0065 ± 0.0015 (0.0050–0.0080) | 0.0900 ± 0.0100 (0.0800–0.1000) | 0.0450 ± 0.0150 (0.0300–0.0600) | 0.0015 ± 0.0005 (0.0010–0.0020) | 0.0008 ± 0.0003 (0.0005–0.0010) |
| Olt | 0.0009 ± 0.0002 (0.0007–0.0010) | 0.0550 ± 0.0050 (0.0500–0.0600) | 0.1100 ± 0.0100 (0.1000–0.1200) | 0.0500 ± 0.0200 (0.0300–0.0700) | 0.0020 ± 0.0010 (0.0010–0.0030) | 0.0008 ± 0.0003 (0.0005–0.0010) |
| Tulcea | 0.0020 ± 0.0000 (0.0020–0.0020) | 0.0125 ± 0.0015 (0.0110–0.0140) | 0.1300 ± 0.0100 (0.1200–0.1400) | 0.0450 ± 0.0150 (0.0300–0.0600) | 0.0015 ± 0.0005 (0.0010–0.0020) | 0.0008 ± 0.0003 (0.0005–0.0010) |
| Valcea | 0.0010 ± 0.0000 (0.0010–0.0010) | 0.0310 ± 0.0020 (0.0290–0.0330) | 0.1150 ± 0.0050 (0.1100–0.1200) | 0.0500 ± 0.0200 (0.0300–0.0700) | 0.0025 ± 0.0005 (0.0020–0.0030) | 0.0008 ± 0.0003 (0.0005–0.0010) |
| Vrancea | 0.0018 ± 0.0003 (0.0015–0.0020) | 0.0320 ± 0.0010 (0.0310–0.0330) | 0.1100 ± 0.0100 (0.1000–0.1200) | 0.0400 ± 0.0100 (0.0300–0.0500) | 0.0020 ± 0.0010 (0.0010–0.0030) | 0.0008 ± 0.0003 (0.0005–0.0010) |
| Element | Salad (Field) (mg/kg) | Salad (Greenhouse) (mg/kg) | Observation |
|---|---|---|---|
| Zn | 5.36–66.31 | 6.36–85.25 | Wide variability; higher in greenhouse samples, likely due to fertilization and soil amendments. |
| Cu | 1.49–58.14 | 1.04–69.31 | Slight enrichment in greenhouse-grown salad, reflecting micronutrient supplementation. |
| Sr | 9.36–102.13 | 7.84–132.90 | Uptake enhanced in greenhouse cultivation; Sr transfer follows Ca pathways. |
| Li | 0.036–5.036 | 0.115–4.746 | Generally low; slightly elevated in greenhouse-grown salad. |
| Pb | 0.067–19.21 | 0.037–3.411 | Levels remain low; slightly higher in field samples due to atmospheric or soil deposition. |
| Cd | 0.001–0.312 | 0.001–1.360 | Consistently low; some greenhouse samples show higher maxima due to soil variability. |
| Fe | 50.10–897.00 | 57.40–1575.00 | Highly variable; higher maxima in greenhouse samples. |
| Mn | 8.31–130.11 | 4.41–155.50 | Moderate concentrations; higher maximum under greenhouse conditions. |
| Co | 0.001–2.013 | 0.001–1.060 | Generally low; field samples show slightly higher maximum values. |
| Ni | 0.012–12.11 | 0.056–13.82 | Low transfer overall; slightly higher in greenhouse samples. |
| Cr | 0.120–29.12 | 0.162–40.32 | Very low transfer; higher maxima in greenhouse crops. |
| As | 0.001–1.233 | 0.001–1.262 | Extremely low; similar across cultivation methods. |
| Hg | 0.001–0.102 | 0.001–0.260 | Very low; higher maximum observed in greenhouse samples. |
| V | 0.257–15.989 | 0.404–15.040 | Wide range; comparable maxima between cultivation types. |
| Region | Li TF | Sr TF | Zn TF | Cu TF | Pb TF | Cd TF |
|---|---|---|---|---|---|---|
| Arges | 0.0039 ± 0.0031 (0.0018–0.0076) | 0.0210 ± 0.0063 (0.0166–0.0267) | 0.1555 ± 0.0195 (0.1417–0.1693) | 0.2319 ± 0.0401 (0.2036–0.2601) | 0.0214 ± 0.0152 (0.0107–0.0321) | 0.0610 ± 0.0353 (0.0361–0.0859) |
| Bacau | 0.0028 ± 0.0016 (0.0015–0.0044) | 0.0203 ± 0.0069 (0.0155–0.0250) | 0.1504 ± 0.0217 (0.1350–0.1658) | 0.1654 ± 0.0100 (0.1585–0.1723) | 0.0198 ± 0.0083 (0.0140–0.0256) | 0.0760 ± 0.0699 (0.0263–0.1256) |
| Bihor | 0.0016 ± 0.0011 (0.0006–0.0026) | 0.0183 ± 0.0073 (0.0125–0.0240) | 0.1082 ± 0.0305 (0.0864–0.1300) | 0.1834 ± 0.0321 (0.1606–0.2062) | 0.0122 ± 0.0043 (0.0091–0.0153) | 0.0776 ± 0.0463 (0.0449–0.1102) |
| Braila | 0.0041 ± 0.0013 (0.0032–0.0050) | 0.0123 ± 0.0044 (0.0092–0.0153) | 0.0933 ± 0.0242 (0.0765–0.1100) | 0.1970 ± 0.0193 (0.1834–0.2106) | 0.0123 ± 0.0055 (0.0084–0.0162) | 0.0911 ± 0.0256 (0.0730–0.1092) |
| Bucuresti | 0.0023 ± 0.0007 (0.0018–0.0028) | 0.0135 ± 0.0039 (0.0108–0.0163) | 0.1612 ± 0.0360 (0.1356–0.1868) | 0.2188 ± 0.0148 (0.2083–0.2292) | 0.0261 ± 0.0069 (0.0213–0.0309) | 0.0531 ± 0.0384 (0.0258–0.0805) |
| Buzau | 0.0028 ± 0.0007 (0.0023–0.0033) | 0.0146 ± 0.0042 (0.0116–0.0176) | 0.1132 ± 0.0232 (0.0967–0.1297) | 0.1648 ± 0.0127 (0.1559–0.1738) | 0.0264 ± 0.0097 (0.0195–0.0333) | 0.0620 ± 0.0447 (0.0303–0.0937) |
| Calarasi | 0.0025 ± 0.0007 (0.0019–0.0030) | 0.0155 ± 0.0023 (0.0138–0.0171) | 0.1423 ± 0.0353 (0.1174–0.1672) | 0.1691 ± 0.0326 (0.1465–0.1917) | 0.0092 ± 0.0016 (0.0081–0.0103) | 0.0694 ± 0.0396 (0.0416–0.0972) |
| Constanta | 0.0023 ± 0.0001 (0.0022–0.0024) | 0.0076 ± 0.0015 (0.0066–0.0087) | 0.0894 ± 0.0091 (0.0830–0.0958) | 0.1979 ± 0.0298 (0.1768–0.2190) | 0.0125 ± 0.0040 (0.0097–0.0154) | 0.0617 ± 0.0253 (0.0439–0.0794) |
| Dambovita | 0.0025 ± 0.0010 (0.0018–0.0032) | 0.0156 ± 0.0049 (0.0121–0.0191) | 0.1087 ± 0.0069 (0.1037–0.1136) | 0.1866 ± 0.0366 (0.1605–0.2127) | 0.0153 ± 0.0026 (0.0134–0.0172) | 0.0601 ± 0.0360 (0.0345–0.0858) |
| Dolj | 0.0018 ± 0.0010 (0.0011–0.0024) | 0.0189 ± 0.0047 (0.0155–0.0222) | 0.1197 ± 0.0156 (0.1087–0.1308) | 0.2162 ± 0.0232 (0.1997–0.2327) | 0.0116 ± 0.0039 (0.0089–0.0144) | 0.0577 ± 0.0295 (0.0368–0.0786) |
| Galati | 0.0029 ± 0.0015 (0.0018–0.0040) | 0.0094 ± 0.0039 (0.0066–0.0122) | 0.1340 ± 0.0038 (0.1313–0.1367) | 0.1706 ± 0.0342 (0.1465–0.1947) | 0.0141 ± 0.0052 (0.0104–0.0177) | 0.0570 ± 0.0362 (0.0314–0.0825) |
| Giurgiu | 0.0021 ± 0.0003 (0.0018–0.0023) | 0.0121 ± 0.0013 (0.0112–0.0130) | 0.1463 ± 0.0186 (0.1332–0.1594) | 0.2458 ± 0.0538 (0.2081–0.2835) | 0.0111 ± 0.0022 (0.0095–0.0127) | 0.0617 ± 0.0305 (0.0401–0.0833) |
| Ialomita | 0.0023 ± 0.0004 (0.0021–0.0026) | 0.0143 ± 0.0017 (0.0131–0.0155) | 0.1176 ± 0.0253 (0.0998–0.1354) | 0.1740 ± 0.0286 (0.1537–0.1943) | 0.0102 ± 0.0031 (0.0080–0.0123) | 0.0435 ± 0.0134 (0.0340–0.0530) |
| Ilfov | 0.0031 ± 0.0006 (0.0027–0.0035) | 0.0255 ± 0.0051 (0.0219–0.0292) | 0.1030 ± 0.0171 (0.0910–0.1150) | 0.1587 ± 0.0368 (0.1325–0.1849) | 0.0128 ± 0.0008 (0.0122–0.0134) | 0.0450 ± 0.0334 (0.0214–0.0686) |
| Mehedinti | 0.0024 ± 0.0007 (0.0019–0.0029) | 0.0076 ± 0.0011 (0.0068–0.0085) | 0.1713 ± 0.0326 (0.1485–0.1941) | 0.1437 ± 0.0108 (0.1360–0.1514) | 0.0109 ± 0.0029 (0.0088–0.0130) | 0.0315 ± 0.0135 (0.0219–0.0410) |
| Olt | 0.0024 ± 0.0005 (0.0020–0.0027) | 0.0313 ± 0.0059 (0.0270–0.0355) | 0.1082 ± 0.0057 (0.1042–0.1122) | 0.1506 ± 0.0249 (0.1332–0.1680) | 0.0127 ± 0.0047 (0.0094–0.0160) | 0.0470 ± 0.0074 (0.0418–0.0522) |
| Tulcea | 0.0023 ± 0.0006 (0.0019–0.0027) | 0.0106 ± 0.0027 (0.0087–0.0125) | 0.0933 ± 0.0135 (0.0838–0.1028) | 0.1507 ± 0.0167 (0.1390–0.1624) | 0.0132 ± 0.0028 (0.0112–0.0152) | 0.0494 ± 0.0048 (0.0460–0.0528) |
| Valcea | 0.0023 ± 0.0014 (0.0014–0.0033) | 0.0229 ± 0.0038 (0.0202–0.0255) | 0.1274 ± 0.0175 (0.1151–0.1397) | 0.1732 ± 0.0401 (0.1449–0.2015) | 0.0134 ± 0.0023 (0.0118–0.0150) | 0.0450 ± 0.0075 (0.0397–0.0503) |
| Vrancea | 0.0025 ± 0.0008 (0.0019–0.0031) | 0.0210 ± 0.0033 (0.0186–0.0233) | 0.1228 ± 0.0211 (0.1079–0.1376) | 0.1666 ± 0.0232 (0.1498–0.1835) | 0.0142 ± 0.0043 (0.0111–0.0172) | 0.0381 ± 0.0105 (0.0307–0.0454) |
| Element | Cucumber (Field) (mg/kg) | Cucumber (Greenhouse) (mg/kg) | Observation |
|---|---|---|---|
| Zn | 15.1–35.1 | 11.0–30.2 | Field-grown cucumbers generally show higher Zn accumulation, with peaks in Dolj and Arges, reflecting soil enrichment. |
| Cd | 0.001–1.01 | 0.00015–1.02 | Greenhouse cucumbers show occasionally high Cd values (Bihor, Ialomita), likely due to localized soil or water inputs. |
| Pb | 0.066–1.01 | 0.032–0.86000 | Field cucumbers reach elevated Pb values in Galati and Dolj; greenhouse cucumbers accumulate less overall. |
| Co | 0.001–0.560 | 0.001–0.5100 | Uptake remains low across systems; minor enrichment in Galati field cucumbers. |
| Ni | 0.021–22.2 | 0.010–15.2 | Extremely variable; Ialomita shows marked enrichment in field-grown cucumbers, suggesting soil–plant transfer dependence. |
| Sr | 4.32–19.2 | 5.92–18.3 | Both systems accumulate Sr, with higher values in Bihor and Ialomita, consistent with Ca–Sr competition. |
| V | 0.012–1.11 | 0.011–1.11 | Very low accumulation overall; notable outlier in Vrancea greenhouse cucumbers (1.11 mg/kg). |
| Fe | 6.63–58.1 | 5.74–109 | Field cucumbers show moderate Fe uptake; an outlier in Calarasi greenhouse cucumbers indicates soil hot-spot effects. |
| Mn | 6.14–22.1 | 5.01–22.4 | Transfer is consistent across sites, with Braila and Galati showing elevated uptake. |
| Cu | 0.236–121 | 0.137–32.1 | Extreme Cu variability; Dambovita field cucumbers show exceptionally high levels, possibly linked to pesticide/fungicide use. |
| Cr | 0.010–7.23 | 0.021–9.12 | Greenhouse cucumbers show slightly higher Cr, with maxima in Vrancea. |
| As | 0.001–1.20 | 0.00015–1.21 | Enrichment in Bihor and Ialomita suggests localized contamination, not consistent across sites. |
| Hg | 0.001–0.392 | 0.001–0.340 | Transfer is extremely low; no marked differences between cultivation systems. |
| Li | 0.125–1.21 | 0.031–1.31 | Uptake ranges broadly; greenhouse cucumbers in Calarasi and Dambovita approach the upper end. |
| Region | Li TF | Sr TF | Zn TF | Cu TF | Pb TF | Cd TF |
|---|---|---|---|---|---|---|
| Arges | 0.0025 ± 0.0006 (0.0018–0.0031) | 0.0232 ± 0.0039 (0.0194–0.0270) | 0.3475 ± 0.0601 (0.2796–0.4153) | 0.3015 ± 0.0760 (0.2185–0.3845) | 0.0264 ± 0.0099 (0.0185–0.0343) | 0.0805 ± 0.0270 (0.0514–0.1096) |
| Bacau | 0.0035 ± 0.0015 (0.0020–0.0050) | 0.0123 ± 0.0029 (0.0087–0.0159) | 0.1878 ± 0.0237 (0.1614–0.2141) | 0.1982 ± 0.0142 (0.1822–0.2141) | 0.0357 ± 0.0229 (0.0204–0.0511) | 0.1472 ± 0.0605 (0.0805–0.2139) |
| Bihor | 0.0019 ± 0.0007 (0.0013–0.0024) | 0.0143 ± 0.0023 (0.0121–0.0165) | 0.2030 ± 0.0227 (0.1776–0.2284) | 0.2311 ± 0.0278 (0.2001–0.2621) | 0.0163 ± 0.0017 (0.0144–0.0181) | 1.6041 ± 0.4074 (1.1578–2.0504) |
| Braila | 0.0040 ± 0.0003 (0.0037–0.0043) | 0.0101 ± 0.0001 (0.0100–0.0102) | 0.1979 ± 0.0336 (0.1652–0.2307) | 0.2829 ± 0.0385 (0.2403–0.3255) | 0.0127 ± 0.0016 (0.0109–0.0146) | 0.2117 ± 0.0177 (0.1921–0.2312) |
| Bucuresti | 0.0017 ± 0.0003 (0.0013–0.0020) | 0.0076 ± 0.0003 (0.0073–0.0079) | 0.1340 ± 0.0203 (0.1114–0.1567) | 0.1873 ± 0.0126 (0.1736–0.2010) | 0.0163 ± 0.0025 (0.0135–0.0191) | 0.0450 ± 0.0116 (0.0322–0.0577) |
| Buzau | 0.0030 ± 0.0015 (0.0014–0.0046) | 0.0132 ± 0.0024 (0.0106–0.0158) | 0.2678 ± 0.0289 (0.2355–0.3000) | 0.2185 ± 0.0140 (0.2027–0.2343) | 0.0280 ± 0.0114 (0.0153–0.0407) | 0.0634 ± 0.0006 (0.0628–0.0640) |
| Calarasi | 0.0032 ± 0.0016 (0.0015–0.0049) | 0.0157 ± 0.0030 (0.0123–0.0191) | 0.2307 ± 0.0100 (0.2195–0.2418) | 0.1706 ± 0.0075 (0.1623–0.1789) | 0.0105 ± 0.0039 (0.0062–0.0147) | 0.0766 ± 0.0012 (0.0753–0.0779) |
| Constanta | 0.0018 ± 0.0005 (0.0013–0.0023) | 0.0084 ± 0.0020 (0.0061–0.0107) | 0.1690 ± 0.0384 (0.1259–0.2122) | 0.2224 ± 0.0180 (0.2017–0.2431) | 0.0133 ± 0.0028 (0.0101–0.0165) | 0.1030 ± 0.0204 (0.0805–0.1255) |
| Dambovita | 0.0023 ± 0.0003 (0.0020–0.0025) | 0.0089 ± 0.0005 (0.0084–0.0094) | 0.1729 ± 0.0427 (0.1278–0.2181) | 1.1396 ± 0.0883 (1.0420–1.2373) | 0.0227 ± 0.0035 (0.0190–0.0263) | 0.0734 ± 0.0131 (0.0588–0.0881) |
| Dolj | 0.0019 ± 0.0005 (0.0014–0.0024) | 0.0135 ± 0.0035 (0.0097–0.0173) | 0.2644 ± 0.0205 (0.2421–0.2868) | 0.3204 ± 0.0526 (0.2638–0.3771) | 0.0150 ± 0.0041 (0.0105–0.0196) | 0.0592 ± 0.0156 (0.0422–0.0762) |
| Galati | 0.0030 ± 0.0011 (0.0018–0.0041) | 0.0089 ± 0.0023 (0.0064–0.0113) | 0.2268 ± 0.0155 (0.2097–0.2439) | 0.2246 ± 0.0099 (0.2136–0.2355) | 0.0210 ± 0.0068 (0.0137–0.0282) | 0.0806 ± 0.0232 (0.0551–0.1061) |
| Giurgiu | 0.0030 ± 0.0005 (0.0024–0.0035) | 0.0142 ± 0.0003 (0.0138–0.0145) | 0.2096 ± 0.0253 (0.1816–0.2376) | 0.2335 ± 0.0116 (0.2206–0.2464) | 0.0140 ± 0.0019 (0.0119–0.0161) | 0.0807 ± 0.0051 (0.0750–0.0864) |
| Ialomita | 0.0017 ± 0.0001 (0.0015–0.0018) | 0.0082 ± 0.0005 (0.0077–0.0088) | 0.1837 ± 0.0163 (0.1654–0.2019) | 0.1843 ± 0.0149 (0.1678–0.2008) | 0.0151 ± 0.0014 (0.0135–0.0167) | 1.8384 ± 0.4578 (1.3323–2.3445) |
| Ilfov | 0.0025 ± 0.0001 (0.0024–0.0026) | 0.0149 ± 0.0009 (0.0139–0.0158) | 0.1601 ± 0.0076 (0.1517–0.1685) | 0.1706 ± 0.0092 (0.1604–0.1807) | 0.0147 ± 0.0011 (0.0134–0.0159) | 0.0560 ± 0.0197 (0.0340–0.0781) |
| Mehedinti | 0.0017 ± 0.0001 (0.0016–0.0018) | 0.0093 ± 0.0013 (0.0079–0.0106) | 0.2435 ± 0.0227 (0.2183–0.2687) | 0.2023 ± 0.0044 (0.1974–0.2073) | 0.0149 ± 0.0021 (0.0126–0.0173) | 0.0543 ± 0.0083 (0.0450–0.0636) |
| Olt | 0.0018 ± 0.0003 (0.0014–0.0022) | 0.0094 ± 0.0001 (0.0093–0.0095) | 0.2238 ± 0.0101 (0.2127–0.2350) | 0.2057 ± 0.0107 (0.1940–0.2173) | 0.0145 ± 0.0008 (0.0136–0.0154) | 0.0622 ± 0.0093 (0.0520–0.0725) |
| Tulcea | 0.0015 ± 0.0003 (0.0012–0.0018) | 0.0089 ± 0.0006 (0.0083–0.0095) | 0.1837 ± 0.0133 (0.1689–0.1985) | 0.1883 ± 0.0092 (0.1782–0.1984) | 0.0125 ± 0.0020 (0.0103–0.0147) | 0.0664 ± 0.0158 (0.0494–0.0834) |
| Valcea | 0.0013 ± 0.0003 (0.0010–0.0017) | 0.0089 ± 0.0006 (0.0083–0.0095) | 0.2037 ± 0.0069 (0.1961–0.2112) | 0.2185 ± 0.0075 (0.2102–0.2268) | 0.0133 ± 0.0007 (0.0126–0.0140) | 0.0620 ± 0.0103 (0.0506–0.0734) |
| Vrancea | 0.0024 ± 0.0004 (0.0019–0.0029) | 0.0139 ± 0.0015 (0.0123–0.0155) | 0.2096 ± 0.0106 (0.1980–0.2212) | 0.2244 ± 0.0116 (0.2119–0.2369) | 0.0177 ± 0.0022 (0.0153–0.0201) | 1.6888 ± 0.4070 (1.2292–2.1485) |
| Element | Zucchini (Field) (mg/kg) | Zucchini (Greenhouse) (mg/kg) | Observation |
|---|---|---|---|
| Zn | 7.32–31.0 | 6.35–27.1 | Slightly higher Zn in field zucchini in most regions |
| Cd | 0.00015–0.021 | 0.0015–0.011 | Very low overall |
| Pb | 0.022–3.33 | 0.015–2.06 | Pb generally higher in field samples in industrialized areas |
| Co | 0.070–1.11 | 0.010–0.98 | Low accumulation, some enrichment in field zucchini |
| Ni | 0.055–15.1 | 0.021–13.1 | Higher uptake in regions with elevated soil Ni (Ialomita, Bacau) |
| Sr | 4.01–16.8 | 3.11–16.5 | Moderate mobility, some regions show elevated transfer |
| V | 0.008–1.00 | 0.005–0.988 | Very low accumulation |
| Fe | 6.67–77.2 | 5.04–62.3 | Field zucchini slightly enriched in Fe in most regions |
| Mn | 0.677–19.2 | 0.499–15.5 | Moderate transfer, regional variability observed |
| Cu | 0.360–17.0 | 0.211–16.3 | Higher in field zucchini from some regions (Dambovita) |
| Cr | 0.008–7.00 | 0.001–6.17 | Low accumulation overall |
| As | 0.002–3.12 | 0.001–2.36 | Very low, slightly elevated in Ialomita and Vrancea |
| Hg | 0.001–0.414 | 0.001–0.326 | Negligible, highest in Tulcea greenhouse samples |
| Li | 0.090–31.2 | 0.087–28.1 | Slight regional enrichment in field zucchini |
| Region | Li TF | Sr TF | Zn TF | Cu TF | Pb TF | Cd TF |
|---|---|---|---|---|---|---|
| Arges | 0.0910 ± 0.0526 (0.0381–0.1436) | 0.0169 ± 0.0044 (0.0121–0.0216) | 0.1843 ± 0.0252 (0.1565–0.2120) | 0.3204 ± 0.0934 (0.2118–0.4290) | 0.0463 ± 0.0371 (0.0097–0.0829) | 0.0886 ± 0.0863 (0.0016–0.1755) |
| Bacau | 0.0242 ± 0.0039 (0.0200–0.0284) | 0.0177 ± 0.0045 (0.0128–0.0226) | 0.1039 ± 0.0150 (0.0877–0.1200) | 0.1578 ± 0.0345 (0.1207–0.1948) | 0.0577 ± 0.0182 (0.0378–0.0776) | 0.0177 ± 0.0094 (0.0076–0.0278) |
| Bihor | 0.0090 ± 0.0018 (0.0069–0.0111) | 0.0346 ± 0.0066 (0.0264–0.0428) | 0.1691 ± 0.0142 (0.1534–0.1848) | 0.1472 ± 0.0174 (0.1278–0.1666) | 0.0289 ± 0.0101 (0.0178–0.0400) | 0.2307 ± 0.0768 (0.1458–0.3156) |
| Braila | 0.0273 ± 0.0063 (0.0204–0.0342) | 0.0243 ± 0.0051 (0.0188–0.0299) | 0.1685 ± 0.0171 (0.1495–0.1874) | 0.1451 ± 0.0031 (0.1417–0.1485) | 0.0777 ± 0.0279 (0.0470–0.1084) | 0.0739 ± 0.0336 (0.0370–0.1107) |
| Bucuresti | 0.0264 ± 0.0063 (0.0195–0.0333) | 0.0172 ± 0.0016 (0.0155–0.0189) | 0.1704 ± 0.0113 (0.1583–0.1825) | 0.1713 ± 0.0105 (0.1599–0.1826) | 0.0476 ± 0.0243 (0.0207–0.0744) | 0.1017 ± 0.0360 (0.0620–0.1413) |
| Buzau | 0.0298 ± 0.0083 (0.0206–0.0390) | 0.0163 ± 0.0022 (0.0139–0.0187) | 0.1673 ± 0.0076 (0.1589–0.1757) | 0.1483 ± 0.0097 (0.1378–0.1588) | 0.0367 ± 0.0161 (0.0191–0.0543) | 0.1293 ± 0.0722 (0.0494–0.2091) |
| Calarasi | 0.0192 ± 0.0052 (0.0134–0.0250) | 0.0264 ± 0.0071 (0.0185–0.0343) | 0.1973 ± 0.0319 (0.1627–0.2319) | 0.1626 ± 0.0207 (0.1397–0.1856) | 0.0326 ± 0.0192 (0.0117–0.0535) | 0.1675 ± 0.1187 (0.0401–0.2949) |
| Constanta | 0.0255 ± 0.0073 (0.0175–0.0336) | 0.0232 ± 0.0064 (0.0161–0.0304) | 0.1843 ± 0.0125 (0.1706–0.1980) | 0.1392 ± 0.0087 (0.1294–0.1489) | 0.0324 ± 0.0065 (0.0252–0.0395) | 0.1472 ± 0.0460 (0.0967–0.1977) |
| Dambovita | 0.0238 ± 0.0066 (0.0165–0.0311) | 0.0249 ± 0.0065 (0.0178–0.0321) | 0.1919 ± 0.0152 (0.1755–0.2082) | 0.2079 ± 0.0267 (0.1793–0.2366) | 0.0298 ± 0.0097 (0.0193–0.0403) | 0.1197 ± 0.0818 (0.0300–0.2094) |
| Dolj | 0.0423 ± 0.0223 (0.0175–0.0671) | 0.0224 ± 0.0051 (0.0168–0.0281) | 0.1396 ± 0.0166 (0.1213–0.1578) | 0.1147 ± 0.0135 (0.0999–0.1295) | 0.0543 ± 0.0179 (0.0346–0.0740) | 0.1118 ± 0.0494 (0.0573–0.1663) |
| Galati | 0.0168 ± 0.0028 (0.0137–0.0198) | 0.0210 ± 0.0060 (0.0144–0.0276) | 0.1557 ± 0.0123 (0.1423–0.1691) | 0.1553 ± 0.0116 (0.1425–0.1681) | 0.0407 ± 0.0084 (0.0314–0.0500) | 0.0747 ± 0.0336 (0.0374–0.1120) |
| Giurgiu | 0.0253 ± 0.0039 (0.0211–0.0295) | 0.0205 ± 0.0022 (0.0181–0.0228) | 0.1517 ± 0.0125 (0.1381–0.1653) | 0.1770 ± 0.0142 (0.1613–0.1927) | 0.0469 ± 0.0200 (0.0249–0.0688) | 0.0664 ± 0.0384 (0.0239–0.1089) |
| Ialomita | 0.0075 ± 0.0019 (0.0053–0.0096) | 0.0150 ± 0.0030 (0.0117–0.0183) | 0.1593 ± 0.0154 (0.1427–0.1758) | 0.1388 ± 0.0187 (0.1179–0.1596) | 0.0270 ± 0.0076 (0.0187–0.0352) | 0.1444 ± 0.0760 (0.0617–0.2270) |
| Ilfov | 0.0197 ± 0.0036 (0.0157–0.0237) | 0.0217 ± 0.0028 (0.0186–0.0247) | 0.1741 ± 0.0131 (0.1600–0.1882) | 0.1396 ± 0.0181 (0.1200–0.1591) | 0.0371 ± 0.0163 (0.0194–0.0549) | 0.0934 ± 0.0478 (0.0428–0.1440) |
| Mehedinti | 0.0084 ± 0.0016 (0.0067–0.0101) | 0.0130 ± 0.0023 (0.0105–0.0154) | 0.1661 ± 0.0203 (0.1441–0.1880) | 0.1824 ± 0.0287 (0.1511–0.2137) | 0.0357 ± 0.0177 (0.0162–0.0552) | 0.0764 ± 0.0494 (0.0233–0.1294) |
| Olt | 0.0041 ± 0.0006 (0.0034–0.0048) | 0.0089 ± 0.0006 (0.0082–0.0097) | 0.1065 ± 0.0103 (0.0953–0.1177) | 0.0153 ± 0.0037 (0.0112–0.0195) | 0.0903 ± 0.0384 (0.0487–0.1319) | 0.1069 ± 0.0081 (0.0980–0.1157) |
| Tulcea | 0.0051 ± 0.0009 (0.0041–0.0061) | 0.0131 ± 0.0038 (0.0089–0.0173) | 0.1706 ± 0.0200 (0.1488–0.1924) | 0.1492 ± 0.0162 (0.1315–0.1669) | 0.0359 ± 0.0142 (0.0204–0.0515) | 0.0818 ± 0.0496 (0.0270–0.1365) |
| Valcea | 0.0049 ± 0.0010 (0.0038–0.0060) | 0.0099 ± 0.0005 (0.0093–0.0104) | 0.1623 ± 0.0210 (0.1396–0.1850) | 0.1582 ± 0.0117 (0.1454–0.1710) | 0.0294 ± 0.0147 (0.0132–0.0456) | 0.0910 ± 0.0378 (0.0494–0.1326) |
| Vrancea | 0.0056 ±0.0020 (0.0042–0.0070) | 0.0108 ±0.0016 (0.0096–0.0119) | 0.2202 ±0.0092 (0.2137–0.2267) | 0.1192 ±0.0120 (0.1107–0.1277) | 0.0247 ±0.0015 (0.0236–0.0257) | 0.1842 ±0.0558 (0.1447–0.2237) |
| Metal | F Value | p Value | Significant |
|---|---|---|---|
| Zn | 2.252002 | 0.135137 | No |
| Cd | 0.555863 | 0.456873 | No |
| Pb | 0.104555 | 0.746793 | No |
| Co | 12.00446 | 0.000659 | Yes |
| Ni | 6.329087 | 0.012724 | Yes |
| Sr | 2.459548 | 0.118512 | No |
| V | 0.013473 | 0.907721 | No |
| Fe | 6.611754 | 0.010912 | Yes |
| Mn | 22.10772 | 0.00 | Yes |
| Cu | 7.462570 | 0.006906 | Yes |
| Cr | 0.332151 | 0.565092 | No |
| As | 3.309939 | 0.07047 | No |
| Hg | 20.87852 | 0.000000 | Yes |
| Li | 5.423056 | 0.020947 | Yes |
Disclaimer/Publisher’s Note: The statements, opinions and data contained in all publications are solely those of the individual author(s) and contributor(s) and not of MDPI and/or the editor(s). MDPI and/or the editor(s) disclaim responsibility for any injury to people or property resulting from any ideas, methods, instructions or products referred to in the content. |
© 2025 by the authors. Licensee MDPI, Basel, Switzerland. This article is an open access article distributed under the terms and conditions of the Creative Commons Attribution (CC BY) license (https://creativecommons.org/licenses/by/4.0/).
Share and Cite
Paun, N.; Zgavarogea, R.; Niculescu, V.-C.; Nasture, A.M.; Voicea, I.; Popescu, D.I. From Soil to Plate: Lithium and Other Trace Metals Uptake in Vegetables Under Variable Soil Conditions. Toxics 2025, 13, 956. https://doi.org/10.3390/toxics13110956
Paun N, Zgavarogea R, Niculescu V-C, Nasture AM, Voicea I, Popescu DI. From Soil to Plate: Lithium and Other Trace Metals Uptake in Vegetables Under Variable Soil Conditions. Toxics. 2025; 13(11):956. https://doi.org/10.3390/toxics13110956
Chicago/Turabian StylePaun, Nadia, Ramona Zgavarogea, Violeta-Carolina Niculescu, Ana Maria Nasture, Iulian Voicea, and Diana Ionela Popescu (Stegarus). 2025. "From Soil to Plate: Lithium and Other Trace Metals Uptake in Vegetables Under Variable Soil Conditions" Toxics 13, no. 11: 956. https://doi.org/10.3390/toxics13110956
APA StylePaun, N., Zgavarogea, R., Niculescu, V.-C., Nasture, A. M., Voicea, I., & Popescu, D. I. (2025). From Soil to Plate: Lithium and Other Trace Metals Uptake in Vegetables Under Variable Soil Conditions. Toxics, 13(11), 956. https://doi.org/10.3390/toxics13110956

