Pyrolytic Remediation and Ecotoxicity Assessment of Fuel-Oil-Contaminated Soil
Abstract
:1. Introduction
2. Materials and Methods
2.1. Characteristics of the Soil Sample
2.2. Pyrolysis Experiment
2.3. Analytical Methods
2.4. Bioassay
2.4.1. Toxicity Tests Using Daphnia magna
2.4.2. Toxicity Tests Using Allivibrio fischeri
3. Results and Discussion
3.1. Removal Efficiency of TPH and UCM
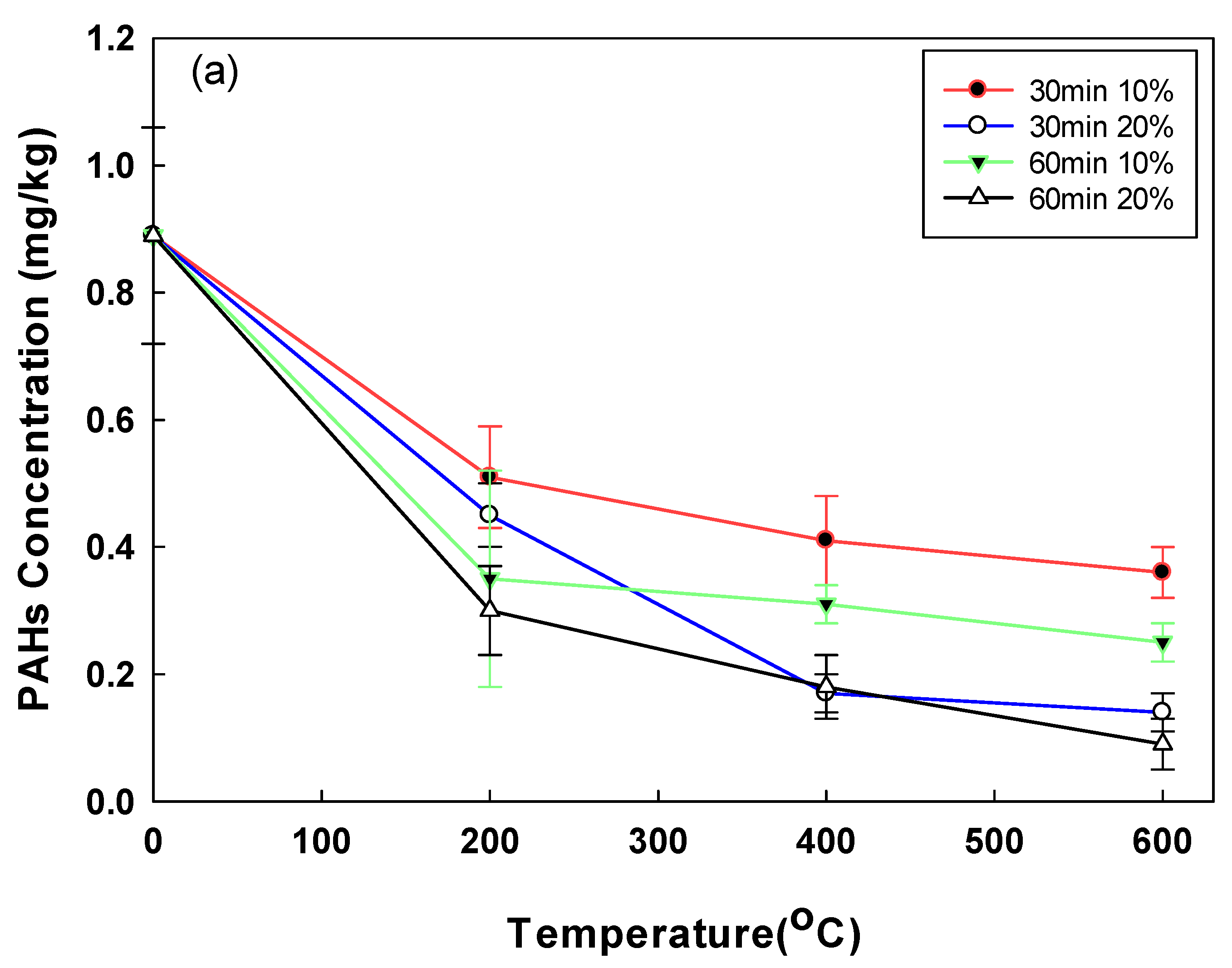
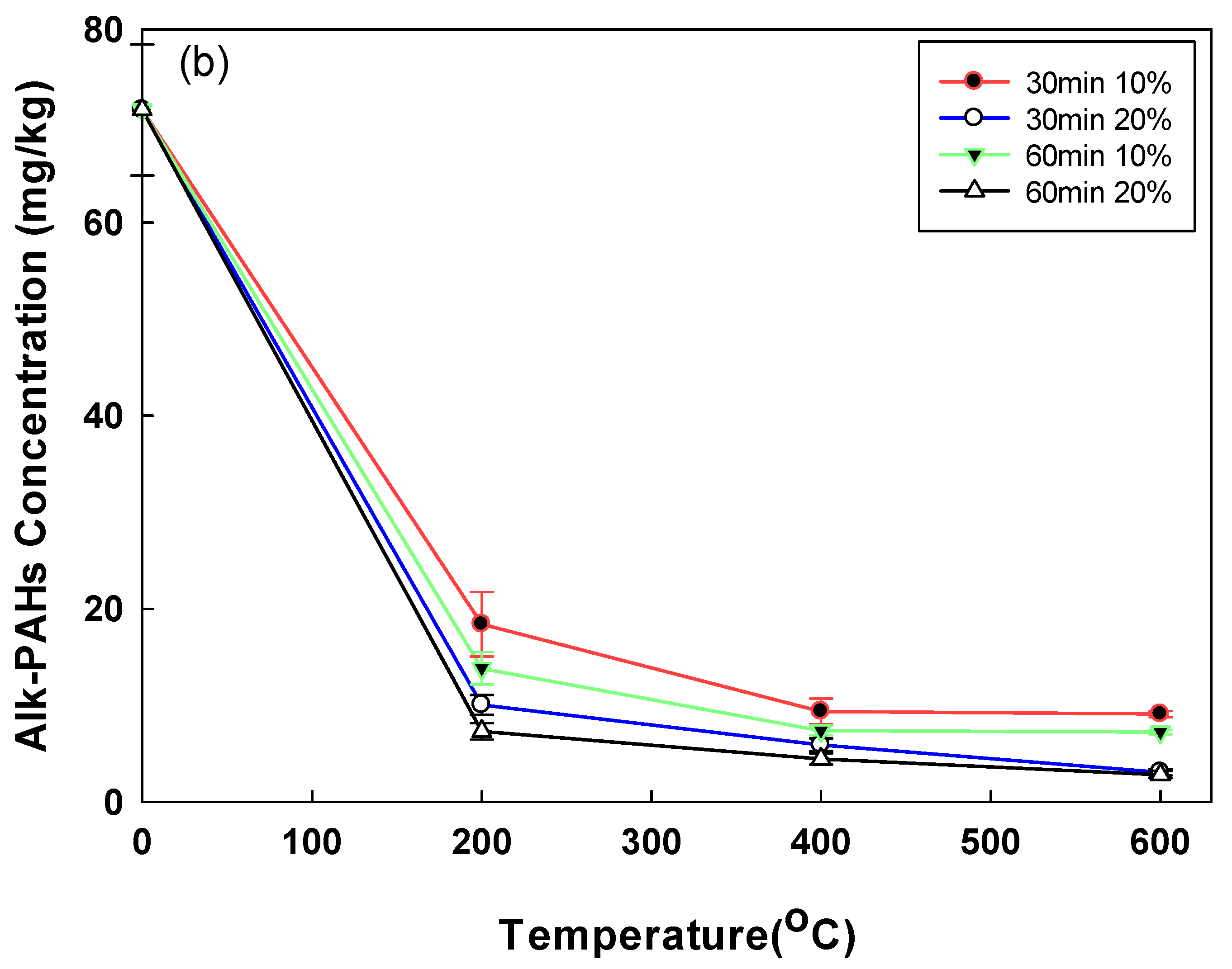
3.2. Removal Efficiency of PAHs and Alk-PAHs
3.3. Daphnia magna and Allivibrio fischeri Ecotoxicity Assessment
4. Conclusions
Author Contributions
Funding
Institutional Review Board Statement
Informed Consent Statement
Data Availability Statement
Conflicts of Interest
References
- Ossai, I.C.; Ahmed, A.; Hassan, A.; Hamid, F.S. Remediation of Soil and Water Contaminated with Petroleum Hydrocarbon: A Review. Environ. Technol. Innov. 2020, 17, 100526. [Google Scholar] [CrossRef]
- Zhang, Z.; Hou, Z.; Yang, C.; Ma, C.; Tao, F.; Xu, P. Degradation of N-Alkanes and Polycyclic Aromatic Hydrocarbons in Petroleum by a Newly Isolated Pseudomonas Aeruginosa DQ8. Bioresour. Technol. 2011, 102, 4111–4116. [Google Scholar] [CrossRef] [PubMed]
- Geerdink, M.J.; van Loosdrecht, M.C.M.; Luyben, K.C.A.M. Biodegradability of Diesel Oil. Biodegradation 1996, 7, 73–81. [Google Scholar] [CrossRef]
- Zeneli, A.; Kastanaki, E.; Simantiraki, F.; Gidarakos, E. Monitoring the Biodegradation of TPH and PAHs in Refinery Solid Waste by Biostimulation and Bioaugmentation. J. Environ. Chem. Eng. 2019, 7, 103054. [Google Scholar] [CrossRef]
- Patowary, R.; Patowary, K.; Devi, A.; Kalita, M.C.; Deka, S. Uptake of Total Petroleum Hydrocarbon (TPH) and Polycyclic Aromatic Hydrocarbons (PAHs) by Oryza sativa L. Grown in Soil Contaminated with Crude Oil. Bull. Environ. Contam. Toxicol. 2017, 98, 120–126. [Google Scholar] [CrossRef]
- Hong, W.-J.; Jia, H.; Li, Y.-F.; Sun, Y.; Liu, X.; Wang, L. Polycyclic Aromatic Hydrocarbons (PAHs) and Alkylated PAHs in the Coastal Seawater, Surface Sediment and Oyster from Dalian, Northeast China. Ecotoxicol. Environ. Saf. 2016, 128, 11–20. [Google Scholar] [CrossRef] [PubMed]
- Kang, H.-J.; Lee, S.-Y.; Kwon, J.-H. Physico-Chemical Properties and Toxicity of Alkylated Polycyclic Aromatic Hydrocarbons. J. Hazard. Mater. 2016, 312, 200–207. [Google Scholar] [CrossRef]
- Frysinger, G.S.; Gaines, R.B.; Xu, L.; Reddy, C.M. Resolving the Unresolved Complex Mixture in Petroleum-Contaminated Sediments. Environ. Sci. Technol. 2003, 37, 1653–1662. [Google Scholar] [CrossRef]
- White, H.K.; Xu, L.; Hartmann, P.; Quinn, J.G.; Reddy, C.M. Unresolved Complex Mixture (UCM) in Coastal Environments Is Derived from Fossil Sources. Environ. Sci. Technol. 2013, 47, 726–731. [Google Scholar] [CrossRef]
- Lim, M.W.; von Lau, E.; Poh, P.E. A Comprehensive Guide of Remediation Technologies for Oil Contaminated Soil—Present Works and Future Directions. Mar. Pollut. Bull. 2016, 109, 14–45. [Google Scholar] [CrossRef]
- Falciglia, P.P.; Giustra, M.G.; Vagliasindi, F.G.A. Low-Temperature Thermal Desorption of Diesel Polluted Soil: Influence of Temperature and Soil Texture on Contaminant Removal Kinetics. J. Hazard. Mater. 2011, 185, 392–400. [Google Scholar] [CrossRef] [PubMed]
- Kim, T.; Hong, J.-K.; Jho, E.H.; Kang, G.; Yang, D.J.; Lee, S.-J. Sequential Biowashing-Biopile Processes for Remediation of Crude Oil Contaminated Soil in Kuwait. J. Hazard. Mater. 2019, 378, 120710. [Google Scholar] [CrossRef] [PubMed]
- Chagas-Spinelli, A.C.O.; Kato, M.T.; de Lima, E.S.; Gavazza, S. Bioremediation of a Tropical Clay Soil Contaminated with Diesel Oil. J. Environ. Manag. 2012, 113, 510–516. [Google Scholar] [CrossRef] [PubMed]
- Ren, J.; Song, X.; Ding, D. Sustainable Remediation of Diesel-Contaminated Soil by Low Temperature Thermal Treatment: Improved Energy Efficiency and Soil Reusability. Chemosphere 2020, 241, 124952. [Google Scholar] [CrossRef] [PubMed]
- Li, D.-C.; Xu, W.-F.; Mu, Y.; Yu, H.-Q.; Jiang, H.; Crittenden, J.C. Remediation of Petroleum-Contaminated Soil and Simultaneous Recovery of Oil by Fast Pyrolysis. Environ. Sci. Technol. 2018, 52, 5330–5338. [Google Scholar] [CrossRef] [PubMed]
- Yang, H.; Huang, S.; Zhang, Y.; Zhou, B.; Manzoor Ahmed, S.; Liu, H.; Liu, Y.; He, Y.; Xia, S. Remediation Effect of Cr (VI)-Contaminated Soil by Secondary Pyrolysis Oil-Based Drilling Cuttings Ash. Chem. Eng. J. 2020, 398, 125473. [Google Scholar] [CrossRef]
- Xi, K.-F.; Hu, W.-F.; Li, D.-C.; Jiang, S.-F.; Jiang, H. Investigations on the Dissolved Organic Matter Leached from Oil-Contaminated Soils by Using Pyrolysis Remediation Method. Sci. Total Environ. 2021, 776, 145921. [Google Scholar] [CrossRef]
- Vidonish, J.E.; Alvarez, P.J.J.; Zygourakis, K. Pyrolytic Remediation of Oil-Contaminated Soils: Reaction Mechanisms, Soil Changes, and Implications for Treated Soil Fertility. Ind. Eng. Chem. Res. 2018, 57, 3489–3500. [Google Scholar] [CrossRef]
- Kang, C.-U.; Kim, D.-H.; Khan, M.A.; Kumar, R.; Ji, S.-E.; Choi, K.-W.; Paeng, K.-J.; Park, S.; Jeon, B.-H. Pyrolytic Remediation of Crude Oil-Contaminated Soil. Sci. Total Environ. 2020, 713, 136498. [Google Scholar] [CrossRef]
- Duniway, M.C.; Herrick, J.E.; Monger, H.C. The High Water-Holding Capacity of Petrocalcic Horizons. Soil Sci. Soc. Am. J. 2007, 71, 812–819. [Google Scholar] [CrossRef] [Green Version]
- Ashworth, J.; Keyes, D.; Kirk, R.; Lessard, R. Standard Procedure in the Hydrometer Method for Particle Size Analysis. Commun. Soil Sci. Plant Anal. 2001, 32, 633–642. [Google Scholar] [CrossRef]
- United States Environmental Protection Agency. Method 1664, Revision A: N-Hexane Extractable Material (HEM.; Oil and Grease) and Silica Gel Treated N-Hexane Extractable Material (SGT-HEM.; Non-Polar Material) by Extraction and Gravimetry; United States Environmental Protection Agency (USA EPA): Washington, DC, USA, 1999.
- Bownik, A. Effects of Ectoine on Behavioral, Physiological and Biochemical Parameters of Daphnia Magna Exposed to Dimethyl Sulfoxide. Sci. Total Environ. 2019, 683, 193–201. [Google Scholar] [CrossRef]
- Andreani, T.; Fernandes, P.; Nogueira, V.; Pinto, V.V.; Ferreira, M.J.; Rasteiro, M.G.; Pereira, R.; Pereira, C.M. The Critical Role of the Dispersant Agents in the Preparation and Ecotoxicity of Nanomaterial Suspensions. Environ. Sci. Pollut. Res. 2020, 27, 19845–19857. [Google Scholar] [CrossRef]
- Choi, B.; Lee, S.; Jho, E.H. Removal of TPH, UCM, PAHs, and Alk-PAHs in Oil-Contaminated Soil by Thermal Desorption. Appl. Biol. Chem. 2020, 63, 83. [Google Scholar] [CrossRef]
- Ha, S.-A.; Yeom, H. A Study on Treatment Conditions of Oil Contaminated Soil by Low Temperature Thermal Desorption. Korean Soc. Environ. Eng. 2007, 29, 956–960. [Google Scholar]
- Hu, S.; Li, S.; Wang, J.; Cao, J. Origin of Unresolved Complex Mixtures (UCMs) in Biodegraded Oils: Insights from Artificial Biodegradation Experiments. Fuel 2018, 231, 53–60. [Google Scholar] [CrossRef]
- Scarlett, A.; Galloway, T.S.; Rowland, S.J. Chronic Toxicity of Unresolved Complex Mixtures (UCM) of Hydrocarbons in Marine Sediments. J. Soils Sediments 2007, 7, 200–206. [Google Scholar] [CrossRef]
- Petersen, K.; Hultman, M.T.; Rowland, S.J.; Tollefsen, K.E. Toxicity of Organic Compounds from Unresolved Complex Mixtures (UCMs) to Primary Fish Hepatocytes. Aquat. Toxicol. 2017, 190, 150–161. [Google Scholar] [CrossRef] [Green Version]
- Ramadass, K.; Kuppusamy, S.; Venkateswarlu, K.; Naidu, R.; Megharaj, M. Unresolved Complex Mixtures of Petroleum Hydrocarbons in the Environment: An Overview of Ecological Effects and Remediation Approaches. Crit. Rev. Environ. Sci. Technol. 2021, 51, 2872–2894. [Google Scholar] [CrossRef]
- George, C.E.; Lightsey, G.R.; Jun, I.; Fan, J. Soil Decontamination via Microwave and Radio Frequency Co-Volatilization. Environ. Prog. 1992, 11, 216–219. [Google Scholar] [CrossRef]
- Smith, M.T.; Berruti, F.; Mehrotra, A.K. Thermal Desorption Treatment of Contaminated Soils in a Novel Batch Thermal Reactor. Ind. Eng. Chem. Res. 2001, 40, 5421–5430. [Google Scholar] [CrossRef]
- Lee, S.; Hong, S.; Liu, X.; Kim, C.; Jung, D.; Yim, U.H.; Shim, W.J.; Khim, J.S.; Giesy, J.P.; Choi, K. Endocrine Disrupting Potential of PAHs and Their Alkylated Analogues Associated with Oil Spills. Environ. Sci. Processes Impacts 2017, 19, 1117–1125. [Google Scholar] [CrossRef] [PubMed]
- Dong, J.; Chi, Y.; Tang, Y.; Ni, M.; Nzihou, A.; Weiss-Hortala, E.; Huang, Q. Effect of Operating Parameters and Moisture Content on Municipal Solid Waste Pyrolysis and Gasification. Energy Fuels 2016, 30, 3994–4001. [Google Scholar] [CrossRef] [Green Version]
- Xiong, S.; Zhuo, J.; Zhang, B.; Yao, Q. Effect of Moisture Content on the Characterization of Products from the Pyrolysis of Sewage Sludge. J. Anal. Appl. Pyrolysis 2013, 104, 632–639. [Google Scholar] [CrossRef]
- Gan, S.; Lau, E.V.; Ng, H.K. Remediation of Soils Contaminated with Polycyclic Aromatic Hydrocarbons (PAHs). J. Hazard. Mater. 2009, 172, 532–549. [Google Scholar] [CrossRef] [PubMed]
- Huang, Q.; Zhu, Y.; Wu, F.; Zhang, Y. Parent and Alkylated Polycyclic Aromatic Hydrocarbons in Surface Sediments of Mangrove Wetlands across Taiwan Strait, China: Characteristics, Sources and Ecological Risk Assessment. Chemosphere 2021, 265, 129168. [Google Scholar] [CrossRef]
- An, Y.; Hong, S.; Yoon, S.J.; Cha, J.; Shin, K.-H.; Khim, J.S. Current Contamination Status of Traditional and Emerging Persistent Toxic Substances in the Sediments of Ulsan Bay, South Korea. Mar. Pollut. Bull. 2020, 160, 111560. [Google Scholar] [CrossRef]
- Molina-Barahona, L.; Vega-Loyo, L.; Guerrero, M.; Ramírez, S.; Romero, I.; Vega-Jarquín, C.; Albores, A. Ecotoxicological Evaluation of Diesel-Contaminated Soil before and after a Bioremediation Process. Environ. Toxicol. 2005, 20, 100–109. [Google Scholar] [CrossRef]
- Vignet, C.; le Menach, K.; Mazurais, D.; Lucas, J.; Perrichon, P.; le Bihanic, F.; Devier, M.-H.; Lyphout, L.; Frère, L.; Bégout, M.-L.; et al. Chronic Dietary Exposure to Pyrolytic and Petrogenic Mixtures of PAHs Causes Physiological Disruption in Zebrafish–Part I: Survival and Growth. Environ. Sci. Pollut. Res. 2014, 21, 13804–13817. [Google Scholar] [CrossRef] [Green Version]
- Turcotte, D.; Akhtar, P.; Bowerman, M.; Kiparissis, Y.; Brown, R.S.; Hodson, P.V. Measuring the Toxicity of Alkyl-Phenanthrenes to Early Life Stages of Medaka (Oryzias Latipes) Using Partition-Controlled Delivery. Environ. Toxicol. Chem. 2011, 30, 487–495. [Google Scholar] [CrossRef]






| Conditions | GC-FID | GC-MS |
|---|---|---|
| Injector temp. | 250 °C | 260 °C |
| Detector temp. | 320 °C | 300 °C |
| Flow gas | N2 | He |
| Flow rate | 1 mL/min | 1 mL/min |
| Injection volume | 1 µL | 1 µL |
| Spilt Mode | 1:10 | - |
| Columns | Silica capillary column DB-5 (Agilent J&W, 30 m × 0.25 mm id × 0.25 µm, Agilent, Santa Clara, USA) | Silica capillary column HP-5MS Ultra Inert (30 m × 0.25 mm id × 0.25 µm, Agilent, Santa Clara, USA) |
| Whole Soil | Soil Organic Extract | Soil Aqueous Extract | ||||
|---|---|---|---|---|---|---|
| Allivibrio fischeri | Daphnia magna | Allivibrio fischeri | Daphnia magna | Allivibrio fischeri | Daphnia magna | |
| TU | TU | TU | TU | TU | TU | |
| Raw soil | 0 | 0 | 475.5 (25.8) | 350.7 (23.5) | 0 | 0 |
| Treated soil | 0 | 0 | 2.7 (0.15) | 1.3 (0.07) | 0 | 0 |
Publisher’s Note: MDPI stays neutral with regard to jurisdictional claims in published maps and institutional affiliations. |
© 2022 by the authors. Licensee MDPI, Basel, Switzerland. This article is an open access article distributed under the terms and conditions of the Creative Commons Attribution (CC BY) license (https://creativecommons.org/licenses/by/4.0/).
Share and Cite
Choi, B.; Yu, J.-S.; Kang, G.-Y.; Jeong, T.-Y.; Jho, E.H.; Lee, S.-J. Pyrolytic Remediation and Ecotoxicity Assessment of Fuel-Oil-Contaminated Soil. Toxics 2022, 10, 245. https://doi.org/10.3390/toxics10050245
Choi B, Yu J-S, Kang G-Y, Jeong T-Y, Jho EH, Lee S-J. Pyrolytic Remediation and Ecotoxicity Assessment of Fuel-Oil-Contaminated Soil. Toxics. 2022; 10(5):245. https://doi.org/10.3390/toxics10050245
Chicago/Turabian StyleChoi, Byeongwook, Jin-Seo Yu, Gu-Young Kang, Tae-Yong Jeong, Eun Hea Jho, and Sung-Jong Lee. 2022. "Pyrolytic Remediation and Ecotoxicity Assessment of Fuel-Oil-Contaminated Soil" Toxics 10, no. 5: 245. https://doi.org/10.3390/toxics10050245
APA StyleChoi, B., Yu, J.-S., Kang, G.-Y., Jeong, T.-Y., Jho, E. H., & Lee, S.-J. (2022). Pyrolytic Remediation and Ecotoxicity Assessment of Fuel-Oil-Contaminated Soil. Toxics, 10(5), 245. https://doi.org/10.3390/toxics10050245

