Anthraquinones: Genotoxic until Proven Otherwise? A Study on a Substance-Based Medical Device to Implement Available Data for a Correct Risk Assessment
Abstract
:1. Introduction
2. Materials and Methods
2.1. Reagents
2.2. Test Item
Anthraquinone Characterization
2.3. Cell Culture
2.4. Test Conditions
2.4.1. Selection of Concentrations
2.4.2. Measurement of Cytotoxicity
2.4.3. Measurement of Cytostasis
2.4.4. Measurement of Apoptosis
2.4.5. Measurement of MNi Frequency
2.4.6. Measurement of Intracellular ROS Levels
2.5. Flow Cytometry
2.6. Statistical Analysis
3. Results
3.1. Measurment of Cytotoxicity
3.2. Measurement of Cytostasis
3.3. Measurement of Apoptosis
3.4. Measurement of MNi Frequency
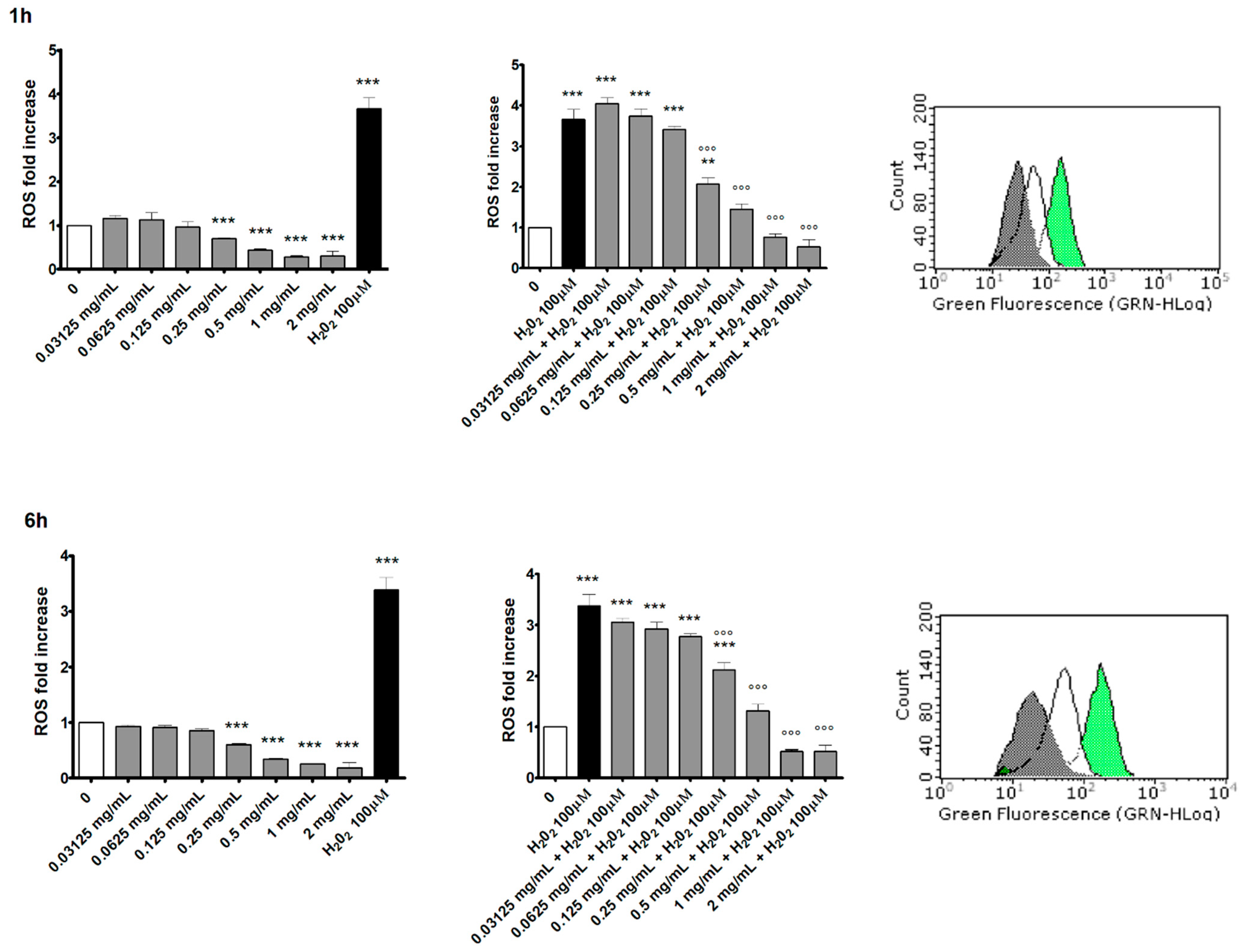
3.5. Measurement of Intracellular ROS Levels
4. Discussion
5. Conclusions
Author Contributions
Funding
Institutional Review Board Statement
Informed Consent Statement
Data Availability Statement
Conflicts of Interest
References
- ISO 10993-1:2018, Biological Evaluation of medical devices—Part 1: Evaluation and Testing within a Risk Management Process. Available online: https://www.iso.org/standard/68936.html (accessed on 28 January 2022).
- Regulation (EU) 2017/745 of the European Parliament and of the Council of 5 April 2017 on Medical Devices, Amending Directive 2001/83/EC, Regulation (EC) No 178/2002 and Regulation (EC) No 1223/2009 and Repealing Council Directives 90/385/EEC and 93/42/EEC. Available online: https://eur-lex.europa.eu/legal-content/EN/TXT/HTML/?uri=CELEX:32017R0745&from=EN (accessed on 17 September 2021).
- Malik, E.M.; Müller, C.E. Anthraquinones As Pharmacological Tools and Drugs. Med. Res. Rev. 2016, 36, 705–748. [Google Scholar] [CrossRef] [PubMed]
- Commission Regulation (EU) 2021/468 of 18 March 2021 Amending Annex III to Regulation (EC) No 1925/2006 of the European Parliament and of the Council as Regards Botanical Species Containing Hydroxyanthracene Derivatives. 2021. Available online: https://eur-lex.europa.eu/legal-content/EN/TXT/HTML/?uri=CELEX:32021R0468&from=ES (accessed on 17 September 2021).
- Younes, M.; Aggett, P.; Aguilar, F.; Crebelli, R.; Filipič, M.; Frutos, M.J.; Galtier, P.; Gott, D.; Gundert-Remy, U.; Kuhnle, G.G.; et al. Safety of Hydroxyanthracene Derivatives for Use in Food. EFSA J. 2018, 16, e05090. [Google Scholar] [CrossRef] [PubMed] [Green Version]
- Heidemann, A.; Völkner, W.; Mengs, U. Genotoxicity of Aloeemodin in Vitro and in Vivo. Mutat. Res. 1996, 367, 123–133. [Google Scholar] [CrossRef]
- Müller, S.O.; Eckert, I.; Lutz, W.K.; Stopper, H. Genotoxicity of the Laxative Drug Components Emodin, Aloe-Emodin and Danthron in Mammalian Cells: Topoisomerase II Mediated? Mutat. Res. 1996, 371, 165–173. [Google Scholar] [CrossRef]
- Chen, Y.-Y.; Chiang, S.-Y.; Lin, J.-G.; Yang, J.-S.; Ma, Y.-S.; Liao, C.-L.; Lai, T.-Y.; Tang, N.-Y.; Chung, J.-G. Emodin, Aloe-Emodin and Rhein Induced DNA Damage and Inhibited DNA Repair Gene Expression in SCC-4 Human Tongue Cancer Cells. Anticancer Res. 2010, 30, 945–951. [Google Scholar] [PubMed]
- Heidemann, A.; Miltenburger, H.G.; Mengs, U. The Genotoxicity Status of Senna. Pharmacology 1993, 47 (Suppl. S1), 178–186. [Google Scholar] [CrossRef] [PubMed]
- Nesslany, F.; Simar-Meintières, S.; Ficheux, H.; Marzin, D. Aloe-Emodin-Induced DNA Fragmentation in the Mouse in Vivo Comet Assay. Mutat. Res. 2009, 678, 13–19. [Google Scholar] [CrossRef]
- Galli, C.L.; Cinelli, S.; Ciliutti, P.; Melzi, G.; Marinovich, M. Aloe-Emodin, a Hydroxyanthracene Derivative, Is Not Genotoxic in an in Vivo Comet Test. Regul. Toxicol. Pharmacol. 2021, 124, 104967. [Google Scholar] [CrossRef]
- Mengs, U.; Krumbiegel, G.; Völkner, W. Lack of Emodin Genotoxicity in the Mouse Micronucleus Assay. Mutat. Res. 1997, 393, 289–293. [Google Scholar] [CrossRef]
- van Gorkom, B.A.; de Vries, E.G.; Karrenbeld, A.; Kleibeuker, J.H. Review Article: Anthranoid Laxatives and Their Potential Carcinogenic Effects. Aliment. Pharmacol. Ther. 1999, 13, 443–452. [Google Scholar] [CrossRef]
- Wald, A. Is Chronic Use of Stimulant Laxatives Harmful to the Colon? J. Clin. Gastroenterol. 2003, 36, 386–389. [Google Scholar] [CrossRef] [PubMed]
- Mohammed, A.; Paranji, N.; Singh, A.; Sanaka, M.R. Pseudomelanosis Coli, Its Relation to Laxative Use and Association with Colorectal Neoplasms: A Comprehensive Review. JGH Open Open Access J. Gastroenterol. Hepatol. 2021, 5, 643–646. [Google Scholar] [CrossRef] [PubMed]
- Test No. 487: In Vitro Mammalian Cell Micronucleus Test. Available online: https://read.oecd-ilibrary.org/environment/test-no-487-in-vitro-mammalian-cell-micronucleus-test_9789264264861-en (accessed on 19 April 2021).
- Lenzi, M.; Cocchi, V.; Hrelia, P. Flow Cytometry vs Optical Microscopy in the Evaluation of the Genotoxic Potential of Xenobiotic Compounds. Cytom. B Clin. Cytom. 2018, 94, 852–862. [Google Scholar] [CrossRef] [PubMed] [Green Version]
- Sobol, Z.; Homiski, M.L.; Dickinson, D.A.; Spellman, R.A.; Li, D.; Scott, A.; Cheung, J.R.; Coffing, S.L.; Munzner, J.B.; Sanok, K.E.; et al. Development and Validation of an in Vitro Micronucleus Assay Platform in TK6 Cells. Mutat. Res. 2012, 746, 29–34. [Google Scholar] [CrossRef] [PubMed]
- Cocchi, V.; Hrelia, P.; Lenzi, M. Antimutagenic and Chemopreventive Properties of 6-(Methylsulfinyl) Hexyl Isothiocyanate on TK6 Human Cells by Flow Cytometry. Front. Pharmacol. 2020, 11, 1242. [Google Scholar] [CrossRef] [PubMed]
- Lenzi, M.; Cocchi, V.; Cavazza, L.; Bilel, S.; Hrelia, P.; Marti, M. Genotoxic Properties of Synthetic Cannabinoids on TK6 Human Cells by Flow Cytometry. Int. J. Mol. Sci. 2020, 21, 1150. [Google Scholar] [CrossRef] [Green Version]
- Cocchi, V.; Gasperini, S.; Hrelia, P.; Tirri, M.; Marti, M.; Lenzi, M. Novel Psychoactive Phenethylamines: Impact on Genetic Material. Int. J. Mol. Sci. 2020, 21, 9616. [Google Scholar] [CrossRef]
- Lenzi, M.; Cocchi, V.; Gasperini, S.; Arfè, R.; Marti, M.; Hrelia, P. Evaluation of Cytotoxic and Mutagenic Effects of the Synthetic Cathinones Mexedrone, α-PVP and α-PHP. Int. J. Mol. Sci. 2021, 22, 6320. [Google Scholar] [CrossRef]
- Angeloni, C.; Teti, G.; Barbalace, M.C.; Malaguti, M.; Falconi, M.; Hrelia, S. 17β-Estradiol Enhances Sulforaphane Cardioprotection against Oxidative Stress. J. Nutr. Biochem. 2017, 42, 26–36. [Google Scholar] [CrossRef]
- ISO 10993-33:2015; Biological Evaluation of Medical Devices—Part 33: Guidance on Tests to Evaluate Genotoxicity—Supplement to ISO 10993-3. 2015. Available online: https://www.iso.org/standard/65052.html (accessed on 28 January 2022).
- International Conference on Harmonisation of Technical Requirements for Registration of Pharmaceuticals for Human Use. In Handbook of Transnational Economic Governance Regimes; Tietje, C.; Brouder, A. (Eds.) Brill|Nijhoff: Leiden, The Netherlands, 2010; pp. 1041–1053. ISBN 978-90-04-18156-4. [Google Scholar]
- EFSA. Committee Guidance on Safety Assessment of Botanicals and Botanical Preparations Intended for Use as Ingredients in Food Supplements. Available online: https://onlinelibrary.wiley.com/doi/abs/10.2903/j.efsa.2009.1249 (accessed on 16 October 2021).
- Douki, T. Oxidative Stress and Genotoxicity in Melanoma Induction: Impact on Repair Rather Than Formation of DNA Damage? Photochem. Photobiol. 2020, 96, 962–972. [Google Scholar] [CrossRef]
- Hsie, A.W.; Xu, Z.D.; Yu, Y.J.; Sognier, M.A.; Hrelia, P. Molecular Analysis of Reactive Oxygen-Species-Induced Mammalian Gene Mutation. Teratog. Carcinog. Mutagen. 1990, 10, 115–124. [Google Scholar] [CrossRef] [PubMed]
- Li, Y.; Jiang, J.-G. Health Functions and Structure-Activity Relationships of Natural Anthraquinones from Plants. Food Funct. 2018, 9, 6063–6080. [Google Scholar] [CrossRef] [PubMed]
- Yen, G.-C.; Duh, P.-D.; Chuang, D.-Y. Antioxidant Activity of Anthraquinones and Anthrone. Food Chem. 2000, 70, 437–441. [Google Scholar] [CrossRef]
- Hęś, M.; Dziedzic, K.; Górecka, D.; Jędrusek-Golińska, A.; Gujska, E. Aloe Vera (L.) Webb.: Natural Sources of Antioxidants—A Review. Plant Foods Hum. Nutr. 2019, 74, 255–265. [Google Scholar] [CrossRef] [PubMed] [Green Version]
- Brkanac, S.R.; Gerić, M.; Gajski, G.; Vujčić, V.; Garaj-Vrhovac, V.; Kremer, D.; Domijan, A.-M. Toxicity and Antioxidant Capacity of Frangula Alnus Mill. Bark and Its Active Component Emodin. Regul. Toxicol. Pharmacol. RTP 2015, 73, 923–929. [Google Scholar] [CrossRef] [PubMed]
- Vargas, F.; Díaz, Y.; Carbonell, K. Antioxidant and Scavenging Activity of Emodin, Aloe-Emodin, and Rhein on Free-Radical and Reactive Oxygen Species. Pharm. Biol. 2004, 42, 342–348. [Google Scholar] [CrossRef]
- Ullah, A.; Munir, S.; Badshah, S.L.; Khan, N.; Ghani, L.; Poulson, B.G.; Emwas, A.-H.; Jaremko, M. Important Flavonoids and Their Role as a Therapeutic Agent. Molecules 2020, 25, 5243. [Google Scholar] [CrossRef] [PubMed]
- Kozłowska, A.; Szostak-Wegierek, D. Flavonoids—Food Sources and Health Benefits. Rocz. Panstw. Zakl. Hig. 2014, 65, 79–85. [Google Scholar] [PubMed]
- Embuscado, M.E. Spices and Herbs: Natural Sources of Antioxidants—A Mini Review. J. Funct. Foods 2015, 18, 811–819. [Google Scholar] [CrossRef]
- Nijveldt, R.J.; van Nood, E.; van Hoorn, D.E.; Boelens, P.G.; van Norren, K.; van Leeuwen, P.A. Flavonoids: A Review of Probable Mechanisms of Action and Potential Applications. Am. J. Clin. Nutr. 2001, 74, 418–425. [Google Scholar] [CrossRef] [PubMed]
- Kumar, S.; Pandey, A.K. Chemistry and Biological Activities of Flavonoids: An Overview. Sci. World J. 2013, 2013, 162750. [Google Scholar] [CrossRef] [PubMed] [Green Version]
- Pietta, P.G. Flavonoids as Antioxidants. J. Nat. Prod. 2000, 63, 1035–1042. [Google Scholar] [CrossRef] [PubMed]




| Botanical Species | Part of the Plant Used | m/m% |
|---|---|---|
| Cassia angustifolia | Leaves, dry extract | 29.8% |
| Cichorium intybus | Roots, powder | 27.151% |
| Cassia angustifolia | Leaves, powder | 23.801% |
| Carum carvi | Seeds, powder | 5.762% |
| Taraxacum officinale | Roots, dry extract | 5% |
| Foeniculum vulgare | Seeds, powder | 4.84% |
| Foeniculum vulgare | Seeds, dry extract | 2.1% |
| Cuminum cyminum | Seeds, powder | 1.546% |
| Compound | m/m% |
|---|---|
| Aloe-emodin | 0.017855 |
| Emodin | 0.003442 |
| Emodin-8-glucoside | nq |
| Rhein | 0.049077 |
| Rhein-8-glucoside | 0.115634 |
| Sennidine B | nd |
| Sennoside A | 0.627051 |
| Sennoside A1 | 0.068689 |
| Sennoside B | 0.386504 |
| Sennoside C | 0.219383 |
| Sennoside D | 0.056659 |
| Anthraquinones, total | 1.5443 |
| RPD 3 h −S9 | RPD 26 h −S9 | RPD 3 h +S9 | |||
|---|---|---|---|---|---|
| 0 mg/mL | 100% | 0 mg/mL | 100% | 0 mg/mL | 100% |
| 0.03125 mg/mL | 90.03 ± 5.83% | 0.03125 mg/mL | 97.86 ± 2.14% | 0.03125 mg/mL | 93.90 ± 4.69% |
| 0.0625 mg/mL | 90.66 ± 6.19% | 0.0625 mg/mL | 94.64 ± 3.22% | 0.0625 mg/mL | 78.75 ± 6.97% |
| 0.125 mg/mL | 76.69 ± 10.19% ** | 0.125 mg/mL | 77.52 ± 2.55% *** | 0.125 mg/mL | 80.57 ± 4.73% |
| 0.25 mg/mL | 57.74 ± 6.19% *** | 0.25 mg/mL | 31.13 ± 8.44% *** | 0.25 mg/mL | 49.55 ± 9.33% ** |
| 0.5 mg/mL | 0 ± % *** | 0.5 mg/mL | 0 ± % *** | 0.5 mg/mL | 0 ± % *** |
| 1 mg/mL | 0 ± % *** | 1 mg/mL | 0 ± % *** | 1 mg/mL | 0 ± % *** |
| 2 mg/mL | 0 ± % *** | 2 mg/mL | 0 ± % *** | 2 mg/mL | 0 ± % *** |
| Viability 1 h | Viability 6 h | ||
|---|---|---|---|
| 0 mg/mL | 100% | 0 mg/mL | 100% |
| 0.03125 mg/mL | 97.39± 2.03% | 0.03125 mg/mL | 100 ± 1.00% |
| 0.0625 mg/mL | 98.14 ± 1.9% | 0.0625 mg/mL | 99.45 ± 0.55% |
| 0.125 mg/mL | 99.82 ± 0.19% | 0.125 mg/mL | 100 ± 1.31% |
| 0.25 mg/mL | 98.80 ± 0.03% | 0.25 mg/mL | 99.25 ± 0.25% |
| 0.5 mg/mL | 97.08 ±0.76% | 0.5 mg/mL | 99.28 ± 0.73% |
| 1 mg/mL | 99.51 ± 0.15% | 1 mg/mL | 98.90 ± 0.60% |
| 2 mg/mL | 99.69 ± 0.32% | 2 mg/mL | 98.40 ± 0.60% |
Publisher’s Note: MDPI stays neutral with regard to jurisdictional claims in published maps and institutional affiliations. |
© 2022 by the authors. Licensee MDPI, Basel, Switzerland. This article is an open access article distributed under the terms and conditions of the Creative Commons Attribution (CC BY) license (https://creativecommons.org/licenses/by/4.0/).
Share and Cite
Cocchi, V.; Gasperini, S.; Lenzi, M. Anthraquinones: Genotoxic until Proven Otherwise? A Study on a Substance-Based Medical Device to Implement Available Data for a Correct Risk Assessment. Toxics 2022, 10, 142. https://doi.org/10.3390/toxics10030142
Cocchi V, Gasperini S, Lenzi M. Anthraquinones: Genotoxic until Proven Otherwise? A Study on a Substance-Based Medical Device to Implement Available Data for a Correct Risk Assessment. Toxics. 2022; 10(3):142. https://doi.org/10.3390/toxics10030142
Chicago/Turabian StyleCocchi, Veronica, Sofia Gasperini, and Monia Lenzi. 2022. "Anthraquinones: Genotoxic until Proven Otherwise? A Study on a Substance-Based Medical Device to Implement Available Data for a Correct Risk Assessment" Toxics 10, no. 3: 142. https://doi.org/10.3390/toxics10030142
APA StyleCocchi, V., Gasperini, S., & Lenzi, M. (2022). Anthraquinones: Genotoxic until Proven Otherwise? A Study on a Substance-Based Medical Device to Implement Available Data for a Correct Risk Assessment. Toxics, 10(3), 142. https://doi.org/10.3390/toxics10030142

