From Chaos to Coherent Structure (Pattern): The Mathematical Architecture of Invisible Time—The Critical Minute Theorem in Ground Handling Operations in an Aircraft Turnaround on the Ground of an Airport
Abstract
1. Introduction
- 1.
- Data-driven and machine learning approaches.Considerable work has been dedicated to predicting flight delays based on statistical and artificial intelligence techniques. Khaksar et al. [6] used machine learning to show the impact of weather and scheduling on delay propagation in the US network. Truong et al. [7] employed decision trees and Bayesian inference to construct delay prediction models. Wu et al. [8] developed a deep SE-DenseNet model that improved accuracy by 1.8% when integrating weather and operational data. Esmaeilzadeh et al. [9] applied support vector machines to identify main delay factors. Choi et al. [10] compared supervised learning algorithms, with random forests achieving highest predictive accuracy under severe weather. Ye et al. [11] tested multiple regression and ensemble learning, finding LightGBM to be superior. Thiagarajan et al. and also Shai et al. [12,13] further confirmed that gradient boosting approaches outperform other algorithms.
- 2.
- Probabilistic and scheduling models.Earlier foundational work by Liu and Layland [14] introduced the critical instant theorem, later refined by Sha et al. [15] and expanded to probabilistic settings by Maxim and Cucu-Grosjean [16]. These studies advanced the concept of critical time zones [17], emphasizing the moments when system response time is maximized, and explored probabilistic convolution methods [17,18,19,20,21,22,23,24,25,26,27]. Such models offer analytical rigor but often assume simplified task arrival patterns, making their direct application to complex turnaround environments challenging.
- 3.
- Deterministic and algebraic approaches.A smaller body of literature has explored deterministic frameworks to model task dependencies and system fragility [18,19,20,21,22,23,24,25,26,27,28,29]. These studies suggest that certain structural thresholds—points where convexity is lost or singularities appear in delay propagation functions—can be identified algebraically. Such approaches resonate with systems theory [14], which classifies operational processes as stable, unstable, or marginally stable. However, the application of deterministic models to real-time airport operations remains underdeveloped.
- To formally define the Critical Minute Theorem as a deterministic framework for turnaround analysis;
- To demonstrate, through algebraic modeling, how fragility points can be detected in real time;
- To apply the theorem to case studies (fueling delays, baggage mismatch, PRM assistance) and quantify its effectiveness in reducing propagated delays.
2. Turnaround and Its Tasks
- Landing;
- TaxiWay towards the stand;
- On-Blocks;
- Connection of the passenger bridge;
- GPU connection;
- Check turnaround (opening the holds);
- Disembarking;
- Unloading baggage;
- Fueling;
- Catering;
- Cleaning;
- Potable water servicing;
- Waste water/toilet servicing;
- Loading luggage;
- Boarding;
- Check documents and delivery LID;
- Boarding complete—closing door;
- Bridge removal;
- Check turnaround (closing the holds);
- GPU disconnection;
- PIN introduction and pushback connection;
- Off-Blocks;
- Pushback;
- Engine starting;
- Aircraft on TaxiWay;
- Pushback disconnection;
- Aircraft free to go.
3. The Critical Minute: What It Is, How to Identify and Localize It, Why It Is Invisible, and How to Act Once Localized
3.1. What Is It and How Does It Manifest Itself?
3.2. How to Identify and Localize the Critical Minute?
- Knowing to perfection the operational structure and order of realization of all of the GH operations of a turnaround;
- Knowing where bottlenecks tend to accumulate;
- Mentally projecting the consequences of a delay that has not yet occurred;
- Using structural intuition by clearly understanding that operational time is not a sum of minutes but a network of synchronicities.
- The critical minute occurs when a seemingly minor action, such as a delay in refueling or waiting for a PRM elevator, causes a chain reaction of other activities. This is not about time itself but rather its position in the web of dependencies.
- What was once flexible now becomes rigid, and what was once coordinated becomes stuck. The system loses its ability to absorb disturbances.
- Recovery is a complex choreography in which many tasks occur in parallel or sequentially. The critical minute occurs when one task no longer aligns harmoniously with the others; it cannot be delayed further without disrupting the overall structure.
- The balance is broken. Tasks no longer “wait” their turn but start competing for time, space, and priority.
- A normal structured system has margins: controlled downtime, independent tasks, and sufficient buffers. But, in the critical minute, this margin of maneuver disappears. Every minute starts costing another minute. Time stops being linear and becomes exponential, “expensive.”
- The careful operator perceives this before the data reflect it and sees how decisions become tense, how teams overlap, and how room for maneuver disappears.
3.3. Why Is It Invisible?
3.4. How to Act Once Localized
- Reorder actions to regain synchronization.
- Introduce new strategic edges (slack).
- Coordinate key decisions before cascading effects accumulate.
4. Critical Minute Theorem and the Mathematical Structure of Airport Turnaround
4.1. Critical Minute Theorem
- An initial launch (start) time .
- A duration .
- A completion time .
- And either subset of activities that make up the critical path, such that the total turnaround time is as follows:
- As a formal definition, is the point in time at which the task starts,
- , following the complete task sequence from aircraft landing to takeoff.
- is the time of landing.
- is the moment when the airplane is free to take off.
- The crowd {} is nondescending because the activities follow a sequential or partially ordered order with functional dependencies.
- In the context of the Critical Minute Theorem (CMT), represents the actual operating time in which activity number k in the turnaround process is executed or should be executed.
- Return stability curve.
- Start of dynamic bifurcation: small causes → large effects.
- In sum, is the operational moment at which activity k occurs.
- is the critical operational moment at which a minimal disturbance generates a structural break in the activity chain.
- Loss of convexity in the dispersion function of critical loads,;
- The occurrence of a local singularity in the differential equations modeling the dependencies;
- Divergence of the second-order derivative on the propagation curve;
- Bifurcation in the operational equilibrium of the system.
4.2. Algebraic Modeling of Turnaround Using Differential Equations
- : The accumulated time of the process at continuous time represents the elapsed time from the beginning of the process to continuous time represents the crowd of positive real numbers, i.e., .
- is the total cumulative execution time up to the moment , given by
- is the cumulative delay of the process with respect to its nominal schedule, up to time t. This delay can also propagate to dependent processes.
- is the sensitivity of process i to the delay of process j.
- is the operational efficiency of process i.
- are the coupling or transfer coefficients between activities; the index indicates that the effect passes from one activity to another ( destination activity: 2 ← source activity: 1).
- measures the effect that the resource of activity 1 has on reducing the delay of activity 2.
- indicates that the resource used in activity 1 helps reduce the delay in activity 2.
- The larger is, the stronger the influence of activity 1 on activity 2 will be.
4.3. Critical Minute Detection and Avoidance
- A.
- Modeling the system of functional dependencies:
- B.
- Evaluation of partial derivatives:
- C.
- System Stabilization Analysis:
- Early local intervention—allocate additional staff or resources exclusively to the critical subprocess before it reaches , maintaining
- Dependency decoupling—the operational sequence is temporarily redesigned to reduce or eliminate the direct dependencies of downstream processes on the critical process, i.e., minimize through operational scheduling.
- Reduce timing rigidity—introduce structured tolerance in downstream processes using dynamic buffers so that small delays do not result in cascading effects.
- Real-time adaptive prioritization—operational priorities are dynamically reassigned when a process enters a critical area, with resources shifted from non-critical areas into a controlled framework.
- indicates a time or temporal moment;
- The subscript k indicates the specific activity (debark, refuel, etc.) or node in the graph;
- * indicates that it is a critical time (threshold or optimum);
- is not a given moment but one that meets a critical threshold condition:
- is the propagated delay from activity k as a function of time t.
- is the critical threshold of tolerable spread.
5. Analytical Criterion of the Existence of the Critical Minute
5.1. Critical Minute Detection Within the Critical Path
- A small perturbation produces a nonlinear propagation effect.
- The time convexity of the system is lost.
- A singularity or functional discontinuity occurs in the derivative of the total time with respect to the partial times.
5.2. Theoretical and Mathematical Basis
6. Critical Minute Detection and Prevention
6.1. Detection
- Partial derivative calculation:Identifiesor loss of continuity in the second-order derivatives.
- 2.
- Propagated delay analysis:whenDetects when a delay exceeds the threshold .
- 3.
- Stability bifurcation monitoring—this is detected when the system changes its qualitative behavior (e.g., from damped to unstable). In dynamic systems, such as operational recovery, a bifurcation is a point at which the behavior of the system changes qualitatively in response to a small change in a key variable (e.g., a delay, a saturation, a failed resource). This is detected by monitoring the derivative or Jacobian of the system with respect to a critical parameter. A sign change in the key derivative occurs when(accelerated increase in delay)or when the first derivative changes sign,critical inflection or saturation.
6.2. Prevention
- Local specific intervention—temporary increase of resources (equipment, personnel) in the critical process.
- Sequential adjustment—changing the logical order to decouple sensitive processes.
- Dynamic anticipated buffer (DB)—the introduction of micro-temporal buffers before the critical process. DB is a proactively built-in, real-time-adjusted time buffer based on operational variables designed to prevent the propagation of a localized disturbance (delay, failure, or absence) along the critical task chain.
- Value reduction through operational reorganization.
- Reduce dependency through restructuring.
- Sequential order reorganization (change of functional topology).
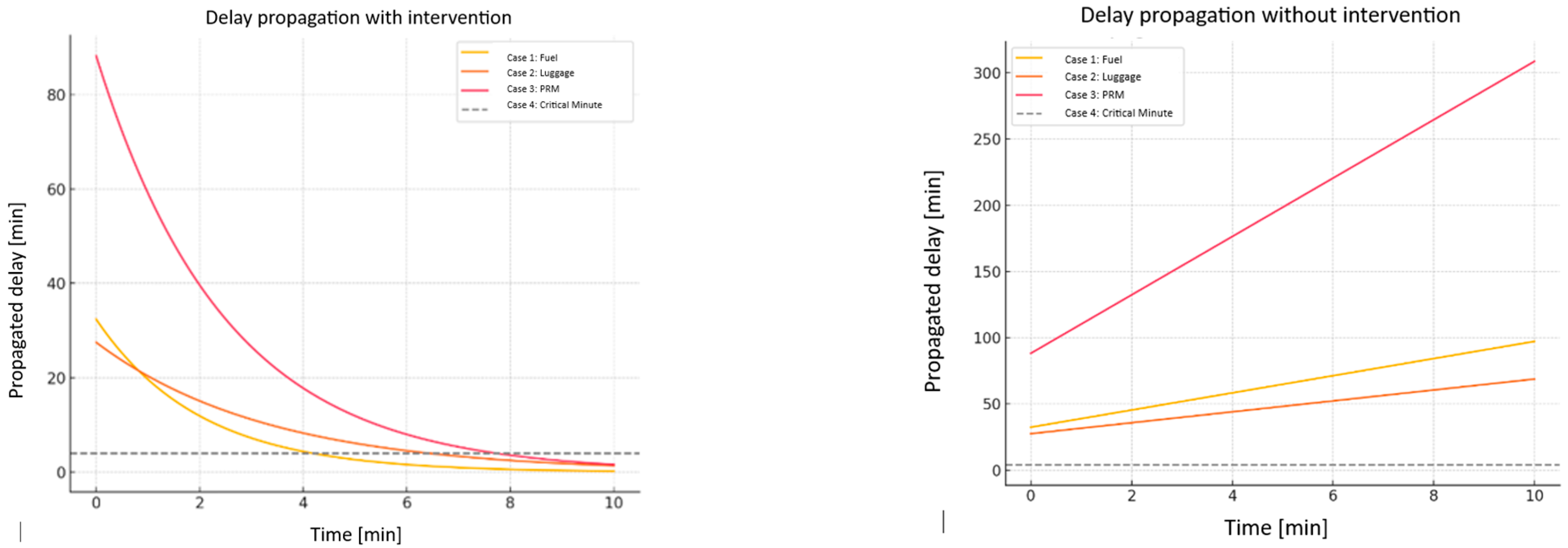
7. Discussion and Examples of Application of the Critical Minute Theorem
7.1. Case 1: Fuel Supply Delay
- fuel accumulation delay function;
- total response time as compound function.
- is the delay onset rate;
- is the effectiveness of the mitigation team (action of the team leader);
- is the corrective intervention function (task reorganization).
- where γ is a divergence threshold. The CMT is activated, simultaneously rerouting the cleaning and water supply sequence, advancing non-fuel-dependent tasks.
7.2. Case 2: Baggage Mismatch—Physical Baggage More than Official Check-In (Bingo)
- Security: Until the additional baggage is identified and removed or validated, no shipment can be made.
- Functional dependencies: Cargo lane closure, flight dispatch, and TaxiWay authorization are directly affected.
- is the amount of physical baggage counted during time t;
- is the number of checked bags at bingo;
- is a dynamic discrepancy;
- is a system-perceived risk.
- means the remaining operational time left; it is the useful time left to perform GH tasks before the scheduled departure time (STD). In other words, it measures how much free space there is to operate without suffering delays.
- is the time immediately before the critical minute and represents the time just before the system goes out of balance. The superscript “-” indicates an approach to the critical minute on the left, i.e., before operational collapse occurs.
- is the moment immediately after the critical minute and refers to the moment immediately after the critical minute threshold has been crossed, when the system has already started to show serious disruptions (backlogs of unperformed activities, loss of synchronization, risk of imminent delay).
- The lists are not delivered in numerical order of passenger sequence but by first or last name.
- The physical bingo tags are not logically correlated or matched.
- This turns an already critical check into a chaotic and error-prone search.
- The discrepancy is isolated.
- A temporary load route is generated for the already checked baggage.
- Immediate validation of the correctly labeled bags is requested from the passage.
- The operational validation time, which becomes shorter.
- Reduced risk of deadlock due to possible false positives.
- Almost eliminating the occurrence of CMT in this node.
7.3. Case 3: Delay Due to PRM Service
- PRM passenger transfer by specialized vehicle.
- Urgent need for an ambulatory elevator machine (ambu-lift), taking an additional 10 min to reach the new location.
- One of the passengers is in a wheelchair with complete immobility (WCHC), involving the following:
- ○
- Intervention of two PRM agents on board.
- ○
- Removal of the passenger from their seat through a narrow aisle, controlled lift, and transfer to the ambu-lift.
- Before the PRM event:
- During the delay caused by ambu-lift and WCHC:
- Sequential reorganization of the boarding order (boarding first through the front door).
- Anticipation of other parallel services (catering, cleaning, fuel).
- Immediate request for a second ambu-lift on standby (if available).
- Direct communication with terminal agents to mobilize the remaining passengers afterwards.
- Total effective blockage time is reduced.
- The propagated time loss is estimated to be shortened by up to 12–15 min, depending on the degree of anticipation.
- If CMT is applied immediately after ambu-lift delay identification.
- is late ambu-lift arrival time = 10 min;
- is additional time that is extended until boarding due to waiting for PRM;
- D unit is propagated delay.
- is the total delivery delay without the application of CMT (full distribution);
- is boarding delays after applying CMT (mitigated spread);
- is recovered time = the difference between the two.
- The initial chaos is reabsorbed.
- The domino effect is substantially reduced.
- And, most importantly, the overall stability of the rotation period is maintained, complying with regulations without compromising operational punctuality.
8. Conclusions
Author Contributions
Funding
Institutional Review Board Statement
Informed Consent Statement
Data Availability Statement
Conflicts of Interest
Abbreviations
| AI | Artificial intelligence |
| CMT | Critical Minute Theorem |
| GH | Ground handling |
| STD | Scheduled Time Departure |
| PRM | Persons with Reduced Mobility |
| WCHC | Wheelchair with complete immobility |
References
- Tuduriu, C.C.; Milici, L.D. The art of ground handling: A stochastic approach to nonlinear strategies for maximizing precision in turnaround chaos. In Proceedings of the International Scientific–Practical Conference on The Current State and Development Prospects of Science and Technology in the Era of the Fourth Industrial Revolution, Gandja, Azerbaidjan, 6–7 May 2025; p. 159. [Google Scholar]
- Rajapaksha, A.; Jayasuriya, N. Smart airport: A review on future of the airport operation. Glob. J. Manag. Bus. Res. 2020, 20, 25–34. [Google Scholar] [CrossRef]
- Bouyakoub, S.; Belkhir, A.; Bouyakoub, F.M.; Guebli, W. Smart airport: An IoT-based airport management system. In Proceedings of the International Conference on Future Networks and Distributed Systems, Cambridge, UK, 19–20 July 2017; pp. 1–7. [Google Scholar]
- IBCA-2019-03; Research and Practice Report on Smart Airport Development; Department of Airports. Civil Aviation Administration of China: Beijing, China, 2019.
- Zheng, Z.; Shicheng, F.; Meiwen, S.; Qizhao, L. A Delay Prediction Method for the Whole Process of Transit Flight. Aerospace 2022, 9, 645. [Google Scholar] [CrossRef]
- Khaksar, H.; Sheikholeslami, A. Airline delay prediction by machine learning algorithms. Sci. Iran. 2017, 26, 2689–2702. [Google Scholar] [CrossRef]
- Truong, D.; Friend, M.A.; Chen, H. Applications of Business Analytics in Predicting Flight On-time Performance in a Complex and Dynamic System. Transp. J. 2018, 57, 24–52. [Google Scholar] [CrossRef]
- Wu, R.B.; Zhao, T.; Qu, J.Y. Flight delay prediction model based on deep SE-DenseNet. J. Electron. Inf. Technol. 2019, 41, 1510–1517. [Google Scholar]
- Esmaeilzadeh, E.; Mokhtarimousavi, S. Machine Learning Approach for Flight Departure Delay Prediction and Analysis. Transp. Res. Rec. J. Transp. Res. Board 2020, 2674, 145–159. [Google Scholar] [CrossRef]
- Choi, S.; Kim, Y.J.; Briceno, S.; Mavris, D. Prediction of weather-induced airline delays based on machine learning algorithms. In Proceedings of the 2016 IEEE/AIAA 35th Digital Avionics Systems Conference (DASC), Sacramento, CA, USA, 25–29 September 2016. [Google Scholar]
- Ye, B.; Liu, B.; Tian, Y.; Wan, L. A methodology for predicting aggregate flight departure delays in airports based on supervised learning. Sustainability 2020, 12, 2749. [Google Scholar] [CrossRef]
- Thiagarajan, B.; Srinivasan, L.; Sharma, A.V.; Sreekanthan, D.; Vijayaraghavan, V. A machine learning approach for prediction of on-time performance of flights. In Proceedings of the 2017 IEEE/AIAA 36th Digital Avionics Systems Conference (DASC), St. Petersburg, FL, USA, 17–21 September 2017; pp. 1–6. [Google Scholar]
- Shai, S.-S.; Shai, B.-D. Understanding Machine Learning: From Theory to Algorithms; Cambridge University Press: New York, NY, USA, 2014; ISBN 978-1-107-05713-5. [Google Scholar]
- Liu, C.L.; Layland, J.W. Scheduling algorithms for multiprogramming in a hard-real-time environment. J. ACM 1973, 20, 46–61. [Google Scholar] [CrossRef]
- Sha, L.; Abdelzaher, T.; Årzén, K.-E.; Cervin, A.; Baker, T.; Burns, A.; Buttazzo, G.; Caccamo, M.; Lehoczky, J.; Mok, A.K. Real time scheduling theory: A historical perspective. Real-Time Syst. 2004, 28, 101–155. [Google Scholar] [CrossRef]
- Maxim, D.; Cucu-Grosjean, L. Response time analysis for fixed-priority tasks with multiple probabilistic parameters. In Proceedings of the 2013 IEEE 34th Real-Time Systems Symposium (RTSS), Washington, DC, USA, 3–6 December 2013; pp. 224–235. [Google Scholar]
- Chen, K.-H.; Gunzel, M.; von der Bruggen, G.; Chen, J.-J. Critical Instant for Probabilistic Timing Guarantees: Refuted and Revisited. In Proceedings of the 2022 IEEE Real-Time Systems Symposium (RTSS), Houston, TX, USA, 5–8 December 2022; pp. 145–157. [Google Scholar]
- Maxim, D.; Davis, R.I.; Cucu-Grosjean, L.; Easwaran, A. Probabilistic analysis for mixed criticality systems using fixed priority preemptive scheduling. In Proceedings of the RTNS’17: 25th International Conference on Real-Time Networks and Systems, Grenoble, France, 4–6 October 2017; pp. 237–246. [Google Scholar]
- Ren, J.; Wu, G.; Li, X.; Pirozmand, P.; Obaidat, M.S. Probabilistic response-time analysis for real-time systems in body area sensor networks. Int. J. Commun. Syst. 2015, 28, 2145–2166. [Google Scholar] [CrossRef]
- Ren, J.; Xu, Z.; Yu, C.; Lin, C.; Wu, G.; Tan, G. Execution allowance based fixed priority scheduling for probabilistic real-time systems. J. Syst. Softw. 2019, 152, 120–133. [Google Scholar] [CrossRef]
- Markovic, F.; Papadopoulos, A.V.; Nolte, T. On the Convolution Efficiency for Probabilistic Analysis of Real-Time Systems. In Proceedings of the 33rd Euromicro Conference on Real-Time Systems (ECRTS 2021), Virtual Conference, 5–9 July 2021. [Google Scholar]
- Maxim, D.; Houston, M.; Santinelli, L.; Bernat, G.; Davis, R.I.; Cucu-Grosjean, L. Re-sampling for statistical timing analysis of real-time systems. In Proceedings of the 20th International Conference on Real-Time and Network Systems, Pont-à-Mousson, France, 8–9 November 2012; pp. 111–120. [Google Scholar]
- Chen, K.-H.; Chen, J.-J. Probabilistic schedulability tests for uniprocessor fixed-priority scheduling under soft errors. In Proceedings of the 12th IEEE International Symposium on Industrial Embedded Systems (SIES), Toulouse, France, 14–16 June 2017; pp. 1–8. [Google Scholar]
- Chen, H.H.; Ueter, N.; Von der Bruggen, G.; Chen, J.J. Efficient computation of deadline-miss probability and potential pitfalls. In Proceedings of the 2019 Design, Automation Test in Europe Conference Exhibition (DATE), Florence, Italy, 25–29 March 2019; pp. 896–901. [Google Scholar]
- Von der Bruggen, G.; Piatkowski, N.; Chen, K.H.; Chen, J.J.; Morik, K. Efficiently Approximating the Probability of Deadline Misses in Real-Time Systems. In Proceedings of the 30th Euromicro Conference on Real-Time Systems (ECRTS 2018), Barcelona, Spain, 3–6 July 2018; Volume 106, pp. 6:1–6:22. [Google Scholar]
- Bozhko, S.; von der Bruggen, G.; Brandenburg, B.B. Monte carlo response-time analysis. In Proceedings of the 2021 IEEE Real-Time Systems Symposium (RTSS), Dortmund, Germany, 7–10 December 2021; pp. 342–355. [Google Scholar]
- Calitoiu, D.; Milici, L.D. Modeling with non-cooperative agents: Destructive and non-destructive search algorithms for randomly located objects. Search Algorithms Appl. 2011, 14, 504. [Google Scholar]
- Milici, L.D.; Milici, M.R. Consideration about the evolution of performance in nature and technology. Eur. J. Sci. Theol. 2013, 9, 157–166. [Google Scholar]
- Ignat-Coman, D.A. Elemente de Teoria Sistemelor Multivariabile. Available online: https://users.utcluj.ro/~aignat/Documente/Elemente%20de%20teoria%20sistemelor%20multivariabile.pdf (accessed on 10 August 2025).
- Milici, L.D.; Milici, M.R.; Cernomazu, D.; Popa, C. Modeling of physical and psychological human performance evolution. In Proceedings of the 6th International Conference on Electrical & Power Engineering, Iasi, Romania, 28–30 October 2010; pp. 281–286. [Google Scholar]
- Bejan, A.; Peder, Z.J. Desing in Nature: How the Constructal Low Convers Evolution on Biology, Physics, Technology, and Social Organization; Knopf Doubleday Publishing Group: New York City, NY, USA, 2013; ISBN 978-973-720-476-9. [Google Scholar]
- Bouarfa, S.; Blom, H.A.P. Agent-based modeling and machine learning for predicting airport ground delays. J. Air Transp. Manag. 2021, 94, 102082. [Google Scholar] [CrossRef]
- Pyrgiotis, N.; Malone, K.M.; Odoni, A. Modelling delay propagation within an airport network. Transp. Res. Part C Emerg. Technol. 2013, 27, 60–75. [Google Scholar] [CrossRef]
- Luo, M.; Schultz, M.; Fricke, H.; Desart, B. Data-driven fusion of turnaround sub-processes to predict aircraft ground time. In Proceedings of the 25th ATRS World Conference, Antwerp, Belgium, 24–27 August 2022; Available online: www.unibw.de/lvk/publications/pdf/2022_atrs_turnaround.pdf (accessed on 10 August 2025).
- Li, C.; Mao, J.; Li, L.; Wu, J.; Zhang, L.; Zhu, J.; Pan, Z. Flight delay propagation modeling: Data, Methods, and Future opportunities. Transp. Res. Part E Logist. Transp. Rev. 2024, 185, 103525. [Google Scholar] [CrossRef]
- Lee, J.; Marla, L.; Jacquillat, A. Dynamic disruption management in airline networks under airport operating uncertainty. Transp. Sci. 2020, 54, 973–997. [Google Scholar] [CrossRef]
- Cm, V.; Khan, S.; M, B.; R, S.; Pr, M.; Pothnis, J.R.; Hasan, I. Aircraft Turnaround Bottlenecks: Addressing Ground Handling Delays for Operational Excellence. Int. J. Aviat. Aeronaut. Aerosp. 2025, 12, 1. [Google Scholar] [CrossRef]
- Zarei, M.; Zarei, O.; Karimi, M.; Skandari, M.R.; Haghighatjoo, M.; Khordehbinan, M.W. The application of multi-criteria decision analysis in gaining a premier sort of stability in airplane safety. Saf. Reliab. 2024, 43, 45–60. [Google Scholar] [CrossRef]







| Stage | Estimated Time | Comments |
|---|---|---|
| Remote Park allocation | +3 min | Scheduling change by ATC |
| Waiting for ambu-lift | +10 min | Unscheduled rerouting |
| WCHC passenger assistance | +7 min | Careful and slow handling |
| Rear access locking | +3 min | Interference with boarding logistics |
| Resuming boarding | +5 min | Security coordination and verification |
Disclaimer/Publisher’s Note: The statements, opinions and data contained in all publications are solely those of the individual author(s) and contributor(s) and not of MDPI and/or the editor(s). MDPI and/or the editor(s) disclaim responsibility for any injury to people or property resulting from any ideas, methods, instructions or products referred to in the content. |
© 2025 by the authors. Licensee MDPI, Basel, Switzerland. This article is an open access article distributed under the terms and conditions of the Creative Commons Attribution (CC BY) license (https://creativecommons.org/licenses/by/4.0/).
Share and Cite
Tuduriu, C.C.; Milici, D.L.; Paval, M. From Chaos to Coherent Structure (Pattern): The Mathematical Architecture of Invisible Time—The Critical Minute Theorem in Ground Handling Operations in an Aircraft Turnaround on the Ground of an Airport. Logistics 2025, 9, 139. https://doi.org/10.3390/logistics9040139
Tuduriu CC, Milici DL, Paval M. From Chaos to Coherent Structure (Pattern): The Mathematical Architecture of Invisible Time—The Critical Minute Theorem in Ground Handling Operations in an Aircraft Turnaround on the Ground of an Airport. Logistics. 2025; 9(4):139. https://doi.org/10.3390/logistics9040139
Chicago/Turabian StyleTuduriu, Cornel Constantin, Dan Laurentiu Milici, and Mihaela Paval. 2025. "From Chaos to Coherent Structure (Pattern): The Mathematical Architecture of Invisible Time—The Critical Minute Theorem in Ground Handling Operations in an Aircraft Turnaround on the Ground of an Airport" Logistics 9, no. 4: 139. https://doi.org/10.3390/logistics9040139
APA StyleTuduriu, C. C., Milici, D. L., & Paval, M. (2025). From Chaos to Coherent Structure (Pattern): The Mathematical Architecture of Invisible Time—The Critical Minute Theorem in Ground Handling Operations in an Aircraft Turnaround on the Ground of an Airport. Logistics, 9(4), 139. https://doi.org/10.3390/logistics9040139

