Nutritional Features and Bread-Making Performance of Wholewheat: Does the Milling System Matter?
Abstract
1. Introduction
2. Materials and Methods
2.1. Wheat Samples
2.2. Milling Procedures
2.3. Methods
2.3.1. Particle Size Distribution
2.3.2. Chemical Analysis
2.3.3. Rheological Properties
2.3.4. Bread Preparation and Characterization
2.4. Statistical Analysis
3. Results
3.1. Particle Size Distribution
3.2. Chemical Composition and Bioactive Compounds in WFs
3.3. Gluten Aggregation Properties
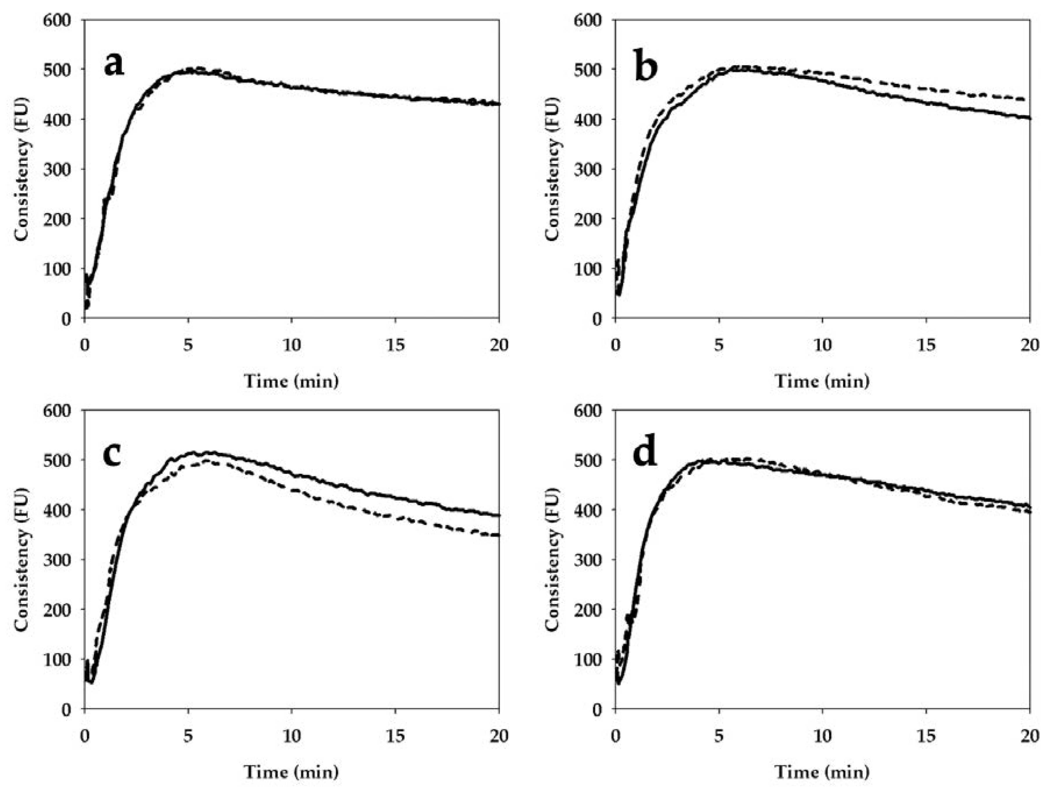
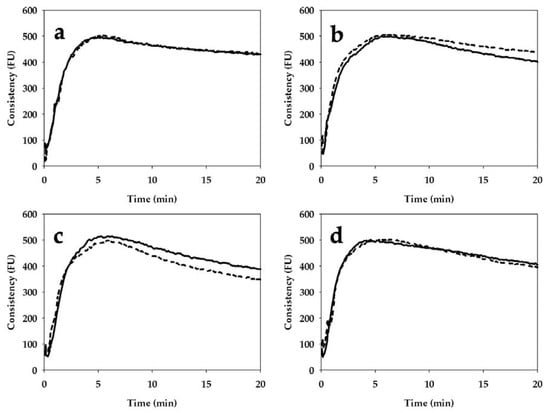
3.4. Mixing Properties
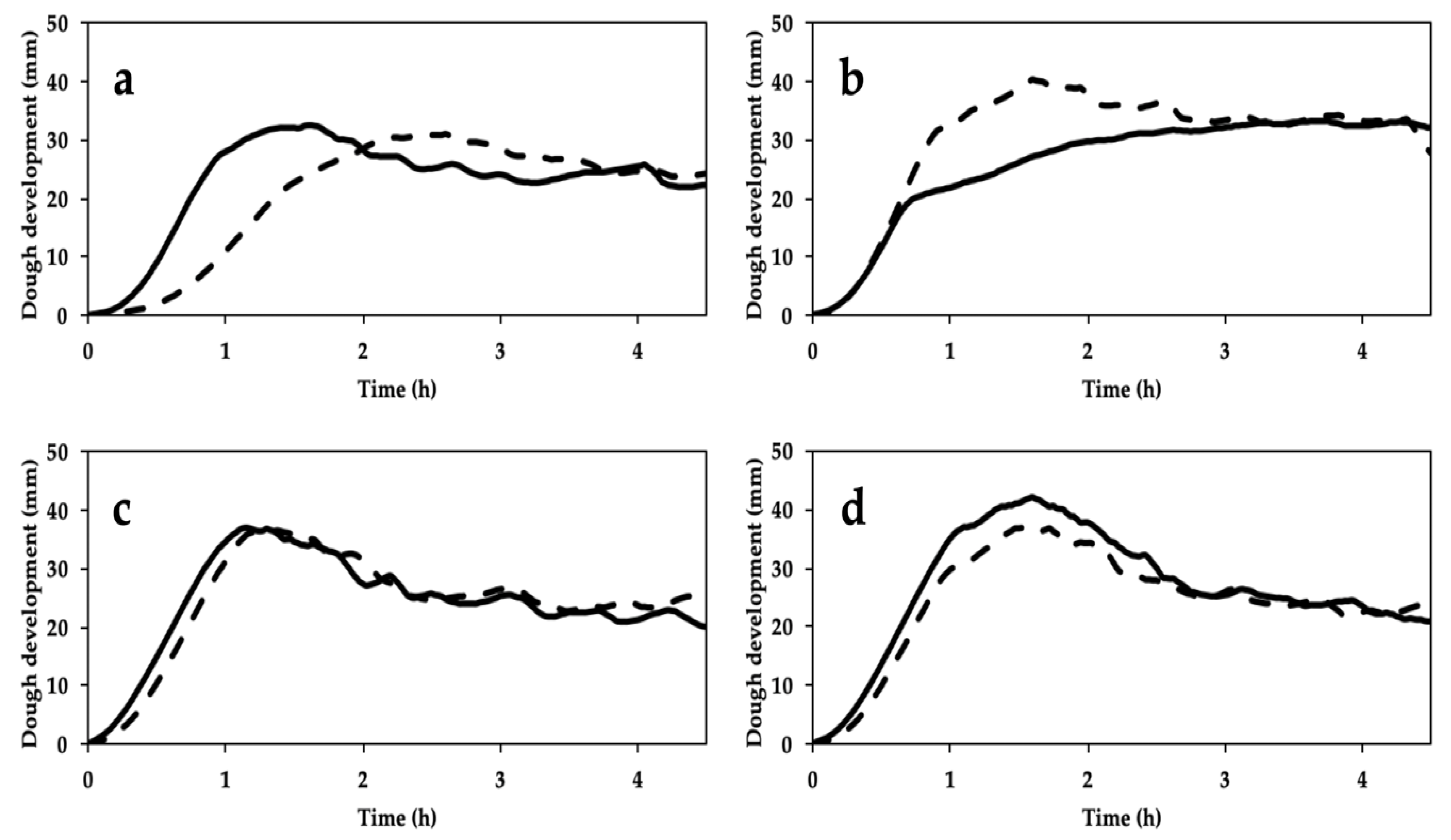
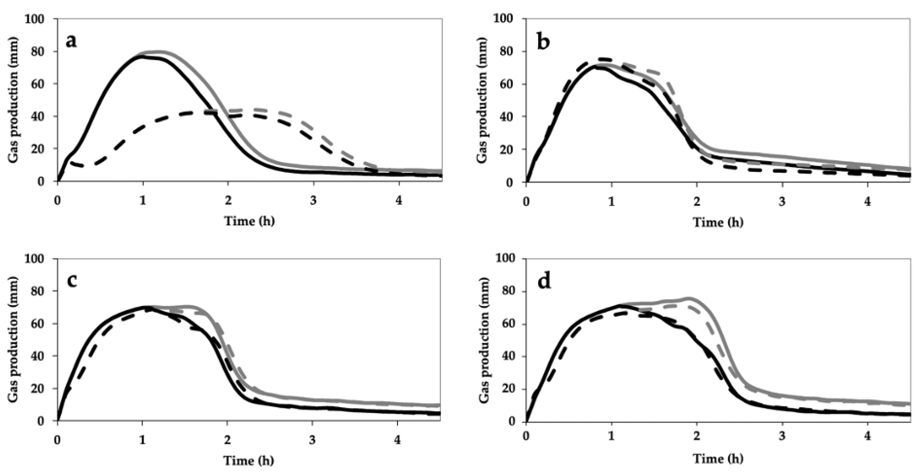
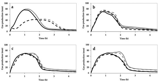
3.5. Leavening Properties
3.6. Bread Properties
4. Discussion
5. Conclusions
Author Contributions
Funding
Acknowledgments
Conflicts of Interest
References
- Rosa-Sibakov, N.; Poutanen, K.; Micard, V. How does wheat grain, bran and aleurone structure impact their nutritional and technological properties? Trends Food Sci. Technol. 2015, 41, 118–134. [Google Scholar] [CrossRef]
- Gebruers, K.; Dornez, E.; Boros, D.; Dynkowska, W.; Bedo, Z.; Rakszegi, M.; Delcour, J.A.; Courtin, C.M. Variation in the content of dietary fiber and components thereof in wheats in the healthgrain diversity screen. J. Agric. Food Chem. 2008, 56, 9740–9749. [Google Scholar] [CrossRef] [PubMed]
- Van Der Kamp, J.W.; Poutanen, K.; Seal, C.J.; Richardson, D.P. The healthgrain definition of “whole grain”. Food Nutr. Res. 2014, 58, 1–8. [Google Scholar] [CrossRef] [PubMed]
- Jonnalagadda, S.S.; Harnack, L.; Hai Liu, R.; McKeown, N.; Seal, C.; Liu, S.; Fahey, G.C. Putting the whole grain puzzle together: Health benefits associated with whole grains—Summary of american society for nutrition 2010 satellite symposium. J. Nutr. 2011, 141, 1011S–1022S. [Google Scholar] [CrossRef]
- Miller Jones, J.; García, C.G.; Braun, H.J. Perspective: Whole and refined grains and health—Evidence supporting “Make Half Your Grains Whole”. Adv. Nutr. 2020, 11, 492–506. [Google Scholar] [CrossRef] [PubMed]
- Seal, C.J.; Brownlee, I.A. Whole-Grain foods and chronic disease: Evidence from epidemiological and intervention studies. Proc. Nutr. Soc. 2015, 74, 313–319. [Google Scholar] [CrossRef] [PubMed]
- Willet, W. Food Planet Health. Available online: https://eatforum.org/content/uploads/2019/01/EAT-Lancet_Commission_Summary_Report.pdf (accessed on 18 May 2020).
- Zhang, G.; Hamaker, B.R. The nutritional property of endosperm starch and its contribution to the health benefits of whole grain foods. Crit. Rev. Food Sci. Nutr. 2017, 57, 3807–3817. [Google Scholar] [CrossRef] [PubMed]
- Nielsen Food Marker * Track. Prodotti Vincenti, Punti Vendita Esperienziali e Consumatori Smart: Ecco Il Largo Consumo del Futuro. Available online: https://www.nielsen.com/it/it/insights/article/2016/prodotti-vincenti-punti-vendita-esperienziali-e-consumatori-sma/ (accessed on 9 June 2020).
- Miller Jones, J.; Adams, J.; Harriman, C.; Miller, C.; Van Der Kamp, J.W. Nutritional impacts of different whole grain milling techniques: A review of milling practices and existing data. Cereal Foods World 2015, 60, 130–139. [Google Scholar] [CrossRef]
- Madureri, E. Storia Della Macinazione dei Cereali; Chiriotti Editori: Pinerolo (TO), Italy, 1995; ISBN 8885022545. [Google Scholar]
- Pagani, M.A.; Marti, A.; Bottega, G. Wheat Milling and Flour Quality Evaluation. In Bakery Products Science and Technology; Zhou, W., Hui, Y.H., De Leyn, I., Pagani, M.A., Rosell, C.M., Selman, J.D., Therdthai, N., Eds.; John Wiley & Sons, Ltd.: Chichester, UK, 2014; pp. 17–53. [Google Scholar]
- Posner, E.S.; Hibbs, A.N. Wheat Flour Milling; American Association of Cereal Chemists, Inc.: St. Paul, MN, USA, 2005. [Google Scholar]
- Ross, A.S.; Kongraksawech, T. Characterizing whole-wheat flours produced using a commercial stone mill, laboratory mills, and household single-stream flour mills. Cereal Chem. 2018, 95, 239–252. [Google Scholar] [CrossRef]
- Doblado-Maldonado, A.F.; Pike, O.A.; Sweley, J.C.; Rose, D.J. Key issues and challenges in whole wheat flour milling and storage. J. Cereal Sci. 2012, 56, 119–126. [Google Scholar] [CrossRef]
- Gélinas, P.; Dessureault, K.; Beauchemin, R. Stones adjustment and the quality of stone-ground wheat flour. Int. J. Food Sci. Technol. 2004, 39, 459–463. [Google Scholar] [CrossRef]
- Prabhasankar, P.; Haridas Rao, P. Effect of different milling methods on chemical composition of whole wheat flour. Eur. Food Res. Technol. 2001, 213, 465–469. [Google Scholar] [CrossRef]
- Gélinas, P.; Morin, C.; Reid, J.F.; Lachance, P. Wheat cultivars grown under organic agriculture and the bread making performance of stone-ground whole wheat flour. Int. J. Food Sci. Technol. 2009, 44, 525–530. [Google Scholar] [CrossRef]
- Cappelli, A.; Oliva, N.; Cini, E. Stone milling versus roller milling: A systematic review of the effects on wheat flour quality, dough rheology, and bread characteristics. Trends Food Sci. Technol. 2020, 97, 147–155. [Google Scholar] [CrossRef]
- Carcea, M.; Turfani, V.; Narducci, V.; Melloni, S.; Galli, V.; Tullio, V. Stone milling versus roller milling in soft wheat: Influence on products composition. Foods 2019, 9, 3. [Google Scholar] [CrossRef]
- Liu, C.; Liu, L.; Li, L.; Hao, C.; Zheng, X.; Bian, K.; Zhang, J.; Wang, X. Effects of different milling processes on whole wheat flour quality and performance in steamed bread making. LWT Food Sci. Technol. 2015, 62, 310–318. [Google Scholar] [CrossRef]
- Kihlberg, I.; Johansson, L.; Kohler, A.; Risvik, E. Sensory qualities of whole wheat pan bread—Influence of farming system, milling and baking technique. J. Cereal Sci. 2004, 39, 67–84. [Google Scholar] [CrossRef]
- Turnbull, K.-M.; Rahman, S. Endosperm texture in wheat. J. Cereal Sci. 2002, 36, 327–337. [Google Scholar] [CrossRef]
- Giordano, D.; Locatelli, M.; Travaglia, F.; Bordiga, M.; Reyneri, A.; Coïsson, J.D.; Blandino, M. Bioactive compound and antioxidant activity distribution in roller-milled and pearled fractions of conventional and pigmented wheat varieties. Food Chem. 2017, 233, 483–491. [Google Scholar] [CrossRef]
- AACC International. AACC Approved Methods of Analysis, 11th ed.; Cereals & Grains Association: St. Paul, MN, USA, 2011. [Google Scholar]
- Official Methods of Analysis of AOAC International, 19th ed.; AOAC International: Gaithersburg, MD, USA, 2012.
- Manini, F.; Brasca, M.; Plumed-Ferrer, C.; Morandi, S.; Erba, D.; Casiraghi, M.C. Study of the chemical changes and evolution of microbiota during sourdoughlike fermentation of wheat bran. Cereal Chem. 2014, 91, 342–349. [Google Scholar] [CrossRef]
- Giordano, D.; Reyneri, A.; Locatelli, M.; Coïsson, J.D.; Blandino, M. Distribution of bioactive compounds in pearled fractions of tritordeum. Food Chem. 2019, 301, 125228. [Google Scholar] [CrossRef] [PubMed]
- Serpen, A.; Gökmen, V.; Fogliano, V. Solvent effects on total antioxidant capacity of foods measured by direct quencher procedure. J. Food Compos. Anal. 2012, 26, 52–57. [Google Scholar] [CrossRef]
- Siebenhandl, S.; Grausgruber, H.; Pellegrini, N.; Del Rio, D.; Fogliano, V.; Pernice, R.; Berghofer, E. Phytochemical profile of main antioxidants in different fractions of purple and blue wheat, and black barley. J. Agric. Food Chem. 2007, 55, 8541–8547. [Google Scholar] [CrossRef] [PubMed]
- International Association for Cereal Science and Technology. Standard No. 115/1, Method for Using the Brabender Farinograph; International Association for Cereal Science and Technology: Vienna, Austria, 1992. [Google Scholar]
- Guerrini, L.; Parenti, O.; Angeloni, G.; Zanoni, B. The bread making process of ancient wheat: A semi-structured interview to bakers. J. Cereal Sci. 2019, 87, 9–17. [Google Scholar] [CrossRef]
- AACC International Defines Whole Grain. Available online: http://aaccnet.org/definitions/wholegrain.asp (accessed on 4 June 2020).
- Di Silvestro, R.; Di Loreto, A.; Marotti, I.; Bosi, S.; Bregola, V.; Gianotti, A.; Quinn, R.; Dinelli, G. Effects of flour storage and heat generated during milling on starch, dietary fibre and polyphenols in stoneground flours from two durum-type wheats. Int. J. Food Sci. Technol. 2014, 49, 2230–2236. [Google Scholar] [CrossRef]
- Fuh, K.F.; Coate, J.M.; Campbell, G.M. Effects of roll gap, kernel shape, and moisture on wheat breakage modeled using the double normalized kumaraswamy breakage function. Cereal Chem. 2014, 91, 8–17. [Google Scholar] [CrossRef]
- Doblado-Maldonado, A.F.; Flores, R.A.; Rose, D.J. Low moisture milling of wheat for quality testing of wholegrain flour. J. Cereal Sci. 2013, 58, 420–423. [Google Scholar] [CrossRef]
- Deroover, L.; Tie, Y.; Verspreet, J.; Courtin, C.M.; Verbeke, K. Modifying wheat bran to improve its health benefits. Crit. Rev. Food Sci. Nutr. 2020, 60, 1104–1122. [Google Scholar] [CrossRef]
- Heiniö, R.L.; Noort, M.W.J.; Katina, K.; Alam, S.A.; Sozer, N.; de Kock, H.L.; Hersleth, M.; Poutanen, K. Sensory characteristics of wholegrain and bran-rich cereal foods—A review. Trends Food Sci. Technol. 2016, 47, 25–38. [Google Scholar] [CrossRef]
- Marti, A.; Cecchini, C.; D’Egidio, M.; Dreisoerner, J.; Pagani, M. Characterization of durum wheat semolina by means of a rapid shear-based method. Cereal Chem. 2014, 91, 542–547. [Google Scholar] [CrossRef]
- Cardone, G.; D’Incecco, P.; Pagani, M.A.; Marti, A. Sprouting improves the bread-making performance of whole wheat flour (Triticum aestivum L.). J. Sci. Food Agric. 2020, 100, 2453–2459. [Google Scholar] [CrossRef] [PubMed]
- Malegori, C.; Grassi, S.; Ohm, J.-B.; Anderson, J.; Marti, A. GlutoPeak profile analysis for wheat classification: Skipping the refinement process. J. Cereal Sci. 2018, 79, 73–79. [Google Scholar] [CrossRef]
- Bressiani, J.; Oro, T.; Santetti, G.S.; Almeida, J.L.; Bertolin, T.E.; Gómez, M.; Gutkoski, L.C. Properties of whole grain wheat flour and performance in bakery products as a function of particle size. J. Cereal Sci. 2017, 75, 269–277. [Google Scholar] [CrossRef]
- Noort, M.W.J.; van Haaster, D.; Hemery, Y.; Schols, H.A.; Hamer, R.J. The effect of particle size of wheat bran fractions on bread quality—Evidence for fibre-protein interactions. J. Cereal Sci. 2010, 52, 59–64. [Google Scholar] [CrossRef]
- Pasqualone, A.; Laddomada, B.; Centomani, I.; Paradiso, V.M.; Minervini, D.; Caponio, F.; Summo, C. Bread making aptitude of mixtures of re-milled semolina and selected durum wheat milling by-products. LWT Food Sci. Technol. 2017, 78, 151–159. [Google Scholar] [CrossRef]
- Zhang, D.; Moore, W.R. Effect of wheat bran particle size on dough rheological properties. J. Sci. Food Agric. 1997, 74, 490–496. [Google Scholar] [CrossRef]
- Yu, L.; Beta, T. Identification and antioxidant properties of phenolic compounds during production of bread from purple wheat grains. Molecules 2015, 20, 15525–15549. [Google Scholar] [CrossRef]
- Çelik, E.E.; Gökmen, V. Effects of fermentation and heat treatments on bound-ferulic acid content and total antioxidant capacity of bread crust-like systems made of different whole grain flours. J. Cereal Sci. 2020, 93, 102978. [Google Scholar] [CrossRef]
- Yu, L.; Nanguet, A.-L.; Beta, T. Comparison of antioxidant properties of refined and whole wheat flour and bread. Antioxidants 2013, 2, 370–383. [Google Scholar] [CrossRef]






| Cultivar | Cultivation Region | Hardness | Color | TW kg/hL | TKW g |
|---|---|---|---|---|---|
| Bolero | Piedmont region, Italy | soft | white | 78.0 | 33.3 |
| CWRS | Manitoba region, Canada | hard | red | 77.8 | 34.8 |
| Bona Vita | Piedmont region, Italy | medium | yellow | 74.6 | 36.5 |
| Skorpion | Piedmont region, Italy | medium | blue | 70.4 | 48.0 |
| Bolero cv | CWRS | BonaVita cv | Skorpion cv | |||||
|---|---|---|---|---|---|---|---|---|
| Stone-Milling | Roller-Milling | Stone-Milling | Roller-Milling | Stone-Milling | Roller-Milling | Stone-Milling | Roller-Milling | |
| Amount of tap water (g/100 g of flour) | 64.2 | 61.7 | 61.2 | 61.5 | 68.1 | 64.7 | 65.5 | 64.5 |
| Kneading time (min) | 5.0 | 5.5 | 6.7 | 6.0 | 5.6 | 5.9 | 4.3 | 4.9 |
| Leavening time (h) | 1.38 | 2.36 | 1.44 | 1.36 | 1.09 | 1.15 | 1.36 | 1.31 |
| Bolero cv | CWRS | Bona Vita cv | Skorpion cv | Average of All Samples | ||||||
|---|---|---|---|---|---|---|---|---|---|---|
| Stone-Milling | Roller-Milling | Stone-Milling | Roller-Milling | Stone-Milling | Roller-Milling | Stone-Milling | Roller-Milling | Stone-Milling | Roller-Milling | |
| Moisture | 11.8 ± 0.1 | 13.2 ± 0.7 | 14.8 ± 0.1 | 14.9 ± 0.7 | 11.8 ± 0.1 | 14.2 ± 0.1 * | 12.4 ± 0.2 | 13.9 ± 0.1 * | 12.7 | 14.05 |
| Protein | 16.7 ± 0.3 | 16.8 ± 0.2 | 16.9 ± 0.2 | 16.8 ± 0.2 | 15.4 ± 0.2 | 15.9 ± 0.2 | 15.3 ± 0.3 | 15.8 ± 0.8 | 16.1 | 16.3 |
| Ash | 1.5 ± 0.1 | 1.8 ± 0.1 | 1.5 ± 0.1 | 1.3 ± 0.1 | 1.7 ± 0.2 | 2.0 ± 0.2 | 1.7 ± 0.2 | 1.6 ± 0.1 | 1.6 | 1.7 |
| Fat | 1.8 ± 0.1 | 2.1 ± 0.01 | 1.9 ± 0.002 | 2.3 ± 0.1 | 2.4 ± 0.1 | 2.2 ± 0.04 | 1.9 ± 0.2 | 2.3 ± 0.3 | 2.0 | 2.2 |
| Starch | ||||||||||
| Total | 66.5 ± 0.7 | 65.9 ± 0.3 | 67.9 ± 1.0 | 70.4 ± 0.4 | 66.8 ± 0.2 | 65.6 ± 0.8 | 68.5 ± 0.2 | 67.5 ± 0.5 | 67.4 | 67.4 |
| Damaged | 3.3 ± 0.1 | 2.2 ± 0.3 | 5.0 ± 0.5 | 6.2 ± 0.5 | 4.0 ± 0.3 | 3.5 ± 0.3 | 4.7 ± 1.0 | 4.3 ± 0.4 | 4.3 | 4.1 |
| Dietary Fiber | ||||||||||
| Total | 13.4 ± 0.4 | 13.4 ± 0.1 | 11.7 ± 1.2 | 9.3 ± 0.2 | 13.6 ± 0.1 | 14.3 ± 0.4 | 12.5 ± 0.2 | 12.8 ± 0.2 | 12.8 | 12.5 |
| Insoluble | 11.2 ± 0.01 | 11.5 ± 0.2 | 9.8 ± 0.6 | 7.0 ± 0.5 | 11.8 ± 0.1 | 12.1 ± 0.2 | 10.6 ± 0.3 | 10.6 ± 0.3 | 10.9 | 10.3 |
| Soluble | 2.2 ± 0.4 | 1.9 ± 0.3 | 1.9 ± 0.6 | 2.3 ± 0.3 | 1.8 ± 0.2 | 2.2 ± 0.2 | 1.9 ± 0.1 | 2.2 ± 0.2 | 2.0 | 2.2 |
| Arabinoxylan | ||||||||||
| Total | 4.0 ± 0.3 | 3.7 ± 0.12 | 3.74 ± 0.04 | 3.04 ± 0.05 * | 5.44 ± 0.20 | 4.79 ± 0.01 * | 4.01 ± 0.40 | 6.8 ± 0.2 * | 4.3 | 4.6 |
| Water extractable | 0.23 ± 0.01 | 0.19 ± 0.05 | 0.33 ± 0.02 | 0.29 ± 0.02 | 0.32 ± 0.02 | 0.52 ± 0.01 * | 0.50 ± 0.05 | 0.44 ± 0.01 | 0.35 | 0.36 |
| CWBPAs | 606 ± 42 | 626 ± 30 | 639 ± 54 | 684 ± 10 | 766 ± 16 | 886 ± 1 7 * | 897 ± 19 | 991 ± 7 * | 727 | 797 |
| CWB-Ferulic acid | 551 ± 39 | 570 ± 28 | 591 ± 52 | 629 ± 9 | 672 ± 16 | 783 ± 12 * | 792 ± 17 | 874 ± 6 * | 652 | 714 |
| CWB-Sinapic acid | 24.8 ± 2.3 | 25.5 ± 1.8 | 22.4 ± 0.9 | 26.4 ± 0.9 * | 50.5 ± 2.1 | 53.1 ± 6.5 | 46.2 ± 0.4 | 48.8 ± 1.9 | 36.0 | 38.5 |
| SPAs | 52.8 ± 3.9 | 52.2 ± 3.4 | 59.0 ± 5.5 | 56.9 ± 1.5 | 62.1 ± 5.2 | 74.5 ± 1.0 | 84.7 ± 13.7 | 91.7 ± 2.6 | 64.7 | 68.8 |
| S-Ferulic acid | 13.9 ± 0.9 | 13.9 ± 1.0 | 15.8 ± 1.9 | 14.9 ± 0.6 | 15.7 ± 2.2 | 18.7 ± 1.4 | 20.8 ± 3.4 | 23.1 ± 1.0 | 16.6 | 17.7 |
| S-Sinapic acid | 24.1 ± 1.4 | 23.7 ± 1.6 | 29.5 ± 2.7 | 29.1 ± 0.7 | 32.2 ± 2.0 | 38.4 ± 2.6 | 43.4 ± 7.1 | 45.2 ± 1.4 | 32.3 | 34.1 |
| Xanthophylls | ||||||||||
| Lutein | n.d. | n.d. | n.d. | n.d. | 3.3 ± 0.1 | 3.0 ± 0.2 | n.d. | n.d. | - | - |
| Zeaxanthin | n.d. | n.d. | n.d. | n.d. | 0.28 ± 0.02 | 0.24 ± 0.02 | n.d. | n.d. | - | - |
| TAC | n.d. | n.d. | n.d. | n.d. | n.d. | n.d. | 22.7 ± 0.4 | 26.3 ± 0.2 * | - | - |
| ACABTS | 20.3 ± 0.3 | 20.2 ± 0.3 | 19.2 ± 0.3 | 19.1 ± 1.1 | 18.2 ± 0.8 | 18.0 ± 0.4 | 19.9 ± 0.7 | 18.6 ± 0.3 | 19.4 | 19.0 |
| ACFRAP | 7.3 ± 0.5 | 6.7 ± 0.4 | 6.3 ± 0.4 | 6.4 ± 0.2 | 6.4 ± 0.1 | 8.1 ± 0.4 * | 7.9 ± 0.6 | 7.3 ± 0.2 | 7.0 | 7.1 |
| cv | Flour | Product | CWBPAs | SPAs | Lutein | Zeaxantin | TAC | ACABTS | ACFRAP |
|---|---|---|---|---|---|---|---|---|---|
| Bona Vita | refined | raw material | 56.4 c | 9.6 d | 4.0 a | 0.16 c | n.d. | 13.5 b | 0.2 g |
| bread crumb | 52.6 c | 10.1 d | 1.9 d | 0.08 e | n.d. | 12.8 bc | 0.2 g | ||
| bread crust | 59.4 c | 9.6 d | 1.4 e | 0.07 e | n.d. | 11.3 c | 1.8 f | ||
| SWF | raw material | 765.5 b | 62.1 c | 3.3 b | 0.28 a | n.d. | 18.2 a | 6.4 e | |
| bread crumb | 774.4 b | 79.7 ab | 1.5 e | 0.14 cd | n.d. | 17.5 a | 7.5 d | ||
| bread crust | 770.2 b | 76.6 b | 1.0 f | 0.12 d | n.d. | 17.5 a | 13.2 b | ||
| RWF | raw material | 885.7 a | 74.5 b | 3.0 c | 0.24 b | n.d. | 18.0 a | 8.1 cd | |
| bread crumb | 795.9 b | 86.0 a | 1.2 f | 0.11 d | n.d. | 17.2 a | 8.8 c | ||
| bread crust | 808.6 ab | 73.8 b | 1.0 f | 0.12 d | n.d. | 17.6 a | 15.9 a | ||
| Skorpion | refined | raw material | 50.3 d | 8.4 e | n.d. | n.d. | 0.1 e | 14.8 d | 0.2 e |
| bread crumb | 56.8 d | 12.3 e | n.d. | n.d. | 0.1 e | 13.4 e | 0.5 e | ||
| bread crust | 59.2 d | 10.3 e | n.d. | n.d. | 0.1 e | 10.8 f | 3.3 d | ||
| SWF | raw material | 897.4 b | 84.7 cd | n.d. | n.d. | 22.8 b | 19.9 a | 7.9 c | |
| bread crumb | 781.4 c | 95.5 abc | n.d. | n.d. | 11.2 d | 17.2 c | 8.2 c | ||
| bread crust | 822.5 c | 75.7 d | n.d. | n.d. | 10.7 d | 17.2 c | 13.7 a | ||
| RWF | raw material | 990.5 a | 91.7 bc | n.d. | n.d. | 26.2 a | 18.6 ab | 7.3 c | |
| bread crumb | 929.6 ab | 107.2 a | n.d. | n.d. | 13.3 c | 18.1 bc | 9.9 b | ||
| bread crust | 938.7 ab | 98.9 ab | n.d. | n.d. | 13.9 c | 17.9 bc | 13.6 a |
© 2020 by the authors. Licensee MDPI, Basel, Switzerland. This article is an open access article distributed under the terms and conditions of the Creative Commons Attribution (CC BY) license (http://creativecommons.org/licenses/by/4.0/).
Share and Cite
Pagani, M.A.; Giordano, D.; Cardone, G.; Pasqualone, A.; Casiraghi, M.C.; Erba, D.; Blandino, M.; Marti, A. Nutritional Features and Bread-Making Performance of Wholewheat: Does the Milling System Matter? Foods 2020, 9, 1035. https://doi.org/10.3390/foods9081035
Pagani MA, Giordano D, Cardone G, Pasqualone A, Casiraghi MC, Erba D, Blandino M, Marti A. Nutritional Features and Bread-Making Performance of Wholewheat: Does the Milling System Matter? Foods. 2020; 9(8):1035. https://doi.org/10.3390/foods9081035
Chicago/Turabian StylePagani, Maria Ambrogina, Debora Giordano, Gaetano Cardone, Antonella Pasqualone, Maria Cristina Casiraghi, Daniela Erba, Massimo Blandino, and Alessandra Marti. 2020. "Nutritional Features and Bread-Making Performance of Wholewheat: Does the Milling System Matter?" Foods 9, no. 8: 1035. https://doi.org/10.3390/foods9081035
APA StylePagani, M. A., Giordano, D., Cardone, G., Pasqualone, A., Casiraghi, M. C., Erba, D., Blandino, M., & Marti, A. (2020). Nutritional Features and Bread-Making Performance of Wholewheat: Does the Milling System Matter? Foods, 9(8), 1035. https://doi.org/10.3390/foods9081035

