Monitoring of the Dry-Curing Process in Iberian Ham Through the Evaluation of Fat Volatile Organic Compounds by Gas Chromatography–Ion Mobility Spectrometry and Non-Destructive Sampling
Abstract
1. Introduction
2. Materials and Methods
2.1. Samples and Standards
2.2. Instrumentation and Method
2.3. Data Processing and Statistical Analysis
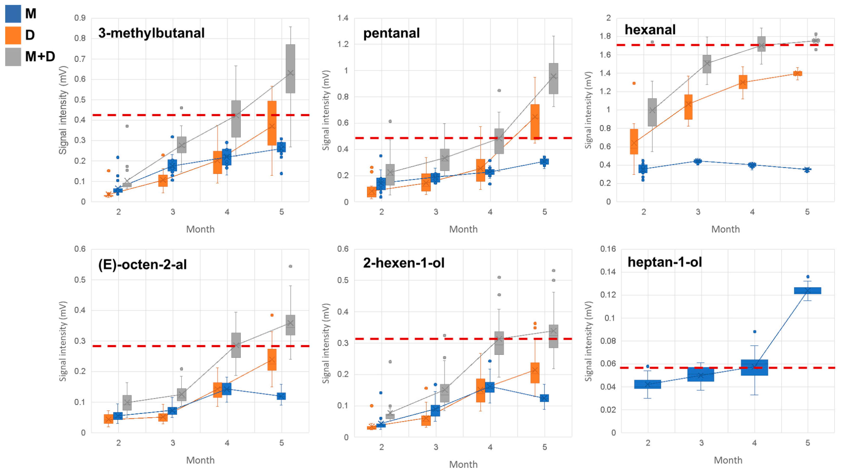
3. Results and Discussion
3.1. VOCs Profile in Post-Salting and in Drying-Maturation Stages
3.2. VOCs as Indicators for the End of the Post-Salting Stage
3.3. Evaluation of VOCs as Indicators of the End of Drying-Maturation Stage
4. Conclusions
Author Contributions
Funding
Institutional Review Board Statement
Informed Consent Statement
Data Availability Statement
Acknowledgments
Conflicts of Interest
References
- Ventanas, S.; Ventanas, J.; Ruiz, J.; Estévez, M. Iberian Pigs for the Development of High-Quality Cured Products. Recent Res. Dev. Agric. Food Chem. 2005, 6, 1–27. [Google Scholar]
- Ministerio de Agricultura. Alimentación y Medio Ambiente Real Decreto 4/2014, de 10 de Enero, Por El Que Se Aprueba La Norma de Calidad Para La Carne, El Jamón, La Paleta y La Caña de Lomo Ibérico. Boletín Oficial del Estado (BOE) 2014, 10, 1569–1585. [Google Scholar]
- Ventanas, J. Tecnología Del Jamón Ibérico; Mundi-Prensa: Madrid, Spain, 2001; Volume 45. [Google Scholar]
- Gilles, G. Dry Cured Ham Quality as Related to Lipid Quality of Raw Material and Lipid Changes during Processing: A Review. Grasas y Aceites 2009, 60, 297–307. [Google Scholar] [CrossRef]
- Toldrá, F. Proteolysis and Lipolysis in Flavour Development of Dry-Cured Meat Products. Meat Sci. 1998, 49, S101–S110. [Google Scholar] [CrossRef] [PubMed]
- Motilva, M.J.; Toldrá, F.; Nieto, P.; Flores, J. Muscle Lipolysis Phenomena in the Processing of Dry-Cured Ham. Food Chem. 1993, 48, 121–125. [Google Scholar] [CrossRef]
- Toldrá, F. The Role of Muscle Enzymes in Dry-Cured Meat Products with Different Drying Conditions. Trends Food Sci. Technol. 2006, 17, 164–168. [Google Scholar] [CrossRef]
- Martín-Gómez, A.; Segura-Borrego, M.P.; Ríos-Reina, R.; Cardador, M.J.; Callejón, R.M.; Morales, M.L.; Rodríguez-Estévez, V.; Arce, L. Discrimination of Defective Dry-Cured Iberian Ham Determining Volatile Compounds by Non-Destructive Sampling and Gas Chromatography. LWT 2022, 154, 112785. [Google Scholar] [CrossRef]
- Antequera, T.; López-Bote, C.J.; Córdoba, J.J.; García, C.; Asensio, M.A.; Ventanas, J.; García-Regueiro, J.A.; Díaz, I. Lipid Oxidative Changes in the Processing of Iberian Pig Hams. Food Chem. 1992, 45, 105–110. [Google Scholar] [CrossRef]
- Narváez-Rivas, M.; Vicario, I.M.; Constante, E.G.; León-Camacho, M. Changes in the Concentrations of Free Fatty Acid, Monoacylglycerol, and Diacylglycerol in the Subcutaneous Fat of Iberian Ham during the Dry-Curing Process. J. Agric. Food Chem. 2007, 55, 10953–10961. [Google Scholar] [CrossRef]
- Narváez-Rivas, M.; Gallardo, E.; León-Camacho, M. Chemical Changes in Volatile Aldehydes and Ketones from Subcutaneous Fat during Ripening of Iberian Dry-Cured Ham. Prediction of the Curing Time. Food Res. Int. 2014, 55, 381–390. [Google Scholar] [CrossRef]
- Narváez-Rivas, M.; Gallardo, E.; León-Camacho, M. Changes in Polar and Non-Polar Lipid Fractions of Subcutaneous Fat from Iberian Ham during Dry-Curing Process. Prediction of the Curing Time. Food Res. Int. 2013, 54, 213–222. [Google Scholar] [CrossRef]
- Narváez-Rivas, M.; Gallardo, E.; León-Camacho, M. Evolution of Volatile Hydrocarbons from Subcutaneous Fat during Ripening of Iberian Dry-Cured Ham. A Tool to Differentiate between Ripening Periods of the Process. Food Res. Int. 2015, 67, 299–307. [Google Scholar] [CrossRef]
- Narváez-Rivas, M.; Gallardo, E.; León-Camacho, M. Study of Volatile Alcohols and Esters from the Subcutaneous Fat during Ripening of Iberian Dry-Cured Ham. A Tool for Predicting the Dry-Curing Time. Grasas y Aceites 2016, 67, e166. [Google Scholar] [CrossRef]
- Li, P.; Zhou, H.; Wang, Z.; Al-Dalali, S.; Nie, W.; Xu, F.; Li, C.; Li, P.; Cai, K.; Xu, B. Analysis of Flavor Formation during the Production of Jinhua Dry-Cured Ham Using Headspace-Gas Chromatography-Ion Mobility Spectrometry (HS-GC-IMS). Meat Sci. 2022, 194, 108992. [Google Scholar] [CrossRef] [PubMed]
- Martín-Gómez, A.; Arroyo-Manzanares, N.; Rodríguez-Estévez, V.; Arce, L. Use of a Non-Destructive Sampling Method for Characterization of Iberian Cured Ham Breed and Feeding Regime Using GC-IMS. Meat Sci. 2019, 152, 146–154. [Google Scholar] [CrossRef] [PubMed]
- Martín-Gómez, A.; Rodríguez-Hernández, P.; Cardador, M.J.; Vega-Márquez, B.; Rodríguez-Estévez, V.; Arce, L. Guidelines to Build PLS-DA Chemometric Classification Models Using a GC-IMS Method: Dry-Cured Ham as a Case of Study. Talanta Open 2023, 7, 100175. [Google Scholar] [CrossRef]
- Rodríguez-Hernández, P.; Martín-Gómez, A.; Cardador, M.J.; Amaro, M.A.; Arce, L.; Rodríguez-Estévez, V. Geographical Origin, Curing Plant and Commercial Category Discrimination of Cured Iberian Hams through Volatilome Analysis at Industry Level. Meat Sci. 2023, 195, 108989. [Google Scholar] [CrossRef] [PubMed]
- Profillidis, V.A.; Botzoris, G.N. Statistical Methods for Transport Demand Modeling. In Modeling of Transport Demand; Profillidis, V.A., Botzoris, G.N., Eds.; Elsevier: Amsterdam, The Netherlands, 2019; Volume 1, pp. 163–224. [Google Scholar] [CrossRef]
- Jurado, Á.; Carrapiso, A.I.; Ventanas, J.; García, C. Changes in SPME-Extracted Volatile Compounds from Iberian Ham during Ripening. Grasas y Aceites 2009, 60, 262–270. [Google Scholar] [CrossRef]
- Andrés, A.I.; Cava, R.; Ruiz, J. Monitoring Volatile Compounds during Dry-Cured Ham Ripening by Solid-Phase Microextraction Coupled to a New Direct-Extraction Device. J. Chromatogr. A 2002, 963, 83–88. [Google Scholar] [CrossRef] [PubMed]
- Del Pulgar, J.S.; García, C.; Reina, R.; Carrapiso, A.I. Study of the Volatile Compounds and Odor-Active Compounds of Dry-Cured Iberian Ham Extracted by SPME. Food Sci. Technol. Int. 2013, 19, 225–233. [Google Scholar] [CrossRef] [PubMed]
- Narváez-Rivas, M.; Gallardo, E.; León-Camacho, M. Analysis of Volatile Compounds from Iberian Hams: A Review. Grasas y Aceites 2012, 63, 432–454. [Google Scholar] [CrossRef]
- Martínez-Onandi, N.; Rivas-Cañedo, A.; Ávila, M.; Garde, S.; Nuñez, M.; Picon, A. Influence of Physicochemical Characteristics and High Pressure Processing on the Volatile Fraction of Iberian Dry-Cured Ham. Meat Sci. 2017, 131, 40–47. [Google Scholar] [CrossRef] [PubMed]
- Carrapiso, A.I.; Martín, L.; Jurado, Á.; García, C. Characterisation of the Most Odour-Active Compounds of Bone Tainted Dry-Cured Iberian Ham. Meat Sci. 2010, 85, 54–58. [Google Scholar] [CrossRef] [PubMed]
- García, C.; Martín, A.; Timón, M.L.; Córdoba, J.J. Microbial Populations and Volatile Compounds in the‘Bone Taint’ Spoilage of Dry Cured Ham. Lett. Appl. Microbiol. 2000, 30, 61–66. [Google Scholar] [CrossRef] [PubMed]
- Ventanas, J.; Córdoba, J.J.; Antequera, T.; Garcia, C.; López-Bote, C.; Asensio, M.A. Hydrolysis and Maillard Reactions during Ripening of Iberian Ham. J. Food Sci. 1992, 57, 813–815. [Google Scholar] [CrossRef]
- Vestergaard, C.S.; Schivazappa, C.; Virgili, R. Lipolysis in Dry-Cured Ham Maturation. Meat Sci. 2000, 55, 1–5. [Google Scholar] [CrossRef] [PubMed]
- Isaza-Maya, Y.L.; Restrepo-Molina, D.A.; López-Vargas, J.H. Oxidación Lipídica y Antioxidantes Naturales En Derivados Cárnicos. J. Eng. Technol. 2013, 2, 50–66. [Google Scholar]
- Martín, L.; Timón, M.L.; Petrón, M.J.; Ventanas, J.; Antequera, T. Evolution of Volatile Aldehydes in Iberian Ham Matured under Different Processing Conditions. Meat Sci. 2000, 54, 333–337. [Google Scholar] [CrossRef] [PubMed]
- Kandler, O. Carbohydrate Metabolism in Lactic Acid Bacteria. Antonie Van Leeuwenhoek 1983, 49, 209–224. [Google Scholar] [CrossRef] [PubMed]
- Martín, A.; Córdoba, J.J.; Aranda, E.; Córdoba, M.G.; Asensio, M.A. Contribution of a Selected Fungal Population to the Volatile Compounds on Dry-Cured Ham. Int. J. Food Microbiol. 2006, 110, 8–18. [Google Scholar] [CrossRef]
- Ramírez, R.; Cava, R. Volatile Profiles of Dry-Cured Meat Products from Three Different Iberian x Duroc Genotypes. J. Agric. Food Chem. 2007, 55, 1923–1931. [Google Scholar] [CrossRef]
- Blank, I.; Devaud, S.; Fay, L.B.; Cerny, C.; Steiner, M.; Zurbriggen, B. Odor-Active Compounds of Dry-Cured Meat: Italian-Type Salami and Parma Ham. ACS Symp. Ser. 2001, 794, 9–20. [Google Scholar] [CrossRef]
- Song, H.; Cadwallader, K.R.; Singh, T.K. Odour-Active Compounds of Jinhua Ham. Flavour. Fragr. J. 2008, 23, 1–6. [Google Scholar] [CrossRef]
- Song, H.; Cadwallader, K.R. Aroma Components of American Country Ham. J. Food Sci. 2008, 73, C29–C35. [Google Scholar] [CrossRef] [PubMed]
- Arnau, J. Tecnología de Elaboración Del Jamón Curado. Microbiol. Sem. 1993, 9, 3–9. [Google Scholar]
- Rodríguez-Estévez, V.; García, A.; Peña, F.; Gómez, A.G. Foraging of Iberian Fattening Pigs Grazing Natural Pasture in the Dehesa. Livest. Sci. 2009, 120, 135–143. [Google Scholar] [CrossRef]
- Rodríguez-Estévez, V.; García, A.; Gómez, A.G. Characteristics of the Acorns Selected by Free Range Iberian Pigs during the Montanera Season. Livest. Sci. 2009, 122, 169–176. [Google Scholar] [CrossRef]
- Luo, J.; Yu, Q.; Han, G.; Zhang, X.; Shi, H.; Cao, H. Identification of Off-Flavor Compounds and Deodorizing of Cattle by-Products. J. Food Biochem. 2022, 46, e14443. [Google Scholar] [CrossRef] [PubMed]
- Marco, A.; Navarro, J.L.; Flores, M. Quantitation of Selected Odor-Active Constituents in Dry Fermented Sausages Prepared with Different Curing Salts. J. Agric. Food Chem. 2007, 55, 3058–3065. [Google Scholar] [CrossRef]
- Martín, A.; Benito, M.J.; Aranda, E.; Ruiz-Moyano, S.; Córdoba, J.J.; Córdoba, M.G. Characterization by Volatile Compounds of Microbial Deep Spoilage in Iberian Dry-Cured Ham. J. Food Sci. 2010, 75, M360–M365. [Google Scholar] [CrossRef] [PubMed]



| Post-Salting | Drying-Maturation | |||||||
|---|---|---|---|---|---|---|---|---|
| Compound | RI | DT (ms) | r | p | Trend | r | p | Trend |
| Aldehydes | ||||||||
| butanal (M) | 602 | 11.2 | 0.638 | *** | ↑↑ | 0.240 | *** | = |
| 3-methylbutanal (M+D) | 656 | - | 0.866 | *** | ↑↑↑↑ | −0.291 | *** | = |
| 3-methylbutanal (M) | 11.7 | 0.830 | *** | ↑↑↑↑ | 0.233 | *** | = | |
| 3-methylbutanal (D) | 14.2 | 0.878 | *** | ↑↑↑↑ | −0.353 | *** | = | |
| 2-methylbutanal (M) | 667 | 11.6 | N.F. | −0.070 | - | = | ||
| pentanal (M+D) | 700 | - | 0.860 | *** | ↑↑↑↑ | −0.336 | *** | = |
| pentanal (M) | 11.9 | 0.807 | *** | ↑↑↑↑ | −0.250 | *** | = | |
| pentanal (D) | 14.4 | 0.873 | *** | ↑↑↑↑ | −0.344 | *** | = | |
| hexanal (M+D) | 805 | - | 0.826 | *** | ↑↑↑↑ | −0.111 | - | = |
| hexanal (M) | 12.6 | −0.169 | - | = | 0.258 | *** | = | |
| hexanal (D) | 15.8 | 0.898 | *** | ↑↑↑↑ | −0.145 | * | = | |
| heptanal (M+D) | 909 | - | 0.681 | *** | ↑↑ | −0.476 | *** | = |
| heptanal (M) | 13.3 | 0.502 | *** | ↑ | −0.454 | *** | = | |
| heptanal (D) | 17.0 | 0.739 | *** | ↑↑↑ | −0.468 | **** | = | |
| (E)-hepten-2-al (M+D) | 966 | - | 0.796 | *** | ↑↑↑ | −0.609 | *** | ↓↓ |
| (E)-hepten-2-al (M) | 12.5 | 0.652 | *** | ↑↑ | −0.609 | *** | ↓↓ | |
| (E)-hepten-2-al (D) | 16.7 | 0.856 | *** | ↑↑↑↑ | N.F. | |||
| (E,E)-heptadien-2,4-al (M+D) | 1006 | - | 0.646 | *** | ↑↑ | N.F. | ||
| (E,E)-heptadien-2,4-al (M) | 12.0 | 0.265 | ** | = | ||||
| (E,E)-heptadien-2,4-al (D) | 16.3 | 0.748 | *** | ↑↑↑ | ||||
| octanal (M+D) | 1012 | - | 0.638 | *** | ↑↑ | −0.287 | *** | = |
| octanal (M) | 14.1 | 0.446 | *** | = | −0.252 | *** | = | |
| octanal (D) | 18.3 | 0.743 | *** | ↑↑↑ | −0.295 | *** | = | |
| (E)-octen-2-al (M+D) | 1068 | - | 0.878 | *** | ↑↑↑↑ | −0.569 | *** | ↓ |
| (E)-octen-2-al (M) | 13.3 | 0.766 | *** | ↑↑↑ | −0.573 | *** | ↓ | |
| (E)-octen-2-al (D) | 18.2 | 0.893 | *** | ↑↑↑↑ | −0.554 | *** | ↓ | |
| nonanal (M+D) | 1109 | - | 0.121 | - | = | −0.289 | *** | = |
| nonanal (M) | 14.8 | −0.162 | - | = | −0.296 | *** | = | |
| nonanal (D) | 19.5 | 0.319 | *** | = | −0.273 | *** | = | |
| (E)-nonen-2-al (M+D) | 1141 | - | 0.591 | *** | ↑ | −0.549 | *** | ↓ |
| (E)-nonen-2-al (M) | 14.1 | 0.164 | - | = | −0.549 | *** | ↓ | |
| (E)-nonen-2-al (D) | 19.7 | 0.727 | *** | ↑↑↑ | −0.543 | *** | ↓ | |
| (Z)-2-decenal (M+D) | 1192 | - | 0.647 | *** | ↑↑ | −0.588 | *** | ↓ |
| (Z)-2-decenal (M) | 12.1 | 0.481 | *** | = | −0.526 | *** | ↓ | |
| (Z)-2-decenal (D) | 17.2 | 0.687 | *** | ↑↑ | −0.602 | *** | ↓↓ | |
| decanal (M+D) | 1206 | - | N.F. | −0.265 | *** | = | ||
| decanal (M) | 15.4 | −0.263 | *** | = | ||||
| decanal (D) | 20.7 | −0.259 | *** | = | ||||
| Alcohols | ||||||||
| propan-1-ol (M) | 538 | 11.2 | 0.163 | - | = | N.F. | ||
| 2-methylbutan-1-ol (M+D) | 745 | - | 0.668 | *** | ↑↑ | N.F. | ||
| 2-methylbutan-1-ol (M) | 12.4 | 0.735 | *** | ↑↑↑ | ||||
| 2-methylbutan-1-ol (D) | 14.6 | −0.002 | - | = | ||||
| pentan-1-ol (M+D) | 774 | - | 0.721 | *** | ↑↑↑ | −0.197 | *** | = |
| pentan-1-ol (M) | 12.6 | 0.648 | *** | ↑↑ | −0.239 | *** | = | |
| pentan-1-ol (D) | 15.1 | 0.815 | *** | ↑↑↑↑ | −0.140 | ** | = | |
| 2,3-butanediol (M) | 789 | 13.9 | −0.195 | - | = | N.F. | ||
| (E)-2-hexen-1-ol (M+D) | 860 | - | 0.855 | *** | ↑↑↑↑ | N.F. | ||
| (E)-2-hexen-1-ol (M) | 11.8 | 0.708 | *** | ↑↑↑ | ||||
| (E)-2-hexen-1-ol (D) | 15.1 | 0.897 | *** | ↑↑↑↑ | ||||
| heptan-1-ol (M+D) | 982 | - | 0.820 | *** | ↑↑↑↑ | −0.276 | *** | = |
| heptan-1-ol (M) | 14.0 | 0.820 | *** | ↑↑↑↑ | −0.295 | *** | = | |
| heptan-1-ol (D) | 17.6 | N.F. | −0.227 | *** | = | |||
| 1-octen-3-ol (M) | 989 | 11.6 | 0.704 | *** | ↑↑↑ | −0.430 | *** | = |
| octan-1-ol (M+D) | 1083 | - | 0.741 | *** | ↑↑↑ | −0.295 | *** | = |
| octan-1-ol (M) | 14.7 | 0.741 | *** | ↑↑↑ | −0.319 | *** | = | |
| octan-1-ol (D) | 18.8 | N.F. | −0.136 | ** | = | |||
| Esters | ||||||||
| acetic acid ethyl ester (M) | 601 | 10.9 | 0.422 | *** | = | N.F. | ||
| Aromatics | ||||||||
| 2-ethylfuran (M+D) | 711 | - | 0.102 | - | = | N.F. | ||
| 2-ethylfuran (M) | 10.5 | −0.440 | *** | = | ||||
| 2-ethylfuran (D) | 13.1 | 0.692 | *** | ↑↑ | ||||
| aniline (M+D) | 807 | - | 0.744 | *** | ↑↑↑ | N.F. | ||
| aniline (M) | 11.6 | −0.227 | - | = | ||||
| aniline (D) | 14.2 | 0.892 | *** | ↑↑↑↑ | ||||
| 2,5-dimethylpyrazine (M) | 916 | 11.0 | 0.854 | *** | ↑↑↑↑ | N.F. | ||
| benzaldehyde (M+D) | 969 | - | 0.537 | *** | ↑ | −0.459 | *** | = |
| benzaldehyde (M) | 11.5 | 0.537 | *** | ↑ | −0.471 | *** | = | |
| benzaldehyde (D) | 14.7 | N.F. | −0.404 | *** | = | |||
| benzene acetaldehyde (M) | 1049 | 12.6 | 0.669 | *** | ↑↑ | N.F. | ||
| 2-3H-furanone 5-ethylhydro (M+D) | 1064 | - | N.F. | −0.424 | *** | = | ||
| 2-3H-furanone 5-ethylhydro (M) | 11.9 | −0.295 | *** | = | ||||
| 2-3H-furanone 5-ethylhydro (D) | 15.3 | −0.565 | *** | ↓ | ||||
| Ketones | ||||||||
| 1-hydroxypropan-2-one (M+D) | 656 | - | −0.414 | *** | = | N.F. | ||
| 1-hydroxypropan-2-one (M) | 10.5 | −0.664 | *** | ↓↓ | ||||
| 1-hydroxypropan-2-one (D) | 12.2 | 0.034 | - | = | ||||
| pentan-2-one (D) | 689 | 13.7 | N.F. | −0.210 | *** | = | ||
| pentane-2,3-dione (M+D) | 698 | - | 0.685 | *** | ↑↑ | N.F. | ||
| pentane-2,3-dione (M) | 12.2 | 0.368 | *** | = | ||||
| pentane-2,3-dione (D) | 13.0 | 0.604 | *** | ↑↑ | ||||
| 3-hydroxybutan-2-one (D) | 716 | 13.4 | 0.158 | - | = | N.F. | ||
| hexan-2-one (M+D) | 791 | - | −0.191 | - | = | 0.056 | - | = |
| hexan-2-one (M) | 11.7 | −0.191 | - | = | N.F. | |||
| hexan-2-one (D) | 15.0 | N.F. | 0.056 | - | = | |||
| heptan-2-one (M+D) | 891 | - | 0.647 | *** | ↑↑ | −0.214 | *** | = |
| heptan-2-one (M) | 12.6 | 0.647 | *** | ↑↑ | −0.285 | *** | = | |
| heptan-2-one (D) | 16.3 | N.F. | −0.193 | *** | = | |||
| 1-octen-3-one (M+D) | 987 | - | N.F. | −0.562 | *** | ↓ | ||
| 1-octen-3-one (M) | 12.8 | −0.493 | *** | = | ||||
| 1-octen-3-one (D) | 16.8 | −0.585 | *** | ↓ | ||||
| octan-2-one (M+D) | 993 | - | N.F. | −0.082 | - | = | ||
| octan-2-one (M) | 13.4 | 0.111 | - | = | ||||
| octan-2-one (D) | 17.6 | −0.181 | *** | = | ||||
| nonan-2-one (M+D) | 1098 | - | N.F. | −0.205 | *** | = | ||
| nonan-2-one (M) | 14.1 | −0.146 | ** | = | ||||
| nonan-2-one (D) | 18.8 | −0.242 | *** | = | ||||
| Acids | ||||||||
| acetic acid (M+D) | 601 | - | 0.138 | - | = | −0.558 | *** | ↓ |
| acetic acid (M) | 10.6 | −0.290 | * | = | N.F. | |||
| acetic acid (D) | 11.6 | 0.265 | * | = | −0.558 | *** | ↓ | |
| propanoic acid (M+D) | 691 | - | 0.241 | * | = | −0.127 | * | = |
| propanoic acid (M) | 11.2 | 0.183 | - | = | −0.181 | ** | = | |
| propanoic acid (D) | 12.7 | 0.180 | - | = | −0.039 | - | = | |
| isovaleric acid (M) | 859 | 12.2 | −0.631 | *** | ↓↓ | N.F. | ||
| 2-methylbutanoic acid (M) | 865 | 12.0 | −0.025 | - | = | N.F. | ||
| hexanoic acid (M) | 997 | 13.0 | −0.120 | = | = | N.F. | ||
Disclaimer/Publisher’s Note: The statements, opinions and data contained in all publications are solely those of the individual author(s) and contributor(s) and not of MDPI and/or the editor(s). MDPI and/or the editor(s) disclaim responsibility for any injury to people or property resulting from any ideas, methods, instructions or products referred to in the content. |
© 2024 by the authors. Licensee MDPI, Basel, Switzerland. This article is an open access article distributed under the terms and conditions of the Creative Commons Attribution (CC BY) license (https://creativecommons.org/licenses/by/4.0/).
Share and Cite
Rodríguez-Hernández, P.; Martín-Gómez, A.; Rivero-Talavera, M.; Cardador, M.J.; Rodríguez-Estévez, V.; Arce, L. Monitoring of the Dry-Curing Process in Iberian Ham Through the Evaluation of Fat Volatile Organic Compounds by Gas Chromatography–Ion Mobility Spectrometry and Non-Destructive Sampling. Foods 2025, 14, 49. https://doi.org/10.3390/foods14010049
Rodríguez-Hernández P, Martín-Gómez A, Rivero-Talavera M, Cardador MJ, Rodríguez-Estévez V, Arce L. Monitoring of the Dry-Curing Process in Iberian Ham Through the Evaluation of Fat Volatile Organic Compounds by Gas Chromatography–Ion Mobility Spectrometry and Non-Destructive Sampling. Foods. 2025; 14(1):49. https://doi.org/10.3390/foods14010049
Chicago/Turabian StyleRodríguez-Hernández, Pablo, Andrés Martín-Gómez, Miriam Rivero-Talavera, María José Cardador, Vicente Rodríguez-Estévez, and Lourdes Arce. 2025. "Monitoring of the Dry-Curing Process in Iberian Ham Through the Evaluation of Fat Volatile Organic Compounds by Gas Chromatography–Ion Mobility Spectrometry and Non-Destructive Sampling" Foods 14, no. 1: 49. https://doi.org/10.3390/foods14010049
APA StyleRodríguez-Hernández, P., Martín-Gómez, A., Rivero-Talavera, M., Cardador, M. J., Rodríguez-Estévez, V., & Arce, L. (2025). Monitoring of the Dry-Curing Process in Iberian Ham Through the Evaluation of Fat Volatile Organic Compounds by Gas Chromatography–Ion Mobility Spectrometry and Non-Destructive Sampling. Foods, 14(1), 49. https://doi.org/10.3390/foods14010049

