Optimization and Prediction of the Drying and Quality of Turnip Slices by Convective-Infrared Dryer under Various Pretreatments by RSM and ANFIS Methods
Abstract
1. Introduction
2. Materials and Methods
2.1. Turnip Preparation
2.2. Pretreatments
2.2.1. Blanching
2.2.2. Ultrasound Pre-Treatment
2.2.3. Microwave Pre-Treatment
2.3. Hybrid Convective-Infrared (HCIR) Dryer
2.4. Moisture Ratio
2.5. Effective Moisture Diffusivity
2.6. Specific Energy Consumption (SEC), Energy and Drying Efficiency
2.7. Shrinkage Measurement
2.8. Color Difference
2.9. Response Surface Methodology (RSM)
2.10. Adaptive Neuro-Fuzzy Inference System (ANFIS)
3. Results and Discussion
3.1. Drying Time
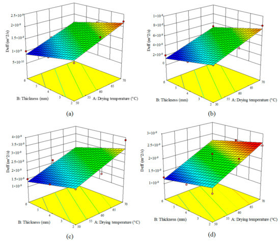
3.2. Effective Moisture Diffusivity Coefficient (Deff)
3.3. Specific Energy Consumption (SEC)
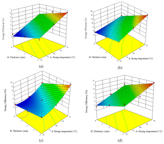
3.4. Energy () and Dryer () Efficiency
3.5. Shrinkage
3.6. Color Difference (∆E)
3.7. Optimization
3.8. ANIFIS
4. Conclusions
- The lowest drying time (40 min), Deff (1.007 × 10−9 m2/s), and SEC (21.57 Mj/kg) were observed in the microwave pretreatment.
- Energy and dryer efficiencies of 0.89–15.23% and 2.11–21.20% were recorded for the microwave-pretreated samples with a thickness of 2 mm which were dried at 70 °C.
- In the HCIR dryer, SEC declined by increasing the temperature and reducing the thickness, microwave power, and blanching temperature; the energy and dryer efficiencies were increased.
- The ultrasonic pretreatment led to the lowest shrinkage (19.28%) and color variation (11.12) moreover, an increase in the temperature and sample thickness enhanced the shrinkage and color variations for all the pretreatments.
- The optimal condition for the lowest SEC and the highest energy and dryer efficiencies involved the air temperature of 70 °C and sample thickness of 2 mm which led to the desirability of over 89% for all the pretreatments.
- A comparison of the parameter prediction by RSM and ANFIS models indicated that the RSM model exhibited very good performance in modeling and optimizing the process; while the ANFIS method did not have this capability. ANFIS, however, showed better performance in predicting the dependent variables.
Author Contributions
Funding
Institutional Review Board Statement
Informed Consent Statement
Data Availability Statement
Acknowledgments
Conflicts of Interest
Nomenclatures
| Effective moisture diffusion coefficient (m2/s) | |
| Total energy input to dryer (MJ) | |
| Total energy consumption | |
| Energy consumed to evaporate moisture from drying samples (kJ) | |
| Energy for the material heating (kJ) | |
| M | weight of the sample (g) |
| Mf | weight of pycnometer (g), |
| Initial moisture content (kg water/kg dry matter) | |
| Equilibrium moisture content (kg water/kg dry matter) | |
| Moisture content at any time (kg water/kg dry matter) | |
| Moisture ratio | |
| Msf | weight of the toluene for filling the pycnometer (g) |
| Mt+s | weight of pycnometer plus the weights of the sample and toluene (g) |
| Number of data values | |
| R2 | determination coefficient |
| Shrinkage (%) | |
| Specific energy consumption (MJ/kg) | |
| Predict data | |
| Drying time (min) | |
| Experimental data | |
| average predicted values | |
| Vf | pycnometer volume (cm3) |
| Final volume (cm3) | |
| Initial volume (cm3) | |
| Total color change | |
| ,, | Differences between the color of the fresh and dried sample |
| ρs | density of toluene (0.87 g/cm3 at 20 °C) |
| Drying efficiency (%) | |
| Energy efficiency (%) | |
| Shrinkage (cm3) |
References
- Kaveh, M.; Chayjan, R.A. Modeling thin-layer drying of turnip slices under semi-industrial continuous band dryer. J. Food Process. Preserv. 2016, 41, e12778. [Google Scholar] [CrossRef]
- Xue, Y.; Chen, J.-N.; Han, H.-T.; Liu, C.-Q.; Gao, Q.; Li, J.-H.; Li, D.-J.; Tanokura, M. Multivariate analyses of the physicochemical properties of turnip (Brassica rapa L.) chips dried using different methods. Dry. Technol. 2019, 38, 411–419. [Google Scholar] [CrossRef]
- Sun, Q.; Zhang, M.; Mujumdar, A.S. Recent developments of artificial intelligence in drying of fresh food: A review. Crit. Rev. Food Sci. Nutr. 2019, 59, 2258–2275. [Google Scholar] [CrossRef] [PubMed]
- Jin, W.; Mujumdar, A.S.; Zhang, M.; Shi, W. Novel drying techniques for spices and herbs: A review. Food Eng. Rev. 2017, 10, 34–45. [Google Scholar] [CrossRef]
- Rawson, A.; Tiwari, B.; Tuohy, M.; O’Donnell, C.; Brunton, N. Effect of ultrasound and blanching pretreatments on polyacetylene and carotenoid content of hot air and freeze dried carrot discs. Ultrason. Sonochem. 2011, 18, 1172–1179. [Google Scholar] [CrossRef] [PubMed]
- Kaveh, M.; Taghinezhad, E.; Aziz, M. Effects of physical and chemical pretreatments on drying and quality properties of blackberry (Rubus spp.) in hot air dryer. Food Sci. Nutr. 2020, 8, 3843–3856. [Google Scholar] [CrossRef]
- Adabi, E.M.; Motevali, A.; Nikbakht, A.M.; Khoshtaghaza, H.M. Investigation of some pretreatments on energy and specific energy consumption drying of black mulberry. Chem. Ind. Chem. Eng. Q. 2013, 19, 89–105. [Google Scholar] [CrossRef]
- Taghinezhad, E.; Kaveh, M.; Rasooli Sharabiani, V. Blackberry drying with various pretreatments of thermal, pulsed, chemical and mechanical using convective-infrared combined method. Innov. Food Technol. 2020, 7, 277–298. [Google Scholar] [CrossRef]
- Wang, H.; Liu, Z.-L.; Vidyarthi, S.K.; Wang, Q.-H.; Gao, L.; Li, B.-R.; Wei, Q.; Liu, Y.-H.; Xiao, H.-W. Effects of different drying methods on drying kinetics, physicochemical properties, microstructure, and energy consumption of potato (Solanum tuberosum L.) cubes. Dry. Technol. 2020, 1–14. [Google Scholar] [CrossRef]
- Sahin, M.; Doymaz, I. Estimation of cauliflower mass transfer parameters during convective drying. Heat Mass Transf. 2016, 53, 507–517. [Google Scholar] [CrossRef]
- Sledz, M.; Wiktor, A.; Rybak, K.; Nowacka, M.; Witrowa-Rajchert, D. The impact of ultrasound and steam blanching pre-treatments on the drying kinetics, energy consumption and selected properties of parsley leaves. Appl. Acoust. 2016, 103, 148–156. [Google Scholar] [CrossRef]
- Amami, E.; Khezami, W.; Mezrigui, S.; Badwaik, L.S.; Bejar, A.K.; Perez, C.T.; Kechaou, N. Effect of ultrasound-assisted osmotic dehydration pretreatment on the convective drying of strawberry. Ultrason. Sonochem. 2017, 36, 286–300. [Google Scholar] [CrossRef] [PubMed]
- Rojas, M.L.; Augusto, P.E. Ethanol and ultrasound pre-treatments to improve infrared drying of potato slices. Innov. Food Sci. Emerg. Technol. 2018, 49, 65–75. [Google Scholar] [CrossRef]
- Esmaeili, A.M.; Nikbakht, A.; Motevali, A.; Mousavi, S.S. Investigation of black mulberry drying kinetics applying different pretreatments. J. Agr. Sci. Tech. 2013, 15, 23–34. [Google Scholar]
- Mierzwa, D.; Szadzińska, J.; Pawłowski, A.; Pashminehazar, R.; Kharaghani, A. Nonstationary convective drying of raspberries, assisted by microwaves and ultrasound. Dry. Technol. 2019, 37, 988–1001. [Google Scholar] [CrossRef]
- Dehghannya, J.; Gorbani, R.; Ghanbarzadeh, B. Effect of ultrasound-assisted osmotic dehydration pretreatment on drying kinetics and effective moisture diffusivity of Mirabelle plum. J. Food Process. Preserv. 2015, 39, 2710–2717. [Google Scholar] [CrossRef]
- Nowacka, M.; Wiktor, A.; Anuszewska, A.; Dadan, M.; Rybak, K.; Witrowa-Rajchert, D. The application of unconventional technologies as pulsed electric field, ultrasound and microwave-vacuum drying in the production of dried cranberry snacks. Ultrason. Sonochem. 2019, 56, 1–13. [Google Scholar] [CrossRef]
- Show, P.L.; Han, M.; Gao, X.; Han, Y.; Show, P.-L.; Liu, C.; Ye, X.; Xie, G. Applications of water blanching, surface contacting ultrasound-assisted air drying, and their combination for dehydration of white cabbage: Drying mechanism, bioactive profile, color and rehydration property. Ultrason. Sonochem. 2019, 53, 192–201. [Google Scholar] [CrossRef]
- Abbasi, S.A.; Sharifzadeh, F.; Tavakol, A.R.; Majnoun, H.N.; Gazor, H. Optimization of processing parameters of soybean seeds dried in a constant-bed dryer using response surface methodology. J. Agric. Sci. Technol. 2010, 12, 409–423. [Google Scholar]
- Kaveh, M.; Jahanbakhshi, A.; Abbaspour-Gilandeh, Y.; Taghinezhad, E.; Moghimi, M.B.F. The effect of ultrasound pre-treatment on quality, drying, and thermodynamic attributes of almond kernel under convective dryer using ANNs and ANFIS network. J. Food Process Eng. 2018, 41, e12868. [Google Scholar] [CrossRef]
- Dibagar, N.; Kowalski, S.J.; Chayjan, R.A.; Figiel, A. Accelerated convective drying of sunflower seeds by high-power ultrasound: Experimental assessment and optimization approach. Food Bioprod. Process. 2020, 123, 42–59. [Google Scholar] [CrossRef]
- Wang, G.; Deng, Y.; Xu, X.; He, X.; Zhao, Y.; Zou, Y.; Liu, Z.; Yue, J. Optimization of air jet impingement drying of okara using response surface methodology. Food Control 2016, 59, 743–749. [Google Scholar] [CrossRef]
- Noshad, M.; Mohebbi, M.; Shahidi, F.; Mortazavi, S.A. Multi-objective optimization of osmotic–ultrasonic pretreatments and hot-air drying of quince using response surface methodology. Food Bioprocess Technol. 2011, 5, 2098–2110. [Google Scholar] [CrossRef]
- Shi, Q.; Zheng, Y.; Zhao, Y. Optimization of combined heat pump and microwave drying of yacon (Smallanthus sonchifolius) using response surface methodology. J. Food Process. Preserv. 2014, 38, 2090–2098. [Google Scholar] [CrossRef]
- Homayounfar, H.; Amiri Chayjan, R.; Sarikhani, H.; Kalvandi, R. Optimization of different drying systems for lavender leaves applying response surface methodology. J. Agric. Sci. Technol. 2020, 22, 679–692. [Google Scholar]
- Dibagar, N.; Chayjan, R.A.; Kowalski, S.J.; Peyman, S.H. Deep bed rough rice air-drying assisted with airborne ultrasound set at 21 kHz frequency: A physicochemical investigation and optimization. Ultrason. Sonochem. 2019, 53, 25–43. [Google Scholar] [CrossRef]
- Ojediran, J.O.; Okonkwo, C.E.; Adeyi, A.J.; Adeyi, O.; Olaniran, A.F.; George, N.E.; Olayanju, T.M.A. Drying characteristics of yam slices (Dioscorea rotundata) in a convective hot air dryer: Application of ANFIS in the prediction of drying kinetics. Heliyon 2020, 6, e03555. [Google Scholar] [CrossRef]
- Maleki, M.; Shahidi, F.; Varidi, M.J.; Azarpazhooh, E. Hot air drying kinetics of novel functional carrot snack: Impregnated using polyphenolic rich osmotic solution with ultrasound pretreatment. J. Food Process Eng. 2019, 43, 13331. [Google Scholar] [CrossRef]
- Motevali, A.; Hedayati, F. Investigation of change drying rate constant coefficient in simulations models with various pretreatments on drying apple. J. Innov. Food Technol. 2017, 4, 39–51. [Google Scholar]
- Taghinezhad, E.; Kaveh, M.; Khalife, E.; Chen, G. Drying of organic blackberry in combined hot air-infrared dryer with ultrasound pretreatment. Dry. Technol. 2020, 2020, 1–17. [Google Scholar] [CrossRef]
- Abano, E.E. Microwave and blanching pretreatments for hot air drying of orange-fleshed sweet potato slices (Ipomoea batatas). Int. J. Food Sci. 2020, 2020, 1–12. [Google Scholar] [CrossRef] [PubMed]
- Motevali, A.; Minaei, S.; Banakar, A.; Ghobadian, B.; Khoshtaghaza, M.H. Comparison of energy parameters in various dryers. Energy Convers. Manag. 2014, 87, 711–725. [Google Scholar] [CrossRef]
- Abbaspour-Gilandeh, Y.; Kaveh, M.; Fatemi, H.; Hernández-Hernández, J.L.; Fuentes-Penna, A.; Hernández-Hernández, M. Evaluation of the changes in thermal, qualitative, and antioxidant properties of terebinth (Pistacia atlantica) fruit under different drying methods. Agronomy 2020, 10, 1378. [Google Scholar] [CrossRef]
- Motevali, A.; Hashemi, S.J.; Taghinejad, E. Investigation of energy parameters, environment and social costs for drying process (Case study: Apple slices). Agr. Mechan. Sys. Res. 2019, 20, 37–54. [Google Scholar]
- Song, Y.; Tao, Y.; Zhu, X.; Han, Y.; Show, P.L.; Song, C.; Zaid, H.F.M. Ultrasound-enhanced hot air drying of germinated highland barley seeds: Drying characteristics, microstructure, and bioactive profile. AgriEngineering 2019, 1, 496–510. [Google Scholar] [CrossRef]
- Dehghannya, J.; Bozorghi, S.; Heshmati, M.K. Low temperature hot air drying of potato cubes subjected to osmotic dehydration and intermittent microwave: Drying kinetics, energy consumption and product quality indexes. Heat Mass Transf. 2018, 54, 929–954. [Google Scholar] [CrossRef]
- Abbaspour-Gilandeh, Y.; Kaveh, M.; Aziz, M. Ultrasonic-microwave and infrared assisted convective drying of carrot: Drying kinetic, quality and energy consumption. Appl. Sci. 2020, 10, 6309. [Google Scholar] [CrossRef]
- Motevali, A.; Zabihnia, F. Effect of the different pre-treatments thermal, pulse, chemical and mechanical on the external mass transfer coefficient changes, moisture diffusion coefficient and activation energy. J. Res. Innov. Food Sci. Tech. 2017, 6, 227–290. [Google Scholar]
- Taghinezhad, E.; Kaveh, M. Modeling and Optimization of Specific Energy Consumption and Green House Gas Emissions During Drying of Organic Blackberry with Different Pretreatments by Response Surface Methodology. IR. J. Biosys. Eng. 2020, 51, 351–369. [Google Scholar]
- Barani, Y.H.; Zhang, M.; Wang, B. Effect of thermal and ultrasonic pretreatment on enzyme inactivation, color, phenolics and flavonoids contents of infrared freeze-dried rose flower. J. Food Meas. Charact. 2020, 1–10. [Google Scholar] [CrossRef]
- Gharehbeglou, P.; Askari, B.; Rad, A.H.; Hoseini, S.S.; Pour, H.T.; Rad, A.H.E. Investigating of drying kinetics and mathematical modeling of turnip. Agric. Eng. Int. CIGR J. 2014, 16, 194–204. [Google Scholar]
- Adedeji, A.A.; Gachovska, T.K.; Ngadi, M.; Raghavan, G.S.V. Effect of pretreatments on drying characteristics of okra. Dry. Technol. 2008, 26, 1251–1256. [Google Scholar] [CrossRef]
- Taghinezhad, E.; Kaveh, M.; Jahanbakhshi, A.; Golpour, I. Use of artificial intelligence for the estimation of effective moisture diffusivity, specific energy consumption, color and shrinkage in quince drying. J. Food Process Eng. 2020, 43, 13358. [Google Scholar] [CrossRef]
- Forouzanfar, A.; Hojjati, M.; Noshad, M.; Szumny, A. Influence of UV-B pretreatments on kinetics of convective hot air drying and physical parameters of mushrooms (Agaricus bisporus). Agriculture 2020, 10, 371. [Google Scholar] [CrossRef]
- Horuz, E.; Bozkurt, H.; Karataş, H.; Maskan, M. Comparison of quality, bioactive compounds, textural and sensorial properties of hybrid and convection-dried apricots. J. Food Meas. Charact. 2017, 12, 243–256. [Google Scholar] [CrossRef]
- Shi, Y.; Chen, G.; Chen, K.; Chen, X.; Hong, Q.; Kan, J. Assessment of fresh star anise (Illicium verum Hook.f.) drying methods for influencing drying characteristics, color, flavor, volatile oil and shikimic acid. Food Chem. 2021, 342, 128359. [Google Scholar] [CrossRef]
- Chayjan, R.A.; Kaveh, M.; Dibagar, N.; Nejad, M.Z. Optimization of pistachio nut drying in a fluidized bed dryer with microwave pretreatment applying response surface methodology. Chem. Prod. Process Model. 2017, 12. [Google Scholar] [CrossRef]







| Variables | Goal | Lower Limits | Upper Limits | Importance |
|---|---|---|---|---|
| Drying air temperature (°C) | In range | 50 | 70 | 5 |
| Sample thickness (mm) | In range | 2 | 6 | 5 |
| Drying time (min) | Minimum | 40 | 250 | 5 |
| Effective moisture diffusivity (m2/s) | Maximum | 1.01 × 10−9 | 8.11 × 10−9 | 5 |
| SEC (Mj/kg) | Minimum | 21.57596 | 168.98 | 5 |
| Energy efficiency (%) | Maximum | 0.89 | 15.23 | 5 |
| Drying efficiency (%) | Maximum | 2.11 | 21.2 | 5 |
| Color difference | Minimum | 11.12 | 50.59 | 5 |
| Shrinkage (%) | Minimum | 19.28 | 67.84 | 5 |
| Pretreatment | Equation | R2 | Adj R2 | Pred R2 | CV (%) |
|---|---|---|---|---|---|
| Control | 348.33 − 3.75 × A + 13.75 × B | 0.9830 | 0.9773 | 0.9567 | 3.43 |
| Microwave | 87.77 − 0.833 × A + 0.40 × B − 0.50 × A × B | 0.9821 | 0.9713 | 0.9358 | 6.78 |
| Ultrasonic | 270.55 − 2.91 × A + 6.66 × B | 0.9944 | 0.9925 | 0.9862 | 1.97 |
| Blanching | 999.44 − 25.5 × A − 12.91 × B + 0.18 × A2 + 2.70 × B2 | 0.9924 | 0.9847 | 0.9613 | 3.14 |
| Pretreatment | Equation | R2 | Adj R2 | Pred R2 | CV (%) |
|---|---|---|---|---|---|
| Control | −2.86 × 10−10 + 3.85 × 10−11×A + 1.26 × 10−10 × B | 0.9447 | 0.9263 | 0.8776 | 7.34 |
| Microwave | −4.03 × 10−9 + 1.82 × 10−10 × A −6.14 × 10−10 × B | 0.9496 | 0.9328 | 0.8674 | 11.40 |
| Ultrasonic | −7.51 × 10−10 + 6.38 × 10−11 × A −1.84 × 10−10 × B | 0.8594 | 0.8065 | 0.6041 | 12.99 |
| Blanching | −7.34 × 10−10 + 5.16 × 10−11 × A −1.08 × 10−10 × B | 0.8996 | 0.8661 | 0.7817 | 9.71 |
| Pretreatment | Equation | R2 | Adj R2 | Pred R2 | CV (%) |
|---|---|---|---|---|---|
| Control | 85.75 − 0.60 × A + 45.78 × B − 0.53 × A × B | 0.9909 | 0.9853 | 0.9830 | 4.05 |
| Microwave | 52.40 − 0.56 × A + 18.83 × B − 0.20 × A × B | 0.9954 | 0.9926 | 0.9777 | 3.25 |
| Ultrasonic | 132.39 − 1.63 × A + 9.32 × B | 0.9329 | 0.9106 | 0.8484 | 9.29 |
| Blanching | 44.38 − 0.06 × A + 33.97 × B − 0.46 × A × B | 0.9866 | 0.9786 | 0.9432 | 4.54 |
| Variable | Pretreatment | Equation | R2 | Adj. R2 | Pred. R2 | CV (%) |
|---|---|---|---|---|---|---|
| Control | −6.04 + 0.19 × A − 0.54 × B | 0.9706 | 0.9608 | 0.9271 | 11.39 | |
| Microwave | −7.97 + 0.37×A + 1.26B − 0.04 × A × B | 0.9951 | 0.9921 | 0.9721 | 2.73 | |
| Ultrasonic | 26.00 − 0.82 × A + 0.73B − 0.02 × A × B + 0.008 × A2 | 0.9893 | 0.9787 | 0.9276 | 3.58 | |
| Blanching | −1.75 + 0.15 × A − 0.58 × B | 0.9618 | 0.9491 | 0.8999 | 7.63 | |
| Control | 11.70 − 0.44 × A − 0.11 × B + 5.85 × A2 − 0.04 × B2 | 0.9991 | 0.9981 | 0.9952 | 1.94 | |
| Microwave | 82.80 − 2.49 × A − 1.42 × B + 0.02 × B2 | 0.9897 | 0.9834 | 0.9665 | 3.69 | |
| Ultrasonic | 2.11 + 0.15 × A − 0.70 × B | 0.9790 | 0.9720 | 0.9520 | 3.55 | |
| Blanching | −3.57 + 0.21 × A − 0.54 × B | 0.9314 | 0.9085 | 0.8067 | 9.24 |
| Pretreatment | Equation | R2 | Adj. R2 | Pred. R2 | CV (%) |
|---|---|---|---|---|---|
| Control | −14.24 + 0.90 × A + 2.75 × B | 0.9821 | 0.9761 | 0.9547 | 2.80 |
| Microwave | −12.17 + 0.59A + 2.63 × B | 0.9768 | 0.9691 | 0.9367 | 2.09 |
| Ultrasonic | −3.99 + 0.36×A + 0.07 × B + 0.04 × A × B | 0.9951 | 0.9922 | 0.9809 | 3.60 |
| Blanching | −8.41 + 0.53 × A + 3.76 × B | 0.9840 | 0.9787 | 0.9692 | 3.02 |
| Pretreatment | Equation | R2 | Adj. R2 | Pred. R2 | CV (%) |
|---|---|---|---|---|---|
| Control | +7.31 + 0.41 × A + 2.3 × 6B | 0.9861 | 0.9815 | 0.9706 | 1.79 |
| Microwave | −33.93 + 0.79 × A + 9.08 × B − 0.08 × A × B | 0.9880 | 0.9808 | 0.9580 | 3.72 |
| Ultrasonic | −21.38 + 0.51×A + 3.09 × B | 0.9871 | 0.9829 | 0.9686 | 4.21 |
| Blanching | −10.61 + 0.49 × A + 3.15 × B | 0.9720 | 0.9627 | 0.9269 | 4.31 |
| Pretreatment | Air Temperature (°C) | Thickness (mm) | Time (min) | Deff (m2/s) | SEC (MJ/kg) | (%) | (%) | Shrinkage (%) | Color Difference | Desirability |
|---|---|---|---|---|---|---|---|---|---|---|
| Control | 70 | 2 | 113.33 | 2.15 × 10−9 | 59.31 | 6.40 | 9.13 | 54.87 | 40.83 | 0.896 |
| Microwave | 70 | 2 | 39.44 | 7.49 × 10−9 | 21.59 | 15.12 | 21.06 | 34.62 | 27.40 | 0.893 |
| Ultrasonic | 70 | 2 | 79.72 | 3.34 × 10−9 | 36.59 | 9.67 | 11.64 | 28.43 | 20.75 | 0.892 |
| Blanching | 70 | 2 | 97.77 | 2.66 × 10−9 | 53.30 | 7.66 | 10.20 | 36.87 | 30.07 | 0.911 |
| Pretreatment | Time (min) | Deff (m2/s) | SEC (Mj/kg) | (%) | (%) | Shrinkage (%) | Color | |||||||
|---|---|---|---|---|---|---|---|---|---|---|---|---|---|---|
| R2 | MSE | R2 | MSE | R2 | MSE | R2 | MSE | R2 | MSE | R2 | MSE | R2 | MSE | |
| Control | 0.9975 | 0.0012 | 0.9690 | 0.0059 | 0.9995 | 0.0002 | 0.9859 | 0.0012 | 0.9994 | 0.0002 | 0.9968 | 0.0009 | 0.9979 | 0.0008 |
| Microwave | 0.9965 | 0.0019 | 0.9890 | 0.0022 | 0.9990 | 0.0004 | 0.9993 | 0.0004 | 0.9989 | 0.0004 | 0.9869 | 0.0020 | 0.9990 | 0.0004 |
| Ultrasonic | 0.9990 | 0.0004 | 0.9797 | 0.0048 | 0.9805 | 0.0017 | 0.9896 | 0.00011 | 0.9939 | 0.0010 | 0.9996 | 0.0002 | 0.9990 | 0.0004 |
| Blanching | 0.9980 | 0.0008 | 0.9708 | 0.0054 | 0.9989 | 0.0004 | 0.9979 | 0.0008 | 0.9928 | 0.0011 | 0.9979 | 0.0008 | 0.9988 | 0.0004 |
Publisher’s Note: MDPI stays neutral with regard to jurisdictional claims in published maps and institutional affiliations. |
© 2021 by the authors. Licensee MDPI, Basel, Switzerland. This article is an open access article distributed under the terms and conditions of the Creative Commons Attribution (CC BY) license (http://creativecommons.org/licenses/by/4.0/).
Share and Cite
Taghinezhad, E.; Kaveh, M.; Szumny, A. Optimization and Prediction of the Drying and Quality of Turnip Slices by Convective-Infrared Dryer under Various Pretreatments by RSM and ANFIS Methods. Foods 2021, 10, 284. https://doi.org/10.3390/foods10020284
Taghinezhad E, Kaveh M, Szumny A. Optimization and Prediction of the Drying and Quality of Turnip Slices by Convective-Infrared Dryer under Various Pretreatments by RSM and ANFIS Methods. Foods. 2021; 10(2):284. https://doi.org/10.3390/foods10020284
Chicago/Turabian StyleTaghinezhad, Ebrahim, Mohammad Kaveh, and Antoni Szumny. 2021. "Optimization and Prediction of the Drying and Quality of Turnip Slices by Convective-Infrared Dryer under Various Pretreatments by RSM and ANFIS Methods" Foods 10, no. 2: 284. https://doi.org/10.3390/foods10020284
APA StyleTaghinezhad, E., Kaveh, M., & Szumny, A. (2021). Optimization and Prediction of the Drying and Quality of Turnip Slices by Convective-Infrared Dryer under Various Pretreatments by RSM and ANFIS Methods. Foods, 10(2), 284. https://doi.org/10.3390/foods10020284
