New Virtual Reality Educational Tool for Evaluating Dental Mirror Technique Skills: A Pilot Study
Abstract
1. Introduction
2. Materials and Methods
2.1. Overview of Dental Mirror Virtual Reality System
2.1.1. Function
2.1.2. Construction
2.1.3. Configuration
2.2. Participants
2.3. Experimental Procedure
2.4. Questionnaire
2.5. Data Analysis
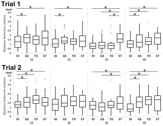
2.5.1. Distance Between the Center of the DM and BC Mirror Image
2.5.2. Relative Ratio of BC Mirror Image on the DM Surface
2.5.3. Ellipticity of BC Mirror Image on the DM
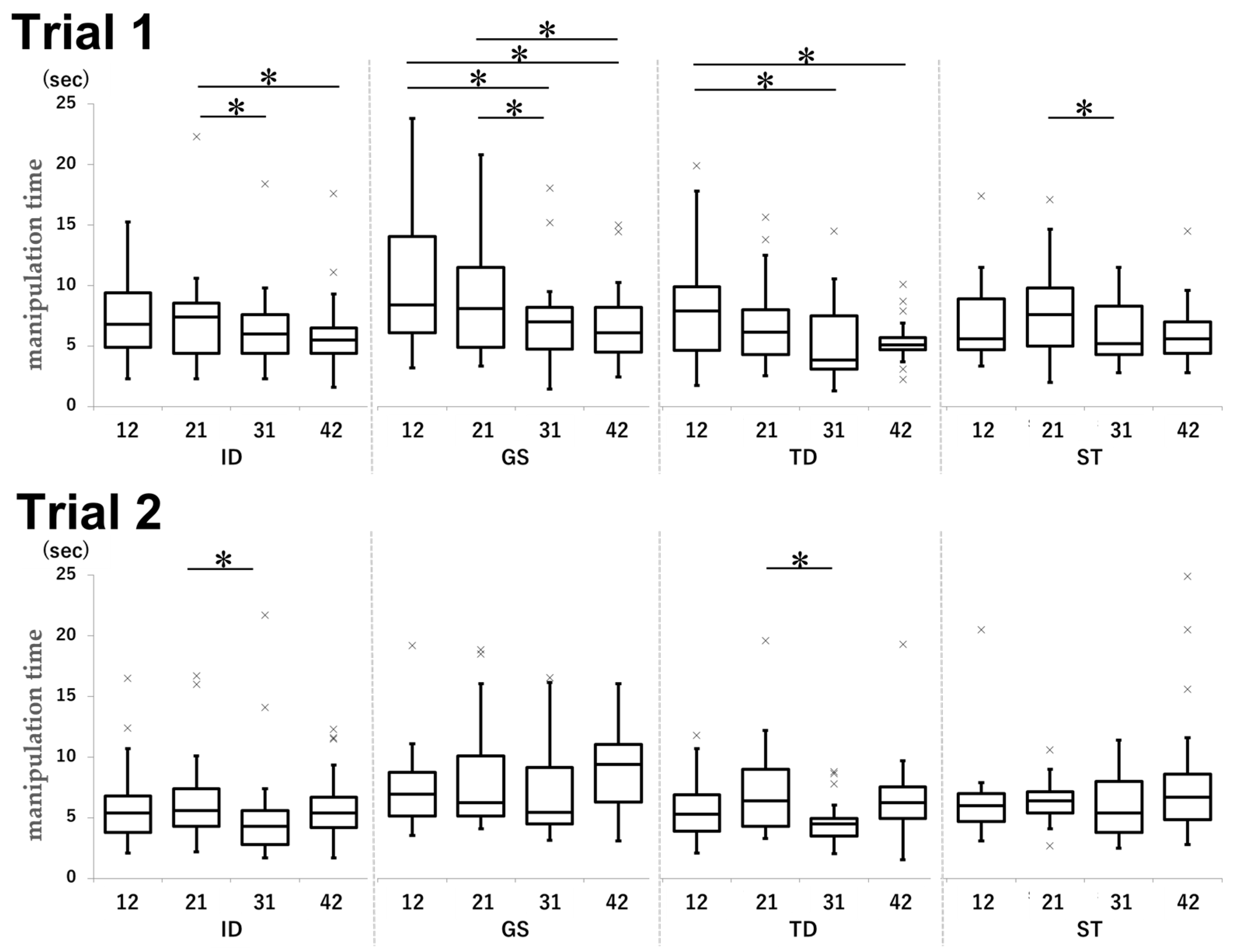
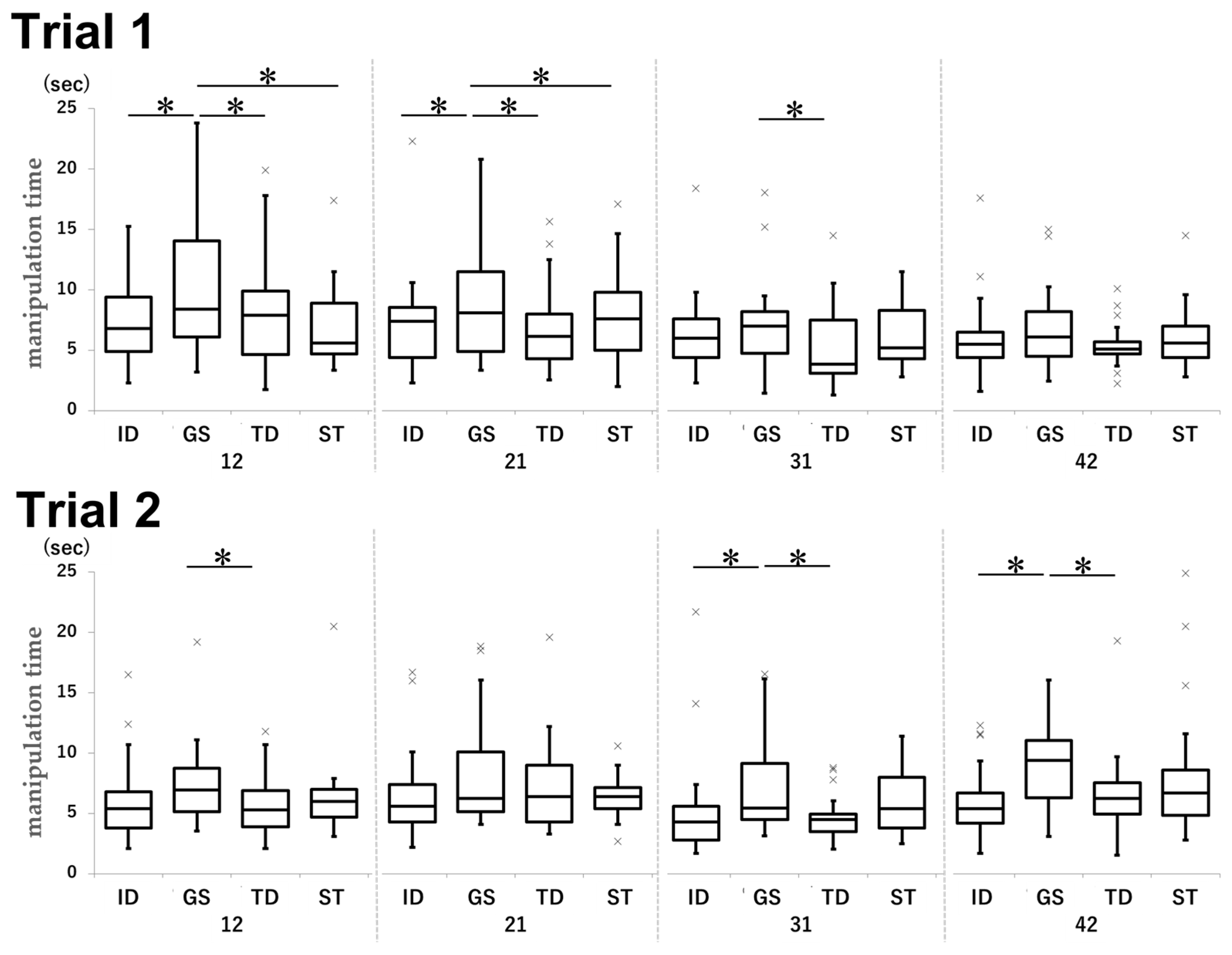
2.5.4. Manipulation Time
2.6. Analysis
3. Results
3.1. Participant Characteristics and Questionnaire Survey
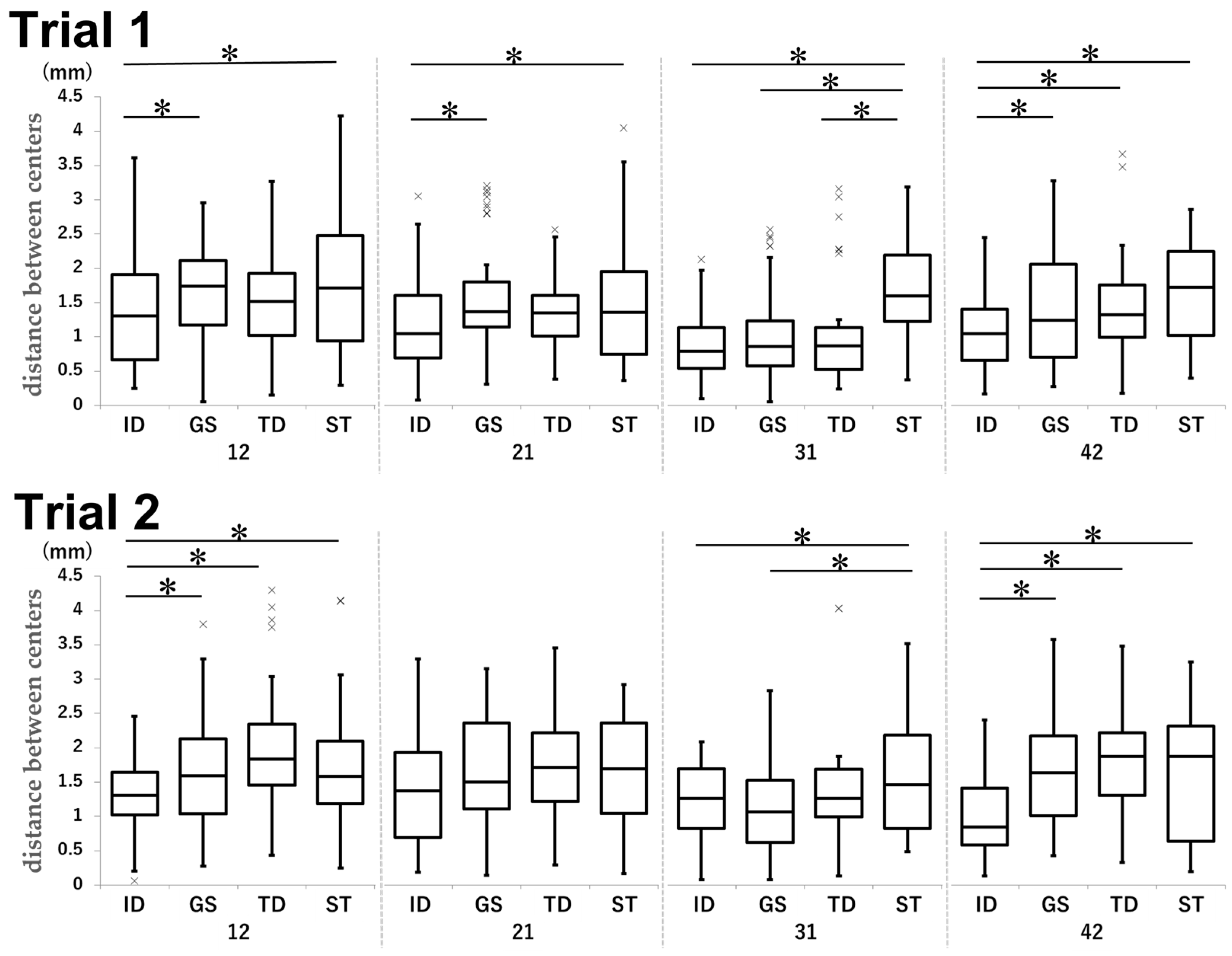
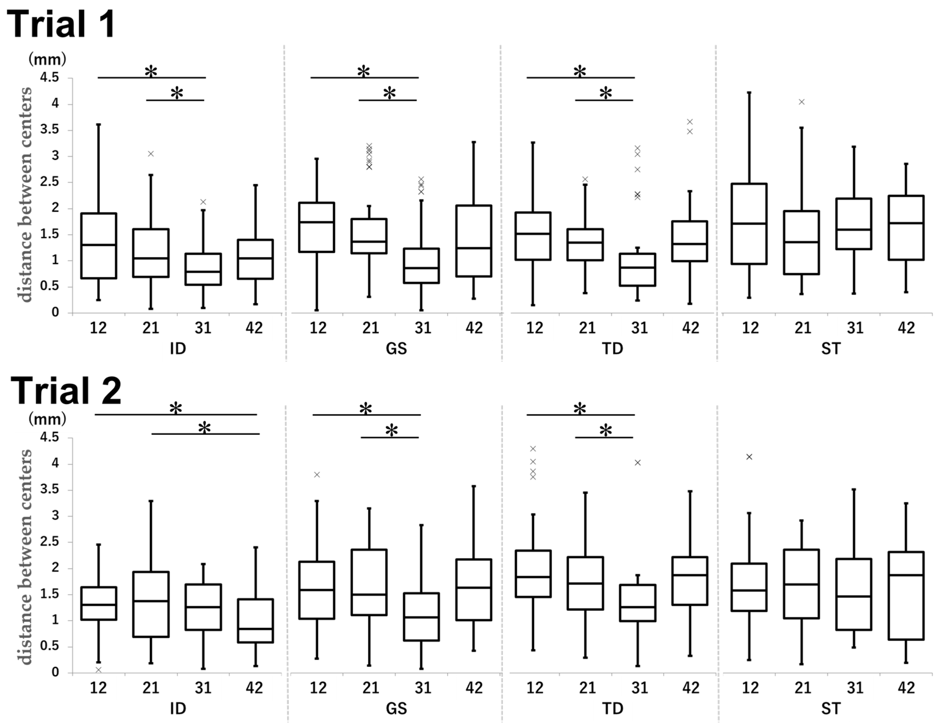
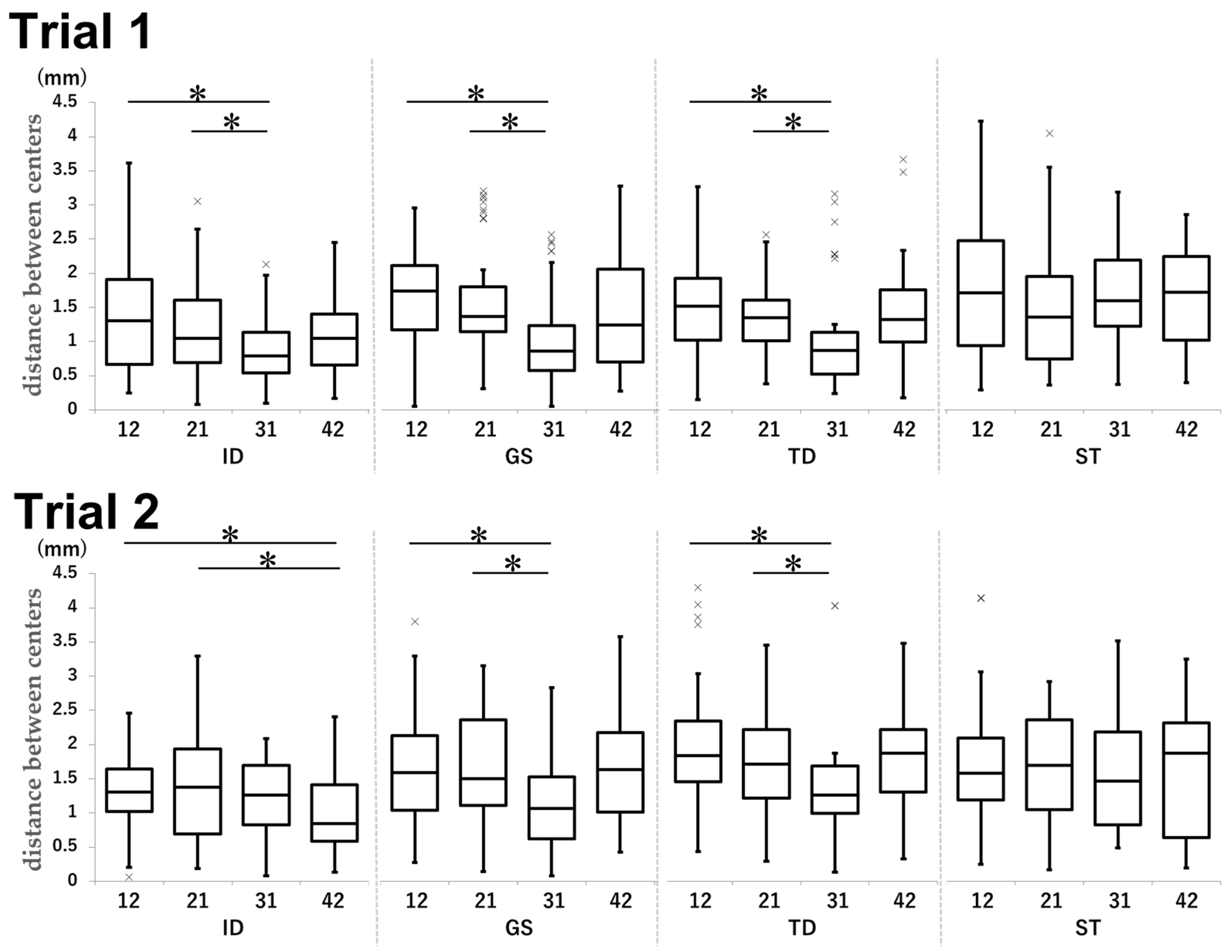
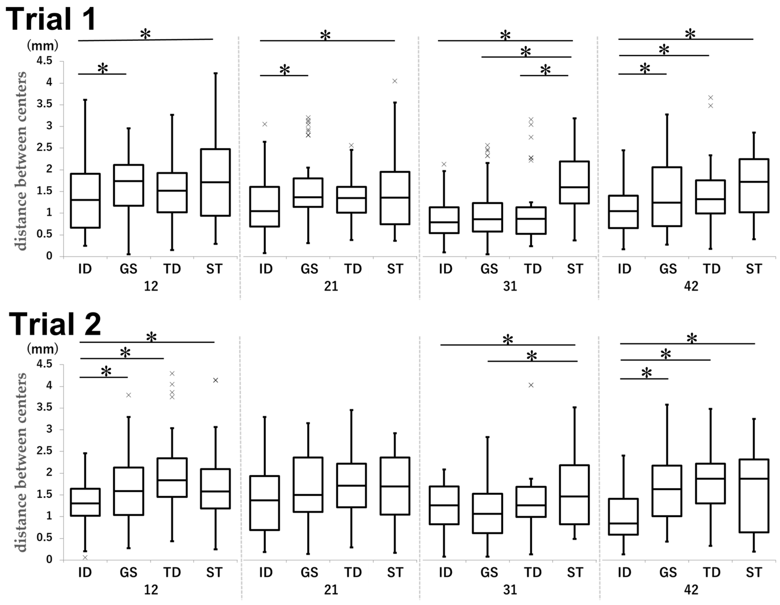
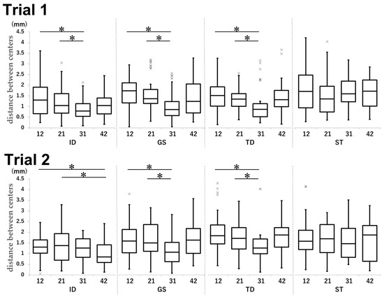
3.2. Distance Between Centers
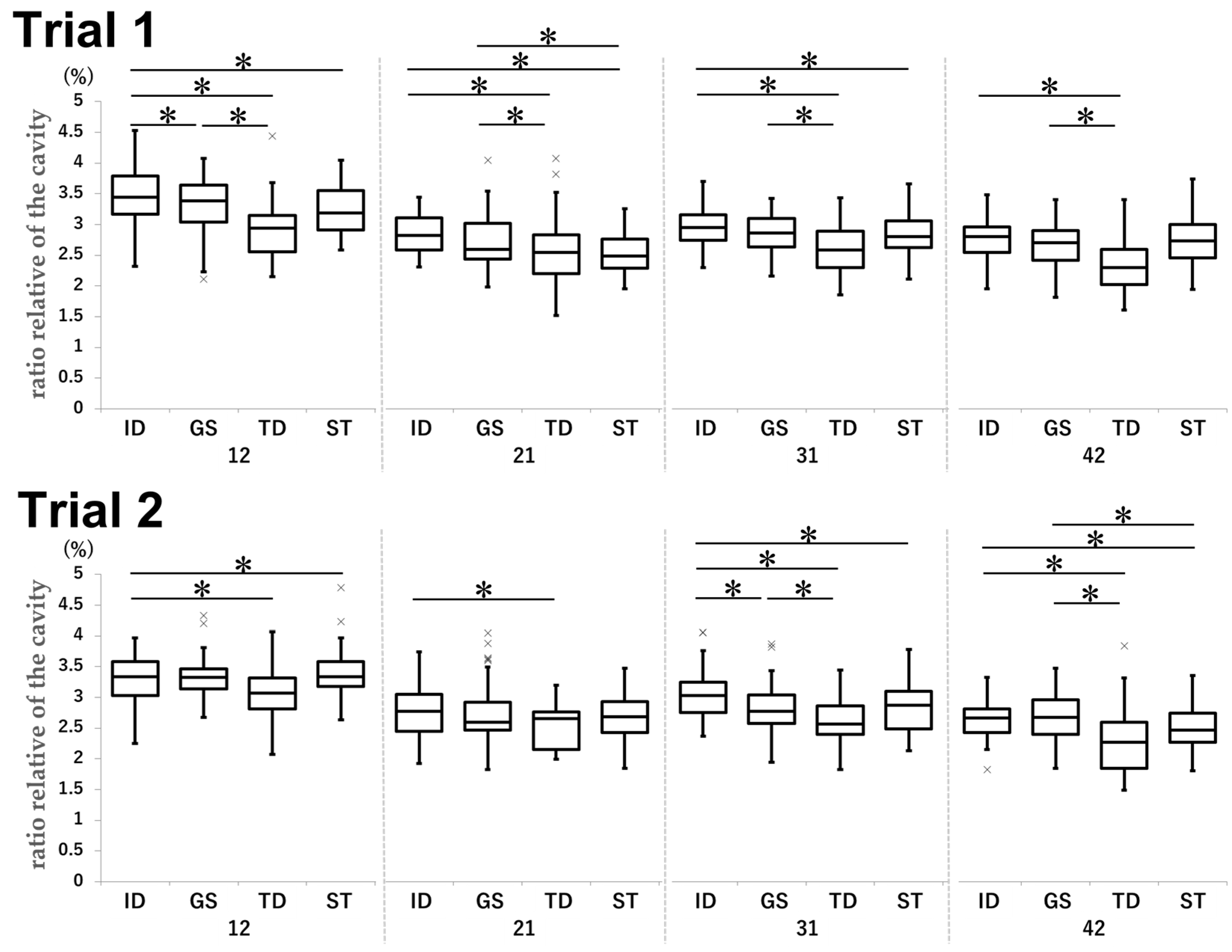
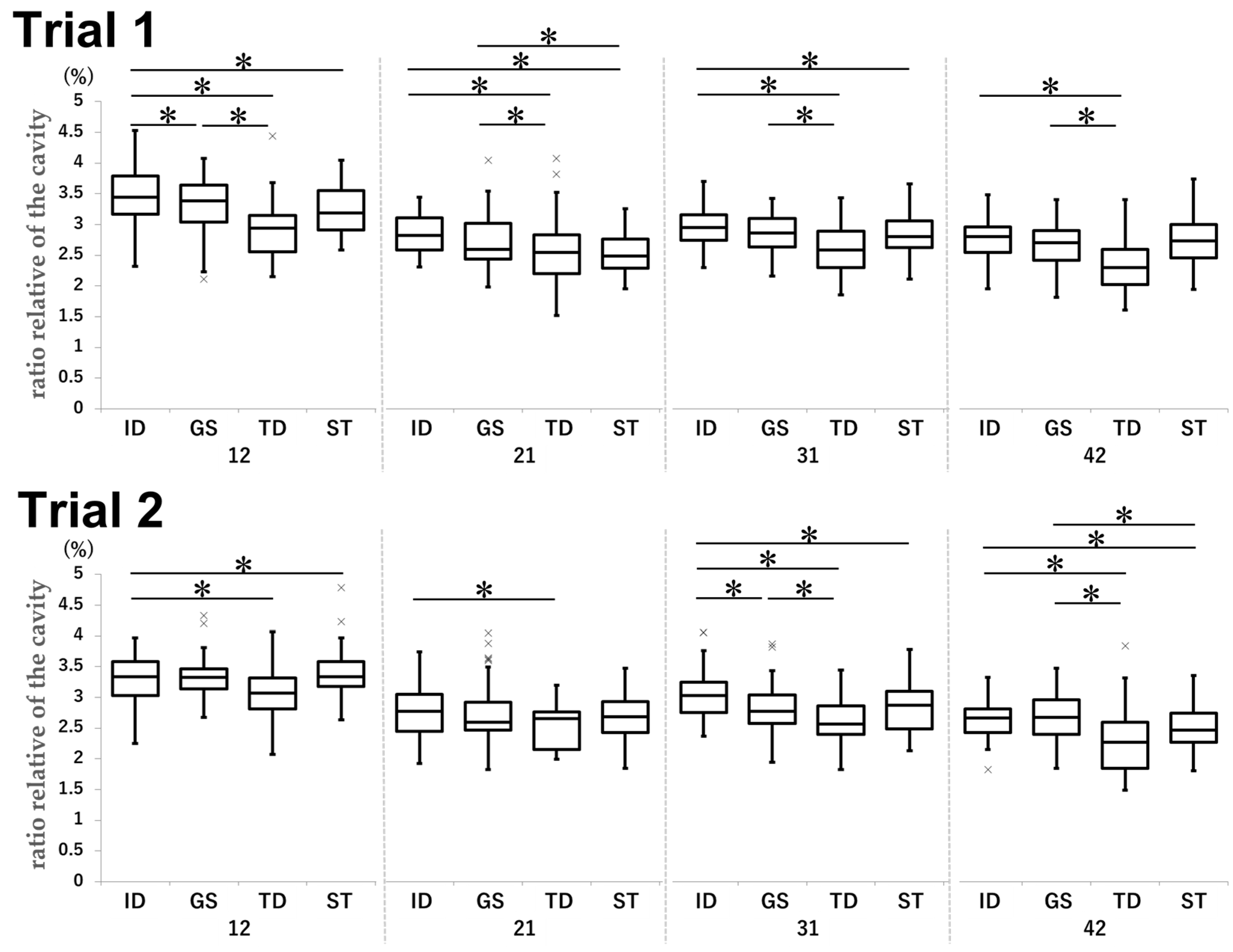
3.3. Relative Ratio of BC
3.4. Ellipticity of BC
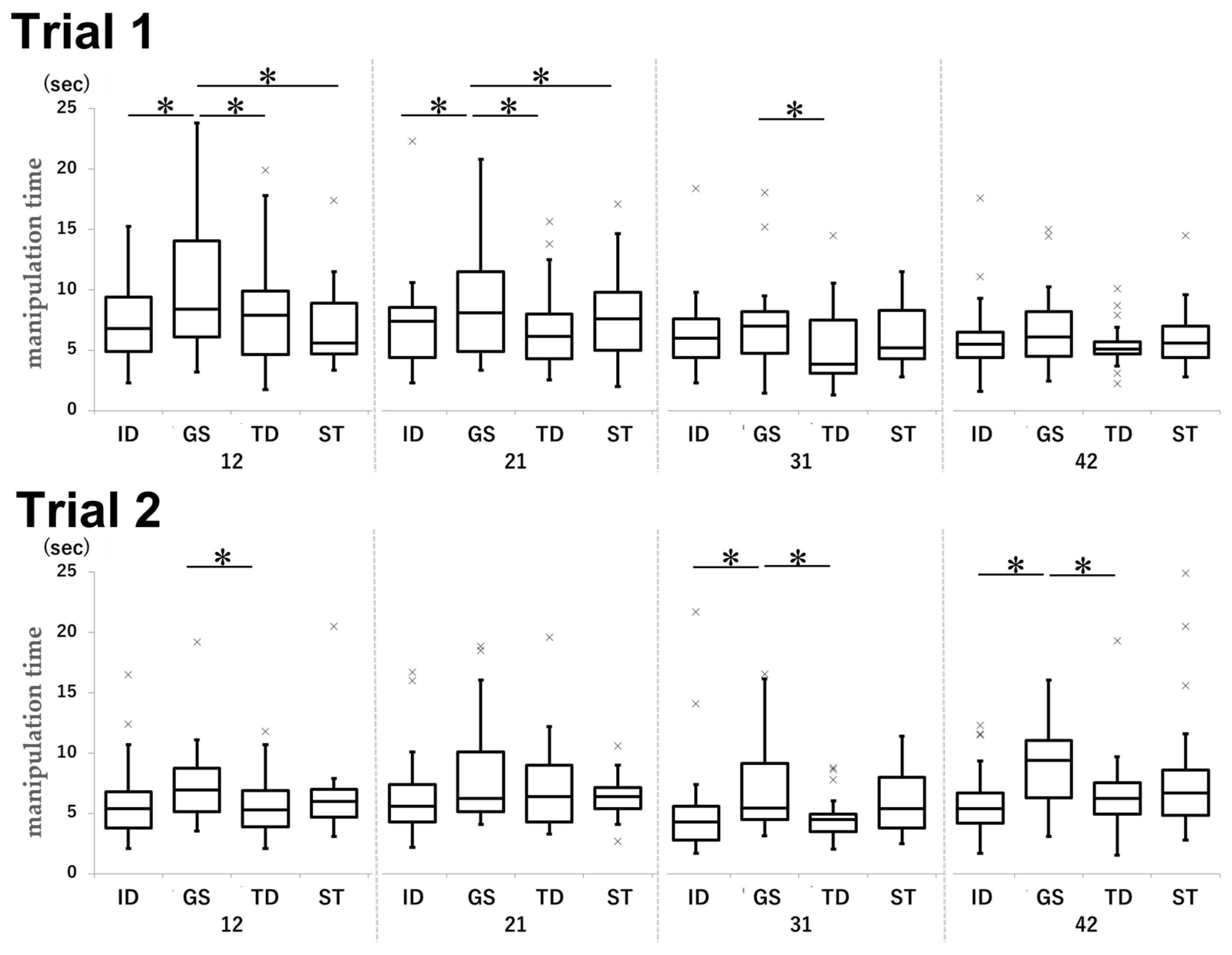
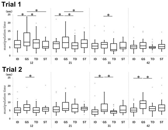
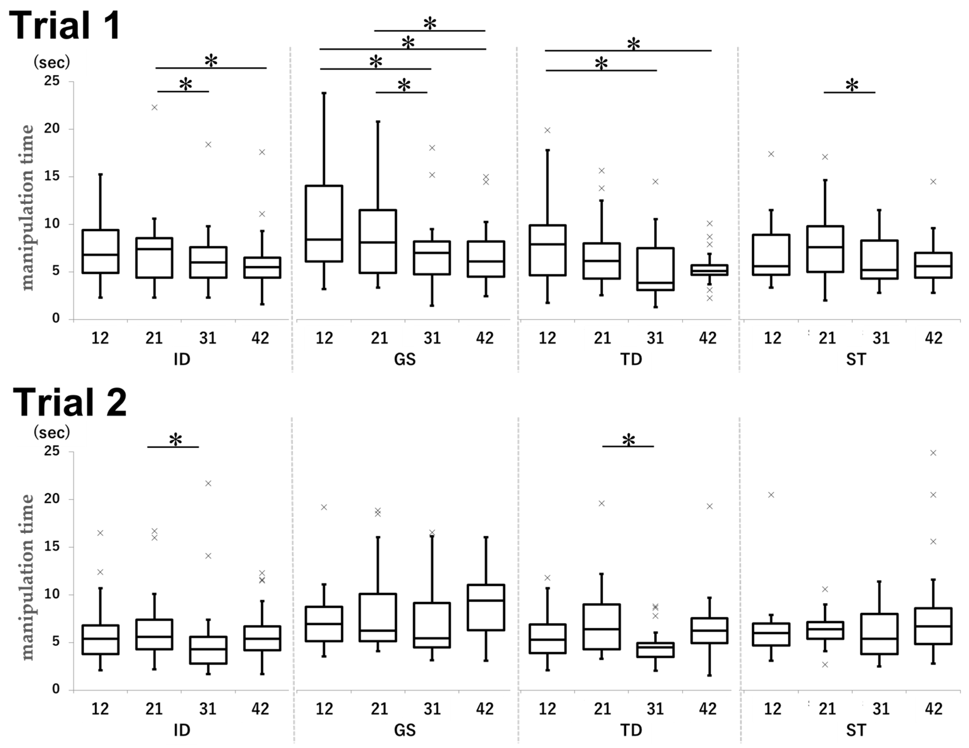
3.5. Manipulation Time
3.6. Questionnaire
4. Discussion
4.1. Distance Between Centers
4.2. Relative Ratio of BC
4.3. Ellipticity of BC
4.4. Manipulation Time
4.5. Questionnaire
4.6. Participants
4.7. Dental Mirror VR System and Learning Effects
4.8. Future Outlook
4.9. Limitations
5. Conclusions
Supplementary Materials
Author Contributions
Funding
Institutional Review Board Statement
Informed Consent Statement
Data Availability Statement
Conflicts of Interest
Abbreviations
| VR | Virtual reality |
| MT | Mirror technique |
| HMD | Head-mounted display |
| DM | Virtual dental mirror |
| TH | Air turbine handpiece |
| BC | Black caries lesion |
| ID | Instructor dentists |
| GS | Graduate student |
| TD | Trainee dentist |
| ST | Student |
Appendix A
| ID | GS | TD | ST | ||
|---|---|---|---|---|---|
| Tooth | Median (IQR) | Median (IQR) | Median (IQR) | Median (IQR) | |
| Trial 1 | 12 | 1.30 (0.67–1.91) | 1.74 (1.17–2.12) | 1.52(1.02–1.93) | 1.72 (0.94–2.48) |
| 21 | 1.05 (0.69–1.61) | 1.36 (1.15–1.81) | 1.35 (1.01–1.61) | 1.36 (0.75–1.96) | |
| 31 | 0.79 (0.55–1.14) | 0.86 (0.57–1.24) | 0.87 (0.52–1.14) | 1.59 (1.23–2.19) | |
| 42 | 1.04 (0.66–1.40) | 1.24 (0.71–2.06) | 1.32 (1.00–1.76) | 1.72 (1.02–2.25) | |
| Trial 2 | 12 | 1.31 (1.02–1.64) | 1.59 (1.04–2.13) | 1.84 (1.46–2.34) | 1.58 (1.19–2.10) |
| 21 | 1.38 (0.69–1.93) | 1.50 (1.11–2.36) | 1.71 (1.22–2.22) | 1.69 (1.04–2.36) | |
| 31 | 1.26 (0.83–1.69) | 1.06 (0.62–1.53) | 1.26 (1.00–1.69) | 1.47 (0.83–2.18) | |
| 42 | 0.84 (0.59–1.41) | 1.63 (1.01–2.17) | 1.88 (1.31–2.22) | 1.88 (0.64–2.32) |
Appendix B
| ID | GS | TD | ST | ||
|---|---|---|---|---|---|
| Tooth | Median (IQR) | Median (IQR) | Median (IQR) | Median (IQR) | |
| Trial 1 | 12 | 3.44 (3.16–3.78) | 3.38 (3.04–3.64) | 2.94 (2.56–3.14) | 3.19 (2.91–3.56) |
| 21 | 2.83 (2.59–3.11) | 2.60 (2.43–3.02) | 2.55 (2.20–2.83) | 2.48 (2.29–2.77) | |
| 31 | 2.95 (2.74–3.16) | 2.86 (2.63–3.10) | 2.58 (2.30–2.89) | 2.80 (2.63–3.06) | |
| 42 | 2.81 (2.55–2.96) | 2.71 (2.42–2.90) | 2.30 (2.02–2.59) | 2.73 (2.46–3.00) | |
| Trial 2 | 12 | 3.33 (3.03–3.58) | 3.32 (3.14–3.46) | 3.06 (2.81–3.32) | 3.34 (3.17–3.58) |
| 21 | 2.77 (2.45–3.05) | 2.60 (2.47–2.92) | 2.65 (2.15–2.76) | 2.68 (2.43–2.93) | |
| 31 | 3.03 (2.75–3.25) | 2.78 (2.57–3.04) | 2.57 (2.40–2.86) | 2.87 (2.48–3.10) | |
| 42 | 2.66 (2.43–2.81) | 2.67 (2.39–2.96) | 2.27 (1.84–2.60) | 2.47 (2.27–2.74) |
Appendix C
| ID | GS | TD | ST | ||
|---|---|---|---|---|---|
| Tooth | Median (IQR) | Median (IQR) | Median (IQR) | Median (IQR) | |
| Trial 1 | 12 | 0.89 (0.82–0.95) | 0.88 (0.84–0.94) | 0.86 (0.81–0.91) | 0.87 (0.84–0.93) |
| 21 | 0.86 (0.81–0.90) | 0.85 (0.80–0.87) | 0.82 (0.81–0.86) | 0.85 (0.79–0.89) | |
| 31 | 0.91 (0.87–0.94) | 0.92 (0.84–0.95) | 0.92 (0.84–0.95) | 0.88 (0.81–0.96) | |
| 42 | 0.89 (0.84–0.95) | 0.88 (0.81–0.95) | 0.85 (0.80–0.89) | 0.87 (0.83–0.94) | |
| Trial 2 | 12 | 0.89 (0.84–0.95) | 0.88 (0.83–0.94) | 0.87 (0.82–0.90) | 0.89 (0.84–0.94) |
| 21 | 0.84 (0.78–0.90) | 0.80 (0.78–0.84) | 0.79 (0.72–0.87) | 0.83 (0.78–0.88) | |
| 31 | 0.93 (0.88–0.96) | 0.91 (0.87–0.95) | 0.91 (0.85–0.95) | 0.94 (0.88–0.97) | |
| 42 | 0.90 (0.87–0.96) | 0.92 (0.87–0.95) | 0.89 (0.85–0.93) | 0.90 (0.83–0.93) |
Appendix D
| a | |||||
| ID | GS | TD | ST | ||
| tooth | Median (IQR) | Median (IQR) | Median (IQR) | Median (IQR) | |
| Trial1 | 12 | 6.8 (4.9–9.4) | 8.4 (6.1–14.1) | 7.9 (4.6–9.9) | 5.6 (4.7–8.9) |
| 21 | 7.4 (4.4–8.5) | 8.1 (4.9–11.5) | 6.2 (4.3–8.0) | 7.6 (5.0–9.8) | |
| 31 | 6.0 (4.4–7.6) | 7.0 (4.7–8.2) | 3.8 (3.1–7.5) | 5.2 (4.3–8.3) | |
| 42 | 5.5 (4.4–6.5) | 6.1 (4.5–8.2) | 5.1 (4.7–5.7) | 5.6 (4.4–7.0) | |
| Trial2 | 12 | 5.4 (3.8–6.8) | 7.0 (5.2–8.7) | 5.3 (3.9–6.9) | 6.0 (4.7–7.0) |
| 21 | 5.6 (4.3–7.4) | 6.2 (5.1–10.1) | 6.4 (4.3–9.0) | 6.4 (5.4–7.2) | |
| 31 | 4.3 (2.8–5.6) | 5.4 (4.5–9.1) | 4.5 (3.5–5.0) | 5.4 (3.8–8.0) | |
| 42 | 5.4 (4.2–6.7) | 9.4 (6.3–11.1) | 6.2 (4.9–7.5) | 6.7 (4.8–8.6) | |
| b | |||||
| ID | GS | TD | ST | ||
| Task | Median (IQR) | Median (IQR) | Median (IQR) | Median (IQR) | |
| Trial1 | ① | 8.1 (5.6–9.8) | 7.6 (5.7–15.4) | 8.7 (5.6–10.4) | 8.3 (6.2–13.9) |
| ② | 6.2 (4.8–7.8) | 6.9 (5.5–8.3) | 5.7 (4.5–7.8) | 6.5 (4.8–9.0) | |
| ③ | 6.0 (4.3–7.5) | 6.7 (5.1–9.6) | 4.7 (3.5–5.8) | 5.4 (4.3–6.8) | |
| ④ | 5.0 (3.7–6.8) | 7.2 (4.5–10.0) | 4.1 (3.1–6.9) | 4.8 (3.8–7.0) | |
| Trial2 | ① | 5.5 (4.3–6.6) | 6.6 (4.9–9.2) | 4.9 (4.3–6.2) | 6.6 (5.4–8.0) |
| ② | 5.4 (3.5–7.4) | 6.3 (5.3–9.9) | 5.8 (4.2–7.1) | 6.5 (4.8–7.2) | |
| ③ | 5.3 (4.0–6.3) | 6.4 (4.5–11.3) | 5.6 (4.5–8.6) | 5.6 (4.6–8.3) | |
| ④ | 4.5 (3.3–6.0) | 7.0 (5.6–10.1) | 5.9 (3.5–7.9) | 5.4 (4.9–6.9) | |
References
- Huang, T.K.; Yang, C.H.; Hsieh, Y.H.; Wang, J.C.; Hung, C.C. Augmented reality (AR) and virtual reality (VR) applied in dentistry. Kaohsiung J. Med. Sci. 2018, 34, 243–248. [Google Scholar] [CrossRef]
- Plessas, A. Computerized virtual reality simulation in preclinical dentistry: Can a computerized simulator replace the conventional phantom heads and human instruction? Simul. Healthc. 2017, 12, 332–338. [Google Scholar] [CrossRef]
- De Boer, I.R.; Wesselink, P.R.; Vervoorn, J.M. Student performance and appreciation using 3D vs. 2D vision in a virtual learning environment. Eur. J. Dent. Educ. 2016, 20, 142–147. [Google Scholar] [CrossRef] [PubMed]
- Murbay, S.; Chang, J.W.W.; Yeung, S.; Neelakantan, P. Evaluation of the introduction of a dental virtual simulator on the performance of undergraduate dental students in the pre-clinical operative dentistry course. Eur. J. Dent. Educ. 2020, 24, 5–16. [Google Scholar] [CrossRef] [PubMed]
- Caleya, A.M.; Martín-Vacas, A.; Mourelle-Martínez, M.R.; de Nova-Garcia, M.J.; Gallardo-López, N.E. Implementation of virtual reality in preclinical pediatric dentistry learning: A comparison between Simodont and conventional methods. Dent. J. 2025, 13, 51. [Google Scholar] [CrossRef] [PubMed]
- Dutã, M.; Amariei, C.I.; Bogdan, C.M.; Popovici, D.M.; Ionescu, N.; Nuca, C.I. An overview of virtual and augmented reality in dental education. Oral Health Dent. Manag. 2011, 10, 42–49. Available online: https://www.walshmedicalmedia.com/open-access/an-overview-of-virtual-and-augmented-reality-in-dental-education-2247-2452-10-435.pdf (accessed on 27 November 2025).
- Bandiaky, O.N.; Loison, V.; Lopez, S.; Pirolli, F.; Volteau, C.; Hamon, L.; Soueidan, A.; Le Guehennec, L. Predicting novice dental students’ performances in conventional simulation: A prospective pilot study using haptic exercises. J. Dent. Sci. 2025, 20, 943–952. [Google Scholar] [CrossRef]
- Manav, E.Y.; Akbiyik, S.Y.; Ceylan, A.B.; Çakiroğlu, A.E.Y.; Tuncer, D. Effects of virtual reality and layered tooth model training on manual dexterity in preclinical dental education. BMC Med. Educ. 2025, 25, 1020. [Google Scholar] [CrossRef]
- Tse, B.; Harwin, W.; Barrow, A.; Quinn, B.; San Diego, J.; Cox, M. Design and development of a haptic dental training system—hapTEL. In Haptics: Generating and Perceiving Tangible Sensations; Kappers, A.M.L., van Erp, J.B.F., Bergmann Tiest, W.M., van der Helm, F.C.T., Eds.; Springer: Berlin/Heidelberg, Germany, 2010; pp. 101–108. [Google Scholar] [CrossRef]
- Liebermann, A.; Erdelt, K. Virtual education: Dental morphologies in a virtual teaching environment. J. Dent. Educ. 2020, 84, 1143–1150. [Google Scholar] [CrossRef]
- Shetty, S.; Errichetti, A.; Narasimhan, S.; Al-Daghestani, H.; Shetty, G. The use of virtual reality and haptics in the training of students in restorative dentistry procedures: A systematic review. Korean J. Med. Educ. 2025, 37, 203–217. [Google Scholar] [CrossRef]
- Hamama, H.; Harrison, K.Y.; Murbay, S. Benefits of using virtual reality in cariology teaching. BMC Med. Educ. 2024, 24, 1051. [Google Scholar] [CrossRef]
- Bandiaky, O.N.; Loison, V.; Volteau, C.; Crétin-Pirolli, R.; George, S.; Soueidan, A.; Le Guehennec, L. Benefits of using immersive virtual reality in haptic dental simulation for endodontic access cavity training: A comparative crossover study. Int. Endod. J. 2025, 1–12. [Google Scholar] [CrossRef]
- Pasqualini, D.; Carpegna, G.; Alovisi, M.; Berutti, E.; Chogle, S. Virtual reality and haptic simulation in modern microsurgical endodontics: Case report and proof of concept. Int. Endod. J. 2025, 1–11. [Google Scholar] [CrossRef] [PubMed]
- Sukotjo, C.; Schreiber, S.; Li, J.; Zhang, M.; Chia-Chun Yuan, J.; Santoso, M. Development and student perception of virtual reality for implant surgery. Educ. Sci. 2021, 11, 176. [Google Scholar] [CrossRef]
- Huang, Y.; Hu, Y.; Chan, U.; Lai, P.; Sun, Y.; Dai, J.; Cheng, X.; Yang, X. Student perceptions toward virtual reality training in dental implant education. PeerJ 2023, 11, e14857. [Google Scholar] [CrossRef] [PubMed]
- Liu, H.; Zhu, Z.; Huang, L.; Liu, L.; Liu, Y.; Liu, X.; Wu, C.; Luo, E. Virtual reality in preclinical orthognathic surgery education for dental students. Eur. J. Dent. Educ. 2025, 1–9. [Google Scholar] [CrossRef]
- Koyachi, M.; Sugahara, K.; Nakajima, S.; Ito, S.; Odaka, K.; Matsunaga, S.; Watanabe, A.; Katakura, A. Oral and maxillofacial surgery education for undergraduate students using 360-degree videos in virtual reality system. J. Dent. Educ. 2025, 54, e13944. [Google Scholar] [CrossRef]
- Pulijala, Y.; Ma, M.; Pears, M.; Peebles, D.; Ayoub, A. An innovative virtual reality training tool for orthognathic surgery. Int. J. Oral Maxillofac. Surg. 2018, 47, 1199–1205. [Google Scholar] [CrossRef]
- Corrêa, C.G.; Machado, M.A.A.M.; Ranzini, E.; Tori, R.; Nunes, F.L.S. Virtual Reality simulator for dental anesthesia training in the inferior alveolar nerve block. J. Appl. Oral Sci. 2017, 25, 357–366. [Google Scholar] [CrossRef]
- Rogers, L. Developing simulations in multi-user virtual environments to enhance healthcare education. Br. J. Educ. Technol. 2011, 42, 608–615. [Google Scholar] [CrossRef]
- Sato, T.; Nagasawa, R.; Nakamura, F.; Hasegawa, M.; Nomura, M.; Fujii, N. The consideration of factors influencing cutting skills using the mirror technique—Report 1: The Comparison of the Mesial or Distal Dental Mirror Position at Cutting Palatal Side of The Upper Right Central Incisor for Trainee Dentists. JDEA 2024, 40, 100–109. [Google Scholar] [CrossRef]
- Nagasawa, R.; Sato, T.; Nakamura, F.; Hasegawa, M.; Nomura, M.; Fujii, N. The consideration of factors influencing cutting skills using the mirror technique—Report 2: The Comparison of Finger Rest Site and Hand Length at Cutting Palatal Side of The Upper Right Central Incisor for Trainee Dentists. JDEA 2024, 40, 110–118. [Google Scholar] [CrossRef]
- Rau, G.M.; Rau, A.K. Training device for dental students to practice mirror-inverted movements. J. Dent. Educ. 2011, 75, 1280–1284. [Google Scholar] [CrossRef] [PubMed]
- Chu, F.; Zheng, J.; Wang, Q.; Lu, X.; Chen, Y.; Zhong, Y.; Li, Y.; Shi, J.; Jiang, Y.; Zhang, W.; et al. Mirror training device improves dental students’ performance on virtual simulation dental training system. BMC Med. Educ. 2023, 23, 315. [Google Scholar] [CrossRef] [PubMed]
- McClure, A.R.; Roomian, T.C.; Eisen, S.E.; Kugel, G.; Amato, R.B. Jumpstart mirror trainer: A new device for teaching mirror skills to first-year dental students. J. Dent. Educ. 2019, 83, 1199–1204. [Google Scholar] [CrossRef] [PubMed]
- Yamazaki, A.; Ito, T.; Sugimoto, M.; Yoshida, S.; Honda, K.; Kawashima, Y.; Fujikawa, T.; Fujii, Y.; Tsutsumi, T. Patient-specific virtual and mixed reality for immersive, experiential anatomy education and for surgical planning in temporal bone surgery. Auris Nasus Larynx 2021, 48, 1081–1091. [Google Scholar] [CrossRef]
- Zhao, J.; Wang, Y.; Hou, D.; Sun, S.; Négyesi, J.; Inada, H.; Shioiri, S.; Nagatomi, R. Commonality of neuronal coherence for motor skill acquisition and interlimb transfer. Sci. Rep. 2025, 15, 26276. [Google Scholar] [CrossRef]
- Bruno, R.R.; Wolff, G.; Wernly, B.; Masyuk, M.; Piayda, K.; Leaver, S.; Erkens, R.; Oehler, D.; Afzal, S.; Heidari, H.; et al. Virtual and augmented reality in critical care medicine: The patient’s, clinician’s, and researcher’s perspective. Crit. Care 2022, 26, 326. [Google Scholar] [CrossRef]
- da Silva Marinho, A.; Terton, U.; Jones, C.M. Cybersickness and postural stability of first time VR users playing VR videogames. Appl. Ergon. 2022, 101, 103698. [Google Scholar] [CrossRef]
- Kim, H.; Kim, D.J.; Chung, W.H.; Park, K.A.; Kim, J.D.K.; Kim, D.; Kim, K.; Jeon, H.J. Clinical predictors of cybersickness in virtual reality (VR) among highly stressed people. Sci. Rep. 2021, 11, 12139. [Google Scholar] [CrossRef]
- Johnson, K.; Liszewski, B.; Dawdy, K.; Lai, Y.; McGuffin, M. Learning in 360 degrees: A pilot study on the use of virtual reality for radiation therapy patient education. J. Med. Imaging Radiat. Sci. 2020, 51, 221–226. [Google Scholar] [CrossRef]
- Ryan, E.; Poole, C. Impact of virtual learning environment on students’ satisfaction, engagement, recall, and retention. J. Med. Imaging Radiat. Sci. 2019, 50, 408–415. [Google Scholar] [CrossRef]
- Li, T.; Yan, J.; Gao, X.; Liu, H.; Li, J.; Shang, Y.; Tang, X. Using virtual reality to enhance surgical skills and engagement in orthopedic education: Systematic review and meta-analysis. J. Med. Internet Res. 2025, 27, e70266. [Google Scholar] [CrossRef] [PubMed]
- Gloy, K.; Weyhe, P.; Nerenz, E.; Kaluschke, M.; Uslar, V.; Zachmann, G.; Weyhe, D. Immersive anatomy atlas: Learning factual medical knowledge in a virtual reality environment. Anat. Sci. Educ. 2022, 15, 360–368. [Google Scholar] [CrossRef] [PubMed]
- Dzyuba, N.; Jandu, J.; Yates, J.; Kushnerev, E. Virtual and augmented reality in dental education: The good, the bad and the better. Eur. J. Dent. Educ. 2025, 29, 497–515. [Google Scholar] [CrossRef] [PubMed]
- Koolivand, H.; Shooreshi, M.M.; Safari-Faramani, R.; Borji, M.; Mansoory, M.S.; Moradpoor, H.; Bahrami, M.; Azizi, S.M. Comparison of the effectiveness of virtual reality-based education and conventional teaching methods in dental education: A systematic review. BMC Med. Educ. 2024, 24, 8. [Google Scholar] [CrossRef]
- Moussa, R.; Alghazaly, A.; Althagafi, N.; Eshky, R.; Borzangy, S. Effectiveness of virtual reality and interactive simulators on dental education outcomes: Systematic review. Eur. J. Dent. 2022, 16, 14–31. [Google Scholar] [CrossRef]
- Lin, P.Y.; Chen, T.C.; Lin, C.J.; Huang, C.C.; Tsai, Y.H.; Tsai, Y.L.; Wang, C.Y. The use of augmented reality (AR) and virtual reality (VR) in dental surgery education and practice: A narrative review. J. Dent. Sci. 2024, 19 (Suppl. S2), S91–S101. [Google Scholar] [CrossRef]















| ID | GS | TD | ST | ||
|---|---|---|---|---|---|
| age (years) | range | 33–60 | 25–34 | 24–32 | 23–27 |
| average | 43.8 ± 8.3 | 27.9 ± 2.1 | 25.2 ± 1.9 | 23.8 ± 1.1 | |
| sex (people) | men | 15 | 12 | 9 | 8 |
| women | 10 | 12 | 8 | 13 | |
| clinical experience | 9 to 36 years | 1 to 4 years | 3 months of clinical training | 6 months since the start of clinical practice | |
| dominant hand (people) | right | 25 | 24 | 17 | 18 |
| left | 0 | 0 | 0 | 3 |
Disclaimer/Publisher’s Note: The statements, opinions and data contained in all publications are solely those of the individual author(s) and contributor(s) and not of MDPI and/or the editor(s). MDPI and/or the editor(s) disclaim responsibility for any injury to people or property resulting from any ideas, methods, instructions or products referred to in the content. |
© 2025 by the authors. Licensee MDPI, Basel, Switzerland. This article is an open access article distributed under the terms and conditions of the Creative Commons Attribution (CC BY) license (https://creativecommons.org/licenses/by/4.0/).
Share and Cite
Nagasawa, R.; Sato, T.; Isogai, Y.; Yamada, Y.; Imamura, T.; Fujii, N. New Virtual Reality Educational Tool for Evaluating Dental Mirror Technique Skills: A Pilot Study. Dent. J. 2025, 13, 566. https://doi.org/10.3390/dj13120566
Nagasawa R, Sato T, Isogai Y, Yamada Y, Imamura T, Fujii N. New Virtual Reality Educational Tool for Evaluating Dental Mirror Technique Skills: A Pilot Study. Dentistry Journal. 2025; 13(12):566. https://doi.org/10.3390/dj13120566
Chicago/Turabian StyleNagasawa, Rei, Takumi Sato, Yuto Isogai, Yui Yamada, Takashi Imamura, and Noritaka Fujii. 2025. "New Virtual Reality Educational Tool for Evaluating Dental Mirror Technique Skills: A Pilot Study" Dentistry Journal 13, no. 12: 566. https://doi.org/10.3390/dj13120566
APA StyleNagasawa, R., Sato, T., Isogai, Y., Yamada, Y., Imamura, T., & Fujii, N. (2025). New Virtual Reality Educational Tool for Evaluating Dental Mirror Technique Skills: A Pilot Study. Dentistry Journal, 13(12), 566. https://doi.org/10.3390/dj13120566

