Abstract
This work develops a novel phosphate-functionalized extraction resin (HEHEHP + Cyanex272)/SiO2-P via the vacuum impregnation method for efficient separation of light rare earth element impurities from lanthanum (La3+) in nitric medium through synergistic extraction. Batch experiments have demonstrated superior adsorption selectivity toward impurity ions over La3+ in a pH 4 nitric acid solution. Column studies confirmed exceptional performance under ambient conditions, achieving a lanthanum treatment capacity of 120.6 mg/g and over 98% impurity removal, which surpasses most reported values. Notably, this purification process enables direct production of purified La3+ solutions through a single-column system without desorption, significantly enhancing efficiency and reducing costs. Mechanistic insights revealed combined ion exchange and coordination interactions between metal ions and P-OH/P=O groups, corroborated by advanced characterization and density functional theory calculations. These findings indicate a higher binding affinity of light rare earth compared with La3+. This strategy provides a scalable approach for ultra-high-purity lanthanum compound production in advanced optical and electronic applications.
1. Introduction
Rare earth elements (RE) are referred to as the 17 elements, including all lanthanides as well as scandium and yttrium. Due to their unique electronic layer structure, they play an irreplaceable role in functional materials such as magnetism, optics, and electronics, and are known as the “vitamin of modern industry” and the “treasure house of new materials in the 21st century” [1,2,3]. RE are extensively utilized in permanent magnets, catalysis, electronic information, and environmental protection fields [4]. With the development of high technology, products using ordinary-grade RE (relative purity = 99% to 99.99%) have been unable to meet the demands of high-end technology fields. To meet the development requirements of society, the demand for single ultra-high-purity rare earth oxides (REO) has increased significantly [5,6].
La is one of the RE with the richest reserves, and ultra-high-purity lanthanum (La) is widely used in fields such as hydrogen storage materials, high-transparency optical glass, laser crystals, and ultra-large-scale integrated circuit films [7,8]. However, the presence of trace impurities in La may lead to a reduction in product performance or complete failure. For instance, when using La in a laser crystal, the presence of praseodymium (Pr) and neodymium (Nd) impurities may interfere with the output wavelength of the laser [9,10]. RE can be divided into three groups according to their special properties, including the light (La-Sm), medium (Eu-Dy), and heavy RE (Ho-Lu) [11]. Among them, La, Ce, Pr, and Nd belong to the light rare earth elements [12]. Due to the lanthanide contraction effect, the separation of RE within the same group is extremely difficult due to the highly similar chemical properties [13]. The deep removal of associated impurity ions such as Ce, Pr, and Nd has become a key issue restricting La high-end applications [14].
Solvent extraction is the most widely used method in industrial production of ≤5N RE2O3, including La2O3, although it is less efficient in the preparation of RE2O3 (≥5N5) by further deeply removing the trace impurities, especially RE in the same group [15]. Sahar et al. extracted RE from the NdFeB magnet using the solvent extraction method, although they could only obtain relatively small amounts of RE through multiple stages of extraction and reverse extraction [16]. The ion exchange method is effective for the purification of a single RE. Alexandra et al. separated the RE in acidic mine water by using chelating ion exchange resins, although the resins may experience swelling and cracking, which seriously affects their real application [17]. In addition, the multi-stage separation method of traditional processes leads to a decrease in the lanthanum recovery rate (usually <85%) and a large consumption of acids and bases, which further exacerbates the cost and environmental pressure of preparing high-purity lanthanum [18]. Therefore, in the rare earth industry, developing an environmentally friendly resin with good selectivity, high separation efficiency, and high mechanical strength to produce ultra-pure rare earth elements remains a key challenge.
Recently, solid-phase extraction technology has gained wide attention due to its ability to combine the advantages of solvent extraction and ion exchange while avoiding the use of large amounts of toxic organic solvents [19,20]. For instance, research on phosphate–silica-based resins has shown that they can selectively extract lanthanum while minimizing the contamination of other impure rare earth elements [21,22]. To solve the aforementioned problems, this study explored a new method for obtaining an ultra-high-purity La solution using phosphate-functionalized silica-polymer-based resins. Specifically, (HEHEHP + Cyanex272)/SiO2-P resins were developed through in situ polymerization and vacuum impregnation methods. Due to the presence of abundant hydroxyl and phosphate groups in HEHEHP and Cyanex272, these structures endow them with strong coordination ability and chelating properties towards rare earth ions [23,24,25]. This resin can be produced on a large scale in a simple manner and can prioritize the removal of rare earth impurities from lanthanum. In addition, the adsorption mechanism of the resins was studied using various methods, including density functional theory (DFT) calculations, revealing the ion exchange and coordination interactions that drive the selective extraction of metal ions. This research provides an innovative solution for the purification of RE and is of great significance for the production of ultra-pure La required by high-end industries.
2. Results and Discussion
2.1. Characterization
The TG-DSC results of the carrier SiO2-P, resin, and extractants are shown in Figure 1a–c. As shown in Figure 1a, SiO2-P exhibited two exothermic peaks at 573 K and 785 K with a total mass loss of 16.2 wt.% in the two stages, indicating its good thermal stability. These two peaks were, respectively, caused by the thermal decomposition products of styrene and divinylbenzene and their polymers in SiO2-P [26]. Figure 1b shows that (HEHEHP + Cyanex272)/SiO2-P has three weight-loss stages, namely the thermal decomposition of styrene divinylbenzene, HEHEHP + Cyanex272, and the copolymer of polystyrene. Considering the relative weight ratio of “P” and “SiO2” in both SiO2-P and the resin should be the same, it can be calculated that the contents of HEHEHP + Cyanex272 and “P” in (HEHEHP + Cyanex272)/SiO2-P should be 27.0 wt.% and 12.5 wt.%, respectively. Unexpectedly, this proportion was inconsistent with the theoretical value of 33.3 wt.% as designed during the synthesis. Therefore, the TG-DSC analysis on the mixed extractant HEHEHP + Cyanex272 was performed, and the results are shown in Figure 1c; these results display that, even when heated to a high temperature of 1000 K, the above substances did not completely decompose, with a residual of about 11.4 wt.%. After calculation, it can be determined that the actual proportion of the extractant was approximately 32.3 wt.%, which is very close to the theoretical value of 33.3 wt.%.
Figure 1.
Characterization of the materials: (a–c) TG−DSC analysis; (d) FT–IR spectra; (e) N2 adsorption–desorption isotherms; and (f) pore diameter distribution.
Figure 1d shows the results of the FT-IR analysis. Peaks at 462, 801, and 1116 cm−1 are consistent with the Si-O-Si characteristic peaks of silica-based materials [27]. A peak at 707 cm−1 is observed due to the bending vibration of the C-H bond in the benzene ring, indicating the successful polymerization of styrene-divinylbenzene in SiO2-P. In the FT-IR spectra of (HEHEHP + Cyanex272)/SiO2-P, new peaks at 2949 and 1624 cm−1 appear, which are caused by the stretching and bending vibrations of -CH3 and -CH2- [28]. A weak characteristic peak of P-OH is observed at 970 cm−1, although no characteristic peaks of P=O and P-O-C are observed at 1185 and 1035 cm−1, which might be masked by the strong characteristic peaks of silica [29]. The above results indicate that the extractant HEHEHP + Cyanex272 has been well-loaded into the carrier of SiO2-P.
Figure 1e,f and Table S1 present the results of the BET analysis. As shown in Figure 1e, when the relative pressure (P/P0) is <0.9, SiO2, SiO2-P, and (HEHEHP + Cyanex272)/SiO2-P hardly adsorb N2, while when the relative pressure approaches 1.0, the adsorption capacity of N2 sharply increases. All three materials exhibit an IV-type hysteresis loop, indicating that they all have mesoporous structures and uniform shapes [30]. It is worth noting that the N2 adsorption capacity in the (HEHEHP + Cyanex272)/SiO2-P resin is significantly lower than that of the carrier, which is due to HEHEHP and Cyanex272 occupying the internal space of SiO2-P. The results in Figure 1f show that SiO2-P is a porous material with a pore diameter of 40–60 nanometers. From SiO2-P to (HEHEHP + Cyanex272)/SiO2-P, the pore volume decreases, indicating that the organic substances have been successfully loaded into the carrier SiO2-P.
2.2. Batch Experiments
2.2.1. Effect of Acidity
Firstly, the effect of nitric acidity on the adsorption efficiency and separation performance of the three resins towards main impurity ions in the high-lanthanum solution was studied. The results are shown in Figure 2a–c. With the pH changing from 5 to 3, the three resins, HEHEHP/SiO2-P, Cyanex272/SiO2-P, and (HEHEHP + Cyanex272)/SiO2-P, exhibited significantly higher adsorption efficiencies for Ce3+, Pr3+, and Nd3+ compared with La3+. This phenomenon can be explained by the lanthanide contraction effect, which states that as the atomic number increases, the effective hydration radius of rare earth ions shows a decreasing trend. Compared with La3+, Ce3+, Pr3+, and Nd3+ have smaller hydration ion radii, thereby enhancing the electrostatic attraction [31]. Taking the comparison between La3+ and Ce3+ as an example, the hydration radius of hydrated La3+ ions (1.25 Å) is significantly larger than that of hydrated Ce3+ (1.18 Å). Under the conditions of constant total charge, La3+ has a larger ion radius than Ce3+ and other light rare earth ions, resulting in a lower charge density for La3+ [32]. This difference in charge density leads to a significant weakening of the electrostatic interaction between the resin active groups and La3+. When the acidity increases to pH 1, the hydrogen ion concentration in the system significantly increases, resulting in a general decline in the adsorption performance of the functional resin for light rare earth elements. This phenomenon is mainly caused by the inhibitory effect of high concentrations of hydrogen ions. When the concentration of H+ in the solution is too high, it can inhibit the process by which R-POH dissociates into H+, thereby significantly weakening the ion exchange capacity of the resin and resulting in a decrease in its adsorption capacity.
Figure 2.
Effect of nitric acidity on the adsorption and separation of the three resins towards main impurity ions in the high-lanthanum solution: (a) Cyanex272/SiO2-P, (b) HEHEHP/SiO2-P, (c) (HEHEHP + Cyanex272)/SiO2-P (S/L ratio = 20 g/L, temperature = 298 K, time = 24 h, CLa = 1000 mg/L, COther = 10 mg/L, pH = 4).
As shown in Tables S2–S4, by comparing the separation factors (SFRE/La, RE = Ce, Pr, Nd) of the three functional resin Cyanex272/SiO2-P, HEHEHP/SiO2-P, and (HEHEHP + Cyanex272)/SiO2-P at different acidity conditions, the (HEHEHP + Cyanex272)/SiO2-P resin exhibited the highest separation factors at pH 4. This is due to the synergistic effect of HEHEHP and Cyanex272. To verify the sensitivity of the resin, we also added non-rare-earth-metal ion impurities and increased the concentration of all the impurity ions. The results in Figure S1 show that the resin can effectively adsorb the Fe/Al/Ca elements within a wide pH range, and the adsorption behavior of Ce/Pr/Nd is almost the same as that at low concentrations. Therefore, it can be concluded that the functional resin has strong adaptability.
2.2.2. Effect of Mole Ratios of HEHEHP and Cyanex272
The separation performance of (HEHEHP + Cyanex272)/SiO2-P resins prepared with different molar ratios of HEHEHP and Cyanex272 (0:1, 1:1, 2:1, 4:1, and 1:0) was investigated, with the results shown in Figure 3a. As the proportion of HEHEHP increases, the separation factors (SFRE/La, RE = Ce, Pr, Nd) exhibited a pattern of first increasing and then decreasing. At the 1:1 molar ratio, the separation factors (SFRE/La, RE = Ce, Pr, Nd) reached their optimal level, being 13.24, 26.66, and 33.79, respectively (Table S5).
Figure 3.
Effect of molar ratio of HEHEHP and Cyanex272 (a), solid–to-liquid ratio (b) on the adsorption and separation performance of (HEHEHP + Cyanex272)/SiO2-P (temperature = 298 K, time = 24 h, CLa = 1000 mg/L, COther=10 mg/L, pH = 4).
This phenomenon is closely related to the Lewis acid–base mechanism: compared with La3+, Ce3+, Pr3+, and Nd3+ have smaller ionic radii, exhibit harder Lewis acidity, and tend to combine more readily with alkaline extraction agents [33]. According to the sequence of alkalinity of the extraction agents R3C = O < (RO)3P = O < R3P = O, extraction agents (containing C-P bonds) have stronger alkalinity than those containing C-O-P bonds [34]. It is worth noting that HEHEHP and Cyanex272 can form a stable dimer structure through intermolecular hydrogen bonding (Figure S2), and this molecular structure may optimize the interface properties and metal coordination ability of the extraction system through a synergistic effect [35]. This molecular-scale interaction provides a theoretical basis for regulating the functionalization ratio of the extraction agent; that is, a moderate HEHEHP/Cyanex272 compound ratio can achieve the maximum selection of RE through balancing the alkalinity of the extraction agent and the steric hindrance effect.
2.2.3. Effect of Solid–Liquid Ratio
The effect of the solid–liquid ratio on the separation performance of (HEHEHP + Cyanex272)/SiO2-P resin was further studied, as shown in Figure 3b, Table S6. When the solid–liquid ratio was gradually increased from 4 g/L to 8 g/L, the adsorption efficiency of metal ions showed a significant upward trend. When the solid–liquid ratio exceeded 8 g/L, the adsorption efficiency tended to stabilize. It is noteworthy that as the solid–liquid ratio increased, the separation factors of Ce3+, Pr3+, Nd3+, over La3+ first significantly increased and then gradually decreased (Table S6), reaching the maximum value at a solid–liquid ratio of 10 g/L. This phenomenon indicates that an appropriate solid–liquid ratio can achieve the optimal separation effect by balancing the adsorption capacity and the selectivity.
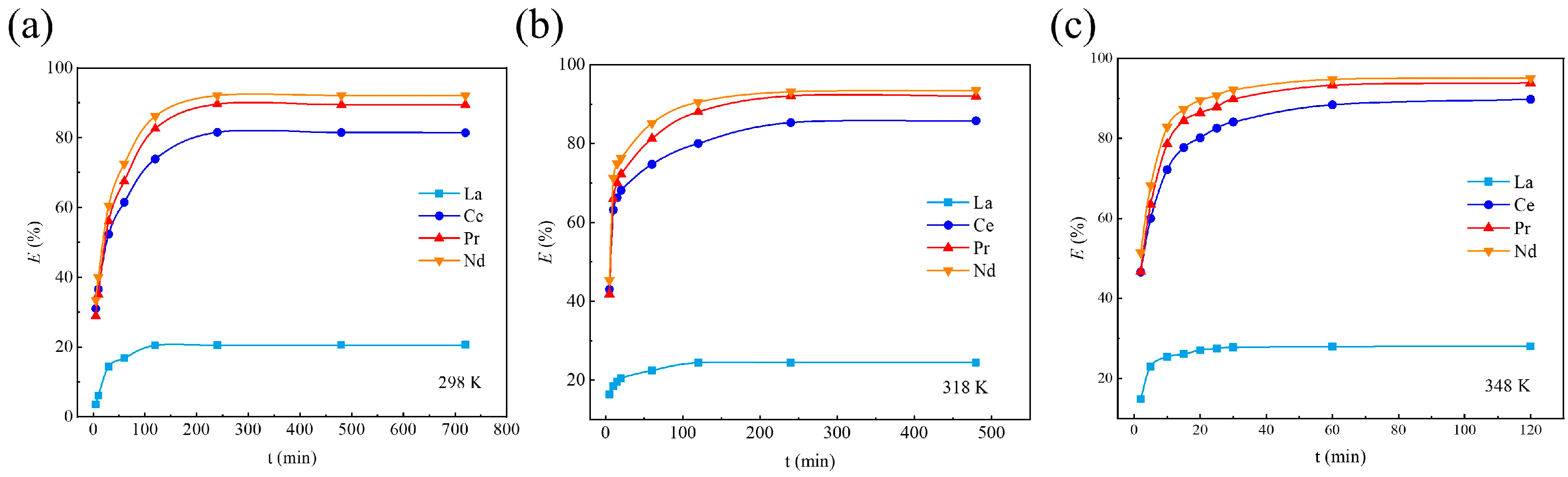
2.2.4. Kinetics
The effect of temperature on the adsorption kinetics of (HEHEHP + Cyanex272)/SiO2-P resin was further studied. As shown in Figure 4a–c, at the three experimental temperatures, the adsorption equilibrium time of the resin towards four rare earth elements was achieved at 4 h, 2 h, and 30 min at 298 K, 318 K, and 348 K, respectively. This phenomenon indicates that the increase in temperature can effectively accelerate the adsorption kinetics, which is consistent with the mechanism that increasing temperature enhances molecular thermal motion and reduces system viscosity, thereby improving interfacial mass transfer. It is worth noting that the resin still maintains excellent adsorption and separation performance at 348 K under high-temperature conditions, confirming its excellent thermal stability characteristics.
Figure 4.
Adsorption kinetics of (HEHEHP + Cyanex272)/SiO2-P at different temperatures: (a) 298 K, (b) 318 K, (c) 348 K (S/L ratio = 10 g/L, time = 24 h, CLa = 1000 mg/L, COther = 10 mg/L, pH = 4).
To clarify the adsorption mechanism, the pseudo-first-order kinetics model, pseudo-second-order kinetics model, and intraparticle diffusion model were used to analyze the adsorption kinetics data, with the results shown in Figure S3 and Tables S7 and S8. The results showed that the pseudo-second-order kinetics model exhibited the better fitting correlation with an R2 > 0.99, and the calculated equilibrium adsorption amount was highly consistent with the experimental data, with the difference less than 1%. This result reveals that this adsorption process is dominated by chemical adsorption [36]. The straight line passes through the origin of the coordinate system and exhibits distinct multi-segment linear characteristics. This suggests that particle internal diffusion is not the sole rate-limiting step, and the adsorption process may be influenced by both membrane diffusion and surface chemical reactions [37]. Detailed descriptions can be found in the Supplementary Materials.
Batch experiments demonstrated that at pH = 4, this resin achieved the maximum separation factor of (Ce3+, Pr3+, and Nd3+) over La3+ through synergistic effects. When HEHEHP and Cyanex272 were mixed in a 1:1 ratio, selectivity was significantly improved. The separation efficiency reaches its optimum at a solid–liquid ratio of 10 g/liter. Heating can accelerate the adsorption kinetics so that the adsorption equilibrium can be obtained within 30 min at 348 K, and is dominated by a pseudo-second-order kinetic model, indicating that chemical adsorption and membrane diffusion jointly control the rate.
2.3. Column Experiments
The separation performance of (HEHEHP + Cyanex272)/SiO2-P resin for the removal of impurities in RE using pH 4, high-lanthanum-containing solutions was studied through dynamic column experiments. Experiments were conducted using a double-layer column (inner diameter: 5.5 mm, height: 300 mm, bed volume (BV): 7.12 cm3) with a resin-filled inner layer and a thermostatic water jacket. The breakthrough curves at room temperature are shown in Figure 5a. The adsorption process was characterized by four distinct stages.
Figure 5.
Column experiment results of (HEHEHP + Cyanex272)/SiO2-P resin for the removal of impurities in RE using pH 4, high-lanthanum-containing solutions: (a) T = 298 K, (b) T = 318 K (column size: Φ5.5 mm × h 300 mm, flow rate: 1.68 BV/h, I: pH = 4 HNO3, II: pH = 4, CLa =1000 mg/L, Cother = 10 mg/L, III: pH = 4 HNO3, IV: 1 M HNO3).
In the first stage, a pump was used to flow 10 mL of pH = 4 HNO3 solution at a rate of 1.68 BV/h upwards through the column for pre-equilibration. In the second stage, the feed was stopped when the concentration of Ce3+ in the effluent reached 10% of the initial value. At this point, approximately 85 BV of high-purity lanthanum solution could be collected, with an impurity removal rate exceeding 98%, achieving the separation of LRE from lanthanum. In the third stage, ultra-pure water was used to replace the residual liquid in the column to clean the unadsorbed ions. In the fourth stage, 1 M HNO3 was used to completely desorb the metal ions, with an element recovery rate approaching 100% (Table S9). It should be noted that the purpose of using 1 M HNO3 here is merely for the resin’s recycling and regeneration. There is no need for a separate desorption step for collecting the La products as the La is already present in the effluent. When desorption is complete, replace the remaining eluent in the column with pH 4 HNO3, clean the adsorbent at the same time, and then start a new cycle. After calculation, the treatment capacity of (HEHEHP + Cyanex272)/SiO2-P resin for lanthanum ions is approximately 120.6 mg/g.
Column separation performance at 318 K was further studied to evaluate the effect of temperature. A thermostatic circulating water bath system was used to maintain the temperature through the outer glass jacket, and the breakthrough curve is shown in Figure 5b. Experimental data revealed that approximately 55 BV of purified lanthanum solution could be obtained under these conditions, indicating a significant reduction in resin treatment capacity and lanthanum purification efficiency compared with separation at room temperature. Figure S4 shows the cycle performance. The results indicate that after three column experiments, the processing capacity decreased by approximately 82% compared to the initial level, demonstrating good reusability. More details are provided in the Supplementary Materials.
2.4. Study on the Adsorption Mechanism
The adsorption and selectivity mechanism of the resin was further systematically elucidated. The FT-IR spectra of the samples after adsorption of Ce3+, Pr3+, and Nd3+ are shown in Figure S5. The peak at 970 cm−1, corresponding to the P-OH functional group, exhibited no significant shift in position but showed a marked reduction in intensity after adsorption of RE3+, confirming its direct involvement in the reaction [38]. Moreover, the absence of a distinct peak at 1380 cm−1 indicates that NO3− ions do not participate in the adsorption process; therefore, to keep charge balance during the adsorption, it is supposed that the adsorption mechanism is dominated by ion exchange. To validate the ion exchange mechanism, the pH of the eluent during column separation was monitored using a pH meter, as shown in Figure 6a. The initial pH of the eluent sharply decreased from the input pH 4 to 0.92 and, subsequently, increased and remained at 1.41 for a long time; then, when it was near breakthrough, it further increased to 1.62, caused by the decrease in ion exchange ability. This phenomenon aligns closely with the H+-RE3+ ion exchange mechanism that, after H+ from the P-OH functional groups in the resin surface exchanges with RE3+, H+ is released into the liquid phase, causing a transient increase in acidity. The corroborative evidence from pH analysis demonstrates that H+ exchange with rare earth ions at the P-OH functional groups serves as a primary driving force for adsorption. Moreover, the change in pH in the eluent can be an index to judge the breakthrough conveniently. This approach not only eliminates the complex procedures required for synchronous multi-element concentration detection but also significantly enhances the controllability and repeatability of the separation process. This methodological innovation provides a theoretical basis for the intelligent control of continuous rare earth separation processes, with significant meaning in practical application.
Figure 6.
The results of SEM-EDS analysis: (a) (HEHEHP + Cyanex272)/SiO2-P; (b–d) (HEHEHP + Cyanex272)/SiO2-P after adsorption of Ce, Pr, and Nd.
SEM-EDS was also employed to characterize the micromorphology and elemental distribution of (HEHEHP + Cyanex272)/SiO2-P resin before and after adsorption of Ce3+, Pr3+, and Nd3+, as shown in Figure 6b–d. For the fresh (HEHEHP+Cyanex272)/SiO2-P resin (Figure 6a), uniform distributions of carbon (C) and phosphorus (P) elements were observed, confirming the successful immobilization of HEHEHP and Cyanex272 into the internal pores of the SiO2-P carrier. After the adsorption of RE, the EDS of (HEHEHP + Cyanex272)/SiO2-P loaded with RE was analyzed and shown in Figure 6c,d, where Ce, Pr, and Nd were clearly and evenly observed, indicating the successful and efficient adsorption. Notably, no nitrogen (N) signal was detected in the (HEHEHP + Cyanex272)/SiO2-P after adsorption of RE, implying that NO3− does not participate in the coordination process. As can be seen from Figure S6, the mass proportions of all three elements are greater than 0.5, and the atomic ratio is above 0.05.
Figure 7a presents the XPS full spectra of fresh (HEHEHP + Cyanex272)/SiO2-P resin and that after adsorption of Ce3+, Pr3+, and Nd3+. The spectra exhibited distinct C 1s and P 2p characteristic peaks, confirming the successful synthesis of the resin. After adsorption of RE, the characteristic peaks of Ce 3d, Pr 3d, and Nd 3d appeared, indicating the effective adsorption of the elements. Further, analysis of the high-resolution spectra for Ce, Pr, and Nd (Figure 7b–d) revealed that the binding energies of Ce3+/Ce4+ were located at 884.1 eV and 902.5 eV, respectively [39]. The Pr 3d peaks were observed at 933.9 eV and 955.3 eV, while the Nd 3d peaks were observed at 979.3 eV and 1001.9 eV [40,41]. The fine spectra of the P 2p spectra of the resin before and after adsorption of RE were compared and shown in Figure 7e-f. In the fresh resin, the binding energies of P=O, P-O, and P-C are 132.62 eV, 133.59 eV, and 134.02 eV, respectively. After Ce3+ adsorption, the peak corresponding to P-C (133.98 eV) remains almost unchanged, whereas the binding energies of P-O and P=O decreased to 133.02 eV and 132.38 eV, respectively, with P-O exhibiting a more pronounced shift. Analogous trends in peak position changes for P=O, P-O, and P-C were observed in the cases of Pr3+ and Nd3+ adsorption. These observations suggest that both P-OH and P=O groups in the resin participate in coordination, with P-OH serving as the dominant active adsorption site [22]. To investigate if NO3− participated in the adsorption, the fine spectra of N 1s were tested (Figure S7); the absence of characteristic signals within the 395–410 eV binding energy range confirms that NO3− does not contribute to the rare earth ion adsorption process.
Figure 7.
Study on the adsorption mechanism: (a) XPS full spectra; (b–d) XPS fine spectra of Ce 3d, Pr 3d, and Nd 3d; (e,f) XPS fine spectra of P 2p before and after adsorption by (HEHEHP + Cyanex272)/SiO2-P.
2.5. Study on Polymer Conformation and Selectivity Mechanism
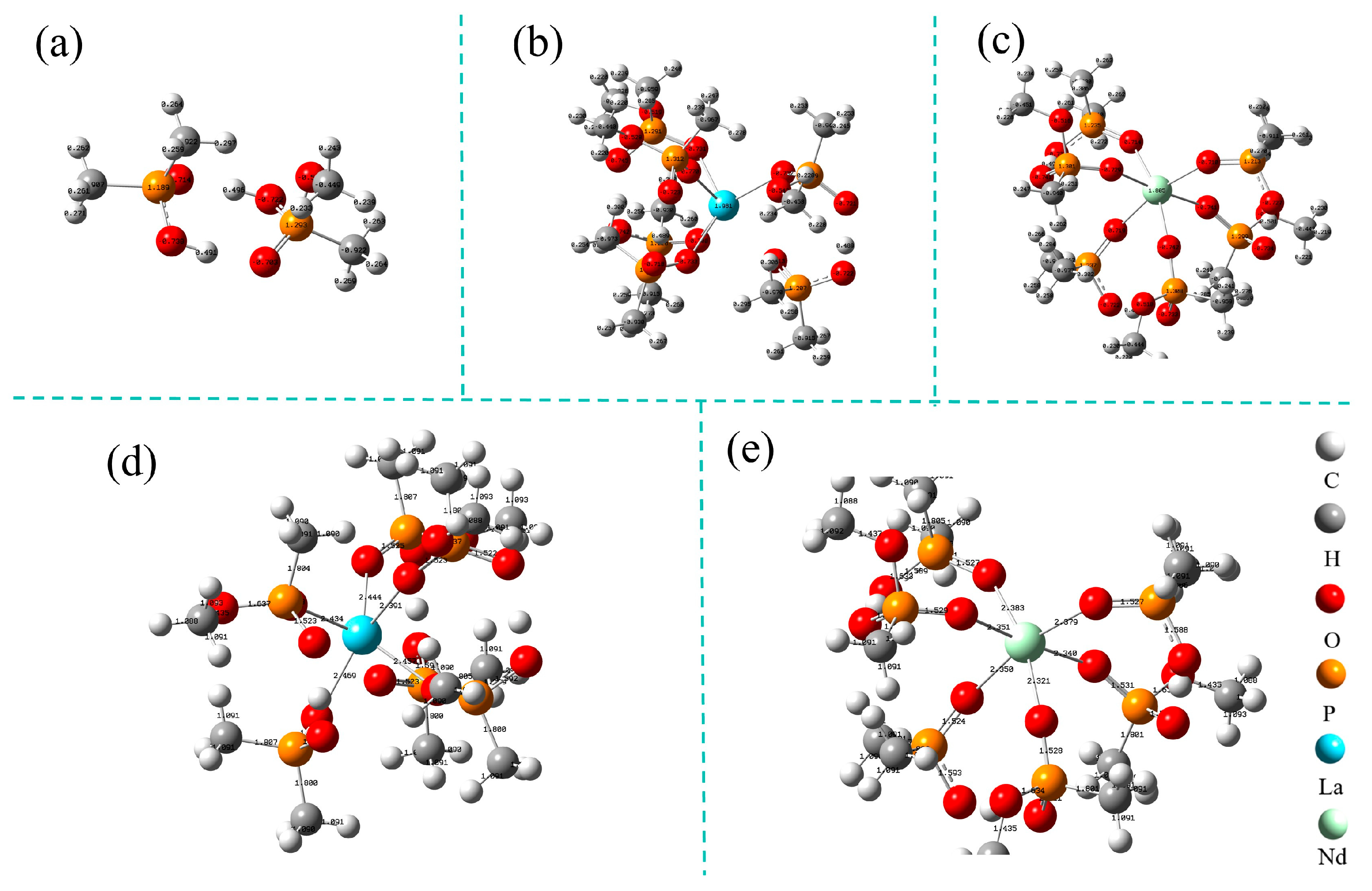
DFT calculations were employed to further elucidate the selective mechanism. Based on previous experimental results, the dimer formed by HEHEHP and Cyanex272 played a dominant role in the adsorption process; therefore, the adsorption mechanism of this dimer was systematically investigated, and La3+ and Nd3+ were selected as the representative elements for analysis. ESP images of the dimer and its simplified configuration were analyzed (Figure S8). The simplified configuration exhibited electronegative distribution characteristics nearly identical to those of the original structure. To facilitate calculations, the simplified dimer configuration was used for subsequent computations. The hydration shell of La3+ and Nd3+ comprises six water molecules [42], as illustrated by the electrostatic potential energy of the hydrated metal ions in Figure S8. The dimer demonstrated relatively higher electron density in the region surrounding the phosphoric acid groups, indicating that the adsorption sites are concentrated on the phosphorus and oxygen moieties. Upon adsorption of La3+ and Nd3+, the Mulliken charge of the central oxygen atom increased significantly from −0.738 e to −0.708 e and −0.710 e (Figure 8a,c), indicating that oxygen atoms act as electron donors in the coordination process, while rare earth ions function as electron acceptors, thereby forming stable coordinate bonds between the ligand and metal [43]. Notably, each of the three dimeric ligands dissociated one proton (H+) from its hydrogen bonding network, undergoing ion exchange with RE3+, ultimately leading to the formation of a stable octahedral coordination complex. To quantitatively characterize the adsorption equilibrium, a series of adsorption experiments was conducted by adjusting the solution pH, yielding distribution coefficients (Kd) for La3+ and Nd3+. Linear fitting of lg Kd versus pH (Figure S9) revealed that the slopes of both fitted lines were close to the theoretical value of 3.0 (R2 > 0.99). This feature explicitly demonstrates that the adsorption of one RE3+ ion is coupled with the release of three protons, which is fully consistent with the stoichiometric relationship involving the dissociation of one H+ from each of the three dimeric ligands. The experimental observations and DFT calculation results mutually validate the scientific design of the polymer configuration, with detailed mechanisms provided in the Supplementary Materials.
Figure 8.
Central oxygen atom charge and coordination bond length: (a) the charge of the oxygen atom at the center of the dimer; (b,c) the charge of the central oxygen atom after being loaded with La and Nd; (d,e) atomic bond lengths after loading La and Nd.
Figure 9a–c illustrate the electrostatic potential energy of the dimeric ligand and its complexes with La3+ and Ce3+, while Table S10 summarizes the calculated reaction equations and Gibbs free energy changes (ΔG) for both coordination processes [44]. The negative ΔG < 0 confirmed the spontaneous nature of these reactions. All optimized geometries and energies involved in the equations are provided in Figure S10. The binding energies calculated using Equation (5) are listed in Table 1, revealing exothermic values of −67.8 kcal/mol for La3+ and −108.9 kcal/mol for Nd3+. More negative binding energies correspond to higher reaction feasibility and stronger ion selectivity. Notably, the Nd3+ complex exhibited a more negative binding energy, indicating a thermodynamically favored coordination process compared to La3+. Furthermore, as shown in Figure 8d,e, the bond length analysis showed that the P-O bond average distances in the complexes were 2.439 Å (La3+) and 2.354 Å (Nd3+), respectively. The shorter bond length for Nd3+ suggests stronger P-O–metal interactions, consistent with the binding energy trends [45]. Collectively, these findings demonstrated a clear adsorption preference of the ligand for Nd3+ over La3+, as corroborated by both thermodynamic and structural analyses.
Figure 9.
ESP images before (a) and after loading (b) Nd3+ and (c) La3+ with dimer, respectively; blue area: positive charge, red area: negative charge.
Table 1.
Binding energy of metal ion and ligand complex.
Molecular orbital (MO) theory analysis further elucidated the adsorption selectivity difference in the resin toward La3+ and Nd3+. Based on DFT calculations, the frontier molecular orbital characteristics (HOMO and LUMO) of metal ions and ligands were systematically analyzed [46]. According to hard–soft acid–base (HSAB) theory, hard acids tend to interact with hard base ligands, and the strength of coordination interactions depends on orbital energy matching. Computational results indicate that the HOMO-LUMO energy gap of metal ions correlates positively with their hardness index, while the intensity of coordination interactions is determined by the energy proximity between the ligand HOMO and metal LUMO [47]. As shown in Figure 10a–c, the energy difference between the HOMO of the dimeric ligand and the LUMO of Nd3+ (−0.13 au) was smaller than that with La3+ (−0.24 au), demonstrating superior energy matching between Nd3+ LUMO and the ligand HOMO, which facilitates stronger coordinate bond formation.
Figure 10.
The HOMO (a) of the dimeric ligand and the LUMO of the (b) Nd3+ and (c) La3+ metal ions.
Combining ESP analyses, Gibbs free energy changes (ΔG), binding energy calculations, and molecular orbital theory, the adsorption selectivity of the resin toward rare earth ions was systematically revealed: light rare earth element (LREE) trivalent cations exhibit higher adsorption priority than La3+, with interaction strengths following the order Nd3+ > La3+. This conclusion is highly consistent with experimental observations and is corroborated by theoretical calculations at the electronic-structure level, forming a complete “experiment–theory” evidence chain.
2.6. Comparison
To evaluate the production efficiency of (HEHEHP + Cyanex272)/SiO2-P resin for high-purity lanthanum, it was compared with other functional materials. From the data in Table 2, it can be seen that the maximum purification capacity of lanthanum in many scholars’ studies is lower than our work (120.6) mg/g, which demonstrates the superiority of our resin.
Table 2.
Purification of La by (HEHEHP + Cyanex272)/SiO2-P resin compared with other materials.
3. Experimental Section
3.1. Chemicals
RE(NO3)3·nH2O (RE = La, Ce, Pr, Nd, n = 5 or 6), mono-2-ethylhexyl (2-ethylhexyl) phosphonate (HEHEHP, 95%), and bis(2,4,4-trimethylpentyl) phosphinic acid (Cyanex272, 90%) were purchased from McLean Biochemical Co., Ltd., Shanghai, China. Styrene (C8H8, 99.5%), acetophenone (CH3COC6H5, 98%), diethyl phthalate (C12H14O4, 99.5%), α, α′-azodiisobutyronitrile (AIBN, 98%), dichloromethane (CH2Cl2, 98%), acetone (C3H6O, 99.5%), methanol (CH3OH, 99.5%), divinylbenzene (DVB, 55%), sodium hydroxide (NaOH, 97%), nitric acid (HNO3, 65–68%), ethanol (C2H6O2, 99.8%), and anhydrous oxalic acid (H2C2O4, 99.999%) were purchased from Shanghai Aladdin Biochemical Technology Co., Ltd., Shanghai, China. All solutions were prepared with ultra-pure water with a resistance of 18.2 MΩ (High-tech Master S, Shanghai, China). All the chemical reagents mentioned in the manuscript were purchased from China.
3.2. Synthesis and Characterization of the Resin
The synthesis process of the resin, (HEHEHP + Cyanex272)/SiO2-P, was divided into two steps. Firstly, styrene and divinylbenzene were loaded into the interior of the porous silica through an in situ polymerization method to obtain a stable functionalized silica-polymer carrier SiO2-P [26]. A mixture comprising 3.18 mL of divinylbenzene and 9.11 mL of styrene was completely dissolved in a solution containing 22.3 mL of acetophenone and 14.9 mL of diethyl phthalate. Subsequently, 0.2653 g of AIBN was added as a radical initiator, and the resulting mixture was homogenized using a magnetic stirrer. Meanwhile, 50 g of silica carrier was placed in a round-bottom flask mounted on a rotary evaporator (EYELA-1300vh WB, Tokyo, Japan). The system was subjected to three consecutive cycles of evacuation followed by nitrogen backfilling to establish an inert nitrogen atmosphere. Then, the mixture of HEHEHP and Cyanex272 was vacuum-impregnated into the interior of the SiO2-P carrier in a certain proportion to obtain (HEHEHP + Cyanex272)/SiO2-P functional resin [51]. Figure 11 shows the flowchart of the synthesis process, and the detailed steps can be found in the Supplementary Materials.
Figure 11.
Flowchart of the synthesis process for SiO2-P and (HEHEHP + Cyanex272)/SiO2-P.
Then, to check the success synthesis of the resin and evaluate its physical and chemical properties, a series of methods were used to characterize the resin, including thermogravimetric differential scanning calorimetry (TG-DSC, STA 449 F3, Selb, Germany), Fourier-transform infrared spectrometry (FT-IR, Shimadzu IR Tracer 100, Kyoto, Japan), Brunauer–Emmett–Teller (BET, ASAP 2460, Norcross, GA, USA), scanning electron microscopy–energy spectrometry (SEM-EDS, Tesscan Mira Lms, Brno, Czech Republic), and X-ray photoelectron spectroscopy (XPS, ESCALAB 139+, Thermo Science, Waltham, MA, USA).
3.3. Batch Experiments
Firstly, solutions of La, Ce, Pr, and Nd with a concentration of approximately 50 mM were prepared as the mother liquor. A total of 0.05 g (HEHEHP + Cyanex272)/SiO2-P resin and 2.5 mL of solution were put in a 5 mL sealed glass vial and shaken at 160 rpm in a constant temperature water bath oscillator for 24 h (NTS-4000 B, EYELA, Tokyo, Japan). The removal or adsorption efficiency E (%), adsorption capacity Q (mg/g), distribution factor Kd (mL/g), and separation factor SFA/B were calculated by Equations (1)–(4).
where C0 (mg/L) and C (mg/L) are the initial and equilibrium concentrations of elements, respectively; V (mL) means the volume of the working solution; and m (g) is the mass of resin. All the batch experiments were conducted with two parallel samples simultaneously, ensuring that the test error was less than 5%.
3.4. Column Experiments
The core component of the column experimental setup was a double-layer glass column that could withstand high temperatures and strong acids. The inner layer was filled with functional resin (HEHEHP + Cyanex272)/SiO2-P, while the outer layer was connected to a constant-temperature circulating water system. Other components included a peristaltic pump (BT 100FC, Kang Rui, Baoding, China), a constant-temperature device (MP-5H, Blue-pard Company, Shanghai, China), and an automatic collector (DC-1500C, EYELA, Tokyo, Japan). Various types of flexible and rigid tubes are used to connect these components. The feed liquid is loaded into clean beakers, and the effluent is collected using a 10 mL small flexible tube. Figure S11 presents the exterior view of the device. Details of the other column experiments can be found in the Supplementary Materials.
3.5. DFT Calculations
The Gaussian16 program was used for density functional theory (DFT) calculations. This scheme achieves efficient and accurate calculations of lanthanide complexes through the SDD (Simplified Due Diligence) ECP + 6-311G(d) hybrid basis set, and combines the IEFPCM solvent model to fully reproduce the experimental environment. All key parameters have been verified for convergence, and the calculation process adheres to the best practices in quantum chemistry, ensuring the results are repeatable and comparable [52]. The binding energy of metal ions and ligands was calculated from the single point energy of each optimized configuration, as expressed in Equation (5) [44]:
where Ecomplex, , Ehydrated ion, and Eligands refer to the total energy (kcal/mol) of the ligand–metal complex, water molecules, hydrated metal ions, and ligands, respectively.
4. Conclusions
In this study, a synergistic extraction resin (HEHEHP + Cyanex272)/SiO2-P was synthesized for the removal of trace impurities in light RE from high-concentration lanthanum solutions, enabling the production of ultra-high-purity lanthanum compounds. Batch experiments demonstrated that the resin achieved maximum separation factors for Ce3+/Pr3+/Nd3+ over La3+ through synergistic effects. The 1:1 blend ratio of HEHEHP and Cyanex272 optimized interfacial properties via hydrogen-bonded dimers, balancing basicity and steric effects to significantly enhance selectivity. All adsorbed ions were desorbed using 1 M HNO3. The column experimental results showed that under ambient conditions, the resin enabled efficient separation of the light RE in the initial two stages, producing high-purity La3+ solutions (impurity removal > 98%) with a single column. The purification capacity reached 120.6 mg/g, surpassing most reported values. Characterization and DFT calculations confirmed that the adsorption mechanism involved ion exchange (P-OH) and coordination (P=O) interactions, with higher selectivity for LREE over La. An innovative method of removing impurities through adsorption was adopted for purification. This approach is more advanced than the traditional process of adsorption–desorption and multi-stage series purification, significantly enhancing work efficiency while reducing economic and time costs. This work presents an effective strategy for rare earth purification, offering strong industrial application potential.
Supplementary Materials
The following supporting information can be downloaded at https://www.mdpi.com/article/10.3390/inorganics13090296/s1, References [53,54] are cited in the Supplementary Materials.
Author Contributions
Conceptualization, M.H., S.N. and M.F.H.; Methodology, M.H.; Validation, S.N.; Formal analysis, M.H.; Investigation, M.H.; Resources, S.N. and Y.W.; Data curation, M.H. and J.L.; Writing—original draft, M.H.; Writing—review & editing, S.N.; Supervision, S.N. and L.C.; Funding acquisition, S.N. All authors have read and agreed to the published version of the manuscript.
Funding
This work was supported by the National Key R&D Program of China [2022YFB3506100]; the National Natural Science Foundation of China [12275124, 22350710186]; and the Science and Technology Innovation Program of Hunan Province [2023RC1067].
Institutional Review Board Statement
Not applicable.
Data Availability Statement
The original contributions presented in this study are included in the article/Supplementary Material. Further inquiries can be directed to the corresponding author.
Conflicts of Interest
The authors declare no conflict of interest.
References
- Cockell, C.S.; Santomartino, R.; Finster, K.; Waajen, A.C.; Eades, L.J.; Moeller, R.; Rettberg, P.; Fuchs, F.M.; Van Houdt, R.; Leys, N.; et al. Space station biomining experiment demonstrates rare earth element extraction in microgravity and Mars gravity. Nat. Commun. 2020, 11, 5523. [Google Scholar] [CrossRef]
- Cui, H.; Zhang, X.; Chen, J.; Qian, X.; Zhong, Y.; Ma, C.; Zhang, H.; Liu, K. The Construction of a Microbial Synthesis System for Rare Earth Enrichment and Material Applications. Adv. Mater. 2023, 35, e2303457. [Google Scholar] [CrossRef]
- Jiang, F.; Yin, S.; Srinivasakannan, C.; Li, S.; Peng, J. Separation of lanthanum and cerium from chloride medium in presence of complexing agent along with EHEHPA (P507) in a serpentine microreactor. Chem. Eng. J. 2018, 334, 2208–2214. [Google Scholar] [CrossRef]
- Dong, Z.; Mattocks, J.A.; Deblonde, G.J.P.; Hu, D.; Jiao, Y.; Cotruvo, J.A., Jr.; Park, D.M. Bridging Hydrometallurgy and Biochemistry: A Protein-Based Process for Recovery and Separation of Rare Earth Elements. ACS Cent. Sci. 2021, 7, 1798–1808. [Google Scholar] [CrossRef]
- Mattocks, J.A.; Jung, J.J.; Lin, C.-Y.; Dong, Z.; Yennawar, N.H.; Featherston, E.R.; Kang-Yun, C.S.; Hamilton, T.A.; Park, D.M.; Boal, A.K.; et al. Enhanced rare-earth separation with a metal-sensitive lanmodulin dimer. Nature 2023, 618, 87–93. [Google Scholar] [CrossRef]
- Song, X.; Zhang, J.; Yue, M.; Li, E.; Zeng, H.; Lu, N.; Zhou, M.; Zuo, T. Technique for preparing ultrafine nanocrystalline bulk material of pure rare-earth metals. Adv. Mater. 2006, 18, 1210–1215. [Google Scholar] [CrossRef]
- Chen, Z.; Wang, W.-T.; Sang, F.-N.; Xu, J.-H.; Luo, G.-S.; Wang, Y.-D. Fast extraction and enrichment of rare earth elements from waste water via microfluidic-based hollow droplet. Sep. Purif. Technol. 2017, 174, 352–361. [Google Scholar] [CrossRef]
- Gras, M.; Papaiconomou, N.; Chainet, E.; Tedjar, F.; Billard, I. Separation of cerium(III) from lanthanum(III), neodymium(III) and praseodymium(III) by oxidation and liquid-liquid extraction using ionic liquids. Sep. Purif. Technol. 2017, 178, 169–177. [Google Scholar] [CrossRef]
- Gupta, S.K.; Sudarshan, K.; Kadam, R.M. Optical nanomaterials with focus on rare earth doped oxide: A Review. Mater. Today Commun. 2021, 27, 102277. [Google Scholar] [CrossRef]
- Wilfong, W.C.; Ji, T.; Duan, Y.; Shi, F.; Wang, Q.; Gray, M.L. Critical review of functionalized silica sorbent strategies for selective extraction of rare earth elements from acid mine drainage. J. Hazard. Mater. 2022, 424, 127625. [Google Scholar] [CrossRef] [PubMed]
- Liu, Y.; Xu, Q.; Li, F.; Yu, F.; Yu, Z.; Hu, K.; Chen, H.; Li, X.; Wang, C.; Seo, D.H.; et al. Effective separation of neodymium and lanthanum by single-module hollow fiber supported liquid membrane with P507 as extractant. Sep. Purif. Technol. 2024, 340, 126759. [Google Scholar] [CrossRef]
- Han, X.; Xiong, Z.; Wang, S.; Wang, L.; Liang, T. Long-term open-pit mining activities at the world’s largest light rare earth mine significantly affect light rare earth elements in road dust over long distances. J. Hazard. Mater. 2024, 480, 136287. [Google Scholar] [CrossRef]
- Jemli, S.; Pinto, D.; Kanhounnon, W.G.; Ben Amara, F.; Sellaoui, L.; Bonilla-Petriciolet, A.; Dhaouadi, F.; Ameri, R.; Silva, L.F.O.; Bejar, S.; et al. GL-Net: Semantic segmentation for point clouds of shield tunnel via global feature learning and local feature discriminative aggregation. Chem. Eng. J. 2023, 466, 143108. [Google Scholar] [CrossRef]
- Salehi, H.; Maroufi, S.; Nekouei, R.K.; Chinu, K.; Sahajwalla, V. Tailored separation of light rare earth elements using combined oxidative precipitation and multi-stage solvent extraction techniques. Sep. Purif. Technol. 2025, 364, 132566. [Google Scholar] [CrossRef]
- Merroune, A.; Brahim, J.A.; Achiou, B.; Kada, C.; Mazouz, H.; Beniazza, R. Closed-loop purification process of industrial phosphoric acid: Selective recovery of heavy metals and rare earth elements via solvent extraction. Desalination 2024, 580, 117515. [Google Scholar] [CrossRef]
- Belfqueh, S.; Chapron, S.; Giusti, F.; Pellet-Roastaing, S.; Seron, A.; Menad, N.; Arrachart, G. Selective recovery of rare earth elements from acetic leachate of NdFeB magnet by solvent extraction. Sep. Purif. Technol. 2024, 339, 126701. [Google Scholar] [CrossRef]
- Roa, A.; Lopez, J.; Cortina, J.L. Selective separation of light and heavy rare earth elements from acidic mine waters by integration of chelating ion exchange and ligand impregnated resin. Sci. Total Environ. 2024, 954, 176700. [Google Scholar] [CrossRef]
- Tunsu, C.; Menard, Y.; Eriksen, D.O.; Ekberg, C.; Petranikova, M. Recovery of critical materials from mine tailings: A comparative study of the solvent extraction of rare earths using acidic, solvating and mixed extractant systems. J. Clean. Prod. 2019, 218, 425–437. [Google Scholar] [CrossRef]
- Ma, K.-Q.; Han, J.; Yang, C.-T.; Zhang, F.; Yan, H.; Wu, F.-C.; Hu, S.; Shi, L. Advanced solid-phase extraction of tetravalent actinides using a novel hierarchically porous functionalized silica monolith. Sep. Purif. Technol. 2022, 293, 121086. [Google Scholar] [CrossRef]
- Yang, B.; Wu, S.-Z.; Liu, X.-Y.; Yan, Z.-X.; Liu, Y.-X.; Li, Q.-S.; Yu, F.-S.; Wang, J.-L. Solid-phase extraction and separation of heavy rare earths from chloride media using P227-impregnated resins. Rare Met. 2021, 40, 2633–2644. [Google Scholar] [CrossRef]
- Artiushenko, O.; Rojano, W.S.; Nazarkovsky, M.; Azevedo, M.F.M.F.; Saint’Pierre, T.D.; Kai, J.; Zaitsev, V. Recovery of rare earth elements from waste phosphors using phosphonic acid-functionalized silica adsorbent. Sep. Purif. Technol. 2024, 330, 125525. [Google Scholar] [CrossRef]
- Zhou, J.; Zhang, X.; Deng, B.; Huang, Y.; Liu, X.; Ning, S.; Kuang, S.; Liao, W. Separation and purification of heavy rare earth elements by a silica/ polymer-based β-aminophosphonic acid resin from chloride media. Sep. Purif. Technol. 2025, 354, 129342. [Google Scholar] [CrossRef]
- Wang, J.; Xie, M.; Wang, H.; Xu, S. Solvent extraction and separation of heavy rare earths from chloride media using nonsymmetric (2,3-dimethylbutyl) (2,4,4′-trimethylpentyl)phosphinic acid. Hydrometallurgy 2017, 167, 39–47. [Google Scholar] [CrossRef]
- Yun, S.H.; Jeon, J.H.; Lee, M.S. Recovery of pure metal sulfate solutions from a synthetic sulfuric acid leachate of base-rare earth metals representing spent Ni-MH batteries through selective precipitation, stepwise ionic-liquid/solvent extraction and stripping. Hydrometallurgy 2025, 236, 106510. [Google Scholar] [CrossRef]
- Zheng, X.; Zhao, L.; Li, Z.; Zhang, H.; Wei, W.; Huang, X.; Feng, Z. Selective separation of rare earths and aluminum from low-concentration rare earth solution via centrifugal extraction. Sep. Purif. Technol. 2024, 351, 127933. [Google Scholar] [CrossRef]
- Liu, R.; Wei, Y.; Xu, Y.; Usuda, S.; Kim, S.; Yamazaki, H.; Ishii, K. Evaluation study on properties of isohexyl-BTP/SiO2-P resin for direct separation of trivalent minor actinides from HLLW. J. Radioanal. Nucl. Chem. 2012, 292, 537–544. [Google Scholar] [CrossRef]
- Petreanu, I.; Niculescu, V.-C.; Enache, S.; Iacob, C.; Teodorescu, M. Structural Characterization of Silica and Amino-Silica Nanoparticles by Fourier Transform Infrared (FTIR) and Raman Spectroscopy. Anal. Lett. 2023, 56, 390–403. [Google Scholar] [CrossRef]
- Athulya, P.A.; Chandrasekaran, N. Interactions of natural colloids with microplastics in aquatic environment and its impact on FTIR characterization of polyethylene and polystyrene microplastics. J. Mol. Liq. 2023, 369, 120950. [Google Scholar] [CrossRef]
- Akhondi, M.; Jamalizadeh, E. Preparation of cubic and spherical hollow silica structures by polystyrene-poly diallyldimethylammonium chloride and polystyrene-poly ethyleneimine hard templates. Ceram. Int. 2021, 47, 851–857. [Google Scholar] [CrossRef]
- Xiao, C.; Zhang, A.; Chai, Z. Synthesis and characterization of novel macroporous silica-polymer-calixcrown hybrid supramolecular recognition materials for effective separation of cesium. J. Hazard. Mater. 2014, 267, 109–118. [Google Scholar] [CrossRef]
- Dehnicke, K.; Greiner, A. Unusual complex chemistry of rare-Earth elements: Large ionic radii-small coordination numbers. Angew. Chem. Int. Ed. 2003, 42, 1340–1354. [Google Scholar] [CrossRef] [PubMed]
- D’Angelo, P.; Zitolo, A.; Migliorati, V.; Chillemi, G.; Duvail, M.; Vitorge, P.; Abadie, S.; Spezia, R. Revised Ionic Radii of Lanthanoid(III) Ions in Aqueous Solution. Inorg. Chem. 2011, 50, 4572–4579. [Google Scholar] [CrossRef]
- Bulin, C.; Zheng, R.; Guo, T.; Zhang, B. Incorporating hard-soft acid-base theory in multi-aspect analysis of the adsorption mechanism of aqueous heavy metals by graphene oxide. J. Phys. Chem. Solids 2022, 170, 110934. [Google Scholar] [CrossRef]
- Zhao, Q.; Li, Y.; Kuang, S.; Zhang, Z.; Bian, X.; Liao, W. Synergistic extraction of heavy rare earths by mixture of α-aminophosphonic acid HEHAMP and HEHEHP. J. Rare Earths 2019, 37, 422–428. [Google Scholar] [CrossRef]
- Larochelle, T.; Noble, A.; Strickland, K.; Ahn, A.; Ziemkiewicz, P.; Constant, J.; Hoffman, D.; Glascock, C. Recovery of Rare Earth Element from Acid Mine Drainage Using Organo-Phosphorus Extractants and Ionic Liquids. Minerals 2022, 12, 1337. [Google Scholar] [CrossRef]
- Zhang, S.; Huang, Q.; Chen, L.; Zhong, Y.; Hu, F.; Wu, K.; Yin, X.; Wei, Y.; Ning, S. Phosphination of amino-modified mesoporous silica for the selective separation of strontium. J. Hazard. Mater. 2024, 467, 133741. [Google Scholar] [CrossRef]
- Xu, S.; Ning, S.; Wang, Y.; Wang, X.; Dong, H.; Chen, L.; Yin, X.; Fujita, T.; Wei, Y. Precise separation and efficient enrichment of palladium from wastewater by amino-functionalized silica adsorbent. J. Clean. Prod. 2023, 396, 136479. [Google Scholar] [CrossRef]
- Peters, J.A.; Djanashvili, K.; Geraldes, C.F.G.C.; Platas-Iglesias, C. The chemical consequences of the gradual decrease of the ionic radius along the Ln-series. Coord. Chem. Rev. 2020, 406, 213146. [Google Scholar] [CrossRef]
- Wang, X.; Sun, W.; Zhao, J.; Han, H. Organophosphonic acid nitrilotri: A spatially matched depressant of bastnaesite for separation from fluorite. J. Rare Earths 2025, 41, 410–416. [Google Scholar] [CrossRef]
- Hernández-Pérez, D.; Aldana-González, J.; Romero-Romo, M.; Rivera-Hernández, S.; Ezeta-Mejía, A.; Morales-Gil, P.; Sánchez-Piñon, N.; Sampayo-Garrido, A.; Palomar-Pardavé, M. Electrochemical Nucleation and Growth of Neodymium on Glassy Carbon Electrodes using Reline as a Deep Eutectic Solvent. Electrochim. Acta 2025, 535, 146643. [Google Scholar] [CrossRef]
- Zhang, Y.; Li, X.; Pan, Z.; Ke, S.; Wang, Y. Allochroic effect of praseodymium doped neodymium molybdate pigment synthesized by solid-state reaction. Ceram. Int. 2022, 48, 20372–20387. [Google Scholar] [CrossRef]
- Song, A.-M.; Yang, M.-J.; Wu, Z.; Yang, Q.; Lin, B.; Liang, R.-P.; Qiu, J.-D. Efficient Separation of Adjacent Rare Earths in One Step by Using Ion-microporous Metal-Organic Frameworks. Adv. Funct. Mater. 2025, 35, 2419093. [Google Scholar] [CrossRef]
- Wang, W.; Zhang, S.; Chen, L.; Li, Z.; Wu, K.; Zhang, Y.; Su, Z.; Yin, X.; Hamza, M.F.; Wei, Y.; et al. Efficient separation of palladium from nitric acid solution by a novel silica-based ion exchanger with ultrahigh adsorption selectivity. Sep. Purif. Technol. 2023, 322, 124326. [Google Scholar] [CrossRef]
- Lin, S.; Bediako, J.K.; Cho, C.-W.; Song, M.-H.; Zhao, Y.; Kim, J.-A.; Choi, J.-W.; Yun, Y.-S. Selective adsorption of Pd(II) over interfering metal ions (Co(II), Ni(II), Pt(IV)) from acidic aqueous phase by metal-organic frameworks. Chem. Eng. J. 2018, 345, 337–344. [Google Scholar] [CrossRef]
- Shi, M.; Liu, S.; Ning, S.; Liu, J.; Chen, L.; Zeng, D.; Hamza, M.F.; Wei, Y. Exploration and development of carboxyl functionalization ion-exchange resin for efficient separation of trace yttrium from simulated 90Sr decay system. Sep. Purif. Technol. 2025, 376, 133883. [Google Scholar] [CrossRef]
- He, D.; Ning, S.; Liu, J.; Zhang, S.; Chen, L.; Xu, Y.; Feng, Z.; Hamza, M.F.; Wei, Y. Efficiently selective removal of radioactive thorium and uranium from rare earths by trialkyl phosphine oxide modified porous silica-polymer based adsorbent. Sep. Purif. Technol. 2025, 364, 132426. [Google Scholar] [CrossRef]
- Zhang, D.; Macdonald, L.; Raj, P.; Karamalidis, A.K. Thiol-functionalized cellulose adsorbents for highly selective separation of palladium over platinum in acidic aqueous solutions. Chem. Eng. J. 2024, 494, 152948. [Google Scholar] [CrossRef]
- Mustapa, N.R.N.; Malek, N.F.A.; Yusoff, M.M.; Rahman, M.L. Ion imprinted polymers for selective recognition and separation of lanthanum and cerium ions from other lanthanide. Sep. Sci. Technol. 2016, 51, 2762–2771. [Google Scholar] [CrossRef]
- Lee, G.S.; Uchikoshi, M.; Mimura, K.; Isshiki, M. Preparation and Evaluation of High-Purity La2O3. Metal. Mater. Trans. B 2010, 41, 509–519. [Google Scholar] [CrossRef]
- Zheng, X.; Song, Z.; Liu, E.; Zhang, Y.; Li, Z. Preparation of Phosphoric Acid-Functionalized SBA-15 and Its High Efficient Selective Adsorption Separation of Lanthanum Ions. J. Chem. Eng. Data 2020, 65, 746–756. [Google Scholar] [CrossRef]
- Yu, Q.; Ning, S.; Zhang, W.; Wang, X.; Wei, Y. Recovery of scandium from sulfuric acid solution with a macro porous TRPO/SiO2-P adsorbent. Hydrometallurgy 2018, 181, 74–81. [Google Scholar] [CrossRef]
- Frisch, M.J.; Trucks, G.W.; Schlegel, H.B.; Scuseria, G.E.; Robb, M.A.; Cheeseman, J.R.; Scalmani, G.; Barone, V.; Petersson, G.A.; Nakatsuji, H.; et al. Gaussian 16 Rev. B.01; Gaussian Inc.: Wallingford, CT, USA, 2016. [Google Scholar]
- Salehi, H.; Maroufi, S.; Nekouei, R.K.; Sahajwalla, V. Solvent extraction systems for selective isolation of light rare earth elements with high selectivity for Sm and La. Rare Met. 2025, 44, 2071–2084. [Google Scholar] [CrossRef]
- Chen, L.; Jiao, Z.; Yin, X.; Li, W.; Wang, X.; Ning, S.; Wei, Y. Highly efficient removal of strontium from contaminated wastewater by a porous zirconium phosphate material. J. Environ. Manag. 2022, 319, 115718. [Google Scholar] [CrossRef] [PubMed]
Disclaimer/Publisher’s Note: The statements, opinions and data contained in all publications are solely those of the individual author(s) and contributor(s) and not of MDPI and/or the editor(s). MDPI and/or the editor(s) disclaim responsibility for any injury to people or property resulting from any ideas, methods, instructions or products referred to in the content. |
© 2025 by the authors. Licensee MDPI, Basel, Switzerland. This article is an open access article distributed under the terms and conditions of the Creative Commons Attribution (CC BY) license (https://creativecommons.org/licenses/by/4.0/).










