Entropy-Enthalpy Compensation in Ti-V-Mn-Cr BCC Alloys Used as Hydrogen Storage Materials
Abstract
1. Introduction
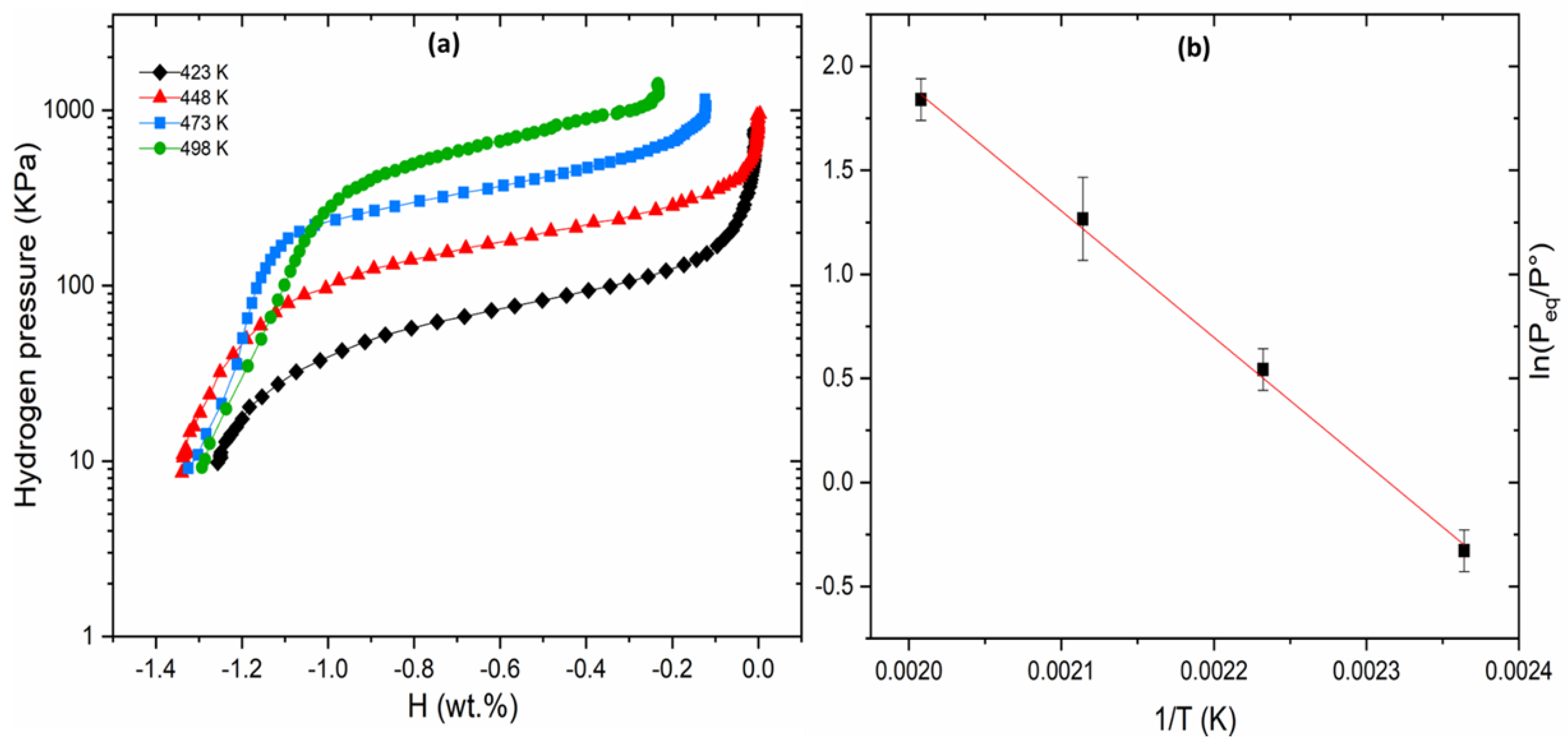
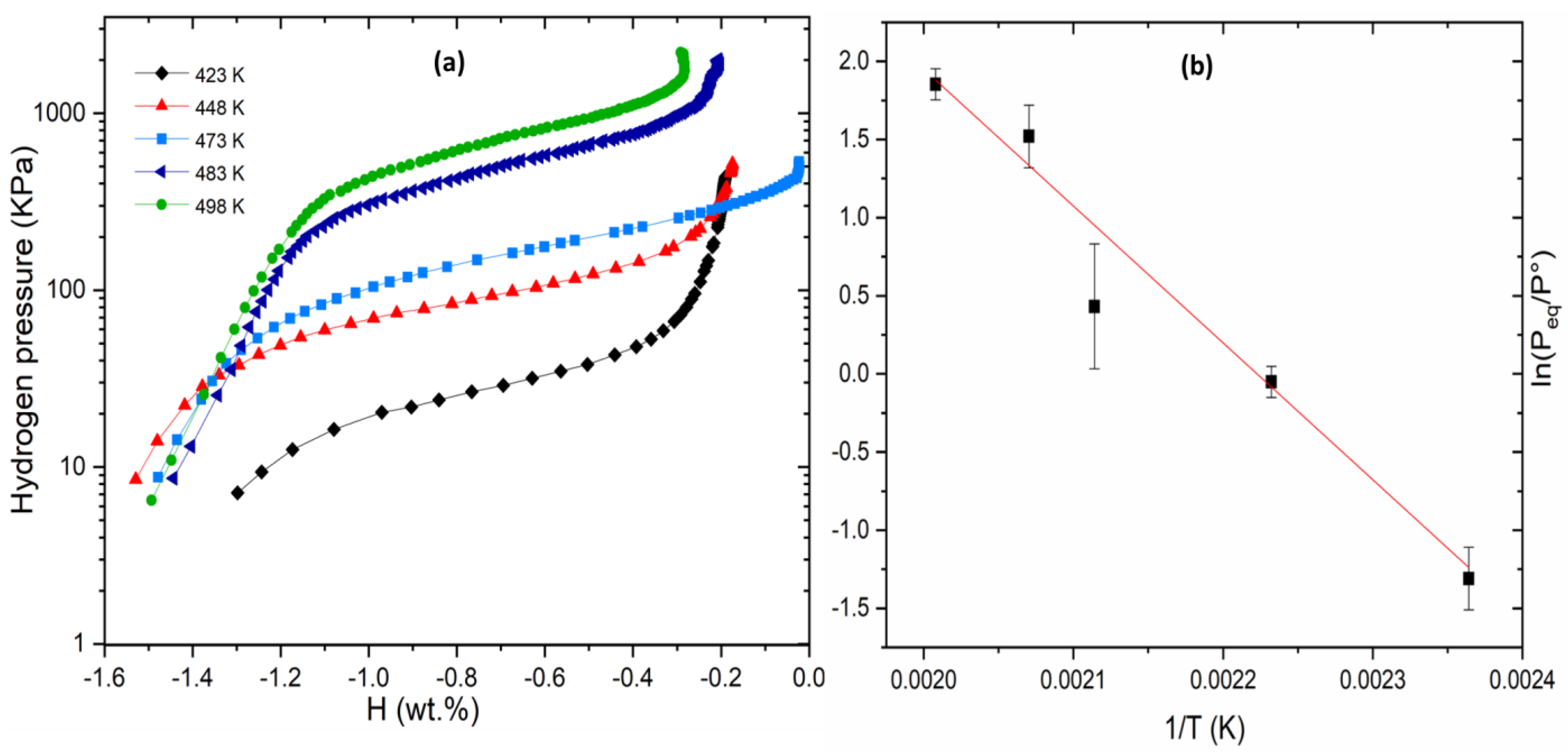
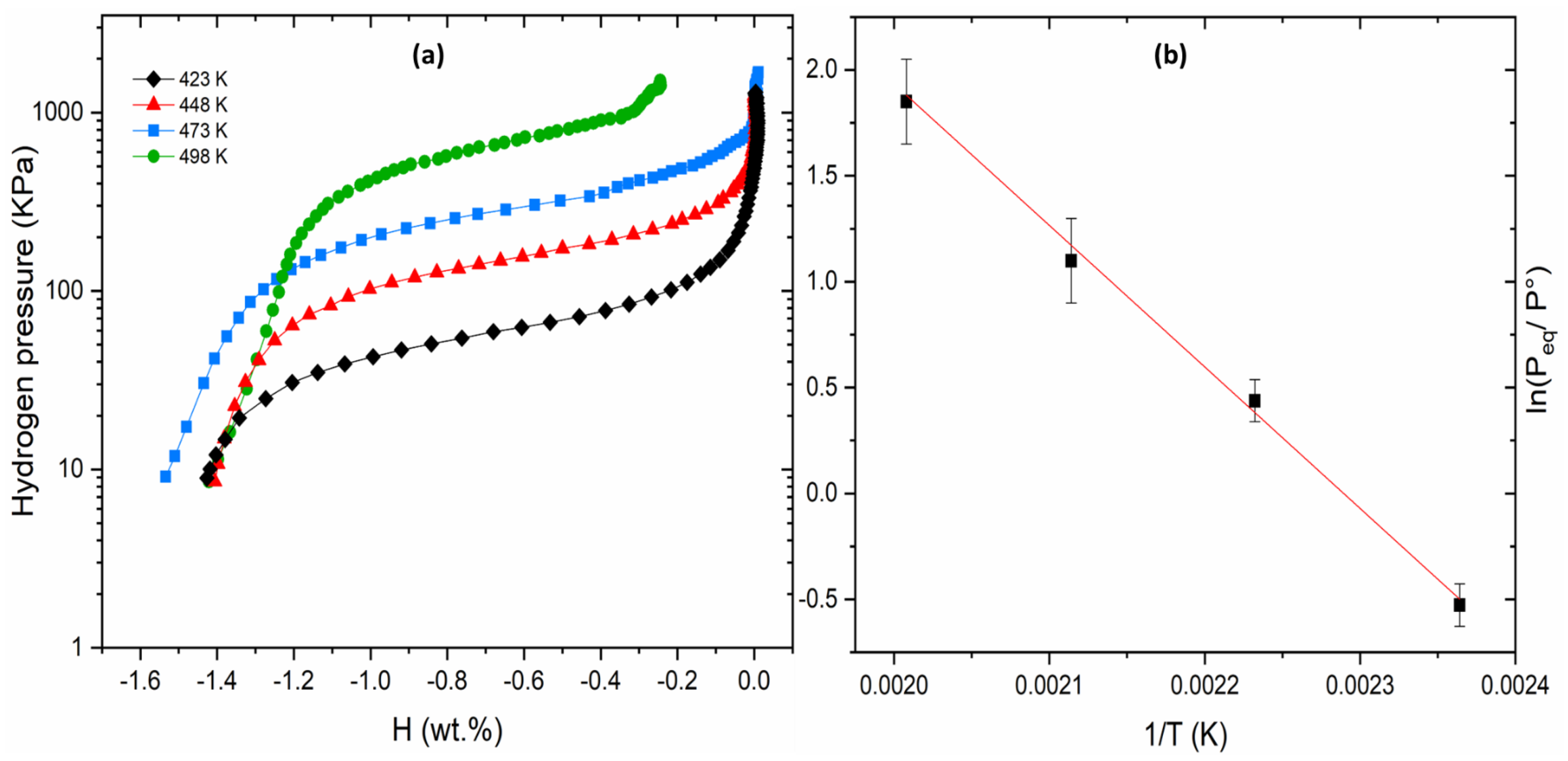
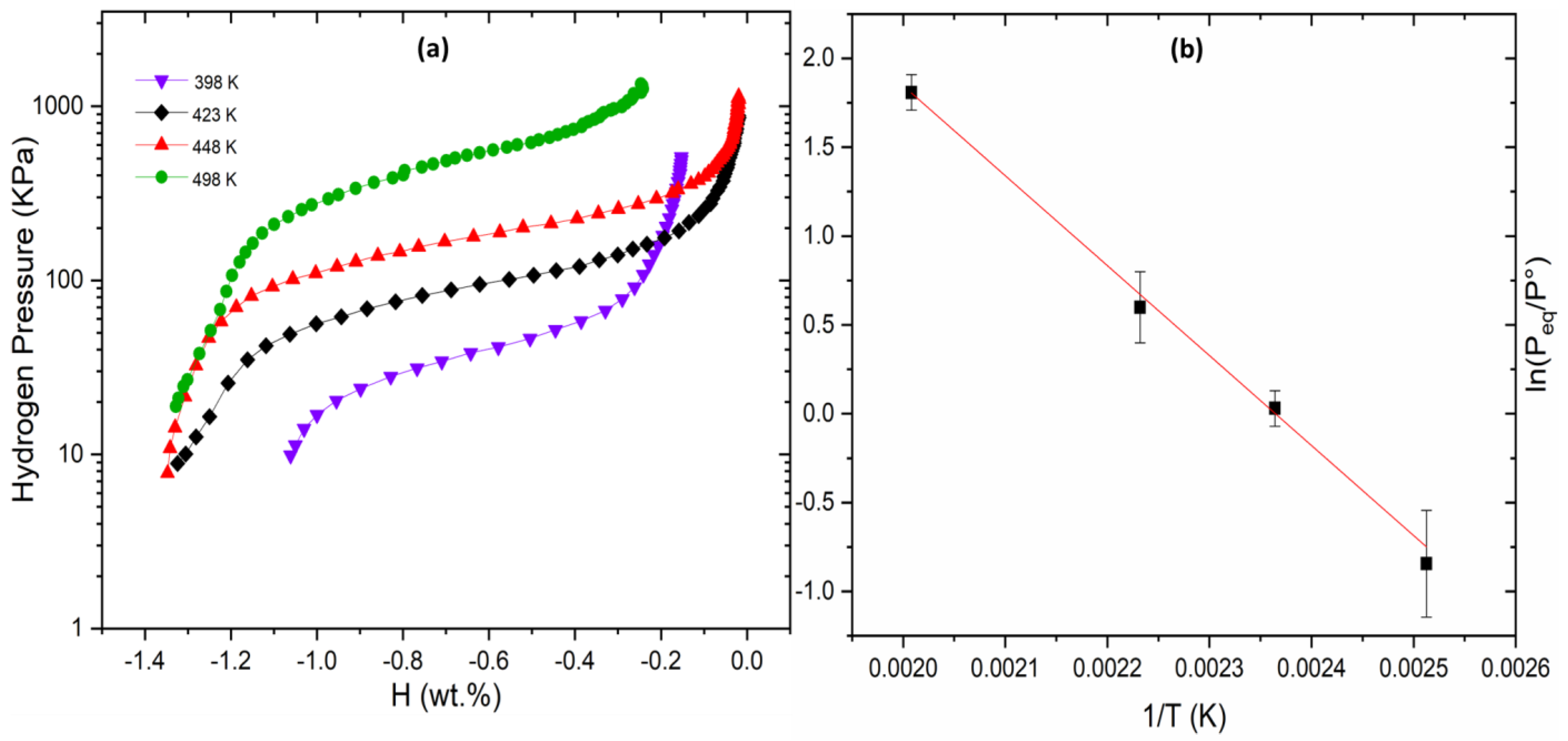
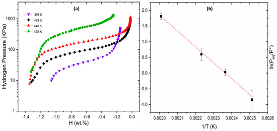
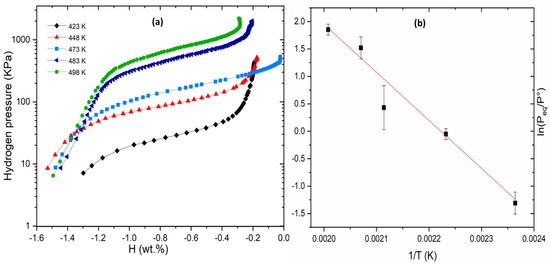
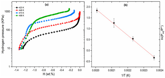
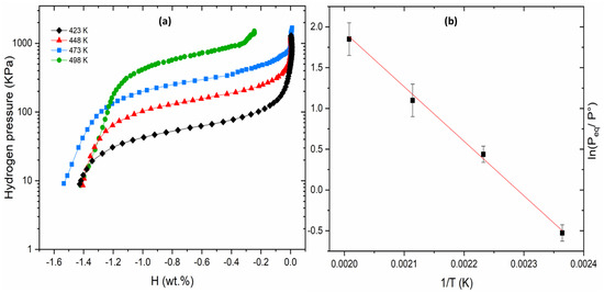
2. Results and Discussion
- Temperature Calculations: Initially, we calculated essential temperatures for our analysis:
- Thm, the harmonic mean of experimental temperatures, calculated as Thm = 458.80 K using Equation (1).
- ii.
- T*, the temperature at which the largest LnP spread is measured is chosen so that T* = Tlow if 1/Tmin closer to 1/Thigh or T* = Thigh if 1/Tmin is closer to 1/Tlow.Given our experimental temperature range of (423–498) K, we have T* = Tlow = 423 K.
- 2.
- Key Parameter Calculation: We proceeded to calculate the key parameters K and CQF using Equations (3) and (4), respectively:
- 3.
- Position Verification:
3. Materials and Methods
3.1. Alloy Synthesis
3.2. Structure Analysis
3.3. Pressure-Composition-Isotherms (PCIs) Measurements
4. Conclusions
Supplementary Materials
Author Contributions
Funding
Data Availability Statement
Acknowledgments
Conflicts of Interest
References
- Yu, X.; Wu, Z.; Xia, B.; Huang, T.; Chen, J.; Wang, Z.; Xu, N. Hydrogen storage in Ti–V-based body-centered-cubic phase alloys. J. Mater. Res. 2003, 18, 2533–2536. [Google Scholar] [CrossRef]
- Pickering, L.; Li, J.; Reed, D.; Bevan, A.I.; Book, D. Ti–V–Mn based metal hydrides for hydrogen storage. J. Alloys Compd. 2013, 580, S233–S237. [Google Scholar] [CrossRef]
- Pickering, L.; Reed, D.; Bevan, A.I.; Book, D. Ti–V–Mn based metal hydrides for hydrogen compression applications. J. Alloys Compd. 2015, 645, S400–S403. [Google Scholar] [CrossRef]
- Nakamura, Y.; Akiba, E. New hydride phase with a deformed FCC structure in the Ti–V–Mn solid solution–hydrogen system. J. Alloys Compd. 2000, 311, 317–321. [Google Scholar] [CrossRef]
- Akiba, E.; Iba, H. Hydrogen absorption by Laves phase related BCC solid solution. Intermetallics 1998, 6, 461–470. [Google Scholar] [CrossRef]
- Akiba, E.; Okada, M. Metallic Hydrides III: Body-Centered-Cubic Solid-Solution Alloys. MRS Bull. 2002, 27, 699–703. [Google Scholar] [CrossRef]
- Ruz, P.; Banerjee, S.; Halder, R.; Kumar, A.; Sudarsan, V. Thermodynamics, kinetics and microstructural evolution of Ti0.43Zr0.07Cr0.25V0.25 alloy upon hydrogenation. Int. J. Hydrogen Energy 2017, 42, 11482–11492. [Google Scholar] [CrossRef]
- Yukawa, H.; Teshima, A.; Yamashita, D.; Ito, S.; Yamaguchi, S.; Morinaga, M. Alloying effects on the hydriding properties of vanadium at low hydrogen pressures. J. Alloys Compd. 2002, 337, 264–268. [Google Scholar] [CrossRef]
- Balcerzak, M. Hydrogenation properties of nanocrystalline TiVMn body-centered-cubic alloys. Int. J. Hydrogen Energy 2020, 45, 15521–15529. [Google Scholar] [CrossRef]
- Chen, R.; Chen, X.; Ding, X.; Li, X.; Guo, J.; Ding, H.; Su, Y.; Fu, H. Effects of Ti/Mn ratio on microstructure and hydrogen storage properties of Ti-V-Mn alloys. J. Alloys Compd. 2018, 748, 171–178. [Google Scholar] [CrossRef]
- Chen, X.Y.; Chen, R.R.; Ding, X.; Fang, H.Z.; Guo, J.J.; Ding, H.S.; Su, Y.Q.; Fu, H.Z. Crystal structure and hydrogen storage properties of Ti-V-Mn alloys. Int. J. Hydrogen Energy 2018, 43, 6210–6218. [Google Scholar] [CrossRef]
- Iba, H.; Akiba, E. Hydrogen absorption and modulated structure in Ti–V–Mn alloys. J. Alloys Compd. 1997, 253–254, 21–24. [Google Scholar] [CrossRef]
- Matsuda, J.; Nakamura, Y.; Akiba, E. Microstructure of Ti–V–Mn BCC alloys before and after hydrogen absorption–desorption. J. Alloys Compd. 2011, 509, 4352–4356. [Google Scholar] [CrossRef]
- Shibuya, M.; Nakamura, J.; Enoki, H.; Akiba, E. High-pressure hydrogenation properties of Ti–V–Mn alloy for hybrid hydrogen storage vessel. J. Alloys Compd. 2009, 475, 543–545. [Google Scholar] [CrossRef]
- Iba, H.; Akiba, E. The relation between microstructure and hydrogen absorbing property in Laves phase-solid solution multiphase alloys. J. Alloys Compd. 1995, 231, 508–512. [Google Scholar] [CrossRef]
- Tamura, T.; Kazumi, T.; Kamegawa, A.; Takamura, H.; Okada, M. Effects of Protide Structures on Hysteresis in Ti-Cr-V Protium Absorption Alloys. Mater. Trans. 2002, 43, 2753–2756. [Google Scholar] [CrossRef]
- Wang, Q.; Dai, X.; Wu, C.; Mao, Y.; Chen, Y.; Cao, X.; Yan, Y.; Wang, Y.; Zhang, H. Lattice defects and micro-strains in V60Ti25Cr3Fe12 alloy and influence on the ab/desorption of hydrogen. J. Alloys Compd. 2020, 830, 154675. [Google Scholar] [CrossRef]
- Wu, C.; Wang, Q.; Mao, Y.; Huang, L.; Chen, Y.; Dai, X. Relationship between lattice defects and phase transformation in hydrogenation/dehydrogenation process of the V60Ti25Cr3Fe12 alloy. Int. J. Hydrogen Energy 2019, 44, 9368–9377. [Google Scholar] [CrossRef]
- Nakamura, Y.; Akiba, E. Hydriding properties and crystal structure of NaCl-type mono-hydrides formed from Ti–V–Mn BCC solid solutions. J. Alloys Compd. 2002, 345, 175–182. [Google Scholar] [CrossRef]
- Okada, M.; Kuriiwa, T.; Tamura, T.; Takamura, H.; Kamegawa, A. Ti–V–Cr b.c.c. alloys with high protium content. J. Alloys Compd. 2002, 330–332, 511–516. [Google Scholar] [CrossRef]
- Suwarno, S.; Solberg, J.; Maehlen, J.; Krogh, B.; Yartys, V. Influence of Cr on the hydrogen storage properties of Ti-rich Ti–V–Cr alloys. Int. J. Hydrogen Energy 2012, 37, 7624–7628. [Google Scholar] [CrossRef]
- Young, K.; Ouchi, T.; Nei, J.; Meng, T. Effects of Cr, Zr, V, Mn, Fe, and Co to the hydride properties of Laves phase-related body-centered-cubic solid solution alloys. J. Power Sources 2015, 281, 164–172. [Google Scholar] [CrossRef]
- Nygård, M.M.; Sørby, M.H.; Grimenes, A.A.; Hauback, B.C. The Influence of Fe on the Structure and Hydrogen Sorption Properties of Ti-V-Based Metal Hydrides. Energies 2020, 13, 2874. [Google Scholar] [CrossRef]
- Yu, X.; Wu, Z.; Xia, B.; Xu, N. Enhancement of hydrogen storage capacity of Ti–V–Cr–Mn BCC phase alloys. J. Alloys Compd. 2004, 372, 272–277. [Google Scholar] [CrossRef]
- Bibienne, T.; Tousignant, M.; Bobet, J.-L.; Huot, J. Synthesis and hydrogen sorption properties of TiV(2−x)Mnx BCC alloys. J. Alloys Compd. 2015, 624, 247–250. [Google Scholar] [CrossRef]
- Boots, H.M.J.; De Bokx, P.K. Theory of enthalpy-entropy compensation. J. Phys. Chem. 1989, 93, 8240–8243. [Google Scholar] [CrossRef]
- McNaught, A.D.; Wilkinson, A. Compendium of Chemical Terminology: IUPAC Recommendations; Blackwell Science: Oxford, UK, 1997; Volume 1669. [Google Scholar]
- Fenley, A.T.; Muddana, H.S.; Gilson, M.K. Entropy–enthalpy transduction caused by conformational shifts can obscure the forces driving protein–ligand binding. Proc. Natl. Acad. Sci. USA 2012, 109, 20006–20011. [Google Scholar] [CrossRef]
- Gilli, P.; Ferretti, V.; Gilli, G.; Borea, P.A. Enthalpy-entropy compensation in drug-receptor binding. J. Phys. Chem. 1994, 98, 1515–1518. [Google Scholar] [CrossRef]
- Mellot-Draznieks, C.; Valayannopoulos, V.; Chrétien, D.; Munnich, A.; de Lonlay, P.; Toulhoat, H. Relative Enzymatic Activity Levels from In Silico Mutagenesis. ACS Catal. 2012, 2, 2673–2686. [Google Scholar] [CrossRef]
- Eder, F.; Lercher, J.A. Alkane sorption in molecular sieves: The contribution of ordering, intermolecular interactions, and sorption on Brønsted acid sites. Zeolites 1997, 18, 75–81. [Google Scholar] [CrossRef]
- Toulhoat, H.; Lontsi Fomena, M.; de Bruin, T. Computational Study of the Effect of Confinement within Microporous Structures on the Activity and Selectivity of Metallocene Catalysts for Ethylene Oligomerization. J. Am. Chem. Soc. 2011, 133, 2481–2491. [Google Scholar] [CrossRef]
- Tang, W.S.; Chotard, J.-N.; Raybaud, P.; Janot, R. Enthalpy–Entropy Compensation Effect in Hydrogen Storage Materials: Striking Example of Alkali Silanides MSiH3 (M = K, Rb, Cs). J. Phys. Chem. C 2014, 118, 3409–3419. [Google Scholar] [CrossRef]
- Anastasopol, A.; Pfeiffer, T.V.; Middelkoop, J.; Lafont, U.; Canales-Perez, R.J.; Schmidt-Ott, A.; Mulder, F.M.; Eijt, S.W.H. Reduced Enthalpy of Metal Hydride Formation for Mg–Ti Nanocomposites Produced by Spark Discharge Generation. J. Am. Chem. Soc. 2013, 135, 7891–7900. [Google Scholar] [CrossRef]
- Griessen, R.; Boelsma, C.; Schreuders, H.; Broedersz, C.P.; Gremaud, R.; Dam, B. Single Quality Factor for Enthalpy-Entropy Compensation, Isoequilibrium and Isokinetic Relationships. ChemPhysChem 2020, 21, 1632–1643. [Google Scholar] [CrossRef]
- Griessen, R.; Dam, B. Simple Accurate Verification of Enthalpy-Entropy Compensation and Isoequilibrium Relationship. ChemPhysChem 2021, 22, 1774–1784. [Google Scholar] [CrossRef]
- Zeng, G.; Goldbach, A.; Shi, L.; Xu, H. Compensation Effect in H2 Permeation Kinetics of PdAg Membranes. J. Phys. Chem. C 2012, 116, 18101–18107. [Google Scholar] [CrossRef]
- Lubianiker, Y.; Balberg, I. Two Meyer-Neldel rules in porous silicon. Phys. Rev. Lett. 1997, 78, 2433–2436. [Google Scholar] [CrossRef]
- Ullah, M.; Singh, T.B.; Sitter, H.; Sariciftci, N. Meyer–Neldel rule in fullerene field-effect transistors. Appl. Phys. A 2009, 97, 521–526. [Google Scholar] [CrossRef]
- Widenhorn, R.; Mündermann, L.; Rest, A.; Bodegom, E. Meyer–Neldel rule for dark current in charge-coupled devices. J. Appl. Phys. 2001, 89, 8179–8182. [Google Scholar] [CrossRef][Green Version]
- Bibienne, T.; Bobet, J.-L.; Huot, J. Crystal structure and hydrogen storage properties of body centered cubic 52Ti–12V–36Cr alloy doped with Zr7Ni10. J. Alloys Compd. 2014, 607, 251–257. [Google Scholar] [CrossRef]
- Bibienne, T.; Razafindramanana, V.; Bobet, J.-L.; Huot, J. Synthesis, characterization and hydrogen sorption properties of a Body Centered Cubic 42Ti–21V–37Cr alloy doped with Zr7Ni10. J. Alloys Compd. 2015, 620, 101–108. [Google Scholar] [CrossRef]
- Dixit, V.; Huot, J. Investigation of the microstructure, crystal structure and hydrogenation kinetics of Ti-V-Cr alloy with Zr addition. J. Alloys Compd. 2019, 785, 1115–1120. [Google Scholar] [CrossRef]
- Kamble, A.; Sharma, P.; Huot, J. Effect of addition of Zr, Ni, and Zr-Ni alloy on the hydrogen absorption of Body Centred Cubic 52Ti-12V-36Cr alloy. Int. J. Hydrogen Energy 2018, 43, 7424–7429. [Google Scholar] [CrossRef]
- Kefi, C.; Huot, J. Microstructure and First Hydrogenation Properties of Ti30V60Mn(10−x)Crx (x = 0, 3.3, 6.6, 10) + 4 wt.% Zr. Metals 2023, 13, 1119. [Google Scholar] [CrossRef]
- Evans, J.S.O. Advanced input files & parametric quantitative analysis using topas. Mater. Sci. Forum 2010, 1–9. [Google Scholar] [CrossRef]
- Schulz, R.; Boily, S.; Huot, J. Apparatus for Titration and Circulation of Gases and Circulation of an Absorbent or Adsorbent Substance. U.S. Patent No. 6,582,663, 24 June 2003. [Google Scholar]








| Sample | Desorption | |||||||
|---|---|---|---|---|---|---|---|---|
| Plateau Pressure (kPa) | Enthalpy kJ/mol H2 | Entropy J/K·mol H2 | ||||||
| 398 K | 423 K | 448 K | 473 K | 483 K | 498 K | |||
| Ti30V60Mn10 + 4 wt.% Zr | - | 72 (1) | 172 (1) | 355 (2) | - | 630 (1) | −50 (2) | −117 (1) |
| Ti30V60Mn6.6Cr3.3 + 4 wt.% Zr | - | 27 (2) | 95 (1) | 154 (4) | 457 (2) | 638 (1) | −72 (9) | −160 (9) |
| Ti30V60Mn3.3Cr6.6 + 4 wt.% Zr | - | 59 (1) | 155 (1) | 300 (2) | - | 629 (2) | −54 (3) | −124 (5) |
| Ti30V60Cr10 + 4 wt.% | 42 (3) | 103 (1) | 182 (2) | - | - | 610 (1) | −43 (2) | −102 (4) |
Disclaimer/Publisher’s Note: The statements, opinions and data contained in all publications are solely those of the individual author(s) and contributor(s) and not of MDPI and/or the editor(s). MDPI and/or the editor(s) disclaim responsibility for any injury to people or property resulting from any ideas, methods, instructions or products referred to in the content. |
© 2023 by the authors. Licensee MDPI, Basel, Switzerland. This article is an open access article distributed under the terms and conditions of the Creative Commons Attribution (CC BY) license (https://creativecommons.org/licenses/by/4.0/).
Share and Cite
Kefi, C.; Huot, J. Entropy-Enthalpy Compensation in Ti-V-Mn-Cr BCC Alloys Used as Hydrogen Storage Materials. Inorganics 2023, 11, 479. https://doi.org/10.3390/inorganics11120479
Kefi C, Huot J. Entropy-Enthalpy Compensation in Ti-V-Mn-Cr BCC Alloys Used as Hydrogen Storage Materials. Inorganics. 2023; 11(12):479. https://doi.org/10.3390/inorganics11120479
Chicago/Turabian StyleKefi, Chourouk, and Jacques Huot. 2023. "Entropy-Enthalpy Compensation in Ti-V-Mn-Cr BCC Alloys Used as Hydrogen Storage Materials" Inorganics 11, no. 12: 479. https://doi.org/10.3390/inorganics11120479
APA StyleKefi, C., & Huot, J. (2023). Entropy-Enthalpy Compensation in Ti-V-Mn-Cr BCC Alloys Used as Hydrogen Storage Materials. Inorganics, 11(12), 479. https://doi.org/10.3390/inorganics11120479

