Next Article in Journal
Association of Keplerate-Type Polyoxometalate {Mo72Fe30} with Tetracycline: Nature of Binding Sites and Antimicrobial Action
Previous Article in Journal
Cu2Zn(Sn1−xSix)Se4: Structural Characterization, Vibrational and Physical Properties of CZTSe-Derivatives
 
 
Font Type:
Arial Georgia Verdana
Font Size:
Aa Aa Aa
Line Spacing:
Column Width:
Background:
Article

Fe,Mg-Codoped Bismuth Tantalate Pyrochlores: Crystal Structure, Thermal Stability, Optical and Electrical Properties, XPS, NEXAFS, ESR, and 57Fe Mössbauer Spectroscopy Study

1
Institute of Natural Sciences, Syktyvkar State University, Oktyabrsky Prospect, 55, 167001 Syktyvkar, Russia
2
Institute of Earth Sciences, Saint Petersburg State University, University Emb. 7/9, 199034 St. Petersburg, Russia
3
National Research Center-Kurchatov Institute, 1 Akad. Kurchatova Sq., 123182 Moscow, Russia
4
Institute of Physics and Mathematics of the Komi Science Center UB RAS, Oplesnina st. 4, 167982 Syktyvkar, Russia
5
Osipyan Institute of Solid State Physics RAS, 142432 Chernogolovka, Russia
6
Institute of Geology of the Komi Science Center UB RAS, Pervomaiskaya st. 48, 167982 Syktyvkar, Russia
*
Author to whom correspondence should be addressed.
Inorganics 2023, 11(1), 8; https://doi.org/10.3390/inorganics11010008
Submission received: 12 November 2022 / Revised: 12 December 2022 / Accepted: 20 December 2022 / Published: 24 December 2022

Abstract

The effect of Fe and Mg-codoping on the crystal structure, optical and dielectric properties of bismuth tantalate-based pyrochlores has been studied. Samples of Bi2MgxFe1−xTa2O9.5−Δ (x ≤ 0.7) are characterized by a porous dendrite-like microstructure. Fe,Mg-codoped bismuth tantalate pyrochlores are thermally stable up to a temperature of 1140 °C (x = 1). The Bi2Mg0.5Fe0.5Ta2O9.5−Δ thermal expansion coefficient increases uniformly and weakly from 3.6 to 9.3 × 10−6 °C−1 (30–1050 °C). The unit cell parameter of solid solutions increases uniformly from 10.5009(1) Å (x = 0.3) up to 10.5225(7) Å (x = 0.7). The structural parameters of disordered pyrochlore are determined by the Rietveld method (sp. gr. Fd 3 ¯ m:2 (227), Z = 8). According to near edge X-ray absorption fine structure and X-ray photoelectron spectroscopy data, ions in solid solutions are in the charge states Bi (+3), Mg (+2), Fe (+3), Ta (+5-δ). The Mössbauer spectrum is represented by a symmetric doublet with parameters IS = 0.365 ± 0.0020 mm/s, QS = 0.604 ± 0.034 mm/s, related to Fe3+ ions in regular axial octahedral positions. The samples exhibit the properties of dielectrics. The permittivity and the tangent of dielectric losses at 20 °C increases with the growth of iron content in the samples in the range of 28.5–30.5 and 0.001 (1 MHz). The width of the band gap of the obtained materials for direct allowed electronic transitions is in the range of 2.16(5)–2.41(5) eV. The studied samples satisfy the condition of efficient conversion of solar energy into an electrical one and are promising as catalysts and light-absorbing elements for solar panels.

Graphical Abstract

1. Introduction

Compounds with a pyrochlore-type structure have been attracting the close attention of scientists for many years. These compounds are of great interest due to a wide range of practically useful properties. They are known as photocatalysts, dielectrics, ionic and metallic conductors and exhibit ferro- and ferrimagnetism, giant magnetoresistance, superconductivity and spin glass state [1,2,3,4,5]. Oxide pyrochlores are described by the general formula A2B2O7 with a combination of tri-and quadri- (A3+2B+42O7) or di- and pentavalent elements (A2+2B+52O7) in cationic sublattices A and B [6,7]. Such a diverse composition of compounds of this structural type is due to the crystal lattice tolerance to substitutions of cations of both sublattices and to defects in the anionic sublattice. The face-centered cubic structure of pyrochlores consists of two independent and interpenetrating B2O6 and A2O’ sublattices. The cationic sublattice B2O6 is formed by octahedra connected at the apex of the angle [BO6]. The A2O’ sublattice has an anticrystobalite structure formed by tetrahedra [O’A4]. Relatively small cations (Ti4+, Hf4+, Ta5+, Sb5+, Nb5+) occupy cationic sites B, and large A ions (Ca2+, Bi3+, Pb2+) are located in the octahedron formed by oxygen atoms of the A2O’ and B2O6 sublattices [8,9,10,11]. The flexibility of the pyrochlore crystal structure to substitutions of cations of both sublattices and to vacancies in the anionic sublattice makes it possible to significantly vary the composition of compounds and obtain hundreds of compounds of this structural type with various functional properties [12,13,14,15,16].
To describe the stability of the resulting compositions, the concept of “pyrochlore stability field” [6] is used, based on the ratio of cationic radii. The range of values rA/rB = 1.46–1.80 for A3+2B4+2O7 and 1.40–2.20 for A2+2B5+2O7 limits the stability of pyrochlores. For pyrochlore containing bismuth (III) ions in A-sites and tantalum(V) in B-ones, the ionic radii ratio rA/rB gives a large value equal to 1.83, where r(Bi3+) = 1.17 Ǻ (c.n. = 8); r(Ta5+) = 0.64 Ǻ (c.n. = 6). For this reason, bismuth tantalate with an equimolar amount of bismuth (III) and tantalum(V) ions does not form a pyrochlore structure and crystallizes in the BiTaO4 structural type [17]. The structure of pyrochlore can be stabilized with an equal ratio of Bi (III) and Ta(V) atoms by doping with ions which ionic radius is smaller than for Bi3+ (atoms of 3d elements), as it is shown in studies on triple systems Bi2O3–Ta (Nb,Sb)2O5–MO(M2O3) [18,19,20,21,22,23]. In this case, as a rule, the largest part of the dopant atoms is placed in the octahedral position B, making the bismuth sublattice A2O’ unfilled, which increases the pyrochlore stability.
Chromium-, zinc-, iron- and copper-containing compounds were among the first pyrochlores obtained on the basis of bismuth tantalum [24,25,26,27,28]. A distinctive feature of such pyrochlores is the mixed placement of transition metal cations in two nonequivalent cation sublattices A and, to a greater extent, B. This leads to the formation of a bismuth-defective pyrochlore structure. Moreover, in [29,30] it was shown that the deficiency of bismuth atoms in the A2O’ sublattice cannot be more than 1/3 mole percent and closer to 1/4 due to the stereoactive 6s2 electron pair of bismuth atoms. The formation of iron-containing pyrochlores does not satisfy the stability parameter and, for example, for the compositions Bi2FeTaO7 and Bi2FeTa2O9.5 it is equal to 1.82, provided that Fe (III) ions are placed in octahedral positions. In the case when some of the iron (III) ions are placed in the bismuth position, the value of the stability parameter will be within the required interval. The paper [25] shows the possibility of the formation of iron-containing pyrochlores of the general composition Bi3.36Fe2.08+xTa2.56−xO14.56−x (−0.32 ≤ x ≤ 0.48). Using the data of magnetic susceptibility, and Mössbauer and electron energy loss spectroscopy (EELS) analysis of iron-containing pyrochlores, it was found that iron ions are in the high spin state Fe (III), occupying mainly octahedral positions Nb/Ta/Sb Nb/Ta/Sb [22,23,25,29,31,32,33]. It was also found that some of the Fe (III) ions can be placed in the bismuth positions. In particular, depending on the composition of ceramics, only 4–15% of A-sites are occupied by Fe3+ ions in the pyrochlores of the Bi2O3-Fe2O3-Nb2O5 system [22]. For the Bi2O3–Fe2O3–Sb2Ox and Bi1.8Fe0.2 (FeSb)O7 systems the occupation value is equal to 7–25% [23] and 10% [34], respectively. At the same time, it was indicated in [34] that all compositions of Bi2−xFex (FeSb)O7 (x = 0.1, 0.2, 0.3) demonstrate the state of spin glass due to the presence of some Fe (III) ions in crystallographic positions A. It was found that for pyrochlores in the Bi2O3-Fe2O3-Nb2O5 system, the value of the dielectric constant ε lies in the range of 141–151 and dielectric losses are close to 0.2 at a temperature of 30 °C and frequency of 1 MHz [35]. For pyrochlore Bi1.657Fe1.092Nb1.150O7 the dielectric constant remains high ~120 at 300 K and 1 MHz [22]. Iron-containing pyrochlores Bi3.36Fe2.08+xTa2.56−xO14.56−x (−0.32 ≤ × ≤ 0.48) are characterized by lower values of the dielectric constant ~78–92 and the dielectric loss tangent ∼10−1 (MHz, ~30 °C) [25]. Meanwhile, solid solutions Bi3.36Fe2.08+xSb2.56−xO14.56−x (0.00 ≤ × ≤ 0.64) have lower permittivity values in the range of 24–35 and dielectric losses of the order of 10−1 at room temperature and frequency of 1 MHz [36].
Within the work the possibility of the formation of Mg,Fe codoped bismuth tantalate pyrochlores and the influence of magnesium ions on the structure, thermal behavior, symmetry of the local coordination environment of iron (III) ions and optical properties of compounds were demonstrated.

2. Experimental Section

Solid solutions of Bi2MgxFe1−xTa2O9,5±Δ (x = 0, 0.3, 0.5, 0.7) were synthesized by the solid-phase method according to the procedure described in detail in [29]. It should be noted that the synthesis was carried out in stages, at temperatures of 650, 850, 950, 1050 °C for 10 h at each calcination stage. The precursors for the solid-phase reaction were the oxides MgO, Bi2O3, Fe2O3, Ta2O5. The microstructure and local elemental composition of the samples were studied by scanning electron microscopy (SEM) and energy dispersive X-ray spectroscopy (EDS) using electron scanning microscope Tescan VEGA 3LMN, (Tescan, Czech), combined with the energy-dispersive spectrometer INCA Energy 450, (Tescan, Czech). X-ray photoelectron spectroscopy (XPS) analysis was performed by the Thermo Scientific ESCALAB 250Xi X-ray spectrometer, (Thermo Fisher Scientific, USA). An X-ray tube with Al Kα radiation (1486.6 eV) was used as a source of ionizing radiation. To neutralize the charge of the sample, an ion-electronic charge compensation system was used. All peaks are calibrated relative to the intensity of the C1s peak at 284.6 eV. The experimental data were processed using the ESCALAB 250 Xi software. The near edge X-ray absorption fine structure (NEXAFS) spectra were measured with a resolution of about 0.45 eV at the NanoPES beamline [37] of the Kurchatov Synchrotron Radiation Source (NRC Kurchatov Institute) using the total electron yield (TEY) mode.
The crystal structure of Fe,Mg-codoped bismuth tantalate was investigated by the powder high-temperature X-ray diffraction (HTXRD) using an X-ray diffractometer Rigaku Ultima IV (Co Kα radiation, air atmosphere, 40 kV/30 mA, Bragg-Brentano geometry) equipped with plastic scintillator strips detector D/teX Ultra. The correctness of 2θ at room temperature (RT) was checked before every measurement using silicon as external standard; the change in zero shift never exceeded ±0.02° 2θ. The unit-cell parameters were calculated at every temperature step by the Pawley approach and the crystal structure of Fe,Mg-doped bismuth tantalate was refined at 25 °C by the Rietveld method using the Topas 5.0 software package [38]. According to HTXRD data, the crystal structure for the Bi2Mg0.5Fe0.5Ta2O9+Δ composition was refined. The Thompson–Cox–Hastings pseudo-Voigt function was used to describe the reflex profile. Scattering factors of neutral atoms were applied for all atoms. The ideal structure of pyrochlore (space group Fd 3 ¯ m) was used as the initial structure model. The filling of the positions was determined in accordance with the composition stoichiometry.
For the electron spin resonance (ESR) spectroscopy of the Fe,Mg-codoped bismuth tantalate polycrystalline samples an X-band spectrometer RadioPAN SE/X 2547 was used. The spectra were recorded using a rectangular resonator (RX102, TE 102 mode) at RT as the first derivative, at the high frequency modulation of 100 MHz with the amplitude of 0.25 mT and the microwave power of 35 mW. The pyrochlore sample (45–70 mg) was put into a thin-walled quartz test tube (internal diameter of 2.5 mm) together with the reference sample (anthracite, singlet line g0 = 2.003, peak to peak distance ∆BPP = 0.5 mT) in an ampoule. For each sample, the spectrum in the magnetic field range of 0–700 mT and the reference line g0 = 2.003 in the scan range of 5 mT were separately recorded. The intensity of the reference line served as a measure of the gain of the instrument and, when processing spectra, was used to accurately remove background signals from the test tube and ampoule. The spectra were normalized to the reference line intensity and then to 60 mg of the sample. The ESR spectra were recorded with an X-band radiospectrometer SE/X-2547 (RadioPAN) in the Shared Services Center “Geonauka” at the Institute of Geology FRC Komi SC UB RAS.
In order to study electrical properties, metallic Ag electrodes were applied onto both sides of the ceramic discs and sintered at 650 °C for 1 h. The measurements were carried out with an E7-28 impedancemeter (frequency range of 25–107 Hz) at temperatures from 25 up to 450 °C. The thickness and diameter of the studied disk-shaped sample were 1.7–2.3 mm and 14.2–14.3 mm, respectively.
The 57Fe Mössbauer spectra were obtained using an Mössbauer spectrometer Wissel (Wissel, Germany, Starnberg) at the rates of −11–+11 mm/s at RT. The 6 × 108 Bq 57Co in chrome matrix (Ritverc GmbH, St. Petersburg, Russia) at RT was used. To eliminate the texturing effects in the spectra, the samples were prepared in the form of finely ground powder. The duration of spectrum accumulation was about 270 h. The isomeric shift was determined relative to α-Fe.

3. Results and Discussion

3.1. Thermal Behavior, Morphology and Crystal Structure

According to the X-ray phase analysis data, it was found that samples of the composition Bi2MgxFe1−xTa2O9.5−Δ (x = 0.3, 0.5, 0.7, 1.0) crystallize in cubic syngony. The analysis of reflection loss confirmed that the symmetry of the crystal structure is cubic with the space group Fd 3 ¯ m. It should be noted that the samples of this series were synthesized twice. On the X-ray diffraction patterns of the first series of samples (Figure S1) an admixture of the bismuth orthotantalate was detected, the amount of which decreased with increasing the iron content. The content of bismuth orthotantalate was assessed from X-ray diffraction patterns. For the Bi2MgxFe1−xTa2O9.5−Δ (x = 0.7) sample with the highest content of bismuth orthotantalate, the amount of impurity is no more than 4.86 mass. percent (Figure S2).
The appearance of an impurity and its dependence on the concentration of iron in the samples may be associated with the tendency of Mg (II) ions to be located in two cationic positions of bismuth (III) and tantalum (V), which weakens with an increase in iron and a decrease in magnesium content. Apparently, magnesium ions, being distributed in the Ta(V) positions and having a smaller charge and a larger ionic radius, are capable of causing distortions in the pyrochlore crystal structure due to oxygen vacancies. In order to reduce the degree of stress of the crystal structure, some of the magnesium ions are placed in positions Bi (III) and to create vacancies in bismuth positions, bismuth orthotantalate is released as an impurity. A similar reaction was observed in the case of cobalt-containing pyrochlore [30]. With a decrease in the content of Mg (II) ions in the samples, the stresses of the octahedral frame become weaker and the need for such a process disappears, which can be seen in the experiment. The repeated synthesis of a series of preparations is performed more efficiently. An intermediate and longer homogenization was performed. As a result, pure preparations of solid solutions that do not contain bismuth orthotantalate were synthesized (Figure 1). Based on this, one can conclude that the absence of impurities is due to careful and repeated homogenization of the preparations. Apparently, homogenization contributed to the reduction in local stresses of the structure caused by heterovalent substitution and uniform distribution of ions in the structure, including oxygen vacancies.
With increasing magnesium concentration, the unit cell parameter increases almost uniformly from 10.5009 ± 0.0001 Å (x = 0.3) up to 10.5225 ± 0.0007 (x = 0.7). The concentration dependence is almost linear and obeys Vegard’s law quite well (Figure 1) [39]. This fact indicates the formation of a continuous series of solid solutions and the distribution of iron and magnesium ions in the same system of crystallographic positions.
It should be noted that the unit cell parameters previously determined for the extreme terms of the series of the studied solid solution Bi1.5Mg0.75−xFexTa1.5O7±Δ are a = 10.4871(2) Å (x = 0.75) [29] and a = 10.54607 Å (x = 0) [40], which is in good agreement with the parameters of iron- and magnesium-containing solid solutions. The calculated parameters of the solid solution cell are in satisfactory agreement with the cell constant for the border compositions of solid solutions Bi2FeTa2O9.5 (a = 10.4871 Å) and for Bi2MgTa2O9 (a = 10.5461 Å), and are also close to the values given in [25] for iron-containing pyrochlores based on bismuth tantalate Bi3.36Fe2.08+xTa2.56−xO14.56−x (−0.32 ≤ × ≤ 0.48) (10.4979–10.5033 Å) and bismuth niobate (Bi1.721Fe0.190(Fe0.866Nb1.134)O7) a = 10.508 Å and Bi3.36Fe2.08+xNb2.56−xO14.56−x (−0.24 ≤ × ≤ 0.48), for which the parameter varies from 10.5071(4) to 10.5107(7) Å [22,35]. The proximity of the polarization properties and ion radii of Fe (III) and Ta(V) explains the tendency of Fe (III) ions to occupy octahedral positions, repeatedly proven by physicochemical analysis methods [41,42,43].
Based on powder data, using the software package Topas 5.0, the crystal structure was refined for the compositions Bi2MgxFe1−xTa2O9.5−Δ (x = 0.5, 0.3). The ideal structure of pyrochlore (sp. gr. Fd 3 ¯ m) served as the initial structure model. The best agreement between the experimental and calculated data was obtained for the disordered structure model, in which the Bi atoms are displaced from the highly symmetrical (16d) positions to the (96g) positions. Tantalum(V) and iron ions are located in the same system of crystallographic positions (16b). The oxygen atoms are disordered and are located in two crystallographic positions, one of which (48f) is completely occupied, the other (8a) is in short supply and filled by 56 (66)%, respectively. For example, the stoichiometric formula of the nominal composition Bi2Mg0.5Fe0.5Ta2O9+Δ (or the normalized formula to 7 oxygen atoms Bi1.4Mg0.35Fe0.35Ta1.4O6.65), determined as a result of structure refinement, corresponds to the composition with a deficient sublattice of bismuth cations—Bi1.38Fe0.34Mg0.32Ta1.34O6.69. Table 1 shows the results of the refinement of the pyrochlore structure for the compositions Bi2MgxFe1−xTa2O9.5−Δ (x = 0.5, 0.3) by the Rietveld method in the space group Fd 3 ¯ m:2 (227).
The experimental, calculated, and difference diffraction patterns of Bi2Mg0.3Fe0.7Ta2O9.5−Δ are shown in Figure 2. Atomic and geometric parameters of Bi2MgxFe1−xTa2O9.5−Δ (x = 0.5, 0.3) are presented in Table 1 and Table 2, respectively.
According to the simulation results, the tantalum/iron atoms form a regular TaO6 octahedron with a Ta–O bond length of ~1.9869 Å. Individual interatomic distances in the weakly ordered BiO8 polyhedron vary from 2.30 to 2.99 Å (Table 3), with 4 out of 8 bonds noticeably shorter than the others. The asymmetry of the polyhedron of bismuth atoms is due to the distribution of the stereoactive 6 s2 pair of bismuth ions.
As noted earlier, in the case of pyrochlores based on bismuth tantalate containing atoms of 3d elements [29,30], the formation of a symmetric tantalum–oxygen polyhedron is typical, and the length of the Ta–O bond in the octahedron changes depending on the nature of the 3d atom. In the case of iron ions, the average Ta–O bond length is shorter than, for example, for nickel compositions and the degree of distortion of the BiO8 polyhedron is lower. Apparently, this is due to the close radii of the Fe (III) and Ta(V) ions [29], distributed in the same system of octahedral sites, and the degree of covalence of the M–O bond (M–Fe (III), Ta(V)).
The samples have a yellow color characteristic of iron (III) compounds, which becomes more intense with increasing iron content (Figure 3).
The microstructure of the samples is porous, formed by weakly aggregated elongated particles (Figure 4). No significant dependence of the crystallite size on the magnesium/iron ratio has been established. The average size of crystallites determined by the Scherrer method for solid solutions is ∼59.6 nm, meanwhile, larger grains with a longitudinal size of 1–2 μm were recorded by scanning electron microscopy (SEM). In some places, local coalescence of grains with the formation of larger aggregates is observed. It can be noted that an increase in the magnesium content in solid solutions contributes to the appearance of a larger number of grain aggregates. The porosity of the samples according to SEM data varies from 22 (x(Mg) = 0.7) to 28 (x(Mg) = 0.3) percent. Local quantitative analysis by the EDS method showed that the experimental composition of the samples corresponded to the specified one (Figure S3). Elemental mapping of the samples showed a uniform distribution of atoms in the composition of the sample (Figure S4).
The study of thermal behavior was carried out by the HTXRD method in the range of 30–1200 °C (Tables S1 and S2). Figure 5a shows the temperature dependence of the cubic unit cell parameter Bi2MgxFe1−xTa2O9.5−Δ (x = 0.5) for the range 30–1200 °C. The unit cell parameter a increases uniformly from 10.50183 Å (30 °C) to 10.57607 Å (1110 °C). A uniform change in the cell constant indicates the absence of phase transformations and the thermal stability of pyrochlore in the considered temperature range, as was previously revealed for pyrochlores based on bismuth tantalate containing magnesium or 3d ions [29,40,43]. Above 1100 °C, the thermal dissociation of the solid solution probably occurs, as shown for Bi2FeTa2O9.5 [43]. It is interesting to note that the limiting temperature of the phase stability of Bi2MgxFe1−xTa2O9.5−Δ (x = 0.5) decreases with an increase in the magnesium content from 1140 °C (x = 0) to 1050 °C (x = 1), which may be due to a change the nature of the MO (M-Fe(III), Mg(II) bond in the octahedron from covalent to ionic and the number of oxygen vacancies destabilizing the structure.
The Figure 5b shows the temperature dependences of the thermal expansion coefficient (TEC) for Bi2Mg0.5Fe0.5Ta2O9.5−Δ calculated as a result of approximation of the temperature dependences of the unit cell parameters.
As can be seen from the Figure 5b, the TEC values for Bi2Mg0.5Fe0.5Ta2O9+Δ increases uniformly and weakly from 3.6 to 9.3 × 10−6 °C−1 in the temperature range 30–1050 °C. In this regard, iron–magnesium pyrochlores can be attributed to weakly expanding compounds with isotropic thermal expansion. The average value of TEC (6.4 × 10−6 °C−1) for Bi2Mg0.5Fe0.5Ta2O9.5−Δ in the studied temperature range is comparable to the thermal expansion coefficient of compounds with a framework structure like pyrochlore [44,45,46], including pyrochlores based on tantalate bismuth containing 3d ions [43]. Taking into account that transition ions are mainly located in octahedral positions, one can speak of a weak effect of the nature of dopants distributed in the three-dimensional cationic sublattice B on the thermal expansion of pyrochlores.

3.2. XPS, ESR, NEXAFS and Mössbauer Spectroscopy

The studies of the electronic state of atoms in Mg,Fe-codoped bismuth tantalate pyrochlore were carried out by NEXAFS, XPS, ESR and Mössbauer spectroscopy methods. The chemical state of the surface of the studied samples was investigated by XPS. The obtained XPS spectra of bismuth–magnesium tantalate, Mg,Fe-codoped bismuth tantalate (on the example of a composition with x = 0.5) and corresponding oxides are shown in Figure 6a–d: XPS spectra in a wide energy range of binding energies (20–1400 eV) and spectral dependences in the region of Bi4f-, Bi5d-, Ta4f-, Ta4d-, Mg1s and Fe2p ionization thresholds. The graphs show the results of the decomposition of spectral dependencies into individual peaks, which were modeled by Gauss–Lorentz curves, and the background by Shirley approximation. To study the chemical composition of the samples, only the spectra of metals were analyzed. This is explained by the fact that in the Survey XPS spectrum there is a C1s peak caused by surface contamination of the sample, which can give an indefinite contribution to the intensity of the O1s peak.
It should be noted that the analyzed spectra in the main details and their energy positions coincide with the previously obtained spectra for the Bi2MTa2O9 (M-Co,Ni,Fe), Bi2MgTa2O9 pyrochlores [29,30,40,43]. Therefore, it is sufficient to present an analysis of the spectra for one composition at x = 0.5. The energy positions of the Bi2MgTa2O9 (1) and Bi2Mg0.5Fe0.5Ta2O9+Δ (2) XPS spectra features are given in Table 4.
Comparison of the observed features with chemical states was carried out on the basis of [47,48]. We note only some features of the newly obtained spectra. First of all, doping with iron ions does not significantly change the spectral characteristics of bismuth, tantalum and magnesium ions (Figure 6a–d). Consequently, the electronic state of these ions remains unchanged and corresponds to the ions Mg (II), Bi (III). In the Ta4f and Ta5p spectra of tantalum atoms, the energy position of the peaks has a characteristic shift towards lower energies compared to the binding energy in pentavalent tantalum oxide Ta2O5, which is characteristic in the case of a decrease in the effective positive charge. The energy shift ΔE in the Ta4f and Ta5p spectra is equal to 0.5 eV, and near the Ta5d edge—to ~1 eV. This suggests that tantalum atoms can have the identical effective charge smaller than five +(5-δ). Apparently, the observed shift is due to the substitution of tantalum positions with magnesium (II) and iron (III) ions with a lower effective charge. Since any change in the chemical environment of an element affects the spatial redistribution of the charge of its valence electrons, the binding energy of the electrons is consequently changed. The XPS Fe2p spectra of Bi2Mg0.5Fe0.5Ta2O9+Δ (Figure 6d) demonstrate two wide bands Fe2p1/2 and Fe2p3/2 and their satellites with a characteristic binding energy of 710.47 eV (Fe2p3/2), 724.06 eV (Fe2p1/2) (Table 4). The coincidence of the Bi2Mg0.5Fe0.5Ta2O9+Δ and Fe2O3 oxide spectra by the number and energy positions of the main peaks suggests that iron atoms have an effective charge of +3.
A similar conclusion about the charge state of Fe3+ iron atoms in Bi2Mg0.5Fe0.5Ta2O9+Δ follows from the analysis of NEXAFS Fe2p3/2 spectra of ceramics and iron oxides shown in Figure 7. In the spectrum there are two broad lines at 707.5 eV and 709 eV, which correlate well with the spectrum of iron in iron (III) oxide in terms of the energy position and shape of the lines. Iron-containing pyrochlore Bi2FeTa2O9.5 has a similar spectrum shape [29,43].
The state of iron (III) ions is confirmed by the data of the ESR spectrum of Bi2Fe0.5Mg0.5Ta2O9.5−Δ, in which there is an intense dipole-broadened band from Fe3+ ions, split into two components with g ~2.1 and 2.01 with widths of about 80 and 20 mT, respectively. Figure 8 shows for comparison two spectra normalized to one microwave and one gain. They are completely aligned. The spectrum of Bi2FeTa2O9.5 is naturally wider than the spectrum of iron in Bi2Fe0.5Mg0.5Ta2O9.5−Δ due to the iron content. The vertical line in the figure shows the position of the reference signal with g = 2.003.
The study of the nature of the local environment and the degree of oxidation of iron ions was carried out by the nuclear-gamma-resonance (NGR) method. The Mössbauer spectrum of the Bi2Mg0.5Fe0.5Ta2O9+Δ compound is shown in Figure 9, more precisely the paramagnetic part (−4–+4 mm/s) of the full spectrum. About 100% of the area of the spectrum paramagnetic part falls on a symmetrical Fe3+ doublet with a chemical shift IS ~0.144 ± 0.009 and a quadrupole splitting QS ~0.600 ± 0.014 mm/s.
According to the data of literature sources and X-ray spectroscopy, the doublet is associated with Fe3+ ions in regular axial octahedral positions Ta5+O6 + V[O2−] → Fe3+O6. This assumption does not contradict the results of studies of the NGR spectra of iron-containing compounds in which Fe (III) ions are in octahedral coordination [29,31,32,33,34,41]. In particular, for pyrochlore Bi2FeNbO7, the parameters of the Mössbaur spectrum of Fe (III) ions occupying octahedral B positions were determined: IS = 0.27 mm/s, QS = 0.66 mm/s [49]. For pyrochlores formed in the Bi–Fe–W–O system, the parameters of the Mössbaur spectrum for octahedral positions are IS = 0.38 mm/s, QS = 0.54 mm/s [31]. The Mössbaur spectrum of pyrochlore Bi1.8Fe0.2(FeSb)O7 exhibits two doublets with parameters IS = 0.38 mm/s, QS = 0.54 mm/s and IS = 0.32 mm/s, QS = 1.87 mm/s, assigned to Fe ions (III) in octahedral positions of antimony (90%) and 8-fold positions of bismuth (10%), respectively [32]. Our NGR data do not contradict the results of X-ray diffraction analysis on the presence of iron (III) ions in octahedral positions. The assumption that Fe (III) ions replace Bi (III) positions is not supported by the spectrum parameters. Otherwise, an asymmetric signal should appear in the spectrum, described by a doublet with a large quadrupole splitting [31,32,33], which contradicts our spectrum. It should be noted that the NGR spectrum of iron (III) in Bi2Mg0.5Fe0.5Ta2O9.5−Δ is similar to the spectrum of pyrochlore Bi2FeTa2O9.5, which does not contain magnesium ions [40]. For them, a signal is observed with practically the same quadrupole splitting QS = 0.575 ± 0.010 and 0.604 ± 0.034 mm/s and close chemical shift IS ~ 0.378 ± 0.005 and 0.365 ± 0.0020 for Bi2Mg0.5Fe0.5Ta2O9.5−Δ and Bi2FeTa2O9.5, respectively. The shift of the signal to strong fields can be associated with the greatest imperfection of the polyhedral environment of the Fe (III) ions in Bi2Mg0.5Fe0.5Ta2O9.5−Δ due to the heterogeneous replacement of Ta(V) ions by Mg (II) and Fe (III) ions.
Thus, according to near edge X-ray absorption fine structure (NEXAFS) and X-ray photoelectron spectroscopy (XPS) data, Mössbauer spectroscopy study and ESR, iron ions in solid solutions are in the charge state Fe (+3). The Mössbauer spectrum is represented by a symmetric doublet with parameters IS = 0.365(2) mm/s, QS = 0.60(3) mm/s, related to Fe3+ ions in regular axial octahedral positions.

3.3. Dielectric and Optical Properties

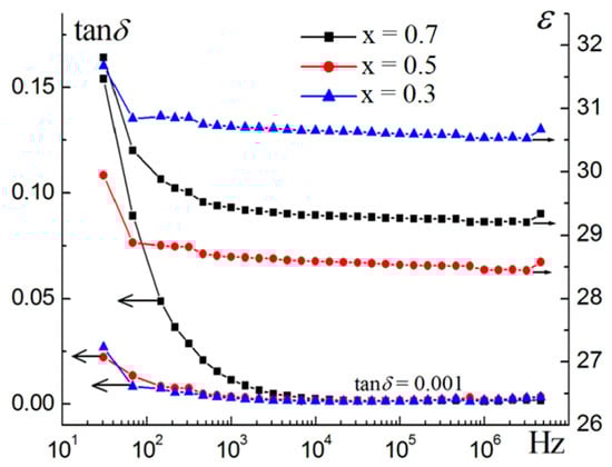
For samples of solid solutions Bi2MgxFe1−xTa2O9.5−Δ (x = 0.7, 0.5, 0.3) at room temperature, the electrical characteristics were studied—the permittivity and dielectric loss tangent in the frequency range 25 Hz–10 MHz (Figure 10) depending on the ratio magnesium/iron(III).
Measurements of the electrical properties at room temperature (20 °C) showed that the permittivity of the samples is practically independent of frequency and exhibits low values ε ≈ 28.5–30.5 (υ > 102 Hz). In the low-frequency range, the dielectric constant slightly increases by 1–2 units, reaching for x(Mg) = 0.3, values over 32 at 25 Hz. The dielectric loss tangent exhibits a similar course of dependence. Above 103 Hz, the loss tangent for all samples does not change and has low values of 0.001 (106 Hz). For samples x = 0.5 and 0.7, no noticeable frequency dependence is observed. The exception is the sample with x(Mg) = 0.3, which is characterized by a sharp increase in the dielectric loss tangent at low frequencies. This behavior may be related to the absorption of water by the sample and the tendency of Fe–doped bismuth tantalate pyrochlore [29] to conduct protons. For this reason, the permittivity of a sample with x(Mg) = 0.3 takes on intermediate values of ~29.2 between the values of ε ≈ 28.5 (x(Mg) = 0.5) and 30.5 (x(Mg) = 0.7). It should be noted that the permittivity of Fe,Mg-codoped bismuth tantalates is 1.5 times higher than for magnesium-containing pyrochlores of the same composition [29]. More precisely, for Bi2MgTa2O9 at room temperature and a frequency of 1 MHz, the permittivity and dielectric loss tangent are 20 and 2·10−3, respectively. As can be seen from the figure, the dielectric permittivity of the samples depends on the magnesium/iron ratio and takes on the higher values, the more magnesium (II) ions in the samples. This fact conditionally contradicts the concept of the influence of atomic polarizability (α (Mg (II)) = 1.32 Å3, α (Fe (III)) = 2.29 Å3) [25,29]. We have already stated earlier [29] that for polycrystalline materials the influence atomic polarizability on the permittivity secondarily. The grain boundary area has a significant influence on the permittivity. The larger the area, the higher the permittivity. This is achieved by the smaller ceramic grain size. It should be expected that the effect of atomic polarizability will be of paramount importance in the case of single crystals. Studying the microstructure Fe,Mg–codoped bismuth tantalate pyrochlore, we previously noted that an increase in the magnesium content leads to grain intergrowth and a decrease in porosity, a decrease in the area of grain boundaries. This explains why magnesium pyrochlores have an increased dielectric constant. It can be assumed that the dielectric constant, in addition to microstructure, the adsorbed o sample water, as observed for a sample with x(Mg) = 0.3. Apparently, the permittivity increases with increasing sample moisture. The dielectric loss tangent also depends on the ceramic microstructure. The value of the dielectric loss tangent is the lower, the smaller the grain size [29]. In general, the electrical properties of the sample are typical of dielectrics with medium permittivities and low dielectric losses. Having highly porous and fine-grained Fe,Mg–codoped bismuth tantalate pyrochlore ceramics, we investigated its optical properties. Diffuse reflectance spectra of Bi2MgxFe1−xTa2O9.5−Δ (x = 0.7, 0.5, 0.3) solid solution samples are shown in Figure 11.
The band gap (Eg) of the obtained materials for direct allowed electronic transitions was calculated from the data of the diffuse reflectance spectrum and is in the range of 2.28(5)–2.62(5) eV [49]. All studied samples have a yellow color, the intensity of which increases with an increase in the content of iron (III). This indicates a significant reflection of visible light in the yellow and longer wavelength region of the spectrum. All samples demonstrate a pronounced absorption peak at about 475 nm (~2.63 eV), indicating the presence of iron ions in the trivalent state (Fe3+) with distorted octahedral symmetry [36,37]. Calculations showed that the measured energies of direct allowed electronic transitions, which determine the edge of the absorption band of light quanta, are in the range of 2.28(5)–2.62(5) eV. In this case, with an increase in the iron content in the samples, the band gap decreases, which leads to the convergence of the VZ valence band and the conduction band. A similar effect of doping with iron on the band gap of pyrochlores in the systems Bi2O3–Fe2O3–TeO3, Bi-Fe-W-O was noted in [19,31]. The underestimated values of the band gap in the studied pyrochlores can be a consequence of the Stark effect, as well as the small grain sizes of ceramics. It is interesting to note that the band gap of the studied ceramics correlates with the energy of solar radiation reaching the Earth’s surface and having a maximum intensity (2.1–2.5 eV). In this regard, the obtained samples satisfy the condition for efficient conversion of solar energy into electrical energy and are promising as light-absorbing elements for solar batteries.

4. Conclusions

In the work, a continuous series of Bi2MgxFe1−xTa2O9.5−Δ solid solutions synthesized by the solid-phase method was characterized. It has been shown that in the case of insufficient homogenization of preparations during the synthesis, an admixture of bismuth orthotantalate appears. If the thermal stability of the samples is higher, the higher the content of iron ions is. Iron–magnesium pyrochlores are characterized by weak and uniform, isotropic expansion. The average value of TEC in the temperature range of 30–1050 °C is 6.4 × 10−6 °C−1. Solid solutions are characterized by a disordered pyrochlore structure (sp. gr. Fd 3 ¯ m:2, Z = 8), in which iron (III) and tantalum(V) ions share octahedral positions 16b, bismuth ions are displaced to 96g positions. The microstructure of the samples is porous, dendrite-type. According to X-ray spectroscopy, bismuth, tantalum and iron ions are in the charge state Bi (+3), Ta(+5-δ), Fe (+3). The Mössbauer spectrum is represented by a symmetric doublet with IS = 0.378 ± 0.005, QS = 0.575 ± 0.010 mm/s, associated with Fe3+ ions in regular axial octahedral positions of tantalum. The samples exhibit typical properties for dielectrics. The band gap of the studied ceramics (2.28(5)–2.62(5) eV) correlates with the energy of solar radiation reaching the Earth’s surface and having a maximum intensity.

Supplementary Materials

The following supporting information can be downloaded at: https://www.mdpi.com/article/10.3390/inorganics11010008/s1. Figure S1: XRD patterns of Bi2MgxFe1−xTa2O9.5−Δ at x = 1(1), 0.7 (2), 0.5 (3), 0.3 (4) with β-BiTaO4 impurity; Figure S2: XRD patterns of Bi2Mg0.7Fe0.3Ta2O9.5−Δ with β-BiTaO4 impurity; Figure S3: Microphotograph and EDS analysis of the Bi2MgxFe1−xTa2O9.5−Δ (x = 0.7, 0.5, 0.3); Figure S4: Microphotograph and EDS elemental mapping of the Bi2MgxFe1−xTa2O9.5−Δ (x = 0.7, 0.5, 0.3) samples, synthesized at temperatures 1050 °C. Table S1: Unit cell parameters of Bi2Mg0.5Fe0.5Ta2O9.5−Δ as a function of the temperature; Table S2: Thermal expansion coefficients (TECs) of Bi2Mg0.5Fe0.5Ta2O9.5−Δ as a function of the temperature.

Author Contributions

Conceptualization, N.A.Z.; methodology, N.A.Z., M.G.K., S.V.N.; formal analysis, D.V.S., V.V.K.; investigation, N.A.Z., M.G.K., A.V.K., V.G.S., A.A.S., A.M.L., V.P.L., B.A.M.; resources, M.G.K., A.V.K., V.G.S., A.A.S., A.M.L., V.P.L., B.A.M.; data curation, N.A.Z., M.G.K., V.G.S., V.P.L., S.V.N.; writing—original draft preparation, N.A.Z., S.V.N.; writing—review and editing, N.A.Z.; visualization, N.A.Z., M.G.K., V.G.S., A.A.S., V.P.L., S.V.N.; funding acquisition, S.V.N., D.V.S., V.V.K. All authors have read and agreed to the published version of the manuscript.

Funding

This research was funded by Russian Science Foundation grant number [17-79-30071]. The study was supported by the Ministry of Science and Higher Education of Russia under Agreement 075-15-2021-1351 in part of NEXAFS research.

Informed Consent Statement

Not applicable.

Data Availability Statement

Not applicable.

Acknowledgments

The authors thank the X-ray Diffraction Center SPSU for providing instrumental and computational resources. The XPS studies were performed on the equipment of the Resource Center “Physical methods of surface investigation” of the Scientific Park of St. Petersburg University.

Conflicts of Interest

The authors declare no conflict of interest.

References

  1. Murugesan, S.; Huda, M.N.; Yan, Y.; Al-Jassim, M.M.; Subramanian, V. Band-Engineered Bismuth Titanate Pyrochlores for Visible Light Photocatalysis. J. Phys. Chem. C 2010, 114, 10598–10605. [Google Scholar] [CrossRef]
  2. Khaw, C.C.; Tan, K.B.; Lee, C.K. High temperature dielectric properties of cubic bismuth zinc tantalate. Ceram. Intern. 2009, 35, 1473–1480. [Google Scholar] [CrossRef]
  3. Hiroi, Z.; Yamaura, J.-I.; Yonezawa, S.; Harima, H. Chemical trends of superconducting properties in pyrochlore oxides. Phys. C Supercond. Appl. 2007, 460–462, 20–27. [Google Scholar] [CrossRef]
  4. Bongers, P.F.; van Meurs, E.R. Ferromagnetism in Compounds with Pyrochlore Structure. J. Appl. Phys. 1967, 38, 944–945. [Google Scholar] [CrossRef]
  5. Greedan, J.E. Frustrated rare earth magnetism: Spin glasses, spin liquids and spin ices in pyrochlore oxides. J. Alloys Comp. 2006, 408–412, 444–455. [Google Scholar] [CrossRef]
  6. Subramanian, M.A.; Aravamudan, G.; Rao, G.V.S. Oxide pyrochlores—A review. Prog. Solid State Chem. 1983, 15, 55–143. [Google Scholar] [CrossRef]
  7. McCauley, R.A. Structural Characteristics of Pyrochlore Formation. J. Appl. Phys. 1980, 51, 290–294. [Google Scholar] [CrossRef]
  8. Pandey, J.; Shrivastava, V.; Nagarajan, R. Metastable Bi2Zr2O7 with Pyrochlore-like Structure: Stabilization, Oxygen Ion Conductivity, and Catalytic Properties. Inorg. Chem. 2018, 57, 13667–13678. [Google Scholar] [CrossRef]
  9. Miles, G.C.; West, A.R. Pyrochlore Phases in the System ZnO-Bi2O3-Sb2O5: I. Stoichiometries and Phase Equilibria. J. Am. Ceram. Soc. 2006, 89, 1042–1046. [Google Scholar] [CrossRef]
  10. Matteucci, F.; Cruciani, G.; Dondi, M.; Baldi, G.; Barzanti, A. Crystal structural and optical properties of Cr-doped Y2Ti2O7 and Y2Sn2O7 pyrochlores. Acta Mater. 2007, 55, 2229–2238. [Google Scholar] [CrossRef]
  11. Srihari, V.; Verma, A.K.; Pandey, K.K.; Vishwanadh, B.; Panchal, V.; Garg, N.; Errandonea, D. Making Yb2Hf2O7 Defect Fluorite Uncompressible by Particle Size Reduction. J. Phys. Chem. C 2021, 125, 27354–27362. [Google Scholar] [CrossRef]
  12. Du, H.; Yao, X. Structural trends and dielectric properties of Bi-based pyrochlores. J. Mater. Sci. Mater. Electron. 2004, 15, 613–616. [Google Scholar]
  13. Tan, K.B.; Lee, C.K.; Zainal, Z.; Khaw, C.C.; Tan, Y.P.; Shaari, H. Reaction study and phase formation in Bi2O3-ZnO-Nb2O5 ternary system. Pac. J. Sci. Technol. 2008, 9, 468–479. [Google Scholar]
  14. Hector, A.L.; Wiggin, S.B. Synthesis and structural study of stoichiometric Bi2Ti2O7 pyrochlore. J. Solid State Chem. 2004, 177, 139–145. [Google Scholar] [CrossRef]
  15. Huiling, D.; Xi, Y. Synthesis and dielectric properties development of new thermal stable bismuth pyrochlores. J. Phys. Chem. Solids. 2002, 63, 2123–2128. [Google Scholar] [CrossRef]
  16. Du, H.; Wang, H.; Yao, X. Observations on structural evolution and dielectric properties of oxygen-deficient pyrochlores. Ceram. Int. 2004, 30, 1383–1387. [Google Scholar] [CrossRef]
  17. Zhou, D.; Fan, X.Q.; Jin, X.W.; He, D.W.; Chen, G.H. Structures, Phase Transformations, and Dielectric Properties of BiTaO4 Ceramics. Inorg. Chem. 2016, 55, 11979–11986. [Google Scholar] [CrossRef]
  18. Vanderah, T.A.; Lufaso, M.W.; Adler, A.U.; Levin, I.; Nino, J.C.; Provenzano, V.; Schenck, P.K. Subsolidus phase equilibria and properties in the system Bi2O3:Mn2O3±x:Nb2O5. J. Sol. St. Chem. 2006, 179, 3467–3477. [Google Scholar] [CrossRef]
  19. Vanderah, T.A.; Siegrist, T.; Lufaso, M.W.; Yeager, M.C.; Roth, R.S.; Nino, J.C.; Yates, S. Phase Formation and Properties in the System Bi2O3:2CoO1+x:Nb2O5. Eur. J. Inorgan. Chem. 2006, 2006, 4908–4914. [Google Scholar] [CrossRef]
  20. Valant, M.; Babu, G.S.; Vrcon, M.; Kolodiazhnyi, T.; Axelsson, A.-K. Pyrochlore Range from Bi2O3–Fe2O3–TeO3 System for LTCC and Photocatalysis and the Crystal Structure of New Bi3(Fe0.56Te0.44)3O11. J. Am. Ceram. Soc. 2012, 95, 644–650. [Google Scholar] [CrossRef]
  21. Valant, M.; Suvorov, D. The Bi2O3-Nb2O5-NiO Phase Diagram. J. Am. Ceram. Soc. 2005, 88, 2540–2543. [Google Scholar] [CrossRef]
  22. Lufaso, M.W.; Vanderah, T.A.; Pazos, I.M.; Levin, I.; Roth, R.S.; Nino, J.C.; Provenzano, V.; Schenck, P.K. Phase formation, crystal chemistry, and properties in the system Bi2O3–Fe2O3–Nb2O5. J. Sol. St. Chem. 2006, 179, 3900–3910. [Google Scholar] [CrossRef]
  23. Egorysheva, A.V.; Ellert, O.G.; Maksimov, Y.V.; Volodin, V.D.; Efimov, N.N.; Novotortsev, V.M. Subsolidus phase equilibria and magnetic characterization of the pyrochlore in the Bi2O3–Fe2O3–Sb2Ox system. J. Alloys Compd. 2013, 579, 311–314. [Google Scholar] [CrossRef]
  24. Chon, M.P.; Tan, K.B.; Zainal, Z.; Taufiq-Yap, Y.H.; Tan, P.Y.; Khaw, C.C.; Chen, S.K. Synthesis and Electrical Properties of Zn-substituted Bismuth Copper Tantalate Pyrochlores. Intern. J. Appl. Ceram. Tech. 2016, 13, 718–725. [Google Scholar] [CrossRef]
  25. Jusoh, F.A.; Tan, K.B.; Zainal, Z.; Chen, S.K.; Khaw, C.C.; Lee, O.J. Novel pyrochlores in the Bi2O3-Fe2O3-Ta2O5 (BFT) ternary system: Synthesis, structural and electrical properties. J. Mater. Res. Techn. 2020, 9, 11022–11034. [Google Scholar] [CrossRef]
  26. Khaw, C.C.; Tan, K.B.; Lee, C.K.; West, A.R. Phase equilibria and electrical properties of pyrochlore and zirconolite phases in the Bi2O3–ZnO–Ta2O5 system. J. Eur. Ceram. Soc. 2012, 32, 671–680. [Google Scholar] [CrossRef]
  27. Chon, M.P.; Tan, K.B.; Khaw, C.C.; Zainal, Z.; Taufiq-Yap, Y.H.; Chen, S.K.; Tan, P.Y. Subsolidus phase equilibria and electrical properties of pyrochlores in the Bi2O3–CuO–Ta2O5 ternary system. J. Alloys Comp. 2016, 675, 116–127. [Google Scholar] [CrossRef]
  28. Kamiyama, T.; Oikawa, K.; Hoshikawa, A.; Kennedy, B.J.; Kubota, Y.; Kato, K. Static bismuth disorder in Bi2−x(CrTa)O7−y. Mater. Res. Bull. 2004, 39, 553–560. [Google Scholar]
  29. Zhuk, N.A.; Sekushin, N.A.; Semenov, V.G.; Fedorova, A.V.; Selyutin, A.A.; Krzhizhanovskaya, M.G.; Lutoev, V.P.; Makeev, B.A.; Kharton, V.V.; Sivkov, D.N.; et al. Dielectric properties, Mössbauer study, ESR spectra of Bi2FeTa2O9.5 with pyrochlore structure. J. Alloys Comps. 2022, 903, 163928. [Google Scholar] [CrossRef]
  30. Zhuk, N.A.; Krzhizhanovskaya, M.G.; Koroleva, A.V.; Nekipelov, S.V.; Sivkov, D.V.; Sivkov, V.N.; Lebedev, A.M.; Chumakov, R.G.; Makeev, B.A.; Kharton, V.V.; et al. Spectroscopic characterization of cobalt doped bismuth tantalate pyrochlore. Sol. St. Sci. 2022, 125, 106820. [Google Scholar] [CrossRef]
  31. Lomakin, M.S.; Proskurina, O.V.; Sergeev, A.A.; Buryanenko, I.V.; Semenov, V.G.; Voznesenskiy, S.S.; Gusarov, V.V. Crystal structure and optical properties of the Bi–Fe–W–O pyrochlore phase synthesized via a hydrothermal method. J. Alloys Compd. 2021, 889, 161598. [Google Scholar] [CrossRef]
  32. Matsuda, C.K.; Barco, R.; Sharma, P.; Biondo, V.; Paesano, A.; da Cunha, J.B.M.; Hallouche, B. Iron-containing pyrochlores: Structural and magnetic characterization. Hyperfine Interact. 2007, 175, 55–61. [Google Scholar] [CrossRef]
  33. Filoti, G.; Rosenberg, M.; Kuncser, V.; Seling, B.; Fries, T.; Spies, A.; KemmlerSack, S. Magnetic properties and cation distribution in iron containing pyrochlores. J. Alloys Comp. 1998, 268, 16–21. [Google Scholar] [CrossRef]
  34. Whitaker, M.J.; Marco, J.F.; Berry, F.J.; Raith, C.; Blackburn, E.; Greaves, C. Structural and magnetic characterisation of the pyrochlores Bi2−xFex(FeSb)O7, (x=0.1, 0.2, 0.3), Nd1.8Fe0.2(FeSb)O7 and Pr2(FeSb)O7. J. Solid St. Chem. 2013, 198, 316–322. [Google Scholar] [CrossRef]
  35. Jusoh, F.A.; Tan, K.B.; Zainal, Z.; Chen, S.K.; Khaw, C.C.; Lee, O.J. Investigation of structural and dielectric properties of subsolidus bismuth iron niobate pyrochlores. J. Asian Ceram. Soc. 2020, 8, 957–969. [Google Scholar] [CrossRef]
  36. Jusoh, F.A.; Tan, K.B.; Zainal, Z.; Chen, S.K.; Khaw, C.C.; Lee, O.J.; Balachandran, R.; Murthy, H.C.A. Novel pyrochlore-structured bismuth iron antimonates: Structural, impedance and electrochemical studies. Results Phys. 2021, 27, 104542. [Google Scholar] [CrossRef]
  37. Lebedev, A.M.; Menshikov, K.A.; Nazin, V.G.; Stankevich, V.G.; Tsetlin, M.B.; Chumakov, R.G. NanoPES Photoelectron Beamline of the Kurchatov Synchrotron Radiation Source. J. Surf. Investig. X-ray Synchrotron Neutron Tech. 2021, 15, 1039–1044. [Google Scholar] [CrossRef]
  38. Bruker, A.X.S. Topas 5.0. General Profile and Structure Analysis Software for Powder Diffraction Data; Bruker A.X.S.: Karlsruhe, Germany, 2014. [Google Scholar]
  39. Vegard, L. Die Konstitution der Mischkristalle und die Raumfüllung der Atome. Z. Phys. 1921, 5, 17–26. [Google Scholar] [CrossRef]
  40. Zhuk, N.A.; Krzhizhanovskaya, M.G. Thermal expansion of bismuth magnesium tantalate and niobate pyrochlores. Ceram. Int. 2021, 47, 30099–30105. [Google Scholar] [CrossRef]
  41. Zhuk, N.A.; Lutoev, V.P.; Lysyuk, A.Y.; Makeev, B.A.; Belyy, V.A.; Nekipelov, S.V.; Sivkov, V.N.; Koroleva, A.V.; Krzhizhanovskaya, M.G.; Beznosikov, D.S. Thermal behavior, magnetic properties, ESR, XPS, Mössbauer and NEXAFS study of Fe-doped CaCu3Ti4O12 ceramics. J. Alloys Compd. 2021, 855, 157400. [Google Scholar] [CrossRef]
  42. Zhuk, N.A.; Lutoev, V.P.; Belyy, V.A.; Makeev, B.A.; Beznosikov, D.S.; Nekipelov, S.V.; Yermolina, M.V. EPR and NEXAFS spectroscopy of BiNb1−xFexO4−δ ceramics. Phys. B Condensed Matter. 2019, 552, 142–146. [Google Scholar] [CrossRef]
  43. Zhuk, N.A.; Krzhizhanovskaya, M.G.; Koroleva, A.V.; Reveguk, A.A.; Sivkov, D.V.; Nekipelov, S.V. Thermal expansion, crystal structure, XPS and NEXAFS spectra of Fe-doped bismuth tantalate pyrochlore. Ceram. Intern. 2022, 48, 14849–14855. [Google Scholar] [CrossRef]
  44. Shukla, R.; Vasundhara, K.; Krishna, P.S.R.; Shinde, A.B.; Sali, S.K.; Kulkarni, N.K.; Achary, S.N.; Tyagi, A.K. High temperature structural and thermal expansion behavior of pyrochlore-type praseodymium zirconate. Intern. J. Hydrogen Energy. 2015, 40, 15672–15678. [Google Scholar] [CrossRef]
  45. Feng, J.; Xiao, B.; Zhou, R.; Pan, W. Thermal expansions of Ln2Zr2O7 (Ln = La, Nd, Sm, and Gd) pyrochlore. J. Appl. Phys. 2012, 111, 103535. [Google Scholar] [CrossRef]
  46. Raison, P.E.; Pavel, C.C.; Jardin, R.; Suard, E.; Haire, R.G.; Popa, K. Thermal expansion behavior of Ce2Zr2O7 up to 898 K in conjunction with structural analyses by neutron diffraction. Phys. Chem. Miner. 2010, 37, 555–559. [Google Scholar] [CrossRef]
  47. Khairallah, F.; Glisenti, A. XPS Study of MgO Nanopowders Obtained by Different Preparation Procedures. Surf. Sci. Spectra 2006, 13, 58–71. [Google Scholar] [CrossRef]
  48. Regan, T.J.; Ohldag, H.; Stamm, C.; Nolting, F.; Luning, J.; Stöhr, J.; White, R.L. Chemical effects at metal/oxide interfaces studied by x-ray-absorption spectroscopy. Phys. Rev. B 2001, 64, 214422. [Google Scholar] [CrossRef]
  49. Botella, P.; Errandonea, D.; Garg, A.B.; Rodriguez-Hernandez, P.; Muñoz, A.; Achary, S.N.; Vomiero, A. High-pressure characterization of the optical and electronic properties of InVO4, InNbO4, and InTaO4. SN. Appl. Sci. 2019, 1, 389. [Google Scholar]
Figure 1. XRD patterns and dependence of the unit cell parameter on the content of magnesium ions of Bi2MgxFe1−xTa2O9.5−Δ (x = 0.3, 0.5, 0.7).
Figure 1. XRD patterns and dependence of the unit cell parameter on the content of magnesium ions of Bi2MgxFe1−xTa2O9.5−Δ (x = 0.3, 0.5, 0.7).
Inorganics 11 00008 g001
Figure 2. Experimental (blue circles), calculated (solid red line) and difference (gray line) XRD patterns of Bi2Mg0.3Fe0.7Ta2O9.5−Δ.
Figure 2. Experimental (blue circles), calculated (solid red line) and difference (gray line) XRD patterns of Bi2Mg0.3Fe0.7Ta2O9.5−Δ.
Inorganics 11 00008 g002
Figure 3. Photographs of the Bi2MgxFe1−xTa2O9.5−Δ (x = 0, 0.3, 0.5, 0.7) ceramics.
Figure 3. Photographs of the Bi2MgxFe1−xTa2O9.5−Δ (x = 0, 0.3, 0.5, 0.7) ceramics.
Inorganics 11 00008 g003
Figure 4. SEM micrographs of the Bi2MgxFe1−xTa2O9.5−Δ ceramics at x = 0.7 (a), 0.5 (b), 0.3 (c).
Figure 4. SEM micrographs of the Bi2MgxFe1−xTa2O9.5−Δ ceramics at x = 0.7 (a), 0.5 (b), 0.3 (c).
Inorganics 11 00008 g004
Figure 5. Temperature dependences of unit cell parameter (a) and TECs (b) of the Bi2Mg0.5Fe0.5Ta2O9.5−Δ.
Figure 5. Temperature dependences of unit cell parameter (a) and TECs (b) of the Bi2Mg0.5Fe0.5Ta2O9.5−Δ.
Inorganics 11 00008 g005
Figure 6. Survey XPS spectra of Bi2MgTa2O9 and Bi2Mg0.5Fe0.5Ta2O9.5−Δ (a); Bi4f spectra (b). For comparison, the spectra of Bi2O3 are shown; XPS spectra of tantalum and bismuth atoms (c); Mg1s spectra (d); Ta4d spectra (e); Fe2p spectra of Bi2Mg0.5Fe0.5Ta2O9.5−Δ and of Fe2O3 (f).
Figure 6. Survey XPS spectra of Bi2MgTa2O9 and Bi2Mg0.5Fe0.5Ta2O9.5−Δ (a); Bi4f spectra (b). For comparison, the spectra of Bi2O3 are shown; XPS spectra of tantalum and bismuth atoms (c); Mg1s spectra (d); Ta4d spectra (e); Fe2p spectra of Bi2Mg0.5Fe0.5Ta2O9.5−Δ and of Fe2O3 (f).
Inorganics 11 00008 g006
Figure 7. NEXAFS Fe2p spectra of Bi2Mg0.5Fe0.5Ta2O9.5−Δ and iron oxides FeO and Fe2O3.
Figure 7. NEXAFS Fe2p spectra of Bi2Mg0.5Fe0.5Ta2O9.5−Δ and iron oxides FeO and Fe2O3.
Inorganics 11 00008 g007
Figure 8. ESR spectra of the Bi2Fe0.5Mg0.5Ta2O9.5−Δ and Bi2FeTa2O9.5. Reference sample line with g = 2.003.
Figure 8. ESR spectra of the Bi2Fe0.5Mg0.5Ta2O9.5−Δ and Bi2FeTa2O9.5. Reference sample line with g = 2.003.
Inorganics 11 00008 g008
Figure 9. 57Fe Mössbauer spectra of the Bi2Fe0.5Mg0.5Ta2O9.5−Δ in the paramagnetic region.
Figure 9. 57Fe Mössbauer spectra of the Bi2Fe0.5Mg0.5Ta2O9.5−Δ in the paramagnetic region.
Inorganics 11 00008 g009
Figure 10. Dependence of the dielectric permeability and the dielectric loss tangent on frequency for the Bi2MgxFe1−xTa2O9.5−Δ at 20 °C.
Figure 10. Dependence of the dielectric permeability and the dielectric loss tangent on frequency for the Bi2MgxFe1−xTa2O9.5−Δ at 20 °C.
Inorganics 11 00008 g010
Figure 11. Diffuse reflectance spectra of the Bi2MgxFe1−xTa2O9.5−Δ samples (a), Tauc curves for samples and their corresponding energies of direct allowed transitions (b).
Figure 11. Diffuse reflectance spectra of the Bi2MgxFe1−xTa2O9.5−Δ samples (a), Tauc curves for samples and their corresponding energies of direct allowed transitions (b).
Inorganics 11 00008 g011
Table 1. Parameters of atoms in the Bi2MgxFe1−xTa2O9.5−Δ (x = 0.5; 0.3).
Table 1. Parameters of atoms in the Bi2MgxFe1−xTa2O9.5−Δ (x = 0.5; 0.3).
x = 0.5
AtomWyckoff sitexyzSOFBiso, Å2
Bi96g0−0.02489(10)0.02489(10)0.1146(7)1.26(6)
Ta16b0.50000.50000.50000.67(6)0.60(3)
Fe16b0.50000.50000.50000.17(6)0.60(3)
Mg16b0.50000.50000.50000.16(6)0.60(3)
O148f0.12500.12500.4302(4)11.78(15)
O28a0.12500.12500.12500.56(3)1.78(15)
x = 0.3
AtomWyckoff sitexyzSOFBiso, Å2
Bi96g0−0.02516(8)0.02516(80)0.1125(4)0.94(5)
Ta16b0.50000.50000.50000.67(6)0.54(2)
Fe16b0.50000.50000.50000.22(6)0.54(2)
Mg16b0.50000.50000.50000.11(6)0.54(2)
O148f0.12500.12500.4317(3)11.72(12)
O28a0.12500.12500.12500.66(2)1.72(12)
Table 2. Crystallographic data of the Bi2MgxFe1−xTa2O9.5−Δ.
Table 2. Crystallographic data of the Bi2MgxFe1−xTa2O9.5−Δ.
Index xx = 0.5x = 0.3
a (Å)10.51036(3)10.49929(4)
α, β, γ (°)90, 90, 90
V3)1161.053(11)1157.389(12)
Dcalc (g/cm3)7.57(2)7.58(1)
RB0.630.67
Rwp
Rp
Rexp
GOF
3.16
2.26
2.16
1.46
3.68
2.71
2.14
1.72
Table 3. Selected bond lengths in the structure of Bi2MgxFe1−xTa2O9.5−Δ.
Table 3. Selected bond lengths in the structure of Bi2MgxFe1−xTa2O9.5−Δ.
Index xx = 0.5x = 0.3
BondLength (Å)Length (Å)
Bi1–O1 × 22.306(2)2.304(2)
–O1 × 22.344(4)2.350(3)
–O1 × 22.683(3)2.688(2)
–O2 × 22.983(4)2.987(3)
<Bi1VIII–O>2.582.58
Ta1–O1 × 61.9959(16)1.9898(12)
<Ta1VI–O>2.001.99
Table 4. Energy positions of the components of the XPS spectra of Bi2MgTa2O9 (1) and Bi2Mg0.5Fe0.5Ta2O9.5−Δ (2).
Table 4. Energy positions of the components of the XPS spectra of Bi2MgTa2O9 (1) and Bi2Mg0.5Fe0.5Ta2O9.5−Δ (2).
PeakEnergy (eV)
12
Bi4f7/2158.99159.03
Bi4f5/2164.31164.35
Bi5d5/225.8326.11
Bi5d3/228.8529.08
Ta4f7/225.3925.66
Ta4f5/227.2927.56
Ta4d5/2229.57229.78
Ta4d3/2241.32241.44
Mg1s1302.991303.19
Fe2p3/2710.47
Fe2p1/2724.06
Fe2p sat718.92
Fe2p sat733.10
Disclaimer/Publisher’s Note: The statements, opinions and data contained in all publications are solely those of the individual author(s) and contributor(s) and not of MDPI and/or the editor(s). MDPI and/or the editor(s) disclaim responsibility for any injury to people or property resulting from any ideas, methods, instructions or products referred to in the content.

Share and Cite

MDPI and ACS Style

Zhuk, N.A.; Krzhizhanovskaya, M.G.; Koroleva, A.V.; Semenov, V.G.; Selyutin, A.A.; Lebedev, A.M.; Nekipelov, S.V.; Sivkov, D.V.; Kharton, V.V.; Lutoev, V.P.; et al. Fe,Mg-Codoped Bismuth Tantalate Pyrochlores: Crystal Structure, Thermal Stability, Optical and Electrical Properties, XPS, NEXAFS, ESR, and 57Fe Mössbauer Spectroscopy Study. Inorganics 2023, 11, 8. https://doi.org/10.3390/inorganics11010008

AMA Style

Zhuk NA, Krzhizhanovskaya MG, Koroleva AV, Semenov VG, Selyutin AA, Lebedev AM, Nekipelov SV, Sivkov DV, Kharton VV, Lutoev VP, et al. Fe,Mg-Codoped Bismuth Tantalate Pyrochlores: Crystal Structure, Thermal Stability, Optical and Electrical Properties, XPS, NEXAFS, ESR, and 57Fe Mössbauer Spectroscopy Study. Inorganics. 2023; 11(1):8. https://doi.org/10.3390/inorganics11010008

Chicago/Turabian Style

Zhuk, N. A., M. G. Krzhizhanovskaya, A. V. Koroleva, V. G. Semenov, A. A. Selyutin, A. M. Lebedev, S. V. Nekipelov, D. V. Sivkov, V. V. Kharton, V. P. Lutoev, and et al. 2023. "Fe,Mg-Codoped Bismuth Tantalate Pyrochlores: Crystal Structure, Thermal Stability, Optical and Electrical Properties, XPS, NEXAFS, ESR, and 57Fe Mössbauer Spectroscopy Study" Inorganics 11, no. 1: 8. https://doi.org/10.3390/inorganics11010008

APA Style

Zhuk, N. A., Krzhizhanovskaya, M. G., Koroleva, A. V., Semenov, V. G., Selyutin, A. A., Lebedev, A. M., Nekipelov, S. V., Sivkov, D. V., Kharton, V. V., Lutoev, V. P., & Makeev, B. A. (2023). Fe,Mg-Codoped Bismuth Tantalate Pyrochlores: Crystal Structure, Thermal Stability, Optical and Electrical Properties, XPS, NEXAFS, ESR, and 57Fe Mössbauer Spectroscopy Study. Inorganics, 11(1), 8. https://doi.org/10.3390/inorganics11010008

Note that from the first issue of 2016, this journal uses article numbers instead of page numbers. See further details here.

Article Metrics

Back to TopTop