Research on Tunable SPR Sensors Based on WS2 and Graphene Hybrid Nanosheets
Abstract
:1. Introduction
2. Theory and Mathematical Analysis
2.1. Design Consideration
2.2. Mathematical Modeling for Reflectivity
2.3. Mathematical Modeling for Reflectivity
3. Results and Discussion
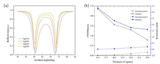
3.1. Impact of Metal Selection Optimization on Sensor Performance
3.2. Effect of Membrane Layer Structure on SPR Sensing Performance
3.3. WS2 and Graphene Layer Optimization
3.4. Detect Media Thickness Optimization
3.5. Performance Analysis and Model Comparison
4. Conclusions
Author Contributions
Funding
Institutional Review Board Statement
Informed Consent Statement
Data Availability Statement
Conflicts of Interest
References
- Cao, E.; Lin, W.; Sun, M.; Liang, W.; Song, Y. Exciton-plasmon coupling interactions: From principle to applications. Nanophotonics 2018, 7, 145–167. [Google Scholar] [CrossRef]
- Lan, G.; Liu, S.; Ma, Y.; Zhang, X.; Wang, Y.; Song, Y. Sensitivity and figure-of-merit enhancements of liquid-prism SPR sensor in the angular interrogation. Opt. Commun. 2010, 87, 1315–1318. [Google Scholar] [CrossRef]
- Wang, D.; Loo, J.F.C.; Lin, W.; Geng, Q.; Ngan, E.K.S.; Kong, S.K.; Yam, Y.; Chen, S.C.; Ho, H.P. Development of a sensitive DMD-based 2D SPR sensor array using single-point detection strategy for multiple aptamer screening. Sens. Actuators B Chem. 2020, 305, 127240. [Google Scholar] [CrossRef]
- Chiu, N.; Tai, M.J.; Nurrohman, D.T.; Lin, T.L.; Wang, Y.H.; Chen, C.Y. Immunoassay-amplified responses using a functionalized mos2-based spr biosensor to detect Papp-a2 in maternal serum samples to screen for fetal down’s syndrome. Int. J. Nanomed. 2021, 16, 2715–2733. [Google Scholar] [CrossRef] [PubMed]
- Mahmoudpour, M.; Dolatabadi, J.E.N.; Torbati, M.; Homayouni-Rad, A. Nanomaterials based surface plasmon resonance signal enhancement for detection of environmental pollutions. Biosens. Bioelectron. 2019, 127, 72–84. [Google Scholar] [CrossRef]
- Zhang, P.; Chen, Y.P.; Wang, W.; Shen, Y.; Guo, J.S. Surface plasmon resonance for water pollutant detection and water process analysis. TrAC Trends Anal. Chem. 2016, 85, 153–165. [Google Scholar] [CrossRef]
- Song, W.; Guo, X.; Sun, W.; Yin, W.; He, P.; Yang, X.; Zhang, X. Target-triggering multiple-cycle signal amplification strategy for ultrasensitive detection of DNA based on QCM and SPR. Anal. Biochem. 2018, 553, 57–61. [Google Scholar] [CrossRef]
- Li, S.; Xu, J.; Wang, S.; Xia, X.; Chen, L.; Chen, Z. Versatile metal graphitic nanocapsules for SERS bioanalysis. Chin. Chem. Lett. 2019, 30, 1581–1592. [Google Scholar] [CrossRef]
- Shan, Y.; Hu, G.; Grilli, M.L.; He, H.; Zhu, M.; Zhao, Y.; Shao, J. Measuring ultrathin metal coatings using SPR spectroscopic ellipsometry with a prism-dielectric-metal-liquid configuration. Opt. Express 2019, 27, 7912–7921. [Google Scholar] [CrossRef]
- Xue, T.; Qi, K.; Hu, C. Novel SPR sensing platform based on superstructure MoS2 nanosheets for ultrasensitive detection of mercury ion. Sens. Actuators B Chem. 2019, 284, 589–594. [Google Scholar] [CrossRef]
- Zhang, Z.; Wang, H.; Chen, Z.; Wang, X.; Choo, J.; Chen, L. Plasmonic colorimetric sensors based on etching and growth of noble metal nanoparticles: Strategies and applications. Biosens. Bioelectron. 2018, 114, 52–65. [Google Scholar] [CrossRef] [PubMed]
- Morisawa, H.; Ono, A.; Inami, W.; Kawata, Y. Hot–electron emission enhancement by deep UV surface plasmon resonance on an aluminum periodic disk–hole array. Opt. Mater. Express 2021, 11, 2278–2287. [Google Scholar] [CrossRef]
- Mishra, A.K.; Mishra, S.K.; Gupta, B.D. SPR based fiber optic sensor for refractive index sensing with enhanced detection accuracy and figure of merit in visible region. Opt. Commun. 2015, 344, 86–91. [Google Scholar] [CrossRef]
- Gong, P.; Li, X.; Zhou, X.; Zhang, Y.; Chen, N.; Wang, S.; Zhao, Y. Optical fiber sensors for glucose concentration measurement: A review. Opt. Laser Technol. 2021, 139, 106981. [Google Scholar] [CrossRef]
- Wang, Y.; Huang, Q.; Zhu, W.; Yang, M.; Lewis, E. Novel optical fiber SPR temperature sensor based on MMF-PCF-MMF structure and gold-PDMS film. Opt. Express 2018, 26, 1910–1917. [Google Scholar] [CrossRef]
- Zhou, J.; Yang, T.; Chen, J.; Wang, C.; Zhang, H.; Shao, Y. Two-dimensional nanomaterial-based plasmonic sensing applications: Advances and challenges. Coord. Chem. Rev. 2020, 410, 213218. [Google Scholar] [CrossRef]
- Karki, B.; Pal, A.; Singh, Y.; Sharma, S. Sensitivity enhancement of surface plasmon resonance sensor using 2D material barium titanate and black phosphorus over the bimetallic layer of Au, Ag, and Cu. Opt. Commun. 2022, 508, 127616. [Google Scholar] [CrossRef]
- Singh, S.; Sharma, A.K.; Lohia, P.; Dwivedi, D.K. Theoretical analysis of sensitivity enhancement of surface plasmon resonance biosensor with zinc oxide and blue phosphorus/MoS2 heterostructure. Optik 2021, 244, 167618. [Google Scholar] [CrossRef]
- Mostufa, S.; Paul, A.K.; Chakrabarti, K. Detection of hemoglobin in blood and urine glucose level samples using a graphene-coated SPR based biosensor. OSA Contin. 2021, 4, 2164–2176. [Google Scholar] [CrossRef]
- Ouyang, Q.; Zeng, S.; Jiang, L.; Hong, L.; Xu, G.; Dinh, X.Q.; Yong, K.T. Sensitivity enhancement of transition metal dichalcogenides/silicon nanostructure-based surface plasmon resonance biosensor. Sci. Rep. 2016, 6, 1–13. [Google Scholar] [CrossRef]
- Kumar, A.; Yadav, A.K.; Kushwaha, A.S.; Srivastava, S.K. A comparative study among WS2, MoS2 and graphene based surface plasmon resonance (SPR) sensor. Sens. Actuators Rep. 2020, 2, 100015. [Google Scholar] [CrossRef]
- Dey, B.; Islam, M.S.; Park, J. Numerical design of high-performance WS2/metal/WS2/graphene heterostructure based surface plasmon resonance refractive index sensor. Results Phys. 2021, 23, 104021. [Google Scholar] [CrossRef]
- Maharana, P.K.; Jha, R. Chalcogenide prism and graphene multilayer based surface plasmon resonance affinity biosensor for high performance. Sens. Actuators B Chem. 2012, 169, 161–166. [Google Scholar] [CrossRef]
- Pal, S.; Pal, N.; Prajapati, Y.K.; Saini, J.P. Performance evaluation of SPR biosensor using metamaterial over conventional SPR and graphene based SPR biosensor. In Proceedings of the 2018 5th International Conference on Signal Processing and Integrated Networks (SPIN), Noida, India, 22–23 February 2018; IEEE: Manhattan, NY, USA, 2018; Volume 24, pp. 696–701. [Google Scholar]
- Kumar, A.; Kumar, A.; Srivastava, S.K. A study on surface plasmon resonance biosensor for the detection of CEA biomarker using 2D materials graphene, Mxene and MoS2. Optik 2022, 258, 168885. [Google Scholar] [CrossRef]
- Pal, S.; Prajapati, Y.K.; Saini, J.P. Influence of graphene’s chemical potential on SPR biosensor using ZnO for DNA hybridization. Opt. Rev. 2020, 27, 57–64. [Google Scholar] [CrossRef]
- Pal, S.; Verma, A.; Raikwar, S.; Prajapati, Y.K.; Saini, J.P. Detection of DNA hybridization using graphene-coated black phosphorus surface plasmon resonance sensor. Appl. Phys. A 2018, 124, 1–11. [Google Scholar] [CrossRef]
- Lin, C.; Chen, S. Design of high-performance Au-Ag-dielectric-graphene based surface plasmon resonance biosensors using genetic algorithm. J. Appl. Phys. 2019, 125, 113101. [Google Scholar] [CrossRef]
- Prajapati, Y.K.; Srivastava, A. Effect of BlueP/MoS2 heterostructure and graphene layer on the performance parameter of SPR sensor: Theoretical insight. Superlattices Microstruct. 2019, 129, 152–162. [Google Scholar] [CrossRef]
- Jia, Y.; Li, Z.; Wang, H.; Cai, H. Sensitivity enhancement of a surface plasmon resonance sensor with platinum diselenide. Sensors 2019, 20, 131. [Google Scholar] [CrossRef] [Green Version]
- Gan, S.; Zhao, Y.; Dai, X.; Xiang, Y. Sensitivity enhancement of surface plasmon resonance sensors with 2D franckeite nanosheets. Results Phys. 2019, 13, 102320. [Google Scholar] [CrossRef]









| Material | Refractive Index (Real Part) | Refractive Index (Imaginary Part) | The Thickness of the Layer (nm) |
|---|---|---|---|
| BK7 | 1.5151 | 1.2122 × 10−8 × i | — |
| Ag | 0.056253 | 4.2760 × i | 40 |
| WS2 | 5.0777 | 0.43515 × i | W × 0.8 |
| Graphene | 2.4105 | — | G × 0.34 |
| Sensing medium | 1.330–1.370 | 200–500 | |
| S.N | Structure (Membrane Layer on One Side) | Sensitivity (deg/RIU) | FWHM (°) | DA (Degree−1) | FOM (RIU−1) |
|---|---|---|---|---|---|
| a | BK7-silver(Ag)-detection medium | 130.76 | 2.24 | 0.292 | 58.38 |
| b | BK7-silver(Ag)-graphene-detection medium | 148.64 | 2.39 | 0.311 | 62.19 |
| c | BK7-silver(Ag)-WS2-detection medium | 170.18 | 2.46 | 0.346 | 69.18 |
| d | BK7-silver(Ag)-WS2-graphene-detection medium | 186.06 | 2.49 | 0.373 | 74.72 |
| S.N | Structure (Membrane Layer on One Side) | Sensitivity (deg/RIU) | FWHM (°) | DA (Degree−1) | FOM (RIU−1) |
|---|---|---|---|---|---|
| a | BK7-Silver(Ag)-Detection medium | 138.82 | 2.16 | 0.321 | 64.27 |
| b | BK7-Silver(Ag)-Graphene-Detection medium | 152.82 | 2.24 | 0.341 | 68.22 |
| c | BK7-Silver(Ag)-WS2-Detection medium | 172.16 | 2.31 | 0.372 | 74.53 |
| d | BK7-Silver(Ag)-WS2-Graphene-Detection medium | 213.04 | 2.41 | 0.441 | 88.40 |
| SPR Sensor Structure | Wavelength (nm) | Sensitivity (deg/RIU−1) | FWHM (°) | QF (RIU−1) | Reference |
|---|---|---|---|---|---|
| Bk7 Prism/Ti/Ag/MoS2/graphene/BSA | 633 | 144.72 | 2.24 | 62.38 | [25] |
| SF10 Prism/Au/ZnO/graphene/sensing medium | 633 | 141.9 | 9.14 | 15.53 | [26] |
| SF-10 Glass/Au/BP/graphene/PBS solution | 633 | 125 | 9.17 | 13.62 | [27] |
| SF-11 Prism/Au/Ag/TiO2/graphene/sensing medium | 633 | 50–180 | 5.45 | 18.35 | [28] |
| BK7 Prism/Au/BlueP/MoS2 heterostructure/graphene/sensing medium | 633 | 204 | 11.10 | 18.37 | [29] |
| BK7 Prism/Ag/Au/PtSe2/sensing medium | 633 | 165 | 11.68 | 14.12 | [30] |
| BK7 Glass/Ag/franckeite/graphene/sensing medium | 633 | 196 | 4.86 | 40.29 | [31] |
| Symmetrical BK7 Prism/Ag/WS2/sensing medium | 632.8 | 224 | 2.31 | 96.97 | This Work |
Publisher’s Note: MDPI stays neutral with regard to jurisdictional claims in published maps and institutional affiliations. |
© 2022 by the authors. Licensee MDPI, Basel, Switzerland. This article is an open access article distributed under the terms and conditions of the Creative Commons Attribution (CC BY) license (https://creativecommons.org/licenses/by/4.0/).
Share and Cite
Wang, D.; Liu, J.; Yang, H.; Huang, B.; Zeng, G. Research on Tunable SPR Sensors Based on WS2 and Graphene Hybrid Nanosheets. Photonics 2022, 9, 490. https://doi.org/10.3390/photonics9070490
Wang D, Liu J, Yang H, Huang B, Zeng G. Research on Tunable SPR Sensors Based on WS2 and Graphene Hybrid Nanosheets. Photonics. 2022; 9(7):490. https://doi.org/10.3390/photonics9070490
Chicago/Turabian StyleWang, Di, Jin Liu, Haima Yang, Bo Huang, and Guohui Zeng. 2022. "Research on Tunable SPR Sensors Based on WS2 and Graphene Hybrid Nanosheets" Photonics 9, no. 7: 490. https://doi.org/10.3390/photonics9070490
APA StyleWang, D., Liu, J., Yang, H., Huang, B., & Zeng, G. (2022). Research on Tunable SPR Sensors Based on WS2 and Graphene Hybrid Nanosheets. Photonics, 9(7), 490. https://doi.org/10.3390/photonics9070490

