Abstract
The 1626 nm laser is an essential component for conducting superlattice research on the strontium atomic clock platform. The superlattice constructed with the 1626 nm and 813 nm lasers will facilitate cutting-edge quantum information research focused on topological quantum states transport. We demonstrate an idler-resonant optical parametric oscillator that achieves 1626 nm laser output based on pump enhancement technology. Through a well-designed external cavity, a laser output of 127 mW at 1626 nm has been achieved, with a corresponding pump quantum conversion efficiency of 50% and a pump threshold of 110 mW. The long-term power stability of the output laser is ±1.5% per hour. Variations in the pump cavity modes under different experimental conditions have been measured, and the impedance matching process of the pump light within the cavity has been discussed. The 1626 nm laser and the associated technologies reported in this manuscript will provide optical support for the investigation of superlattice physics on the strontium optical lattice clock platform.
1. Introduction
Topological quantum states transport is currently a focal area of research within the fields of condensed matter physics and quantum information science. In recent years, the topological Thouless pump has emerged as a key model for understanding quantum transport and topological invariants [1,2,3,4,5,6,7]. Significant research has been conducted on this model using various quantum simulation platforms, including photonic systems and ultracold atomic platforms. Notably, ultracold atomic systems, with their high controllability, tunable interaction strengths, and ability to simulate complex quantum potentials, have become particularly promising for exploring the physical mechanisms of the Thouless pump—yet the search for more precise, stable, and functionally versatile atomic platforms remains a critical goal to advance this research.
With the advancement of optical clock technology, optical lattice clocks are regarded as one of the most valuable types of optical clocks in the field of high-precision time and frequency research [8,9,10,11]. In 2005, Katori invented the strontium atomic optical lattice with a magic wavelength, corresponding to a lattice laser wavelength of 813.43 nm [12]. The strontium atomic clock platform not only serves as a source for generating high-precision time and frequency standards but also acts as an experimental platform for various cutting-edge fundamental research—importantly, it provides an ideal system for simulating the topological quantum states transport. Specifically, the superlattice or double-well potentials formed by combining 813 nm light with its doubled wavelength at 1626 nm on this strontium platform can be precisely tuned to mimic the periodic potential modulation required for the Thouless pump, enabling the observation and manipulation of topological quantum transport behaviors with remarkably high precision. Consequently, exploring such superlattice or double-well potentials on the strontium atomic clock platform represents a promising avenue for research in the coming years, bridging high-precision optical clock technology with topological quantum transport studies.
However, except for the 1626 nm Er-doped fiber laser developed in some laboratories, high performance and high power direct output 1626 nm lasers are not widely available. Fortunately, advances in laser technology have led to a high level of maturity, enabling the use of nonlinear frequency conversion techniques—such as Raman scattering [13], second harmonic generation [14], sum frequency generation [15] and optical parametric oscillation (OPO) [16,17,18,19]—to produce precisely tailored wavelengths. In recent years, Frequency Standard Company has developed a commercial 1626 nm laser using laser Raman technology, with output power reaching up to 5 W. On the other hand, the maturation of periodically poled crystal technology has enabled the use of infrared diode lasers as pump sources to generate 1626 nm light via OPO, offering a solution with lower technical requirements and greater ease of implementation. Additionally, as one of the most promising technologies in the field of nonlinear frequency conversion, OPO technology has been widely applied in the generation of near-infrared to mid-infrared lasers. Its core advantage lies in its ability to generate two longer-wavelength fields using a short-wavelength pump field, and it possesses characteristics such as a wide wavelength tuning range, narrow linewidth, high conversion efficiency, long service life, low power consumption, and easy operation, covering both continuous-wave and pulsed operating modes, which are highly consistent with the practical application requirements of 1626 nm lasers.
Considering the current development status and research achievements of OPO technology, the increasing maturity of periodically poled crystal technology provides crucial support for the generation of 1626 nm lasers based on OPO. Compared with the defects of traditional birefringent phase matching (BPM) crystals (such as KTiOPO4, KTiOAsO4, ZnGeP2, etc.), including large walk-off effects and low nonlinear coefficients, periodically poled crystals utilizing quasi-phase matching (QPM) technology (such as PPKTP, PPLT, PPLN, etc.) exhibit excellent characteristics such as large effective nonlinearity, large acceptance angles, lower walk-off effects, and strong resistance to photorefractive damage. They have been widely used in various near-infrared to mid-infrared OPO systems, significantly improving the conversion efficiency and beam quality of OPOs. Numerous studies have confirmed that OPOs based on periodically poled crystals can achieve wide-range wavelength tuning and stable output [20,21,22].
This manuscript describes a setup employing a 922 nm diode-based tapered amplifier continuous-wave laser as the pump source to drive an OPO in MgO:PPLN, producing narrow-linewidth laser output at 1626 nm with power above one hundred milliwatt. Based on pump enhancement techniques and a high finesse 2129 nm parametric oscillation cavity, we have successfully reduced the pump threshold of the OPO. Furthermore, high stability of the 1626 nm laser output is achieved through optimized OPO-focusing parameter design, reflected pump beam locking, and a highly stable temperature-controlled crystal oven.
In this study, a set of OPO systems based on MgO:PPLN crystals driven by a 922 nm diode tapered amplifier continuous-wave laser as the pump source was designed, ultimately achieving narrow-linewidth 1626 nm laser output with a power exceeding 100 mW. To further optimize the system performance, this study successfully reduced the pump threshold of the OPO by combining pump enhancement technology and a high-finesse 2129 nm parametric oscillation cavity—this improvement effectively addresses the pain point of excessively high oscillation thresholds of traditional singly resonant OPOs (SROs) (the threshold of traditional SROs can usually reach several watts or even more than 10 watts), realizing efficient energy conversion under low pump power. In addition, through the optimization of OPO focusing parameter design, the adoption of reflected pump beam locking technology, and a high-performance temperature-controlled crystal oven, this study ultimately achieved high stability of 1626 nm laser output, providing a reliable laser source support for the application of this wavelength laser in cutting-edge fields such as topological quantum simulation based on strontium atomic optical lattice clocks, while further expanding the application scope of OPO technology in the field of customized wavelength generation.
2. Experimental Setup
In this research, we employ an external cavity pump enhancement method [23,24,25,26,27,28] and a low-loss idler light oscillation scheme [29,30,31] to reduce the threshold of the OPO. The OPO cavity is designed as a symmetric four-mirror bow-tie structure, consisting of two flat mirrors and two concave mirrors, with the nonlinear crystal positioned between the two concave mirrors. The reflectivity of the mirrors for the idler light exceeds 99.5%, minimizing the linear losses in the cavity. Additionally, an MgO: PPLN crystal was utilized to enhance the gain for optical parametric generation, while the laser-focusing parameters within the crystal were set to be as close as possible to the optimal conversion efficiency values predicted by the B-K theory [32]. The dimensions of the MgO: PPLN crystal are 1 mm × 2 mm × 50 mm, with a poling period of 26.94 μm. By optimizing the cavity length, the intrinsic beam waists of both the pump and idler fields were rendered insensitive to cavity length variations, thereby enhancing the operational stability of the OPO. Based on this design, the total length of the four-mirror ring cavity was established at 625 mm. The waist radius of the pump beam within the crystal is 36 µm, while the corresponding waist radius of the oscillating idler light is 53 µm. The 1626 nm signal light is directly output and passes through a trichroic filter to eliminate residual pump and idler light leakage from the cavity.
Our 1626 nm laser setup is shown in Figure 1. The 922 nm pump laser is a diode laser, with a maximum output power of 450 mW after fiber coupling, and a linewidth in the order of hundreds of kHz. Rapid wavelength tuning can be achieved through scanning the PZT and current. The pump light is transformed through focusing lenses f1 (f = 150 mm) and f2 (f = 120 mm), ensuring that the laser beam waist coincides with the inherent pump light waist within the cavity. Flat mirrors M1, M2 and concave mirrors M3, M4 are combined to constitute the OPO cavity. Concave mirrors M3 (r = 100 mm) and M4 (r = 100 mm) were positioned at a distance of 50 mm from the two end faces of the MgO:PPLN crystal. All cavity mirrors were coated with the incident angle of 5°. The pump laser enters the OPO cavity through the flat mirror M1. Precise adjustment of two 45° mirrors enables a mode-matching efficiency between the pump beam and the OPO cavity exceeding 90%. Mirror M1 acts as the input coupling mirror for the pump light, reflecting 97% of the 922 nm laser while being highly reflective for the 2129 nm laser. Mirrors M2, M3, and M4 exhibit high reflectivity at 922 nm and 2129 nm, while remaining highly transmissive at 1626 nm. The two end faces of the MgO: PPLN crystal were anti-reflection coated for the pump, signal, and idler light. The MgO: PPLN crystal is housed in a copper TEC crystal oven, which maintains the temperature fluctuation of the crystal within ±0.02 °C. The maximum operating temperature of the oven is 56 °C. The crystal oven is placed on a three-dimensional translation stage, which allows for the adjustment of the crystal’s position along the optical axis, thereby reducing the impact of thermal lensing effects on mode matching [33,34]. When the pump light does not exceed the threshold, the round-trip loss of the cavity is estimated to be 0.35%. This estimation accounts for the reflectivity of the cavity mirrors at 922 nm (99.95%), the reflection loss from the coatings on the crystal surfaces (0.05%), and the absorption loss of the crystal at 922 nm (0.15%). Furthermore, under these conditions, the finesse, linewidth, and enhancement factors of the pump cavity are calculated to be 898 [35], 535 kHz, and 106 [36], respectively. As the pump power increases, the crystal’s nonlinear effects intensify, and the amplification factor of the 922 nm laser becomes related to impedance matching. M5 is a 45-degree trichroic filter that is highly reflective for both the 922 nm and 2129 nm wavelengths while being highly transmissive for the 1626 nm laser. F3 denotes a lens group used to collimate the 1626 nm laser output. With this lens configuration, the beam diameter is reduced to 1.2 mm. The entire optical system is placed on a separate optical platform, and the system and the platform are separated by a layer of foam padding to reduce the noise interference from the platform on the system. The OPO cavity is placed inside a custom soundproof enclosure, with the inner layer being a sound-absorbing sponge, which is used to suppress the disturbance of sound and airflow.
Figure 1.
Experimental setup. HVA, high voltage amplifier. PID, Proportional Integral Derivative. Lock-in, lock-in amplifier. f1–f3, lens. PD, photodiode. PZT, piezoelectric ceramic transducer. M1–M5, mirrors. λ/2, half wave plate.
Frequency locking between the pump light and the OPO cavity is implemented using a low-frequency modulation technique, where the frequency of the 922 nm laser is modulated at 29 kHz with an amplitude of 100 mV. The detector PD1 captures the reflectivity mode signal of the 922 nm laser from the OPO cavity, from which the error signal is derived through demodulation. Subsequently, the PID controller filters the error signal and outputs it to a high-voltage amplifier (HVA) that drives the piezoelectric ceramic (PZT) of the OPO cavity, completing the closed-loop locking process. To ensure the long-term stability of the OPO laser, an acoustic insulation and thermal protection cover isolates the OPO cavity from the external environment. PD2 is utilized for monitoring the transmission mode of the pump light.
3. Results
In the experiment, two identical photodiodes are employed to monitor the cavity mode signals of pump light transmitted and reflected from the cavity. When the pump power surpasses the threshold, oscillation of idler frequency light leads to an evident depletion of the intracavity pump light. As demonstrated in Figure 2, the transmitted cavity mode exhibits truncation at its upper portion. When the pump frequency approaches the intrinsic cavity resonance, the intracavity pump power increases, and the excess power above threshold is almost completely converted into parametric radiation, thereby limiting the transmitted pump power. As the pump frequency scans away from resonance, the intracavity pump power decreases and eventually drops below threshold, at which point the cavity mode returns to a Lorentzian profile.
Figure 2.
Transmission and reflection cavity modes in the OPO cavity.
Conversely, the reflected cavity mode does not exhibit a similar truncation effect, as indicated by the reflected cavity mode signal shown in Figure 2. This difference arises because the reflected cavity mode is the result of interference between the pump light that is reflected off the M1 mirror and the pump light that is transmitted out of the cavity [37]. This interference phenomenon is inherently linked to the losses within the cavity. In fact, a sudden change in the reflected signal also occurs once the pump light reaches the threshold. However, as the pump power increases, the nonlinear losses of the intracavity pump light also progressively rise, leading to interference with the reflected light while still manifesting Lorentzian profile near the resonance. In Figure 2, the periodic oscillation observed on the pump light cavity mode is attributed to low-frequency modulation effects. Here, coupling efficiency, U2/U1, as shown in Figure 2, is used to characterize the feature of reflective mode.
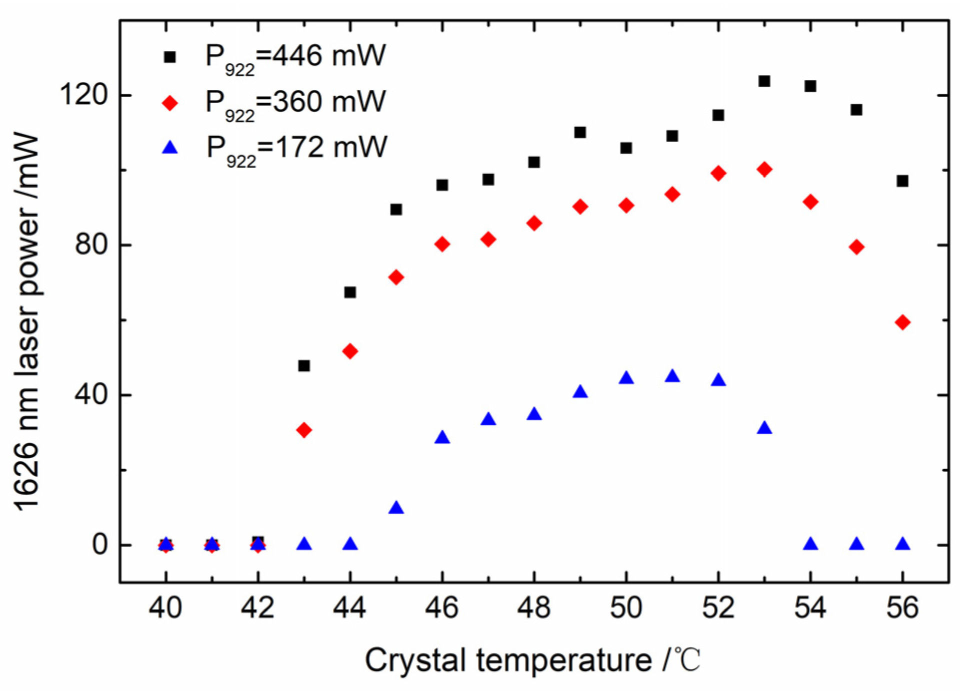
Firstly, we measured the relationship between the output power of the signal light at 1626 nm and the temperature of the crystal. The pump power was set to different levels, and the OPO cavity was locked to the pump laser. We adjusted the crystal temperature and measured the output power of the 1626 nm laser, obtaining the results presented in Figure 3. As the pump power increases, the operational range of the crystal expands, and the maximum output power of signal laser improves. Due to limitations imposed by the crystal oven, measurements were only performed up to 56.0 °C. The output power of the 1626 nm laser reaches its maximum when the crystal temperature is at 53.0 °C.
Figure 3.
The relationship between crystal temperature and output laser power under different pump powers.
At the crystal temperature of 53.0 °C, we measured the relationship between the incident pump power, the output power of the signal light, and the quantum (photon-number) conversion efficiency, defined as , where represents the incident power before the enhancement cavity. From Figure 4, it can be observed that when the pump light power reaches its maximum value, the output power of the 1626 nm laser is 127 mW. The quantum conversion efficiency achieved is 50%. Furthermore, the power fluctuations of the maximum output laser over a duration of 120 min were measured to be ±1.5% per hour.
Figure 4.
The relationship between 1626 nm output power and the quantum conversion efficiency of the pump laser and the incident pump power. The inset shows the power fluctuation of 1626 nm laser in 120 min.
For the transmitted cavity mode signal, under different pump power conditions, once the OPO reaches its threshold, the transmitted cavity mode signals are limited at the same level. In contrast, we assess the reflected cavity mode signal using coupling efficiency. It can be observed that the pump power and crystal temperature, which are associated with the nonlinear losses of the pump laser, impact the coupling efficiency. Although the coupling efficiency can reach its maximum at 50 °C, indicating that the pump light coupled into the OPO cavity is maximized, the output power of the laser at this temperature does not reach its peak, as shown in Figure 5. This discrepancy arises because the coupling efficiency of the pump light to the external cavity is related to impedance matching between the nonlinear losses, linear losses, and the reflectivity of the incident cavity mirrors, whereas the output laser power is mainly determined by nonlinear losses. Therefore, an ideal external cavity design should maximize both nonlinear losses and coupling efficiency. In this experiment, optimal impedance matching can be achieved by reducing the reflectivity of the incident cavity mirrors; however, this requires experiments with custom mirrors of various reflectivity.
Figure 5.
The influence of crystal temperature to cavity mode signal characteristics of pump laser at different input pump power: (a) influence of crystal temperature to transmission amplitude of pump laser; (b) influence of crystal temperature to reflection coupling efficiency of pump laser.
When the crystal temperature is set to 53 °C, the relationship between the coupling efficiency of the transmitted and reflected cavity modes and the pump power was measured, as shown in Figure 6. For the transmitted cavity mode, it is evident that once the pump light reaches the threshold, the growth rate of the transmitted cavity mode is significantly lower than the growth rate before the threshold. However, due to impedance mismatch, the gain of the cavity for the pump light gradually decreases, resulting in a slight upward trend in the transmitted cavity mode signal. In the case of the reflected cavity mode, when the pump power reaches 130 mW, the cavity and pump laser get impedance matched. The coupling efficiency begins to decline gradually, when the pump power increases continually, indicating that the nonlinear losses of the pump light within the cavity gradually lead to an over-coupling status.
Figure 6.
The influence of incident pump power to transmission amplitude and reflection coupling efficiency at crystal temperature of 53 °C.
4. Discussion
This manuscript presents an idler-resonant OPO, which utilizes a 50 mm-long PPLN crystal to convert pump light at 922 nm into idler light at 2129 nm and signal light at 1626 nm. By designing the OPO with a low threshold in conjunction with external cavity pumping enhancement technique, the pump threshold is reduced to 110 mW. Extracting error signals from the reflective cavity mode effectively allows obtaining stable laser locking. Finally, the output power of the 1626 nm laser can reach 127 mW, with a quantum conversion efficiency of 50% and power stability of ±1.5% per hour. The quantum conversion efficiency of the OPO lasers reported in [22,26] all exceeded 60% or more. By comparing the two, it can be seen that [22] adopted a Z-shaped cavity design, making the cavity easier to adjust and optimize, while [26] used an input coupling cavity mirror with 60% reflectivity, resulting in better impedance matching within the cavity. Our laser adopted an X-shaped ring-shaped cavity and a 97% reflectivity input coupling cavity mirror, and the obtained quantum conversion efficiency did not exceed 60%. Further optimization can be carried out based on the above design in the future. Meanwhile, the OPO lasers reported in [18,25] typically adopt a high-power and wide-bandwidth tuning design, and are mainly applied in fields such as spectroscopy analysis and optical communication. The threshold of these lasers usually exceeds 1 W. In contrast, our OPO laser achieves a lower threshold and higher stability. In terms of application, the laser we designed mainly focuses on the construction of superlattices in Sr optical lattice clocks, providing a low-threshold, high-efficiency and high-stability solution for advanced quantum simulation experiments.
The 1626 nm and 813 nm lasers can be used to construct a superlattice in a strontium atomic clock. However, it requires a tunable and stable relative phase between the 813 nm and 1626 nm lasers. Our setup allows for precise tuning of the 1626 nm laser wavelength through micro-adjustments of the crystal temperature or the pump light wavelength. Experimentally, phase locking can be accomplished using a Michelson interferometer [2] or by phase-locking two 813 nm lasers, one of which is derived from frequency doubling the 1626 nm laser [38]. Regardless of the method employed, feedback the beat frequency error signal to the 922 nm tunable pump laser enables phase locking.
A series of engineering enhancements, such as designing a stable integrated OPO bulk cavity, constructing integrating input and output coupling optical paths, and assembling integral cavity mode detection circuits, are anticipated to further improve the stability of the laser power output and frequency.
Author Contributions
Conceptualization, Y.L. and W.T.; methodology, Y.L.; data curation, C.H., G.Z., C.Z., J.X. and J.R.; writing—original draft preparation, Y.L.; writing—review and editing, W.T. and H.C. All authors have read and agreed to the published version of the manuscript.
Funding
This research was funded by the Innovation Program for Quantum Science and Technology (Grant No. 2021ZD0300902), the National Natural Science Foundation of China (Grant No. 62405327), the Key Research and Development Projects of Shaanxi Province (Grant No. 2025CY-YBXM-015), Natural Science Basic Research Program of Shaanxi (Program No. 2025JC-YBQN-054).
Data Availability Statement
Data are contained within the article. The experimental data are available from the corresponding author on request.
Conflicts of Interest
The authors declare no conflict of interest.
References
- Lohse, M.; Schweizer, C.; Zilberberg, O.; Aidelsburger, M.; Bloch, I. A Thouless quantum pump with ultracold bosonic atoms in an optical superlattice. Nat. Phys. 2016, 12, 350–354. [Google Scholar] [CrossRef]
- Nakajima, S.; Tomita, T.; Taie, S.; Ichinose, T.; Ozawa, H.; Wang, L.; Troyer, M.; Takahashi, Y. Topological Thouless pumping of ultracold fermions. Nat. Phys. 2016, 12, 296–300. [Google Scholar] [CrossRef]
- Jürgensen, M.; Mukherjee, S.; Rechtsman, M.C. Quantized nonlinear Thouless pumping. Nature 2021, 596, 63–67. [Google Scholar] [CrossRef]
- Walter, A.S.; Zhu, Z.J.; Gächter, M.; Minguzzi, J.; Roschinski, S.; Sandholzer, K.; Viebahn, K.; Esslinger, T. Quantization and its breakdown in a Hubbard–Thouless pump. Nat. Phys. 2023, 19, 1471–1475. [Google Scholar] [CrossRef]
- Liu, Y.; Zhang, Y.R.; Shi, Y.H.; Liu, T.; Lu, C.W.; Wang, Y.Y.; Li, H.; Li, T.M.; Deng, C.L.; Zhou, S.Y.; et al. Interplay between disorder and topology in Thouless pumping on a superconducting quantum processor. Nat. Commun. 2025, 16, 108. [Google Scholar] [CrossRef]
- Lu, H.-I.; Schemmer, M.; Aycock, L.M.; Genkina, D.; Sugawa, S.; Spielman, I.B. Geometrical Pumping with a Bose-Einstein Condensate. Phys. Rev. Lett. 2016, 116, 200402. [Google Scholar] [CrossRef]
- Nakajima, S.; Takei, N.; Sakuma, K.; Kuno, Y.; Marra, P.; Takahashi, Y. Competition and interplay between topology and quasi-periodic disorder in Thouless pumping of ultracold atoms. Nat. Phys. 2021, 17, 844–849. [Google Scholar] [CrossRef]
- Li, J.; Cui, X.Y.; Jia, Z.P.; Kong, D.Q.; Yu, H.W.; Zhu, X.Q.; Liu, X.Y.; Wang, D.Z.; Zhang, X.; Huang, X.Y.; et al. A strontium lattice clock with both stability and uncertainty below 5 × 10−18. Metrologia 2024, 61, 015006. [Google Scholar] [CrossRef]
- Lu, X.T.; Guo, F.; Liu, Y.Y.; Cao, J.; Li, J.A.; Xia, J.J.; Xu, Q.F.; Lu, B.Q.; Wang, Y.B.; Chang, H. NTSC SrII optical lattice clock with uncertainty of 2 × 10−18. Metrologia 2025, 62, 035007. [Google Scholar] [CrossRef]
- Nosske, I.; Vishwakarma, C.; Lücke, T.; Rahm, J.; Poudel, N.; Weyers, S.; Benkler, E.; Dörscher, S.; Lisdat, C. Transportable strontium lattice clock with 4×10−19 blackbody radiation shift uncertainty. Quantum Sci. Technol. 2025, 10, 045076. [Google Scholar] [CrossRef]
- Aeppli, A.; Kim, K.; Warfield, W.; Safronova, M.S.; Ye, J. Clock with 8×10−19 Systematic Uncertainty. Phys. Rev. Lett. 2024, 133, 023401. [Google Scholar] [CrossRef]
- Takamoto, M.; Hong, F.L.; Higashi, R.; Katori, H. An optical lattice clock. Nature 2005, 435, 321–324. [Google Scholar] [CrossRef]
- Lee, A.J.; Omatsu, T.; Pask, H.M. Direct generation of a first-Stokes vortex laser beam from a self-Raman laser. Opt. Express 2013, 21, 12401–12409. [Google Scholar] [CrossRef] [PubMed]
- Dholakia, K.; Simpson, N.B.; Padgett, M.J.; Allen, L. Second-harmonic generation and the orbital angular momentum of light. Phys. Rev. A 1996, 54, R3742–R3745. [Google Scholar] [CrossRef]
- Li, Y.; Zhou, Z.Y.; Ding, D.S.; Shi, B.S. Sum frequency generation with two orbital angular momentum carrying laser beams. J. Opt. Soc. Am. B 2015, 32, 407–411. [Google Scholar] [CrossRef]
- Baumgartner, R.; Byer, R. Optical parametric amplification. IEEE J. Quantum Electron. 1979, 15, 432–444. [Google Scholar] [CrossRef]
- Sujian, N.; Aierken, P.; Tuersun, P.; Ying, W.; Yusufu, T. Highly efficient millijoule-Level 3.5 µm MgO-doped periodically poled lithium niobate optical parametric oscillator. Jpn. J. Appl. Phys. 2017, 57, 010304. [Google Scholar] [CrossRef]
- Niu, S.; Aierken, P.; Ababaike, M.; Wang, S.; Yusufu, T. Widely tunable, high-energy, mid-infrared (2.2–4.8 µm) laser based on a multi-grating MgO:PPLN optical parametric oscillator. Infrared Phys. Technol. 2020, 104, 103121. [Google Scholar] [CrossRef]
- Zhu, H.; Guo, J.; Duan, Y.; Zhang, J.; Zhang, Y.; Xu, C.; Wang, H.; Fan, D. Efficient 1.7 µm light source based on KTA-OPO derived by Nd:YVO4 self-Raman laser. Opt. Lett. 2018, 43, 345–348. [Google Scholar] [CrossRef]
- Devi, K.; Padhye, A.; Sukeert; Ebrahim-Zadeh, M. Widely tunable room-temperature continuous-wave optical parametric oscillator based on periodically-poled KTiOPO4. Opt. Express 2019, 27, 24093–24104. [Google Scholar] [CrossRef]
- Lü, X.; Zhao, G.; Li, G.; Gao, Z.; Pan, S.; Zhu, S. Mid-infrared laser with 1.2 W output power based on PPLT. Sci. China Phys. Mech. Astron. 2010, 53, 638–642. [Google Scholar] [CrossRef]
- Aihemaiti, M.; Jashaner, D.; Yang, X.N.; Li, Z.X.; Yusufu, T. Near to mid-infrared (1.3–5 µm) widely tunable, high power picosecond pulsed laser. Appl. Sci. 2024, 14, 2383. [Google Scholar] [CrossRef]
- Stothard, D.J.M.; Lindsay, I.D.; Dunn, M.H. Continuous-wave pump-enhanced optical parametric oscillator with ring resonator for wide and continuous tuning of single-frequency radiation. Opt. Express 2004, 12, 502–511. [Google Scholar] [CrossRef]
- Müller, F.; Basum, G.V.; Popp, A.; Halmer, D.; Hering, P.; Mürtz, M.; Kühnemann, F.; Schiller, S. Long-term frequency stability and linewidth properties of continuous-wave pump-resonant optical parametric oscillators. Appl. Phys. B 2005, 80, 307–313. [Google Scholar] [CrossRef]
- Zhao, G.; Li, C.; Meng, J.; Liu, G.Y.; Zhao, Z.G. Pump-enhanced, continuous-wave, narrow linewidth optical parametric oscillator at 2.9–3.6 μm based on a fan-out PPLN. Opt. Commun. 2025, 577, 131473. [Google Scholar] [CrossRef]
- Zhao, G.; Tan, W.; Liu, G.Y.; Li, C.; Hu, Q.Y.; Guo, Q.X.; Zhao, Z.G.; Liu, Z.J. 1.8 W, high efficiency, pump-enhanced, narrow linewidth optical parametric oscillator at 3.8 µm. Opt. Express 2023, 31, 11156–11163. [Google Scholar] [CrossRef] [PubMed]
- Lindsay, I.D.; Petridis, C.; Dunn, M.H.; Ebrahimzadeh, M. Continuous-wave pump-enhanced singly resonant optical parametric oscillator pumped by an extended-cavity diode laser. Appl. Phys. Lett. 2001, 78, 871–873. [Google Scholar] [CrossRef]
- Lee, D.-H.; Klein, M.E.; Boller, K.-J. Intensity noise of pump-enhanced continuous-wave optical parametric oscillators. Appl. Phys. B 1998, 66, 747–753. [Google Scholar] [CrossRef]
- Lenhard, A.; Zaske, S.; L’huillier, J.A.; Becher, C. Stabilized diode laser pumped, idler-resonant cw optical parametric oscillator. Appl. Phys. B 2011, 102, 757–764. [Google Scholar] [CrossRef]
- Parsa, S.; Kumar, S.C.; Nandy, B.; Ebrahim-Zadeh, M. Yb-fiber-pumped, high-beam-quality, idler-resonant mid-infrared picosecond optical parametric oscillator. Opt. Express 2019, 27, 25436–25444. [Google Scholar] [CrossRef]
- Abulikemu, A.; Yakufu, S.; Zhou, Y.X.; Yusufu, T. Mid-infrared idler-resonant optical vortex parametric oscillator based on MgO:PPLN. Opt. Laser Technol. 2024, 171, 110341. [Google Scholar] [CrossRef]
- Boyd, G.D.; Kleinman, D.A. Parametric interaction of focused Gaussian light beams. J. Appl. Phys. 1968, 39, 3597–3639. [Google Scholar] [CrossRef]
- Tian, L.; Wang, Q.W.; Yao, W.X.; Li, Q.H.; Wang, Y.J.; Zheng, Y.H. Experimental realization of high-efficiency blue light at 426 nm by external frequency doubling resonator. Acta Phys. Sin. 2020, 69, 044201. [Google Scholar] [CrossRef]
- Chen, Y.X.; Zhao, G.D.; Tan, W.; Chang, H. 382 mW external-cavity frequency doubling 461 nm laser based on quasi-phase matching. Photonics 2024, 11, 40. [Google Scholar] [CrossRef]
- Ashkin, A.; Boyd, G.; Dziedzic, J. Resonant optical second harmonic generation and mixing. IEEE J. Quantum Electron 1966, 2, 109–124. [Google Scholar] [CrossRef]
- Kaneda, Y.; Kubota, S. Theoretical treatment, simulation, and experiments ofdoubly resonant sum-frequency mixing in an external resonator. Appl. Opt 1997, 36, 7766–7775. [Google Scholar] [CrossRef]
- Siegman, A.E. Nonlinear optical effects: An optical power limiter. Appl. Opt. 1962, 1, 739–744. [Google Scholar] [CrossRef]
- Fölling, S.; Trotzky, S.; Cheinet, P.; Feld, M.; Saers, R.; Widera, A.; Müller, T.; Bloch, I. Direct observation of second-order atom tunnelling. Nature 2007, 448, 1029–1032. [Google Scholar] [CrossRef] [PubMed]
Disclaimer/Publisher’s Note: The statements, opinions and data contained in all publications are solely those of the individual author(s) and contributor(s) and not of MDPI and/or the editor(s). MDPI and/or the editor(s) disclaim responsibility for any injury to people or property resulting from any ideas, methods, instructions or products referred to in the content. |
© 2026 by the authors. Licensee MDPI, Basel, Switzerland. This article is an open access article distributed under the terms and conditions of the Creative Commons Attribution (CC BY) license.





