16×1 Linear Vacuum Ultraviolet Photodetector Array Based on Hexagonal Boron Nitride Film
Abstract
1. Introduction
2. Experimental Section
2.1. Fabrication of hBN Films
2.2. Device Fabrication
2.3. Characterization
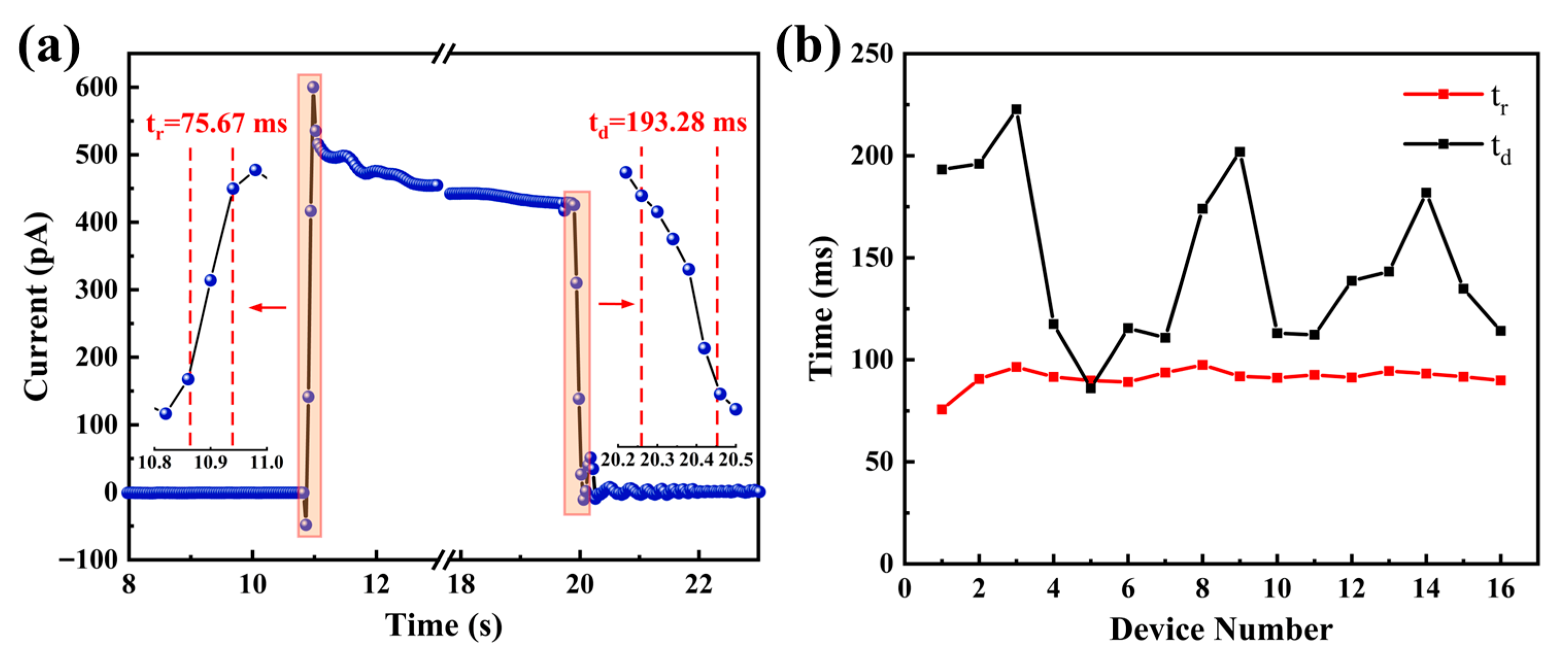
3. Results and Discussion
4. Conclusions
Author Contributions
Funding
Data Availability Statement
Acknowledgments
Conflicts of Interest
References
- Cruden, B.A. Spectrally and Spatially Resolved Radiance Measurement in High-Speed Shock Waves for Planetary Entry. IEEE Trans. Plasma Sci. 2011, 39, 2718–2719. [Google Scholar] [CrossRef]
- Shugarov, A.; Sachkov, M. Spektr–UF Mission Spectrograph Space Qualified CCD Detector Subsystem. Photonics 2023, 10, 1032. [Google Scholar] [CrossRef]
- Jia, L.; Zheng, W.; Huang, F. Vacuum-ultraviolet photodetectors. Photonix 2020, 1, 22. [Google Scholar] [CrossRef]
- Chini, M.; Wang, X.; Cheng, Y.; Wang, H.; Wu, Y.; Cunningham, E.; Li, P.-C.; Heslar, J.; Telnov, D.A.; Chu, S.-I.; et al. Coherent phase-matched VUV generation by field-controlled bound states. Nat. Photonics 2014, 8, 437–441. [Google Scholar] [CrossRef]
- Cooper, B.; Averbukh, V. Single-Photon Laser-Enabled Auger Spectroscopy for Measuring Attosecond Electron-Hole Dynamics. Phys. Rev. Lett. 2013, 111, 083004. [Google Scholar] [CrossRef]
- Zhang, C.; Ooi, T.; Higgins, J.S.; Doyle, J.F.; von der Wense, L.; Beeks, K.; Leitner, A.; Kazakov, G.A.; Li, P.; Thirolf, P.G.; et al. Frequency ratio of the 229mTh nuclear isomeric transition and the 87Sr atomic clock. Nature 2024, 633, 63–70. [Google Scholar] [CrossRef]
- Chaudhuri, S.K.; Nag, R.; Mandal, K.C. Self-Biased Mo/n-4H-SiC Schottky Barriers as High-Performance Ultraviolet Photodetectors. IEEE Electr. Device Lett. 2023, 44, 733–736. [Google Scholar] [CrossRef]
- Li, J.; Xi, X.; Li, X.; Lin, S.; Ma, Z.; Xiu, H.; Zhao, L. Ultra-High and Fast Ultraviolet Response Photodetectors Based on Lateral Porous GaN/Ag Nanowires Composite Nanostructure. Adv. Opt. Mater. 2020, 8, 1902162. [Google Scholar] [CrossRef]
- Benedetto, L.D.; Licciardo, G.D.; Erlbacher, T.; Bauer, A.J.; Rubino, A. A 4H-SiC UV Phototransistor With Excellent Optical Gain Based on Controlled Potential Barrier. IEEE Trans. Electron. Dev. 2020, 67, 154–159. [Google Scholar] [CrossRef]
- Balducci, A.; Marinelli, M.; Milani, E.; Morgada, M.E.; Tucciarone, A.; Verona-Rinati, G.; Angelone, M.; Pillon, M. Extreme ultraviolet single-crystal diamond detectors by chemical vapor deposition. Appl. Phys. Lett. 2005, 86, 193509. [Google Scholar] [CrossRef]
- Jia, L.; Zhu, S.; Zhang, N.; Lin, Z.; Cai, W.; Cheng, L.; Lu, X.; Zheng, W. Ultrafast Diamond Photodiodes for Vacuum Ultraviolet Imaging in Space-Based Applications. Adv. Opt. Mater. 2025, 13, 2402601. [Google Scholar] [CrossRef]
- Zheng, W.; Lin, R.; Zhu, Y.; Zhang, Z.; Ji, X.; Huang, F. Vacuum Ultraviolet Photodetection in Two-Dimensional Oxides. Acs Appl. Mater. Inter. 2018, 10, 20696–20702. [Google Scholar] [CrossRef] [PubMed]
- Xin, L.; Liu, K.; Zhu, Y.; Yang, J.; Cheng, Z.; Chen, X.; Li, B.; Liu, L.; Shen, D. MBE-Grown MgO Thin Film Vacuum Ultraviolet Photodetector With Record High Responsivity of 3.2 A/W Operating at 400 °C. IEEE Electr. Device Lett. 2024, 45, 913–916. [Google Scholar] [CrossRef]
- BenMoussa, A.; Hochedez, J.F.; Dahal, R.; Li, J.; Lin, J.Y.; Jiang, H.X.; Soltani, A.; De Jaeger, J.-C.; Kroth, U.; Richter, M. Characterization of AlN metal-semiconductor-metal diodes in the spectral range of 44–360 nm: Photoemission assessments. Appl. Phys. Lett. 2008, 92, 022108. [Google Scholar] [CrossRef]
- Lin, Z.; Wang, Z.; Zhang, N.; Zhu, S.; Zheng, W. 193 nm immersion photodetector with an ultra-high EQE of 83.7%. Nano Today 2024, 56, 102281. [Google Scholar] [CrossRef]
- Zheng, W.; Lin, R.; Zhang, Z.; Huang, F. Vacuum-Ultraviolet Photodetection in Few-Layered h-BN. Acs Appl. Mater. Inter. 2018, 10, 27116–27123. [Google Scholar] [CrossRef]
- Zhang, Q.; Li, Q.; Chen, R.; Zhang, M.; Fang, W.; Li, J.; Wang, M.; Yun, F.; Wang, T.; Hao, Y. Large-Area Self-Assembled Hexagonal Boron Nitride Nanosheet Films for Ultralow Dark Current Vacuum-Ultraviolet Photodetectors. Adv. Funct. Mater. 2024, 34, 2315149. [Google Scholar] [CrossRef]
- Lin, Z.; Zhang, L.; Zhu, S.; Wang, Z.; Zhang, N.; Wei, X.; Zhang, X.; Zheng, W. Cubic boron nitride Schottky diode for vacuum ultraviolet photodetection. Eur. Phys. J. Spec. Top. 2025, 234, 403–408. [Google Scholar] [CrossRef]
- Liu, X.; Wu, T.; Zhao, J.; Zhu, J.; Chen, X.; Yu, H.; Gao, Y.; Zhou, J.; Chen, Z. High-Sensitivity Amorphous Boron Nitride Vacuum Ultraviolet Photodetectors. IEEE Electr. Device Lett. 2025, 46, 76–79. [Google Scholar] [CrossRef]
- Zhang, K.; Feng, Y.; Wang, F.; Yang, Z.; Wang, J. Two dimensional hexagonal boron nitride (2D-hBN): Synthesis, properties and applications. J. Mater. Chem. C 2017, 5, 11992–12022. [Google Scholar] [CrossRef]
- Caldwell, J.D.; Aharonovich, I.; Cassabois, G.; Edgar, J.H.; Gil, B.; Basov, D.N. Photonics with hexagonal boron nitride. Nat. Rev. Mater. 2019, 4, 552–567. [Google Scholar] [CrossRef]
- Chen, L.; Ma, H.; Liu, C.; Wang, D.; Han, Z.; Tai, J.; Liang, H.; Yin, H. Covalent Heteroepitaxy of Large-Area Vertical Hexagonal Boron Nitride for High-Temperature VUV Photodetectors. Laser Photonics Rev. 2024, 18, 2400304. [Google Scholar] [CrossRef]
- Zhang, Y.; Zhao, J.; Wu, Z.; Zhang, H.; Xu, R.; Xu, S.; Liu, B.; Zhuang, Z.; Tao, T.; Pan, J.; et al. Easy-peeling growth of triangular hBN flakes and their demonstration in vacuum ultraviolet photodetectors. J. Mater. Chem. C 2025, 13, 17270–17277. [Google Scholar] [CrossRef]
- Liu, X.; Ji, X.; Wu, T.; Yu, H.; Zhao, J.; Chen, X.; Zhou, J.; Chen, Z. Plasmon-Enhanced Hexagonal Boron Nitride Vacuum Ultraviolet Photodetector With Aluminium Nanoprism Array. IEEE Electr. Device Lett. 2025, 46, 1155–1158. [Google Scholar] [CrossRef]
- Kubota, Y.; Watanabe, K.; Tsuda, O.; Taniguchi, T. Deep Ultraviolet Light-Emitting Hexagonal Boron Nitride Synthesized at Atmospheric Pressure. Science 2007, 317, 932–934. [Google Scholar] [CrossRef]
- Chen, R.; Li, Q.; Zhang, Q.; Li, J.; Zhang, Z.; Fang, W.; Wang, L.; Yun, F.; Wang, T.; Hao, Y. High-Crystallinity and High-Temperature Stability of the Hexagonal Boron Nitride Film Grown on Sapphire. Cryst. Growth Des. 2023, 23, 8783–8792. [Google Scholar] [CrossRef]
- Oh, S.; Mastro, M.A.; Tadjer, M.J.; Kim, J. Solar-Blind Metal-Semiconductor-Metal Photodetectors Based on an Exfoliated β-Ga2O3 Micro-Flake. ECS J. Solid. State Sc. 2017, 6, Q79. [Google Scholar] [CrossRef]






Disclaimer/Publisher’s Note: The statements, opinions and data contained in all publications are solely those of the individual author(s) and contributor(s) and not of MDPI and/or the editor(s). MDPI and/or the editor(s) disclaim responsibility for any injury to people or property resulting from any ideas, methods, instructions or products referred to in the content. |
© 2025 by the authors. Licensee MDPI, Basel, Switzerland. This article is an open access article distributed under the terms and conditions of the Creative Commons Attribution (CC BY) license (https://creativecommons.org/licenses/by/4.0/).
Share and Cite
Fang, W.; Li, Q.; Chen, Y.; Liu, H.; Li, J.; Lin, Z.; Zhou, X.; Liu, A.; Yun, F.; Wang, T. 16×1 Linear Vacuum Ultraviolet Photodetector Array Based on Hexagonal Boron Nitride Film. Photonics 2025, 12, 1216. https://doi.org/10.3390/photonics12121216
Fang W, Li Q, Chen Y, Liu H, Li J, Lin Z, Zhou X, Liu A, Yun F, Wang T. 16×1 Linear Vacuum Ultraviolet Photodetector Array Based on Hexagonal Boron Nitride Film. Photonics. 2025; 12(12):1216. https://doi.org/10.3390/photonics12121216
Chicago/Turabian StyleFang, Wannian, Qiang Li, Youwei Chen, Haifeng Liu, Jiaxing Li, Ziyan Lin, Xinze Zhou, Ao Liu, Feng Yun, and Tao Wang. 2025. "16×1 Linear Vacuum Ultraviolet Photodetector Array Based on Hexagonal Boron Nitride Film" Photonics 12, no. 12: 1216. https://doi.org/10.3390/photonics12121216
APA StyleFang, W., Li, Q., Chen, Y., Liu, H., Li, J., Lin, Z., Zhou, X., Liu, A., Yun, F., & Wang, T. (2025). 16×1 Linear Vacuum Ultraviolet Photodetector Array Based on Hexagonal Boron Nitride Film. Photonics, 12(12), 1216. https://doi.org/10.3390/photonics12121216

