Enhanced Optical Wireless Communications via Deep Neural Network Assisted Pre-Equalization for Faster-than-Nyquist Transmission
Abstract
1. Introduction
2. System Model
3. Pre-Equalization Algorithm
3.1. Proposed DNN-Assisted Pre-Equalization Algorithm
3.2. The Process of Training and Application
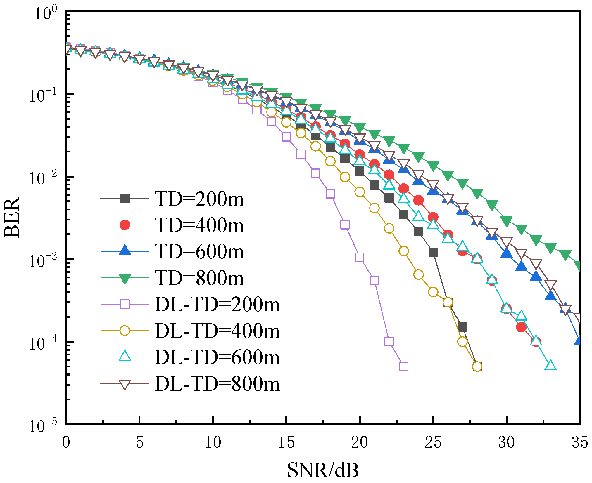
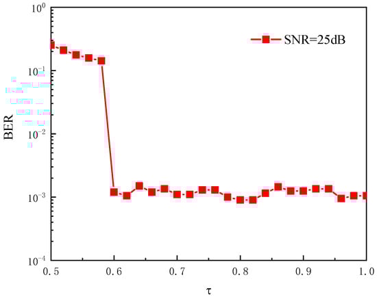
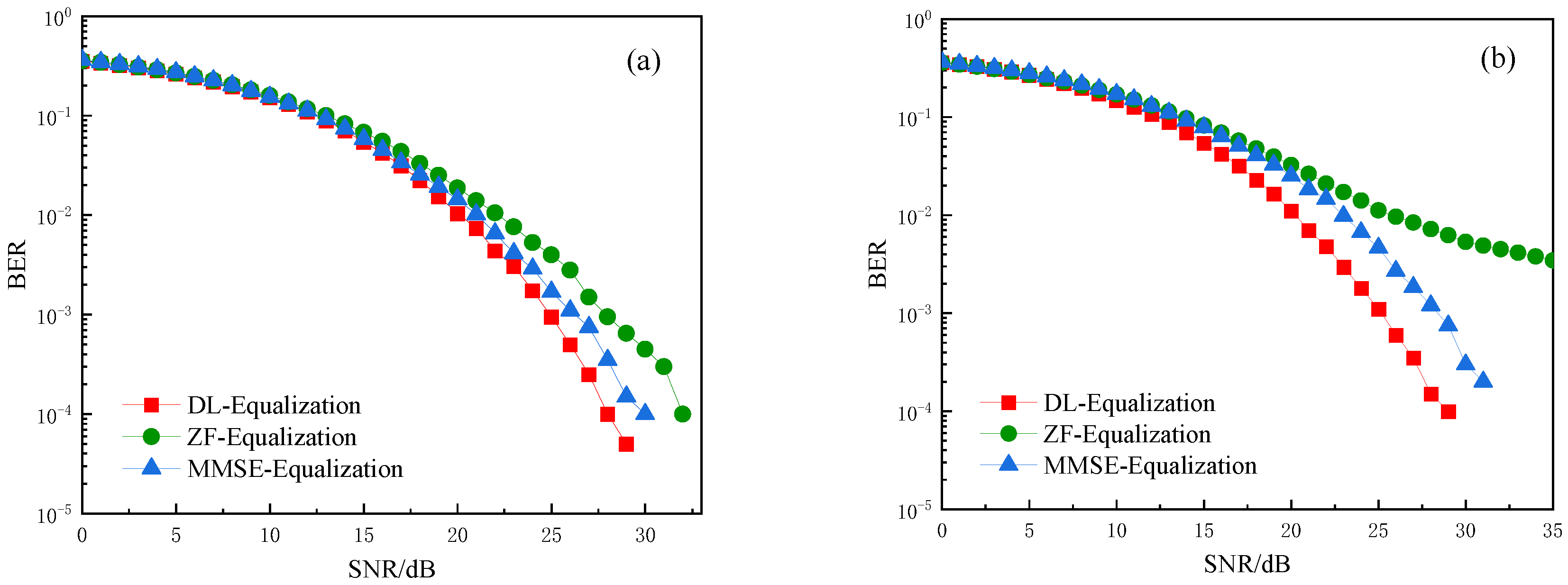
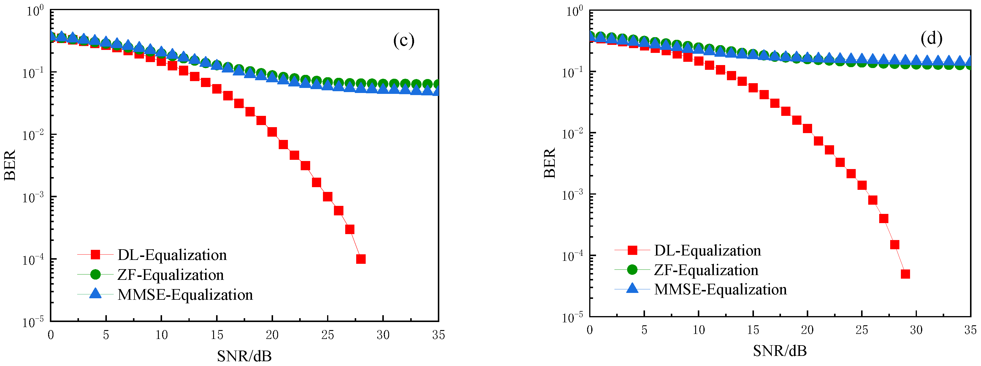
4. Simulation and Analysis
5. Conclusions
Author Contributions
Funding
Institutional Review Board Statement
Informed Consent Statement
Data Availability Statement
Acknowledgments
Conflicts of Interest
References
- Saiyyed, R.; Sindhwani, M.; Ambudkar, B.; Sachdeva, S.; Kumar, A.; Shukla, M.K. Free space optical communication system: A review of practical constraints, applications, and challenges. J. Opt. Commun. 2025, 46, 357–363. [Google Scholar] [CrossRef]
- Chow, C.W. Recent advances and future perspectives in optical wireless communication, free space optical communication and sensing for 6G. J. Light. Technol. 2024, 42, 3972–3980. [Google Scholar] [CrossRef]
- Wang, H.; Zhang, Z.; Zhu, B.; Dang, J.; Wu, L. Optical Reconfigurable Intelligent Surfaces Aided Optical Wireless Communications: Opportunities, Challenges, And Trends. IEEE Wirel. Commun. 2023, 30, 28–35. [Google Scholar] [CrossRef]
- Mazo, J.E. Faster-than-Nyquist signaling. Bell Syst. Tech. J. 1975, 54, 1451–1462. [Google Scholar] [CrossRef]
- Choi, S.G.; Seo, S.H.; Yu, J.H.; Choi, Y.J.; Tong, K.C.; Choi, M.H.; Jung, Y.G.; Baek, M.S.; Song, H.K. A Transformer-Based Approach for Joint Interference Cancellation and Signal Detection in FTN-RIS MIMO Systems. Mathematics 2025, 13, 2699. [Google Scholar] [CrossRef]
- Cao, M.; Yang, Q.; Zhou, G.; Zhang, Y.; Zhang, X.; Wang, H. A Hybrid Network Integrating MHSA and 1D CNN–Bi-LSTM for Interference Mitigation in Faster-than-Nyquist MIMO Optical Wireless Communications. Photonics 2024, 11, 982. [Google Scholar] [CrossRef]
- Peng, S.; Liu, A.; Liu, X.; Wang, K.; Liang, X. MMSE Turbo Equalization and Detection for Multicarrier Faster-Than-Nyquist Signaling. IEEE Trans. Veh. Technol. 2018, 67, 2267–2275. [Google Scholar] [CrossRef]
- Li, L.; Fan, X.; Gong, H.; Wang, Y.; Wang, L. Intelligent Equalization Based on RBF LSSVM and Adaptive Channel Decoding in Faster-than-Nyquist Receiver. Int. J. Pattern Recognit. Artif. Intell. 2021, 35, 2158005. [Google Scholar] [CrossRef]
- Jaffal, Y.; Alvarado, A. Pulses with Minimum Residual Intersymbol Interference for Faster Than Nyquist Signaling. IEEE Commun. Lett. 2022, 26, 2670–2674. [Google Scholar] [CrossRef]
- Cao, M.; Zhang, W.; Wang, H.; Lü, J. Point⁃by⁃Point Elimination Adaptive Pre⁃Equalization Algorithm in Faster⁃than⁃Nyquist Wireless Optical Communications. Acta Opt. Sin. 2020, 40, 2406003. [Google Scholar]
- Jana, M.; Medra, A.; Lampe, L.; Mitra, J. Pre-Equalized Faster-Than-Nyquist Transmission. IEEE Trans. Commun. 2017, 65, 4406–4418. [Google Scholar] [CrossRef]
- Wen, S.; Liu, G.; Liu, C.; Qu, H.; Zhang, L.; Imran, M.A. Joint Precoding and Pre-Equalization for Faster-Than-Nyquist Transmission Over Multipath Fading Channels. IEEE Trans. Veh. Technol. 2022, 71, 3948–3963. [Google Scholar] [CrossRef]
- Lee, H.; Lee, S.H.; Quek, T.Q.; Lee, I. Deep learning framework for wireless systems: Applications to optical wireless communications. IEEE Commun. Mag. 2019, 57, 35–41. [Google Scholar] [CrossRef]
- Anwar, A.S.; Bhowmik, S.K.; Kadir, R.B.; Haque, M.U.; Rahman, S. Challenges in Implementing Machine Learning-Driven IoT Solutions in Semiconductor Design and Wireless Communication System. Int. J. Recent Innov. Trends Comput. Commun. 2024, 12, 872–889. [Google Scholar]
- Naeem, M.; De Pietro, G.; Coronato, A. Application of Reinforcement Learning and Deep Learning in Multiple-Input and Multiple-Output (MIMO) System. Sensors 2022, 22, 309. [Google Scholar] [CrossRef] [PubMed]
- Lv, C.; Luo, Z. Deep Learning for Channel Estimation in Physical Layer Wireless Communications: Fundamental, Methods, and Challenges. Electronics 2023, 12, 4965. [Google Scholar] [CrossRef]
- Elfikky, A.; Soltani, M.; Rezki, Z. End-to-End Learning Framework for Space Optical Communications in Non-Differentiable Poisson Channel. IEEE Wirel. Commun. Lett. 2024, 13, 2090–2094. [Google Scholar] [CrossRef]
- Palitharathna, K.W.S.; Suraweera, H.A.; Godaliyadda, R.I.; Herath, V.R.; Thompson, J.S. Neural network-based channel estimation and detection in spatial modulation VLC systems. IEEE Commun. Lett. 2022, 26, 1598–1602. [Google Scholar] [CrossRef]
- Deng, X.; Bian, X.; Li, M. Data-Driven and Model-Driven Joint Detection Algorithm for Faster-Than-Nyquist Signaling in Multipath Channels. Sensors 2021, 22, 257. [Google Scholar] [CrossRef]
- Song, P.; Gong, F.; Li, Q. Blind symbol packing ratio estimation for faster-than-Nyquist signalling based on deep learning. Electron. Lett. 2019, 55, 1155–1157. [Google Scholar] [CrossRef]
- Baek, M.S.; Jung, E.S.; Park, Y.S.; Lee, Y.T. FTN-Based Non-Orthogonal Signal Detection Technique with Machine Learning in Quasi-Static Multipath Channel. IEEE Trans. Broadcast. 2023, 70, 78–86. [Google Scholar] [CrossRef]
- Cao, M.; Yao, R.; Xia, J.; Jia, K.; Wang, H. LSTM Attention Neural-Network-Based Signal Detection for Hybrid Modulated Faster-Than-Nyquist Optical Wireless Communications. Sensors 2022, 22, 8992. [Google Scholar] [CrossRef] [PubMed]
- Petitpied, T.; Tajan, R.; Chevalier, P.; Traverso, S.; Ferré, G. Circular Faster-Than-Nyquist Signaling for High Spectral Efficiencies: Optimized EP-Based Receivers. IEEE Trans. Commun. 2021, 69, 5487–5501. [Google Scholar] [CrossRef]
- Amirabadi, M.A.; Kahaei, M.H.; Nezamalhosseni, S.A. Low complexity deep learning algorithms for compensating atmospheric turbulence in the free space optical communication system. IET Optoelectron. 2022, 16, 93–105. [Google Scholar] [CrossRef]











| Parameter | Value |
|---|---|
| size of data | 2.0 × 106 |
| training dataset | 1.4 × 106 |
| test dataset | 6 × 105 |
| epoch | 80 |
| batch size | 100 |
| learning rate | 0.001 |
| SNR range | 0 dB–35 dB |
| optimizer | SGD |
| loss function | Cross Entropy Loss |
| activation function | SoftMax |
| layer | 6 |
| hidden neurons | 20-40-50-20 |
Disclaimer/Publisher’s Note: The statements, opinions and data contained in all publications are solely those of the individual author(s) and contributor(s) and not of MDPI and/or the editor(s). MDPI and/or the editor(s) disclaim responsibility for any injury to people or property resulting from any ideas, methods, instructions or products referred to in the content. |
© 2025 by the authors. Licensee MDPI, Basel, Switzerland. This article is an open access article distributed under the terms and conditions of the Creative Commons Attribution (CC BY) license (https://creativecommons.org/licenses/by/4.0/).
Share and Cite
Yue, X.; Zhang, X.; Wu, Z.; Zhang, Y.; Wang, H.; Cao, M. Enhanced Optical Wireless Communications via Deep Neural Network Assisted Pre-Equalization for Faster-than-Nyquist Transmission. Photonics 2025, 12, 1112. https://doi.org/10.3390/photonics12111112
Yue X, Zhang X, Wu Z, Zhang Y, Wang H, Cao M. Enhanced Optical Wireless Communications via Deep Neural Network Assisted Pre-Equalization for Faster-than-Nyquist Transmission. Photonics. 2025; 12(11):1112. https://doi.org/10.3390/photonics12111112
Chicago/Turabian StyleYue, Xindong, Xingyu Zhang, Zhaoheng Wu, Yue Zhang, Huiqin Wang, and Minghua Cao. 2025. "Enhanced Optical Wireless Communications via Deep Neural Network Assisted Pre-Equalization for Faster-than-Nyquist Transmission" Photonics 12, no. 11: 1112. https://doi.org/10.3390/photonics12111112
APA StyleYue, X., Zhang, X., Wu, Z., Zhang, Y., Wang, H., & Cao, M. (2025). Enhanced Optical Wireless Communications via Deep Neural Network Assisted Pre-Equalization for Faster-than-Nyquist Transmission. Photonics, 12(11), 1112. https://doi.org/10.3390/photonics12111112

