Quantum Interference of Spontaneous Emission and Coherent Population Trapping for a Quantum Emitter Embedded Within a Two-Dimensional Photonic Crystal
Abstract
1. Introduction
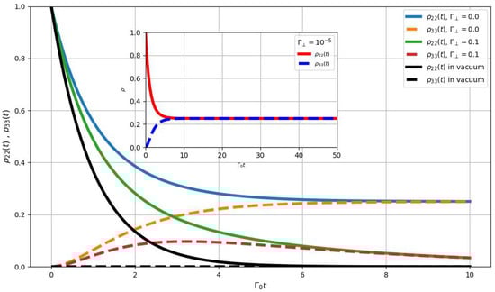
2. Quantum Interference in a Three-Level Quantum Emitter
3. Anisotropic Purcell Effect in a 2D Photonic Crystal
4. Conclusions
Author Contributions
Funding
Institutional Review Board Statement
Informed Consent Statement
Data Availability Statement
Conflicts of Interest
References
- Agarwal, G.S. Anisotropic vacuum-induced interference in decay channels. Phys. Rev. Lett. 2000, 84, 5500. [Google Scholar] [CrossRef] [PubMed]
- Paspalakis, E.; Keitel, C.H.; Knight, P.L. Fluorescence control through multiple interference mechanisms. Phys. Rev. A 1998, 58, 4868. [Google Scholar] [CrossRef]
- Ficek, Z.; Swain, S. Simulating quantum interference in a three-level system with perpendicular transition dipole moments. Phys. Rev. A 2004, 69, 023401. [Google Scholar] [CrossRef]
- Li, G.X.; Li, F.-L.; Zhu, S.-Y. Quantum interference between decay channels of a three-level atom in a multilayer dielectric medium. Phys. Rev. A 2001, 64, 013819. [Google Scholar] [CrossRef]
- Yang, Y.; Xu, J.; Chen, H.; Zhu, S. Quantum interference enhancement with left-handed materials. Phys. Rev. Lett. 2008, 100, 043601. [Google Scholar] [CrossRef]
- Li, G.-X.; Evers, J.; Keitel, C.H. Spontaneous emission interference in negative-refractive-index waveguides. Phys. Rev. B 2009, 80, 045102. [Google Scholar] [CrossRef][Green Version]
- Yannopapas, V.; Paspalakis, E.; Vitanov, N.V. Plasmon-Induced Enhancement of quantum interference near metallic nanostructures. Phys. Rev. Lett. 2009, 103, 063602. [Google Scholar] [CrossRef]
- Xu, J.-P.; Yang, Y.-P. Quantum interference of V-type three-level atom in structures made of left-handed materials and mirrors. Phys. Rev. A 2010, 81, 013816. [Google Scholar] [CrossRef]
- Gu, Y.; Wang, L.; Ren, P.; Zhang, J.-X.; Zhang, T.-C.; Martin, O.J.F.; Gong, Q.-H. Surface-plasmon-induced modification on the spontaneous emission spectrum via subwavelength-confined anisotropic Purcell factor. Nano Lett. 2012, 12, 2488. [Google Scholar] [CrossRef] [PubMed]
- Jha, P.K.; Ni, X.; Wu, C.; Wang, Y.; Zhang, X. Metasurface-enabled remote quantum interference. Phys. Rev. Lett. 2015, 115, 025501. [Google Scholar] [CrossRef] [PubMed]
- Sun, L.; Jiang, C. Coherent control in plasmon–emitter coupled systems. Opt. Express 2016, 24, 7719. [Google Scholar] [CrossRef]
- Hughes, S.; Agarwal, G.S. Anisotropy-induced quantum interference and population trapping between orthogonal quantum dot exciton states in semiconductor cavity systems. Phys. Rev. Lett. 2017, 118, 063601. [Google Scholar] [CrossRef]
- Karanikolas, V.; Paspalakis, E. Plasmon-induced quantum interference near carbon nanostructures. J. Phys. Chem. C 2018, 122, 14788. [Google Scholar] [CrossRef]
- Fang, W.; Chen, Y.; Zeng, Y.; Ou, C.-J.; Li, G.-X.; Yang, Y.-P. Anisotropic mode excitations and enhanced quantum interference in quantum emitter-metasurface coupled systems. New J. Phys. 2022, 24, 093006. [Google Scholar] [CrossRef]
- Karaoulanis, D.; Paspalakis, E.; Yannopapas, V. Quantum interference near bismuth-chalcogenide microstructures. J. Opt. Soc. Am. B 2021, 38, 3301–3308. [Google Scholar] [CrossRef]
- Kyvelos, N.; Tsigaridas, G.; Paspalakis, E.; Yannopapas, V. Quantum interference in spontaneous decay of a quantum emitter placed in a dimer of bismuth-chalcogenide microparticles. Photonics 2022, 9, 596. [Google Scholar] [CrossRef]
- Liu, Q.; Shan, L.-X.; Jia, Y.; Ma, Y.; Gong, Q.-H.; Gu, Y. Quantum interference enhancement and fluorescence spectral linewidth narrowing of a four-level system via dielectric Mie resonances. Phys. Rev. A 2023, 108, 033702. [Google Scholar] [CrossRef]
- Thanopulos, I.; Karanikolas, V.; Paspalakis, E. Strong coupling spontaneous emission interference near a graphene nanodisk. Nanophotonics 2024, 13, 4545–4554. [Google Scholar] [CrossRef]
- Zhou, P.; Swain, S. Ultranarrow spectral lines via quantum interference. Phys. Rev. Lett. 1996, 77, 3995. [Google Scholar] [CrossRef]
- Keitel, C.H. Narrowing spontaneous emission without intensity reduction. Phys. Rev. Lett. 1999, 83, 1307. [Google Scholar] [CrossRef]
- Macovei, M.; Keitel, C.H. Quantum interference control of spontaneous emission. Phys. Rev. Lett. 2003, 91, 123601. [Google Scholar] [CrossRef]
- Wang, C.-L.; Kang, Z.-H.; Tian, S.-C.; Jiang, Y.; Gao, J.-Y. Effect of spontaneously generated coherence on absorption in a V-type system: Investigation in dressed states. Phys. Rev. A 2009, 79, 043810. [Google Scholar] [CrossRef]
- Asadpour, S.H.; Abbas, M.; Hamedi, H.R.; Ruseckas, J.; Paspalakis, E.; Asgari, R. Spatiospectral control of spontaneous emission. Phys. Rev. A 2024, 110, 033706. [Google Scholar] [CrossRef]
- Kosionis, S.G.; Yannopapas, V.; Paspalakis, E. Spectral narrowing in the resonance fluorescence of a driven V-type quantum emitter near a two-dimensional plasmonic nanostructure array. Results Phys. 2025, 68, 108084. [Google Scholar] [CrossRef]
- Zhu, S.-Y.; Chan, R.C.F.; Lee, C.P. Spontaneous emission from a three-level atom. Phys. Rev. A 1995, 52, 710. [Google Scholar] [CrossRef]
- Zhu, S.-Y.; Scully, M.O. Spectral line elimination and spontaneous emission cancellation via quantum interference. Phys. Rev. Lett. 1996, 76, 388. [Google Scholar] [CrossRef]
- Imamoglu, A. Interference of radiatively broadened resonances. Phys. Rev. A 1989, 40, 2835. [Google Scholar] [CrossRef]
- Zhou, P.; Swain, S. Quantum interference in probe absorption: Narrow resonances, transparency, and gain without population inversion. Phys. Rev. Lett. 1997, 78, 832. [Google Scholar] [CrossRef]
- Paspalakis, E.; Gong, S.-Q.; Knight, P.L. Quantum interference effects in driven atomic systems. Opt. Commun. 1998, 152, 293–296. [Google Scholar] [CrossRef]
- Menon, S.; Agarwal, G.S. Effects of spontaneously generated coherence on the pump-probe response of a Λ system. Phys. Rev. A 1998, 57, 4014. [Google Scholar] [CrossRef]
- Wu, J.H.; Zhang, H.F.; Gao, J.Y. Probe gain with population inversion in a four-level atomic system with vacuum-induced coherence. Opt. Lett. 2003, 28, 654. [Google Scholar] [CrossRef] [PubMed]
- Das, R.C.; Ravi, T.; Khan, S.; Pandey, K. Role of spontaneously transferred coherence in laser cooling. Phys. Rev. A 2024, 110, 033101. [Google Scholar] [CrossRef]
- Paspalakis, E.; Knight, P.L. Phase control of spontaneous emission. Phys. Rev. Lett. 1998, 81, 293–296. [Google Scholar] [CrossRef]
- Macovei, M.; Evers, J.; Keitel, C.H. Phase control of collective quantum dynamics. Phys. Rev. Lett. 2003, 91, 233601. [Google Scholar] [CrossRef]
- Paspalakis, E.; Kylstra, N.J.; Knight, P.L. Transparency induced via decay interference. Phys. Rev. Lett. 1999, 82, 2079. [Google Scholar] [CrossRef]
- Bortman-Arbiv, D.; Wilson-Gordon, A.D.; Friedmann, H. Phase control of group velocity: From subluminal to superluminal light propagation. Phys. Rev. A 2001, 63, 043818. [Google Scholar] [CrossRef]
- Gurudev Dutt, M.V.; Cheng, J.; Li, B.; Xu, X.; Li, X.; Berman, P.R.; Steel, D.G.; Bracker, A.S.; Gammon, D.; Economou, S.E.; et al. Stimulated and spontaneous optical generation of electron spin coherence in charged GaAs quantum dots. Phys. Rev. Lett. 2005, 94, 227403. [Google Scholar] [CrossRef]
- Niu, Y.-P.; Gong, S.-Q. Enhancing Kerr nonlinearity via spontaneously generated coherence. Phys. Rev. A 2006, 73, 053811. [Google Scholar] [CrossRef]
- Abazari, A.; Mortezapour, A.; Mahmoudi, M.; Sahrai, M. Phase-controlled atom-photon entanglement in a three-level V-type atomic system via spontaneously generated coherence. Entropy 2011, 13, 1541. [Google Scholar] [CrossRef]
- Sangshekan, B.; Sahrai, M.; Asadpour, S.H.; Poursamad Bonab, J. Controllable atom–photon entanglement via quantum interference near plasmonic nanostructure. Sci. Rep. 2022, 12, 677. [Google Scholar] [CrossRef] [PubMed]
- Batoo, K.M.; Naeem, Y.A.; Ali, E.; Abdulameer, M.K.; Ibrahim, A.A.; Abdulridui, H.A.; Zazoum, B.; Ramadan, M.F.; Kadhum, E.H.; Omran, A.A.; et al. Spatially hybrid control of entanglement between atom and photon. Phys. B Condens. Matter 2024, 695, 416561. [Google Scholar] [CrossRef]
- Silatan, A.; Ghaderi GoranAbad, M.; Mahmoudi, M. Optical limiting via spontaneously generated coherence. Sci. Rep. 2023, 13, 364. [Google Scholar] [CrossRef]
- Evangelou, S.; Yannopapas, V.; Paspalakis, E. Simulating quantum interference in spontaneous decay near plasmonic nanostructures: Population dynamics. Phys. Rev. A 2011, 83, 055805. [Google Scholar] [CrossRef]
- Evangelou, S.; Yannopapas, V.; Paspalakis, E. Transparency and slow light in a four-level quantum system near a plasmonic nanostructure. Phys. Rev. A 2012, 86, 053811. [Google Scholar] [CrossRef]
- Paspalakis, E.; Evangelou, S.; Yannopapas, V.; Terzis, A.F. Phase-dependent optical effects in a four-level quantum system near a plasmonic nanostructure. Phys. Rev. A 2013, 88, 053832. [Google Scholar] [CrossRef]
- Joannopoulos, J.D.; Meade, R.D.; Winn, J.N. Photonic Crystals: Molding the Flow of Light; Princeton University Press: Princeton, NJ, USA, 1995. [Google Scholar]
- Ho, K.M.; Chan, C.T.; Soukoulis, C.M. Existence of a photonic gap in periodic dielectric structures. Phys. Rev. Lett. 1990, 65, 3152. [Google Scholar] [CrossRef]
- Plihal, M.; Maradudin, A.A. Photonic band structure of two-dimensional systems: The triangular lattice. Phys. Rev. B 1991, 44, 8565. [Google Scholar] [CrossRef]
- Balanis, C.A. Antenna Theory: Analysis and Design, 4th ed.; Wiley: Hoboken, NJ, USA, 2016. [Google Scholar]
- Huang, Y.-G.; Fan, H.; Wang, X.-H. Exact calculation of local density of states in two-dimensional photonic crystals. Chin. Phys. Lett. 2010, 27, 104213. [Google Scholar] [CrossRef]
- Krokhin, A.A.; Halevi, P.; Arriaga, J. Long-wavelength limit (homogenization) for two-dimensional photonic crystals. Phys. Rev. B 2002, 65, 115208. [Google Scholar] [CrossRef]
- Arriaga, J.; Krokhin, A.A.; Halevi, P. Complete photonic band gap in two dimensions. Effective dielectric constant of 2D photonic crystals with high dielectric contrast. Phys. E Low-Dimens. Syst. Nanostr. 2003, 17, 436. [Google Scholar] [CrossRef]
- Vanier, J. Atomic clocks based on coherent population trapping: A review. Appl. Phys. B 2005, 81, 421. [Google Scholar] [CrossRef]
- Comparo, J. The rubidium atomic clock and basic research. Phys. Today 2007, 60, 33. [Google Scholar] [CrossRef]
- Fang, R.; Han, C.; Lu, B.; Huang, J.; Lee, C. Ramsey interferometry with arbitrary coherent-population-trapping pulse sequence. Phys. Rev. A 2023, 108, 043721. [Google Scholar] [CrossRef]
- Fleischhauer, M.; Scully, M.O. Quantum sensitivity limits of an optical magnetometer based on atomic phase coherence. Phys. Rev. A 1994, 49, 1973. [Google Scholar] [CrossRef] [PubMed]
- Schwindt, P.D.D.; Knappe, S.; Shah, V.; Hollberg, L.; Kitching, J.; Liew, L.-A.; Moreland, J. Chip-scale atomic magnetometer. Appl. Phys. Lett. 2004, 85, 6409. [Google Scholar] [CrossRef]
- Nagel, A.; Graf, L.; Naumov, A.; Mariotti, E.; Biancalana, V.; Meschede, D.; Wynands, R. Experimental realization of coherent dark-state magnetometers. Europhys. Lett. 1998, 44, 31. [Google Scholar] [CrossRef]
- Liang, S.-Q.; Yang, G.-Q.; Xu, Y.-F.; Lin, Q.; Liu, Z.-H.; Chen, Z.-X. Simultaneously improving the sensitivity and absolute accuracy of CPT magnetometer. Opt. Express 2014, 22, 6837. [Google Scholar] [CrossRef]
- Pati, G.S.; Tripathi, R.; Grewal, R.S.; Pulido, M.; Depto, R.A. Synchronous coherent population trapping and its magnetic spectral response in rubidium vapor. Phys. Rev. A 2021, 104, 033116. [Google Scholar] [CrossRef]
- Yuan, J.; Du, P.; Yang, F.; Quan, W.; Li, J. Simultaneous improvement of the sensitivity and resolution of CPT magnetometers based on phase delay and differential method. Opt. Lett. 2024, 49, 3858–3861. [Google Scholar] [CrossRef]
- Boyd, R.W.; Gauthier, D.J. Slow and fast light. In Progress in Optics; Wolf, E., Ed.; Elsevier: Amsterdam, The Netherlands, 2002; Volume 43, pp. 497–530. [Google Scholar]
- Eisaman, M.D.; Fleischhauer, M.; Lukin, M.D.; Zibrov, A.S. Toward quantum control of single photons. Opt. Photonics News 2006, 17, 22. [Google Scholar] [CrossRef]
- Lukin, M.D.; Imamoglu, A. Nonlinear optics and quantum entanglement of ultraslow single photons. Phys. Rev. Lett. 2000, 84, 1419. [Google Scholar] [CrossRef] [PubMed]
- Peters, C.; Lange, W. Laser action below threshold inversion due to coherent population trapping. Appl. Phys. B 1996, 62, 221. [Google Scholar] [CrossRef]
- Kilin, S.Y.; Kapale, K.T.; Scully, M.O. Counterintuitive population dynamics in the transient regime. Phys. Rev. Lett. 2008, 100, 173601. [Google Scholar] [CrossRef]
- Lukin, M.D. Colloquium: Trapping and manipulating photon states in atomic ensembles. Rev. Mod. Phys. 2003, 75, 457. [Google Scholar] [CrossRef]
- Sakoda, K. Optical Properties of Photonic Crystals, 2nd ed.; Springer: Berlin/Heidelberg, Germany, 2005. [Google Scholar]
- Lodahl, P.; Mahmoodian, S.; Stobbe, S. Interfacing single photons and single quantum dots with photonic nanostructures. Rev. Mod. Phys. 2015, 87, 347–400. [Google Scholar] [CrossRef]
- Atatüre, M.; Englund, D.; Vamivakas, N.; Lee, S.-Y.; Wrachtrup, J. Material platforms for spin-based photonic quantum technologies. Nat. Rev. Mater. 2018, 3, 38–51. [Google Scholar] [CrossRef]
- Schriemer, H.P.; van Driel, H.M.; Koenderink, A.F.; Vos, W.L. Modified spontaneous emission spectra of laser dye in inverse opal photonic crystals. Phys. Rev. A 2000, 63, 011801(R). [Google Scholar] [CrossRef]
- Lodahl, P.; van Driel, A.F.; Nikolaev, I.S.; Irman, A.; Overgaag, K.; Vanmaekelbergh, D.; Vos, W.L. Controlling the dynamics of spontaneous emission from quantum dots by photonic crystals. Nature 2004, 430, 654–657. [Google Scholar] [CrossRef] [PubMed]
- Englund, D.; Fattal, D.; Waks, E.; Solomon, G.S.; Zhang, B.; Nakaoka, T.; Arakawa, Y.; Yamamoto, Y.; Vučković, J. Controlling the spontaneous emission rate of single quantum dots in a two-dimensional photonic crystal. Phys. Rev. Lett. 2005, 95, 013904. [Google Scholar] [CrossRef]
- Jalali Mehrabad, M.; Foster, A.P.; Dost, R.; Clarke, E.; Patil, P.K.; Fox, A.M.; Skolnick, M.S.; Wilson, L.R. Chiral topological photonics with an embedded quantum emitter. Optica 2020, 7, 1690–1696. [Google Scholar] [CrossRef]
- Rao, M.; Shi, F.-L.; Rao, Z.-X.; Yang, J.-W.; Song, C.-K.; Chen, X.-D.; Dong, J.-W.; Yu, Y.; Yu, S.-Y. Single-photon emitter deterministically coupled to a topological corner state. Light Sci. Appl. 2024, 13, 19. [Google Scholar] [CrossRef] [PubMed]
- Schulz, A.S.; Kozoň, M.; Vancso, G.J.; Huskens, J.; Vos, W.L. Strongly inhibited spontaneous emission of PbS quantum dots covalently bound to 3D silicon photonic band gap crystals. J. Phys. Chem. C 2024, 128, 9142–9153. [Google Scholar] [CrossRef] [PubMed]
- Kala, A.; Sharp, D.; Choi, M.; Manna, A.; Deshmukh, P.; Kizhake Veetil, V.; Menon, V.; Pelton, M.; Waks, E.; Majumdar, A. Opportunities and challenges of solid-state quantum nonlinear optics. ACS Nano 2025, 19, 14557–14578. [Google Scholar] [CrossRef] [PubMed]







Disclaimer/Publisher’s Note: The statements, opinions and data contained in all publications are solely those of the individual author(s) and contributor(s) and not of MDPI and/or the editor(s). MDPI and/or the editor(s) disclaim responsibility for any injury to people or property resulting from any ideas, methods, instructions or products referred to in the content. |
© 2025 by the authors. Licensee MDPI, Basel, Switzerland. This article is an open access article distributed under the terms and conditions of the Creative Commons Attribution (CC BY) license (https://creativecommons.org/licenses/by/4.0/).
Share and Cite
Yannopapas, V.; Paspalakis, E. Quantum Interference of Spontaneous Emission and Coherent Population Trapping for a Quantum Emitter Embedded Within a Two-Dimensional Photonic Crystal. Photonics 2025, 12, 1041. https://doi.org/10.3390/photonics12111041
Yannopapas V, Paspalakis E. Quantum Interference of Spontaneous Emission and Coherent Population Trapping for a Quantum Emitter Embedded Within a Two-Dimensional Photonic Crystal. Photonics. 2025; 12(11):1041. https://doi.org/10.3390/photonics12111041
Chicago/Turabian StyleYannopapas, Vassilios, and Emmanuel Paspalakis. 2025. "Quantum Interference of Spontaneous Emission and Coherent Population Trapping for a Quantum Emitter Embedded Within a Two-Dimensional Photonic Crystal" Photonics 12, no. 11: 1041. https://doi.org/10.3390/photonics12111041
APA StyleYannopapas, V., & Paspalakis, E. (2025). Quantum Interference of Spontaneous Emission and Coherent Population Trapping for a Quantum Emitter Embedded Within a Two-Dimensional Photonic Crystal. Photonics, 12(11), 1041. https://doi.org/10.3390/photonics12111041
