Three-Dimensional Non-Linearly Thermally Radiated Flow of Jeffrey Nanoliquid towards a Stretchy Surface with Convective Boundary and Cattaneo–Christov Flux
Abstract
1. Introduction
2. Mathematical Formulation
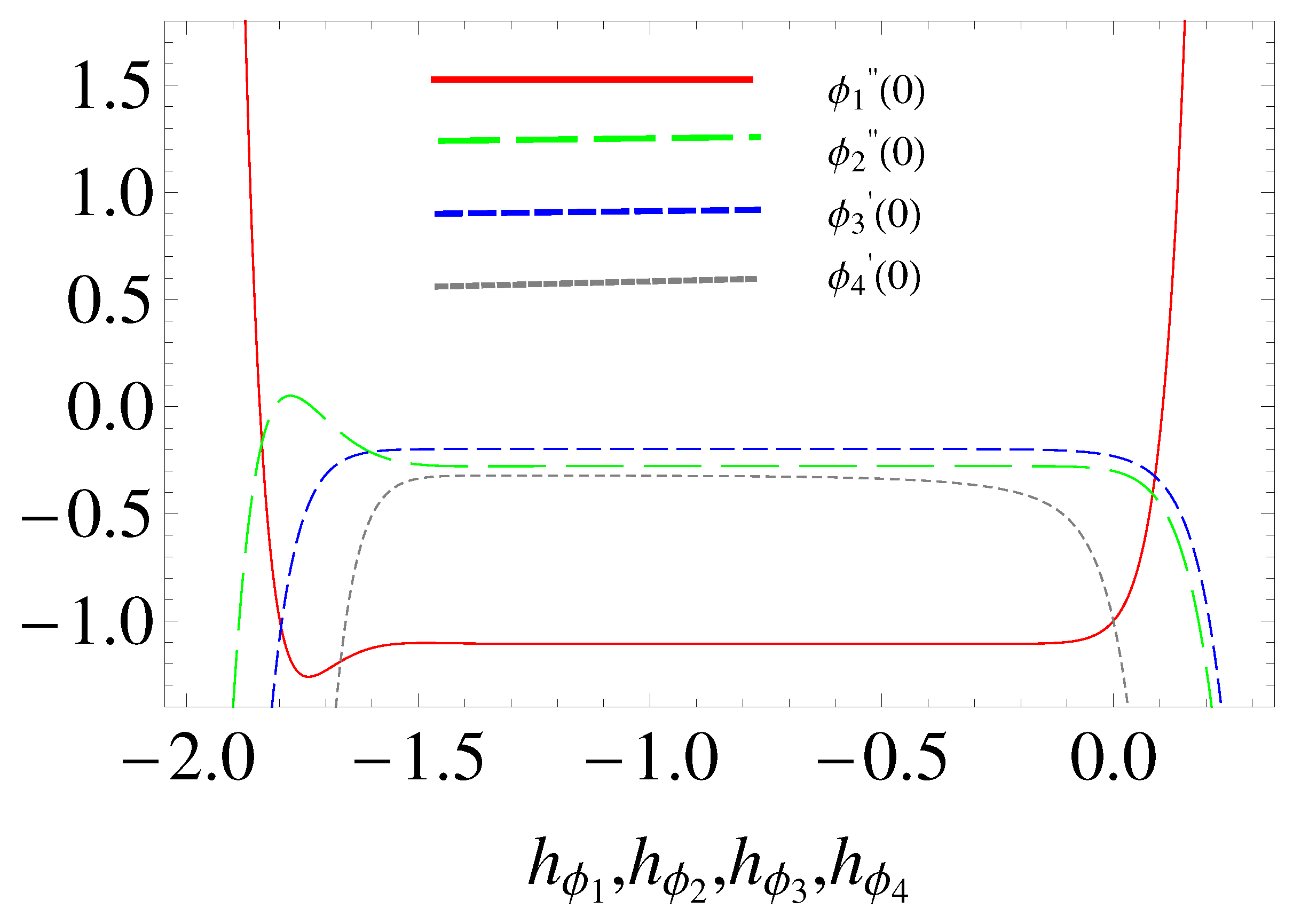
3. Convergence of the Solution
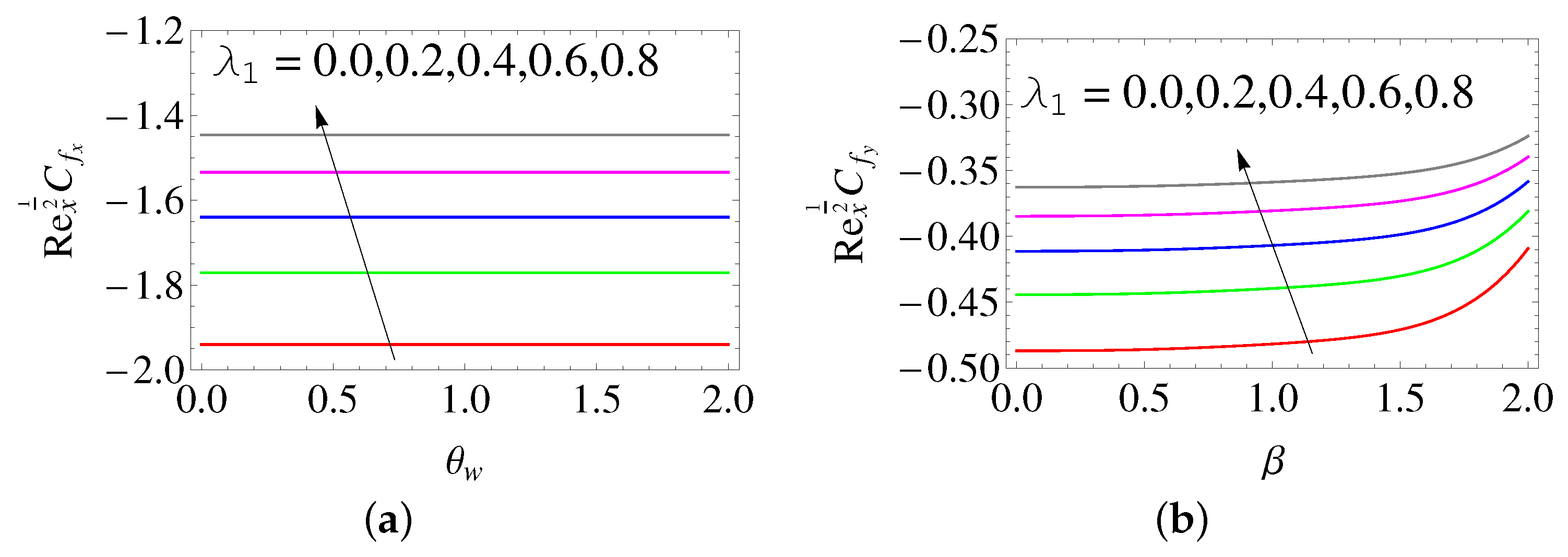
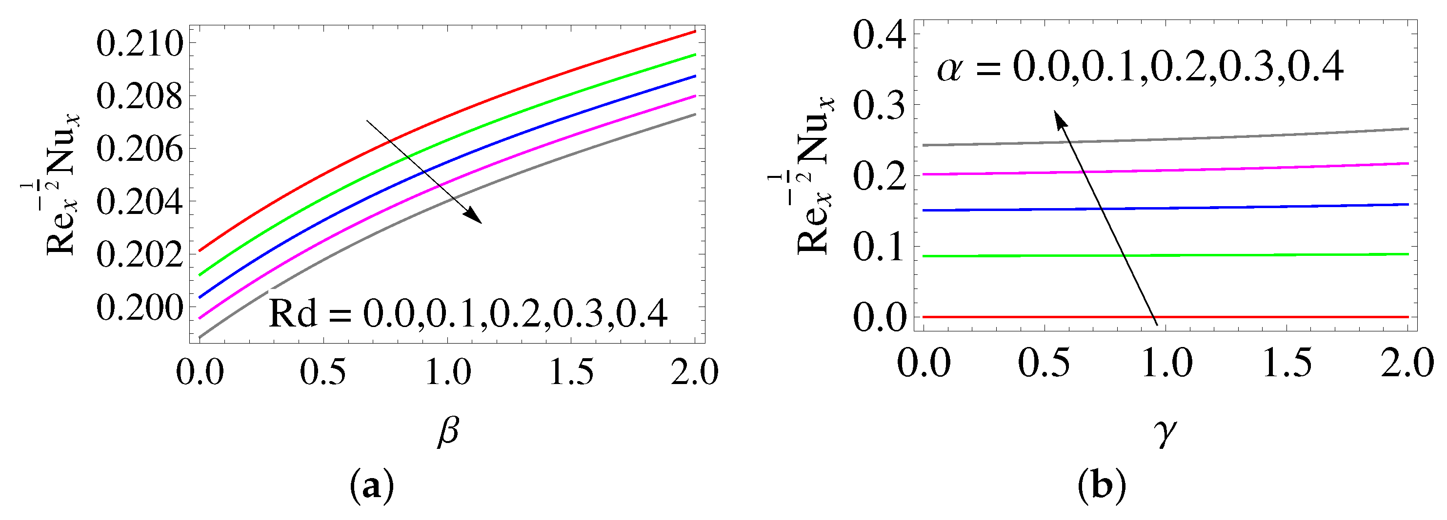
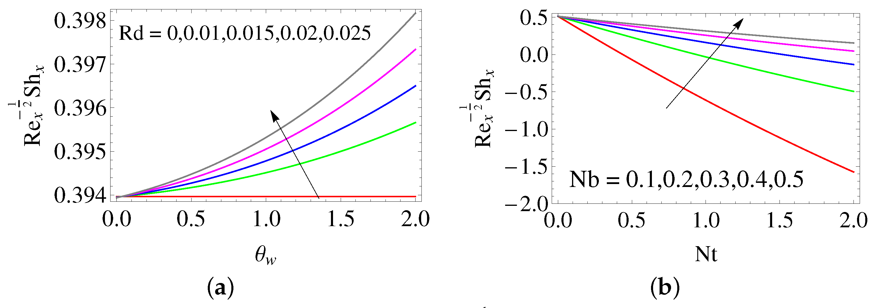
4. Computational Results and Discussion
5. Conclusions
- The thickening of the thermal boundary occurs while raising the thermal radiation.
- On increasing the thermal radiation, the local heat transfer diminishes and the local heat transfer raises with a raise in the Deborah number.
- The thickness of the momentum boundary layer reduces by boosting the ratio of the relaxation to retardation time; however, the skin friction rises by raising the ratio of the relaxation to retardation time.
- While boosting the thermal Biot number, the thermal boundary layer thickness rises, which results in a rise in the heat transfer rate.
- The local heat (mass) transfer rate diminishes (rises) when the Brownian motion parameter is raised.
Author Contributions
Funding
Conflicts of Interest
Abbreviations
| CCHF | Cattaneo–Christov heat flux |
| HAM | Homotopy Analysis Method |
| Nomenclature | |
| ratio of stretching rates | |
| specific heat | |
| h | heat transfer coefficient |
| k | thermal conductivity |
| mean absorption coefficient | |
| velocity components taken along the x-, y- and z-axes | |
| concentration | |
| Brownian motion | |
| thermophoresis coefficient | |
| Brownian motion parameter | |
| thermophoresis parameter | |
| Prandtl number | |
| q | heat flux |
| radiation parameter | |
| Schmidt number | |
| temperature | |
| Greek Symbols | |
| thermal Biot number | |
| Deborah number | |
| thermal relaxation time parameter | |
| ratio of relaxation to retardation time | |
| retardation time | |
| thermal relaxation | |
| kinematic viscosity | |
| density | |
| Stefan–Boltzmann constant | |
| ratio between the effective nanoparticle materials and fluid heat capacity | |
| temperature ratio parameter |
References
- Halim, N.A.; Sivasankaran, S.; Noor, N.F.M. Active and passive controls of the Williamson stagnation nanofluid flow over a stretching/shrinking surface. Neural Comput. Appl. 2016, 28, 1023–1033. [Google Scholar] [CrossRef]
- Mahanthesh, B.; Gireesha, B.J.; Thammanna, G.T.; Shehzad, S.A.; Abbasi, F.M.; Gorla, R.S.R. Nonlinear convection in nano Maxwell fluid with nonlinear thermal radiation: A three-dimensional study. Alex. Eng. J. 2018, 57, 1927–1935. [Google Scholar] [CrossRef]
- Malik, M.Y.; Khan, M.; Salahuddin, T.; Khan, I. Variable viscosity and MHD flow in Casson fluid with Cattaneo-Christov heat flux model: Using Keller box method. Eng. Sci. Technol. Int. 2016, 19, 1985–1992. [Google Scholar] [CrossRef]
- Olajuwon, B.I.; Oahimire, J.I.; Ferdow, M. Effect of thermal radiation and Hall current on heat and mass transfer of unsteady MHD flow of a viscoelastic micropolar fluid through a porous medium. Eng. Sci. Technol. Int. 2014, 17, 185–193. [Google Scholar] [CrossRef]
- Christov, C.I. On frame indifferent formulation of the Maxwell-Cattaneo model of finite-speed heat conduction. Mech. Res. Commun. 2009, 36, 481–486. [Google Scholar] [CrossRef]
- Kasmani, R.M.; Sivasankaran, S.; Bhuvaneswari, M.; Siri, Z. Effect of Chemical Reaction on Convective Heat Transfer of Boundary Layer Flow in Nanofluid over a Wedge with Heat Generation/Absorption and Suction. J. Appl. Fluid Mech. 2016, 9, 379–388. [Google Scholar] [CrossRef]
- Alvi, N.; Latif, T.; Hussain, Q.; Asghar, S. Peristalsis of nonconstant viscosity Jeffrey fluid with nanoparticles. Results Phys. 2016, 6, 1109–1125. [Google Scholar] [CrossRef]
- Muhammad, N.; Nadeem, S.; Mustafa, T. Squeezed flow of a nanofluid with Cattaneo-Christov heat and mass fluxes. Results Phys. 2017, 7, 862–869. [Google Scholar] [CrossRef]
- Ramly, N.A.; Sivasankaran, S.; Noor, N.F.M. Numerical solution of Cheng-Minkowycz natural convection nanofluid flow with zero flux. AIP Conf. Proc. 2016, 1750, 030020. [Google Scholar]
- Jagan, K.; Sivasankaran, S. Soret & Dufour and triple stratification effect on MHD flow with velocity slip towards a stretching cylinder. Math. Comput. Appl. 2022, 27, 25. [Google Scholar]
- Li, J.; Zheng, L.; Liu, L. MHD viscoelastic flow and heat transfer over a vertical stretching sheet with Cattaneo-Christov heat flux effects. J. Mol. Liq. 2016, 221, 19–25. [Google Scholar] [CrossRef]
- Niranjan, H.; Sivasankaran, S.; Bhuvaneswari, M.; Siri, Z. Effects of chemical reaction on MHD mixed convection stagnation point flow toward a vertical plate in a porous medium with radiation and heat generation. J. Phys. Conf. 2015, 662, 012014. [Google Scholar]
- Das, K.; Acharya, N.; Kundu, P.K. Radiative flow of MHD Jeffrey fluid past a stretching sheet with surface slip and melting heat transfer. Alex. Eng. J. 2015, 54, 815–821. [Google Scholar] [CrossRef]
- Niranjan, H.; Sivasankaran, S.; Bhuvaneswari, M. Analytical and Numerical Study on Magnetoconvection Stagnation-Point Flow in a Porous Medium with Chemical Reaction, Radiation, and Slip Effects. Math. Probl. Eng. 2016, 2016, 4017076. [Google Scholar] [CrossRef]
- Ali, M.E.; Sandeep, N. Cattaneo-Christov model for radiative heat transfer of magnetohydrodynamic Casson-ferrofluid: A numerical study. Results Phys. 2017, 7, 21–30. [Google Scholar] [CrossRef]
- Hayat, T.; Khan, M.I.; Farooq, M.; Alsaedi, A.; Khan, M.I. Thermally stratified stretching flow with Cattaneo-Christov heat flux. Int. J. Heat Mass Transf. 2017, 106, 289–294. [Google Scholar] [CrossRef]
- Ferdows, M.; Kaino, K.; Sivasankaran, S. Free convective flow in an inclined porous surface. J. Porous Media 2019, 12, 997–1003. [Google Scholar]
- Ramzan, M.; Bilal, M.; Chung, J.D. MHD stagnation point Cattaneo-Christov heat flux in Williamson fluid flow with homogeneous-heterogeneous reactions and convective boundary condition. J. Mol. Liq. 2017, 225, 856–862. [Google Scholar] [CrossRef]
- Hayat, T.; Sajid, M.; Pop, I. Three-dimensional flow over a stretching surface in a viscoelastic fluid. Nonlinear Anal. Real World Appl. 2008, 9, 1811–1822. [Google Scholar] [CrossRef]
- Bachok, N.; Ishak, A.; Pop, I. Unsteady three-dimensional boundary layer flow due to a permeable shrinking sheet. Appl. Math. Mech. 2010, 31, 1421–1428. [Google Scholar] [CrossRef]
- Shehzad, S.A.; Alsaedi, A.; Hayat, T. Three-dimensional flow of Jeffrey fluid with convective surface boundary conditions. Int. J. Heat Mass Transf. 2012, 55, 3971–3976. [Google Scholar] [CrossRef]
- Hayat, T.; Shehzad, S.A.; Alsaedi, A. Three-dimensional stretched flow of Jeffrey fluid with variable thermal conductivity and thermal radiation. Appl. Math. Mech. 2013, 34, 823–832. [Google Scholar] [CrossRef]
- Raju, C.S.K.; Sandeep, N.; Gnaneswara Reddy, M. Effect of Nonlinear Thermal Radiation on 3D Jeffrey Fluid Flow in the Presence of Homogeneous–Heterogeneous Reactions. Int. J. Eng. Res. 2015, 21, 52–68. [Google Scholar] [CrossRef]
- Khan, M.; Khan, W.A. Three-dimensional flow and heat transfer to burgers fluid using Cattaneo-Christov heat flux model. J. Mol. Liq. 2016, 221, 651–657. [Google Scholar] [CrossRef]
- Ramzan, M.; Bilal, M.; Chung, J.D. Influence of homogeneous-heterogeneous reactions on MHD 3D Maxwell fluid flow with Cattaneo-Christov heat flux and convective boundary condition. J. Mol. Liq. 2017, 230, 415–422. [Google Scholar] [CrossRef]
- Hayat, T.; Qayyum, S.; Imtiaz, M.; Alsaedi, A. Three-dimensional rotating flow of Jeffrey fluid for Cattaneo-Christov heat flux model. AIP Adv. 2016, 6, 025012. [Google Scholar] [CrossRef]
- Hayat, T.; Muhammad, T.; Mustafa, M.; Alsaedi, A. Three-dimensional flow of Jeffrey fluid with Cattaneo-Christov heat flux: An application to non-Fourier heat flux theory. Chin. J. Phys. 2017, 55, 1067–1077. [Google Scholar] [CrossRef]
- Bagh, A.; Thirupathi, T.; Danial, H.; Nadeem, S.; Saleem, R. Finite element analysis on transient MHD 3D rotating flow of Maxwell and tangent hyperbolic nanofluid past a bidirectional stretching sheet with Cattaneo Christov heat flux model. Therm. Sci. Eng. Prog. 2022, 28, 101089. [Google Scholar]
- Bagh, A.; Imran, S.; Ali, A.; Norazak, S.; Liaqat, A.; Amir, H. Significance of Lorentz and Coriolis forces on dynamics of water based silver tiny particles via finite element simulation. Ain Shams Eng. J. 2022, 13, 101572. [Google Scholar]
- Bagh, A.; Anum, S.; Imran, S.; Qasem, A.; Fahd, J. Significance of suction/injection, gravity modulation, thermal radiation, and magnetohydrodynamic on dynamics of micropolar fluid subject to an inclined sheet via finite element approach. Case Stud. Therm. Eng. 2021, 28, 101537. [Google Scholar]










| m-th-Order Approximation | ||||
|---|---|---|---|---|
| 1 | ||||
| 5 | ||||
| 10 | ||||
| 15 | ||||
| 20 | ||||
| 25 | ||||
| 30 | ||||
| 35 |
| c | ||||
|---|---|---|---|---|
Publisher’s Note: MDPI stays neutral with regard to jurisdictional claims in published maps and institutional affiliations. |
© 2022 by the authors. Licensee MDPI, Basel, Switzerland. This article is an open access article distributed under the terms and conditions of the Creative Commons Attribution (CC BY) license (https://creativecommons.org/licenses/by/4.0/).
Share and Cite
Jagan, K.; Sivasankaran, S. Three-Dimensional Non-Linearly Thermally Radiated Flow of Jeffrey Nanoliquid towards a Stretchy Surface with Convective Boundary and Cattaneo–Christov Flux. Math. Comput. Appl. 2022, 27, 98. https://doi.org/10.3390/mca27060098
Jagan K, Sivasankaran S. Three-Dimensional Non-Linearly Thermally Radiated Flow of Jeffrey Nanoliquid towards a Stretchy Surface with Convective Boundary and Cattaneo–Christov Flux. Mathematical and Computational Applications. 2022; 27(6):98. https://doi.org/10.3390/mca27060098
Chicago/Turabian StyleJagan, Kandasamy, and Sivanandam Sivasankaran. 2022. "Three-Dimensional Non-Linearly Thermally Radiated Flow of Jeffrey Nanoliquid towards a Stretchy Surface with Convective Boundary and Cattaneo–Christov Flux" Mathematical and Computational Applications 27, no. 6: 98. https://doi.org/10.3390/mca27060098
APA StyleJagan, K., & Sivasankaran, S. (2022). Three-Dimensional Non-Linearly Thermally Radiated Flow of Jeffrey Nanoliquid towards a Stretchy Surface with Convective Boundary and Cattaneo–Christov Flux. Mathematical and Computational Applications, 27(6), 98. https://doi.org/10.3390/mca27060098

