Effective Removal of Microplastics Using a Process of Ozonation Followed by Flocculation with Aluminum Sulfate and Polyacrylamide
Abstract
1. Introduction
2. Experimental
2.1. Materials and Reagents
2.2. Microplastic Removal Experiments and Measurements
2.3. Characterization
3. Results and Discussion
3.1. Factors Affecting Flocculation Experiments
3.1.1. Microplastic Removal Performance
3.1.2. Effects of Different pH Values
3.1.3. Effects of Ozonation Pre-Treatment Time and Flux
3.1.4. Effect of Flocculant Dosage
3.1.5. Effect of Microplastic Particle Size
3.2. Mechanism Study
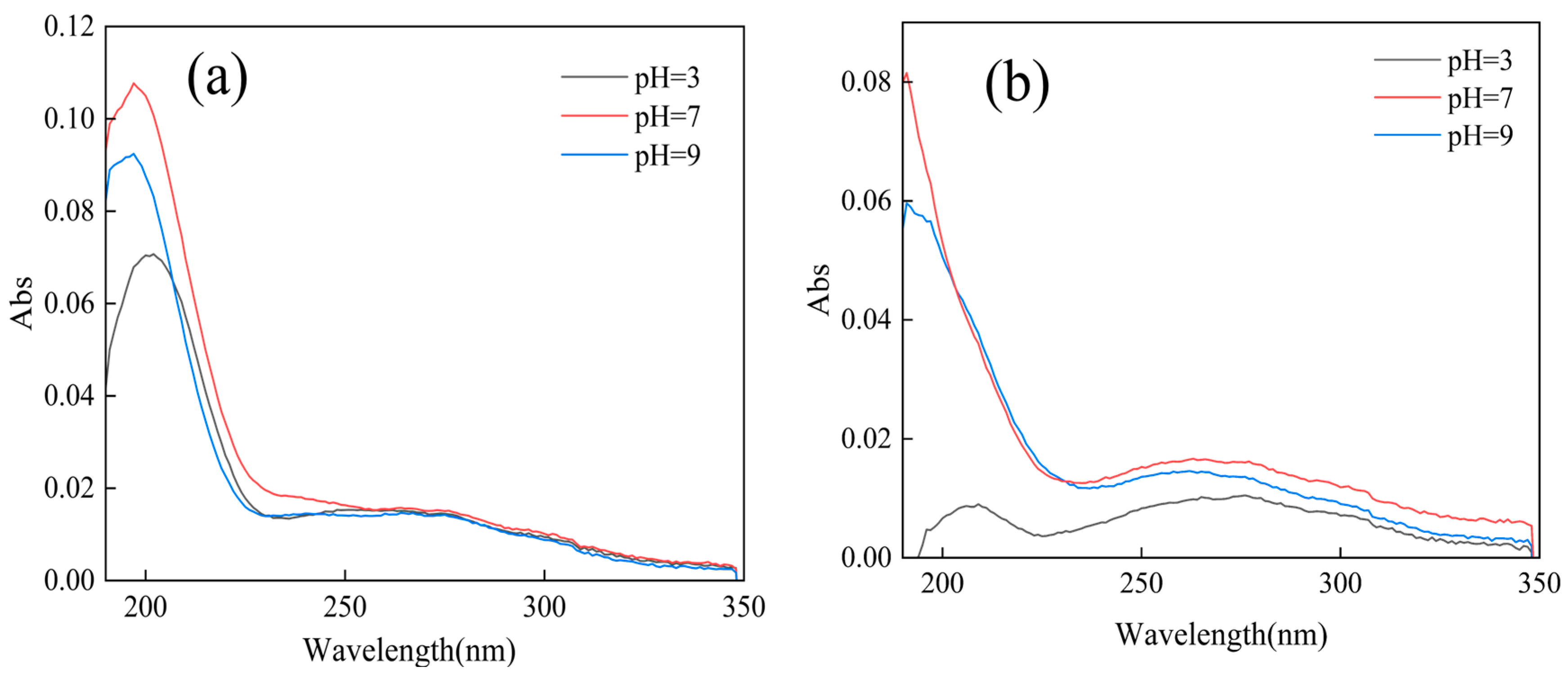
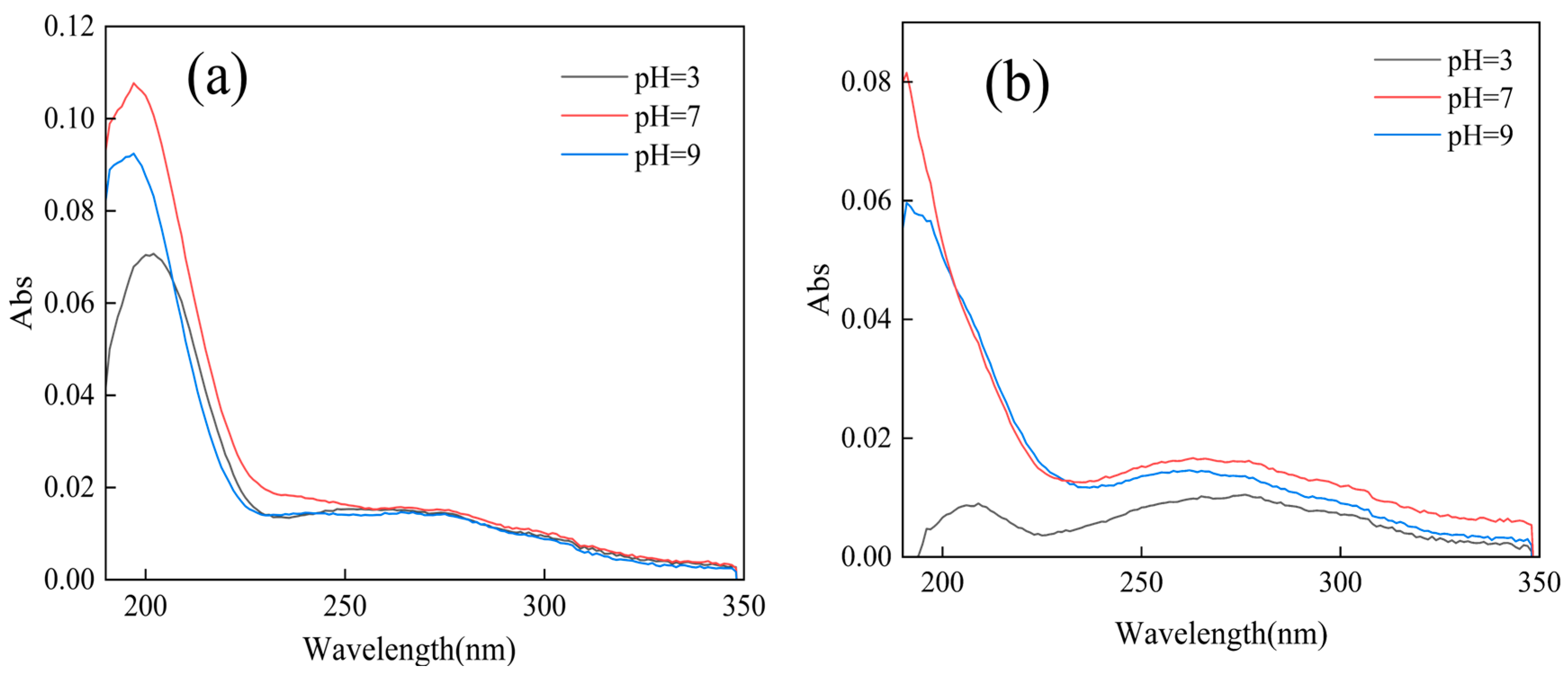
3.3. Dissolved Organic Analysis
4. Conclusions
Author Contributions
Funding
Data Availability Statement
Conflicts of Interest
References
- Rochman, C.M. Microplastics research—From sink to source. Science 2018, 360, 28–29. [Google Scholar] [CrossRef]
- Solís-Balbín, C.; Sol, D.; Laca, A.; Laca, A.; Díaz, M. Destruction and entrainment of microplastics in ozonation and wet oxidation processes. J. Water Process Eng. 2022, 51, 103456. [Google Scholar] [CrossRef]
- Schwarzer, M.; Brehm, J.; Vollmer, M.; Jasinski, J.; Xu, C.; Zainuddin, S.; Fröhlich, T.; Schott, M.; Greiner, A.; Scheibel, T.; et al. Shape, size, and polymer dependent effects of microplastics on Daphnia magna. J. Hazard. Mater. 2021, 426, 128136. [Google Scholar] [CrossRef]
- Noumani, A.; Verma, D.; Kaushik, A.; Khosla, A.; Solanki, P.R. Electrochemically microplastic detection using chitosan-magnesium oxide nanosheet. Environ. Res. 2024, 252, 118894. [Google Scholar] [CrossRef]
- Zolotova, N.; Kosyreva, A.; Dzhalilova, D.; Fokichev, N.; Makarova, O. Harmful effects of the microplastic pollution on animal health: A literature review. PeerJ 2022, 10, 13503. [Google Scholar] [CrossRef]
- Sharma, S.; Basu, S.; Shetti, N.P.; Nadagouda, M.N.; Aminabhavi, T.M. Microplastics in the environment: Occurrence, perils, and eradication. Chem. Eng. J. 2020, 408, 127317. [Google Scholar] [CrossRef]
- Sun, J.; Peng, Z.; Zhu, Z.-R.; Fu, W.; Dai, X.; Ni, B.-J. The atmospheric microplastics deposition contributes to microplastic pollution in urban waters. Water Res. 2022, 225, 119116. [Google Scholar] [CrossRef]
- Hu, J.; Hu, J. Mineralization characteristics and behavior of polyethylene microplastics through ozone-based treatment. Chemosphere 2023, 349, 140839. [Google Scholar] [CrossRef]
- Golwala, H.; Zhang, X.; Iskander, S.M.; Smith, A.L. Solid waste: An overlooked source of microplastics to the environment. Sci. Total Environ. 2021, 769, 144581. [Google Scholar] [CrossRef]
- Taylor, M.L.; Gwinnett, C.; Robinson, L.F.; Woodall, L.C. Plastic microfibre ingestion by deep-sea organisms. Sci. Rep. 2016, 6, 33997. [Google Scholar] [CrossRef] [PubMed]
- Kye, H.; Kim, J.; Ju, S.; Lee, J.; Lim, C.; Yoon, Y. Microplastics in water systems: A review of their impacts on the environment and their potential hazards. Heliyon 2023, 9, e14359. [Google Scholar] [CrossRef] [PubMed]
- Chen, Z.; Wei, W.; Liu, X.; Ni, B.-J. Emerging electrochemical techniques for identifying and removing micro/nanoplastics in urban waters. Water Res. 2022, 221, 118846. [Google Scholar] [CrossRef] [PubMed]
- Kim, T.; Park, K.; Hong, J. Understanding the hazards induced by microplastics in different environmental conditions. J. Hazard. Mater. 2021, 424, 127630. [Google Scholar] [CrossRef]
- Dong, X.; Liu, X.; Hou, Q.; Wang, Z. From natural environment to animal tissues: A review of microplastics(nanoplastics) translocation and hazards studies. Sci. Total Environ. 2022, 855, 158686. [Google Scholar] [CrossRef]
- Kinigopoulou, V.; Pashalidis, I.; Kalderis, D.; Anastopoulos, I. Microplastics as carriers of inorganic and organic contaminants in the environment: A review of recent progress. J. Mol. Liq. 2022, 350, 118580. [Google Scholar] [CrossRef]
- Fajardo, C.; Martín, C.; Costa, G.; Sánchez-Fortún, S.; Rodríguez, C.; de Lucas Burneo, J.J.; Nande, M.; Mengs, G.; Martín, M. Assessing the role of polyethylene microplastics as a vector for organic pollutants in soil: Ecotoxicological and molecular approaches. Chemosphere 2021, 288, 134260. [Google Scholar] [CrossRef] [PubMed]
- Cai, H.; Chen, M.; Chen, Q.; Du, F.; Liu, J.; Shi, H. Microplastic quantification affected by structure and pore size of filters. Chemosphere 2020, 257, 127198. [Google Scholar] [CrossRef]
- Duan, Y.; Yin, Y.; Ni, Z.; Liu, J.; Gui, H.; Wu, D.; Wu, X.; Wang, L. The effective and green biodegradation of polyethylene microplastics by the screening of a strain with its degrading enzymes. Biochem. Eng. J. 2024, 210, 109429. [Google Scholar] [CrossRef]
- Na, S.-H.; Kim, M.-J.; Kim, J.-T.; Jeong, S.; Lee, S.; Chung, J.; Kim, E.-J. Microplastic removal in conventional drinking water treatment processes: Performance, mechanism, and potential risk. Water Res. 2021, 202, 117417. [Google Scholar] [CrossRef]
- Zhang, Y.; Diehl, A.; Lewandowski, A.; Gopalakrishnan, K.; Baker, T. Removal efficiency of micro- and nanoplastics (180 nm–125 μm) during drinking water treatment. Sci. Total Environ. 2020, 720, 137383. [Google Scholar] [CrossRef]
- Picos-Corrales, L.A.; Sarmiento-Sánchez, J.I.; Ruelas-Leyva, J.P.; Crini, G.; Hermosillo-Ochoa, E.; Gutierrez-Montes, J.A. Environment-Friendly Approach toward the Treatment of Raw Agricultural Wastewater and River Water via Flocculation Using Chitosan and Bean Straw Flour as Bioflocculants. ACS Omega 2020, 5, 3943–3951. [Google Scholar] [CrossRef] [PubMed]
- Guo, Y.; Li, X.; Sun, J.; Liu, Y.; Wang, H.; Ding, J.; Chen, L.; Tian, X.; Yuan, Y. Physicochemical characterization and flocculation performance evaluation of PAC/PMAPTAC composite flocculant. J. Appl. Polym. Sci. 2021, 139, e51653. [Google Scholar] [CrossRef]
- Huang, L.; He, W.; Zhang, Y.; Wang, X.; Wu, K.; Yang, Z.; Zhang, J. Chitosan enhances poly aluminum chloride flocculation system removal of microplastics: Effective, stable, and pollution free. J. Water Process Eng. 2023, 54, 103929. [Google Scholar] [CrossRef]
- Hu, Z.Y.; Xiang, F.Y.; Mao, J.Q.; Ding, Y.L.; Tong, S.P. Oxidative Efficiency of Ozonation Coupled with Electrolysis for Treatment of Acid Wastewater. J. Electrochem. 2022, 28, 42–48. [Google Scholar]
- Li, Y.; Zhang, Z.; Zhang, L.; Li, Y.; Lin, K.-Y.A.; Tong, S. Preparation of metal organic frame derived MgO-porous carbon composite and its high catalytic activity in ozonation with excellent stability. J. Taiwan Inst. Chem. Eng. 2024, 156, 105339. [Google Scholar] [CrossRef]
- Fitri, A.N.; Amelia, D.; Karamah, E.F. The effect of Ozonation on the chemical structure of microplastics. IOP Conf. Ser. Mater. Sci. Eng. A 2021, 1173, 012017. [Google Scholar] [CrossRef]
- Ziembowicz, S.; Kida, M. The effect of water ozonation in the presence of microplastics on water quality and microplastics degradation. Sci. Total Environ. 2024, 929, 172595. [Google Scholar] [CrossRef]
- Zhang, X.; Lin, T.; Wang, X. Investigation of microplastics release behavior from ozone-exposed plastic pipe materials. Environ. Pollut. 2021, 296, 118758. [Google Scholar] [CrossRef]
- Homin, K.; Yeojoon, Y.; Tae-Mun, H. Changes in physical and chemical properties of microplastics by ozonation. Process Saf. Environ. Prot. 2024, 192, 1062–1072. [Google Scholar]
- Mohamad Yusof, M.S.; Othman, M.H.D.; Abdul Wahab, R.; Abu Samah, R.; Kurniawan, T.A.; Mustafa, A.; Abdul Rahman, M.; Jaafar, J.; Ismail, A.F. Effects of pre and post-ozonation on POFA hollow fibre ceramic adsorptive membrane for arsenic removal in water. J. Taiwan Inst. Chem. Eng. 2020, 110, 100–111. [Google Scholar] [CrossRef]
- Yutao, Z.; Jianhai, Z.; Zhaoyang, L.; Sufeng, T.; Jingfang, L.; Rong, M.; Hongying, Y. Coagulation removal of microplastics from wastewater by magnetic magnesium hydroxide and PAM. Water Process. Eng. 2021, 43, 102250. [Google Scholar]
- Wang, W.; Yang, M.; Ma, H.; Liu, Z.; Gai, L.; Zheng, Z.; Ma, H. Removal behaviors and mechanism of polystyrene microplastics by coagulation/ultrafiltration process: Co-effects of humic acid. Sci. Total Environ. 2023, 881, 163408. [Google Scholar] [CrossRef]
- Awan, M.M.A.; Malkoske, T.; Almuhtaram, H.; Andrews, R.C. Microplastic removal in batch and dynamic coagulation-flocculation-sedimentation systems is controlled by floc size. Sci. Total Environ. 2023, 909, 168631. [Google Scholar] [CrossRef]
- Xu, Q.; Huang, Q.-S.; Luo, T.-Y.; Wu, R.-L.; Wei, W.; Ni, B.-J. Coagulation removal and photocatalytic degradation of microplastics in urban waters. Chem. Eng. J. 2021, 416, 129123. [Google Scholar] [CrossRef]
- Rajala, K.; Grönfors, O.; Hesampour, M.; Mikola, A. Removal of microplastics from secondary wastewater treatment plant effluent by coagulation/flocculation with iron, aluminum and polyamine-based chemicals. Water Res. 2020, 183, 116045. [Google Scholar] [CrossRef]
- Leece, J.; Parker, F. Use and misuse of SPSS. Softw. Pract. Exper. 1978, 8, 301–311. [Google Scholar] [CrossRef]
- Tang, S.; Gao, L.; Tian, A.; Zhao, T.; Zou, D. The coagulation behavior and removal efficiency of microplastics in drinking water treatment. Water Process. Eng. 2023, 53, 103885. [Google Scholar] [CrossRef]
- Nieto-Sandoval, J.; Ammar, R.; Sans, C. Enhancing nanoplastics removal by metal ion-catalyzed ozonation. Chem. Eng. J. Adv. 2024, 19, 100621. [Google Scholar] [CrossRef]
- Zhang, H.; Deng, H.; Ou, H.; Liu, R.; Chen, Y.; Wu, X.; Fu, J. Optimizing Microplastic Removal Through Coagulation-Sedimentation with Permanganate Pre-oxidation and Pre-chlorination. Water Air Soil Pollut. 2024, 235, 1–13. [Google Scholar] [CrossRef]













| Correlation Coefficient (r) | p- Value | ||
|---|---|---|---|
| PVC removal rate and | Al2(SO4)3 dosage | 0.897 | 0.081 |
| PAM dosage | 0.971 | 0.006 | |
| Ozonation pretreatment time | 0.873 | 0.038 | |
| Ozone flux | 0.812 | 0.118 | |
| PET removal rate and | Al2(SO4)3 dosage | 0.642 | 0.283 |
| PAM dosage | 0.923 | 0.025 | |
| Ozonation pretreatment time | 0.851 | 0.032 | |
| Ozone flux | 0.703 | 0.297 | |
| Molecular Formula | Possible Organic Matter |
|---|---|
| C2HCl3O2 (m/z 163) | O=C(Cl)OC(Cl)Cl (P1) |
| Chloroacetic acid (P2) | |
| C16H30O4 (m/z 286.21) | Dibutyl octanate (P3) |
| Di-butyl 2-methylpimelate (P4) | |
| Di-butyl 3-methylheptanedioate (P5) | |
| Di-butyl 4-methylheptanedioate (P6) | |
| Diisobutyl suberate (P7) | |
| Di-sec-butyl octanedioate (P8) | |
| Di-tert-butyl octanedioate (P9) |
| Molecular Formula | Possible Organic Matter |
|---|---|
| C18H14O12 (m/z 446.038) | ![]() |
![]() | |
![]() | |
| C24H20O12 (m/z 524) | ![]() |
![]() | |
![]() |
Disclaimer/Publisher’s Note: The statements, opinions and data contained in all publications are solely those of the individual author(s) and contributor(s) and not of MDPI and/or the editor(s). MDPI and/or the editor(s) disclaim responsibility for any injury to people or property resulting from any ideas, methods, instructions or products referred to in the content. |
© 2025 by the authors. Licensee MDPI, Basel, Switzerland. This article is an open access article distributed under the terms and conditions of the Creative Commons Attribution (CC BY) license (https://creativecommons.org/licenses/by/4.0/).
Share and Cite
Wang, J.; Hu, M.; Zhang, Z.; Tong, S. Effective Removal of Microplastics Using a Process of Ozonation Followed by Flocculation with Aluminum Sulfate and Polyacrylamide. Separations 2025, 12, 179. https://doi.org/10.3390/separations12070179
Wang J, Hu M, Zhang Z, Tong S. Effective Removal of Microplastics Using a Process of Ozonation Followed by Flocculation with Aluminum Sulfate and Polyacrylamide. Separations. 2025; 12(7):179. https://doi.org/10.3390/separations12070179
Chicago/Turabian StyleWang, Jie, Meiyi Hu, Ziyi Zhang, and Shaoping Tong. 2025. "Effective Removal of Microplastics Using a Process of Ozonation Followed by Flocculation with Aluminum Sulfate and Polyacrylamide" Separations 12, no. 7: 179. https://doi.org/10.3390/separations12070179
APA StyleWang, J., Hu, M., Zhang, Z., & Tong, S. (2025). Effective Removal of Microplastics Using a Process of Ozonation Followed by Flocculation with Aluminum Sulfate and Polyacrylamide. Separations, 12(7), 179. https://doi.org/10.3390/separations12070179






