Abstract
Yinhua Pinggan Granules (YPG) is a patented traditional Chinese medicine (TCM) compound prescription, with wide clinical application against cold, cough, and relevant diseases. However, the chemical profiles of YPG in vivo are still unknown, hindering further pharmacological and quality control (QC) researches. This study presents an ultra-high-performance liquid chromatography coupled with high-resolution orbitrap mass spectrometry (UHPLC-MS)-based method. Using the Compound Discoverer platform and a self-built ‘in-house’ compound database, the metabolic profiles and pharmacokinetics characters of YPG were investigated. Consequently, a total of 230 compounds (including 39 prototype components and 191 metabolites) were tentatively identified, in which the parent compounds were mainly flavonoids, alkaloids, and terpenoids, and the main metabolic pathways of metabolites include hydration, dehydration, and oxidation. The serum concentration of seven major representative compounds, including quinic acid, chlorogenic acid, amygdalin, 3′-methoxypuerarin, puerarin, glycyrrhizic acid, and polydatin, were also measured, to elucidate their pharmacokinetics behaviors in vivo. The pharmacokinetic study showed that the seven representative compounds were quantified in rat plasma within 5 min post-administration, with Tmax of less than 2 h, followed by a gradual decline in concentration over a 10 h period. The method demonstrated excellent linearity (R2 > 0.998), precision, and recovery (RSD < 15%). As the first systematic characterization of YPG’ s in vivo components and metabolites using UHPLC-MS, this study may contribute to comprehensively elucidate the metabolic profiles of the major components in YPG, and provide a critical foundation for further investigation on the QC and bioactivity research of YPG.
1. Introduction
YPG is a patented traditional Chinese medicine (TCM) prescription product (ZL03151188.0) recognized by the National Medical Products Administration (NMPA). In general, YPG is predominantly utilized for the treatment of cough, cold, and viral pneumonia, among others [1]. It is developed from the time-honored TCM formula Ma Huang Tang, which shows antipyretic activity in clinical practice [2,3] and has a relieving effect on early-stage flu symptoms in pharmacological research [4]. YPG is composed of six herbs in a ratio of 4:4:4:2:2:1, including Polygoni Cuspidati Rhizoma Et Radix, Lonicerae Japonicae Flos, Puerariae Lobatae Radix, Glycyrrhizae Radix Et Rhizoma, Ephedrae Herba, and Armeniacae Semen Amarum.
Previous pharmacological investigations revealed that YPG possesses the ability to thwart the replication of flu virus and reduce lung injury in infected mice [5]. In addition, recent studies have shown [6] that YPG and its components significantly inhibit the proliferation of the H1N1 virus. Especially during the COVID-19 pandemic [7,8,9,10], TCM, including YPG, has emerged as a standout in treating flu viruses and associated illnesses [11,12,13]. It is noteworthy that with the help of developed analytical techniques such as UHPLC-MS, global chemical profiling of YPG was realized. In a recent study, we have established [14] a comprehensive analytical method for characterizing the chemical composition of YPG using UHPLC-MS. A total of 380 components in YPG were preliminarily identified using Compound Discoverer Software 3.1 and a self-established compound database. This systematic analysis of the chemical components in YPG may give clear chemical information that could facilitate enhanced its quality control and pharmacological research. However, the behavior of the components in vivo is still unclear, including the metabolic pathway, pharmacokinetics, and so on.
On the other hand, the detection of serum components, metabolites, and the conduct of pharmacokinetic studies are of great importance in the research of TCM [15,16]. With the continuous developments of UHPLC-MS technology, several examples on TCM prescriptions were reported in recent years [17,18,19,20,21,22,23]. Xu et al. preliminarily characterized [24] 343 compounds from Huashi Baidu decoction (Q-14) with UPLC-Q-TOF-MS, suggested the characteristics of ‘multicomponent–multitarget–multipathway’ of Q-14 in the therapy of COVID-19. Gong et al. developed and validated [25] a chemicalome-to-metabolome matching method, identifying 162 metabolites in rat urine following Mai-Luo-Ning injection treatment. Based on these findings, the authors constructed a comprehensive metabolic network mapping precursor–metabolite relationships, offering a generalized strategy for global metabolite profiling of complex mixtures in intricate biological matrices. Liu et al. established [26] a UFLC-Q-TOF-MS HRMS and UHPLC-Q-MS/MS method to analyze the pharmacokinetics of traditional Chinese medicine tonics, offering insights to minimize their toxicity. Sun et al. established [27] a UPLC-MS/MS method to comparatively analyze the PK of nine compounds in Shaoyao Gancao Decoction in both healthy and liver-injured rats. Kong et al. identified [28] 80, 89, and 90 metabolites of six saponins in Astragalus membranaceus in urine, plasma, and feces, where the metabolic transformations mainly included deacetylation, dehydration, dexylose reaction dihydroxylation, methylation, deglycosylation, and ethylene glycol dehydration.
Herein, based on our previous global chemical profiling of YPG [14], a set of sensitive UHPLC-MS methods was established to qualitatively identify the prototype compounds from YPG and their metabolites in rat blood, and quantitively analyze the pharmacokinetic characteristics of YPG’s seven major components. Figure 1 illustrates the proposed schematic diagram. The present study might be conducive to the comprehensive understanding of the pharmacodynamic basis of YPG in further research. This study systematically investigated the in vivo metabolic profile of YPG through comprehensive qualitative analysis of its absorbed prototype components and metabolites in plasma using UHPLC-MS based techniques. However, there are still limitations in this investigation. For instance, most of the compounds were not quantitatively determined; only male rats were used in the experiment, despite sexual dimorphism. Further researches may include designs of more quantitative analysis using disease models, as well as more attention on samples other than serum, tissues, urine, and fecal samples.
Figure 1.
Analytical protocol for identification of YPG-related compounds in rat serum.
2. Materials and Methods
2.1. Materials and Reagents
YPG (Batch No. 200201, 200301, 200404) was purchased by Shaanxi Dongke Pharmaceutical Co., Ltd. (Xianyang, China). Amygdalin, puerarin, 3′-methoxypuerarin, polydatin, and glycyrrhetinic acid (≥98%) were all provided from Shanghai Aladdin Bio-technology Co., Ltd. (Shanghai, China). Quinic acid and epimedium glucoside (≥98%) were provided from Chengdu Alfa Biotechnology Co., Ltd. (Chengdu, China). Chlorogenic acid (≥98%) was purchased from Shanghai Yuanye Biotechnology Co., Ltd. (Shanghai, China). Liquid chromatography–mass spectroscopy (HPLC-MS)-grade methanol and acetonitrile for HPLC-MS analysis were purchased from Tedia Co. (Fairfield, OH, USA). Formic acid (88%) was provided from Sinopharm Chemical Reagent Co., Ltd. (Shanghai, China). Purified water used in this study was supplied by a Milli-Q water purification system (Bedford, MA, USA).
2.2. Animal Experiments and Serum Sample Collection
Male Sprague Dawley rats [29,30,31,32,33,34] (weighed 210–250 g, SPF grade) were obtained from Slac Laboratory Animal Co., Ltd. (Shanghai, China). All rats were housed under standard laboratory conditions (temperature was 20–24 °C, humidity was 50–60%, with a 12 h light/dark cycle). The animals were fed for 7 days, fasted for 12 h, and drank freely before the experiment. All experimental procedures strictly followed the National Institutions of Health Guide for the Care and Use of Laboratory Animals. The animal experiment protocol was approved by Laboratory animal management and ethics committee of ZCMU (Approval No. [IACUC-20230320-08], registered on 20 March 2023).
The rats in the administration group (n = 6) received 3.24 g/kg YPG (every 1 g of YPG was made from 4.25 g raw material) in aqueous solution intragastrically. Blood samples (0.1 mL) were collected into tubes containing heparin sodium at 0, 5, 15, 30, 45, 60, 90, 120, 180, 240, 360, 480, and 600 min after intragastric administration. The samples were subsequently subjected to centrifugation at 4 °C (3500 rpm) for a duration of 10 min, with the aim of acquiring plasma samples for subsequent experiments.
A volume of 50 μL of plasma samples at 45, 60, and 90 min were mixed for qualitative analysis, and the remaining plasma samples were stored at −80 °C prior to analysis.
2.3. Serum Pharmacochemical Analysis
2.3.1. Biological Sample Pretreatment
A mere 100 μL of the plasma specimens were mixed with 300 μL of methanol and vigorously shaken for a solid five minutes. Once the centrifugation process at 12,000 revolutions per minute for ten minutes was complete, the resultant supernatant was carefully extracted and left to evaporate in a nitrogen gas stream [29]. Subsequently, the residues were reconstituted in 100 μL of a methanol: water solution, with a volumetric ratio of 1:1, vigorously mixed for three minutes, and then subjected to another centrifugation process at 12,000 rpm for a duration of 10 min. Thereafter, the samples were injected into the UHPLC-MS system for analysis [29].
2.3.2. Qualitive UHPLC-MS Analysis
The U3000 UHPLC system coupled with a Q-Exactive Orbitrap mass spectrometer (Thermo, San Jose, CA, USA) was employed in present investigation.
The UHPLC analysis was performed on a CAPCELL PAK C18 MG II column (150 mm × 4.6 mm, 3 μm, Osaka Soda, Osaka, Japan) maintained at 35 °C. Samples (5 μL injection volume) were separated through a mobile phase consisting of 0.5% formic acid (A) and acetonitrile (B), under the following linear flow gradient conditions: 5–20% B at 0–10 min, 20–35% B at 10–30 min, 35–55% B at 30–32 min, 55–95% B at 32–35 min, and 95% B at 35–42 min. The flow rate was 0.4 mL/min.
The mass spectrometry was conducted were based on an electrospray ionization source in both positive and negative ion modes. The following operational parameters were employed: scanning mode, Full MS/ddMS2; nebulizer voltage, 2.5 kV; aux gas, 14 arb; sheath gas, 50 arb; probe heater temperature, 300 °C; capillary temperature 320 °C; collision energy, 30/40 eV; m/z 100–1500 scanning range. Instrument control and data acquisition were achieved using Xcalibur 2.3.1 (Thermo, San Jose, CA, USA).
2.3.3. Data Analysis
The identification of the in vivo prototype compounds and metabolites was conducted using Compound Discoverer V3.1 (Thermo Fisher Scientific, USA). A self-built compound library containing 380 components identified in our previous work was implemented in the ‘mass list’ block [14]. The raw data files were imported to extract mass spectrometry information, including retention time (RT), peak areas, and m/z values. The analysis process followed a self-built workflow. Briefly, the ‘input file’ node is used to submit the drug-administered blood samples and the corresponding blank blood samples. Other important parameters included: positive ion selection, [M + H]+; negative ion selection, [M − H]−; mass tolerance, 5 ppm; minimum peak intensity, 100,000; peak detection signal/noise threshold, 3.
2.4. Serum Pharmacokinetic Analysis
2.4.1. Pretreatment of Blood Samples
A mixture of 100 μL blood sample and 10 μL internal standard (IS) working solution was added in 300 μL methanol and vigorously shaken for a solid two minutes [29]. Following a 10 min centrifugation at 12,000 rpm, the clarified supernatant was carefully transferred to a fresh microcentrifuge tube and evaporated to dryness under a gentle nitrogen stream. The resulting residue was subsequently reconstituted in 100 µL of 50% (v/v) methanol aqueous solution, followed by sequential vortex-mixing (2 min). After repeating the centrifugation protocol (12,000 rpm, 10 min), 5 µL aliquots of the processed supernatant were subjected to UHPLC-MS [29].
2.4.2. Calibration Standard and QC Samples
To prepare the stock solutions, seven reference substances were dissolved in methanol at the following final concentrations: quinic acid, 2.0 mg/mL; chlorogenic acid, 2.0 mg/mL; puerarin, 2.0 mg/mL; 3′-methoxypuerarin, 1.0 mg/mL; polydatin, 1.0 mg/mL; glycyrrhizic acid, 0.5 mg/mL; amygdalin, 0.5 mg/mL. Icariin (IS, 250 ng/mL) was meticulously prepared in methanol. A working solution of 10 μL was added to the blank plasma to prepare a working solution of 100 μL. The following calibrators were prepared by serial dilution method: quinic acid at 50, 100, 200, 500, 2500, 6000, and 7000 ng/mL; chlorogenic acid at 1, 5, 10, 50, 100, 500, and 1500 ng/mL; puerarin at 10, 25, 50, 100, 500, 1500, and 3000 ng/mL; 3′-methoxypuerarin at 5, 10, 5, 50, 100, 250, and 1000 ng/mL; polydatin at 1, 5, 10, 25, 50, 250, and 1000 ng/mL; glycyrrhizic acid at 0.1, 0.25, 0.5, 1, 5, 25, and 150 ng/mL; and amygdalin at 0.25, 0.5, 1, 5, 10, 25, and 100 ng/mL. The preparation of low-, medium-, and high-concentration QC samples is as follows: quinic acid at 300, 3000, 6000 ng/mL; chlorogenic acid at 50, 600, 1200 ng/mL; puerarin at 150, 1400, 2800 ng/mL; 3′-methoxypuerarin at 50, 450, 900 ng/mL; polydatin at 50, 450, 900 ng/mL; glycyrrhizic acid at 5, 70, 140 ng/mL; and amygdalin at 5, 45, 90 ng/mL.
2.4.3. Quantitative UHPLC-MS Analysis
The UHPLC-MS equipment was as the same as described in Section 2.3.2. The UHPLC analysis was performed on a Welch Ultimate XB-C18 column (150 mm × 4.0 mm, 3 μm, Welch, Shanghai, China) at 25 °C. Samples (5 μL injection volume) were separated through a mobile phase consisting of 0.5% formic acid (A) and acetonitrile (B), with a flow rate of 0.4 mL/min. The linear flow gradient employed was as follows: 0–2 min, 15–20% B; 2–12 min, 20–24% B; 12–13 min, 24–30% B; 13–18 min, 30–95% B; 18–25 min, 95% B.
The mass spectrometry data were obtained in negative ion modes with Full Scan (Full MS) mode. The other MS parameters were as the same as in Section 2.3.2.
2.4.4. Method Validation
Following the guide of Bioanalytical Method Validation Guidelines (Chinese Pharmacopoeia 2020, Vol. 4) [35,36], the selectivity, linearity, accuracy and precision, recovery and matrix effect, and stability of the method were validated. With regard to selectivity validation, the selectivity of the PK analytical method was evaluated through a comparative analysis of chromatograms of blank plasma samples, blank plasma samples containing mixed references and IS, and plasma samples collected after oral administration. For the purpose of validating linearity, the standard curve of the ratio of the chromatographic peak area of the drug to the internal standard (y) versus the corresponding concentration (x) was plotted using the weighted least squares method. To validate the accuracy and precision of the method, three QC samples at low, medium, and high concentration levels were selected for analysis, and the recovery, matrix effect, freeze–thaw stability, and long-term stability experiments were carried out according to the guidelines.
The comprehensive validation process ensured the reliability and stability of the pharmacokinetic analysis method, providing a solid technical foundation for drug research. The detailed method can be found in the Supplementary Materials.
2.4.5. Pharmacokinetic Parameter Calculation
The blood concentration data were imported into the Drug and Statistics (DAS) version 3.2.6 software for calculation, and the pharmacokinetic parameters were statistically processed using the non-atrial and non-intravenous models.
2.4.6. Statistical Analysis
All data presented above were expressed as the ± SD and analyzed using GraphPad prism 9.0 (GraphPad, San Diego, CA, USA).
3. Results and Discussion
Our preliminary study [14] systematically characterized the chemical profile of YPG with HPLC-Q Exactive MS. By qualitatively analyzing plasma from rats after oral administration of YPG, we initially identified 380 components. On the basis of the ex vivo chemical information of YPG, the in vivo metabolic behaviors of these components, including qualitive metabolic profile and quantitative pharmacokinetics of seven representative constituents, were further elucidated in present investigation.
3.1. Identification of In Vivo Prototype Compounds of YPG
Based on the strategy shown in Figure 1 and previous studies [14], the mass spectrometry information of YPG components in vivo was obtained. The base peak chromatograms (BPCs) are shown in Figure 2, and the BPCs of YPG before treatment are shown in Figure S1.
Figure 2.
BPCs of in vivo components of YPG. (A) Drugged plasma in negative ion mode; (B) drugged plasma in positive ion mode; (C) blank plasma in negative ion; (D) blank plasma in positive ion mode.
In accordance with RT and MS information of compounds in the aqueous extract of YPG [14], a total of 39 prototypes, which were marked as P1, P2, … P39 in Table S1, were identified or preliminarily characterized in drug-containing serum after oral administration of YPG. These parent compounds are mainly flavonoids, alkaloids, and terpenoids. In this study, a total of 15 flavonoids and their glycosides, including P14, P15, P16, P17, P22, P26, P27, P29, and P39, were identified in rat plasma following YPG administration. Flavonoids have antioxidant, anti-inflammatory, and immunomodulatory activities [37,38]. The alkaloid composition of YPG was from Herba Ephedrae [39,40,41]. In this study, compounds P1, P2, P5, P6, P9, and P10 have been successfully characterized. Furthermore, we detected phenolic acids P12 and P13. Chlorogenic acid and its isomers are typical phenolic acids present in relatively high concentrations in YPG [42,43].
3.2. Annotation of YPG-Related Metabolites in Rat Biosamples
The metabolites of YPG components were further proposed as described in Step 2 of Figure 1. A total of 191 metabolites (marked as M1, M2, … M191 in Table S1) were tentatively identified. The main metabolic pathways of metabolites include hydration, dehydration, oxidation, methylation, sulfation, glutamine conjugation, etc. Fragmentation studies of representative compounds were conducted to help elucidate the chemical structures of the metabolites. The four representative metabolites of selected compounds, namely norpseudoephedrine (P2), quinic acid (N4), ferulic acid (N45), and puerarin 6″-O-xylosylside (P15), covered four different structural types in YPG (alkaloids, carboxylic acids, and flavonoids, respectively).
3.2.1. P2-Related Metabolites
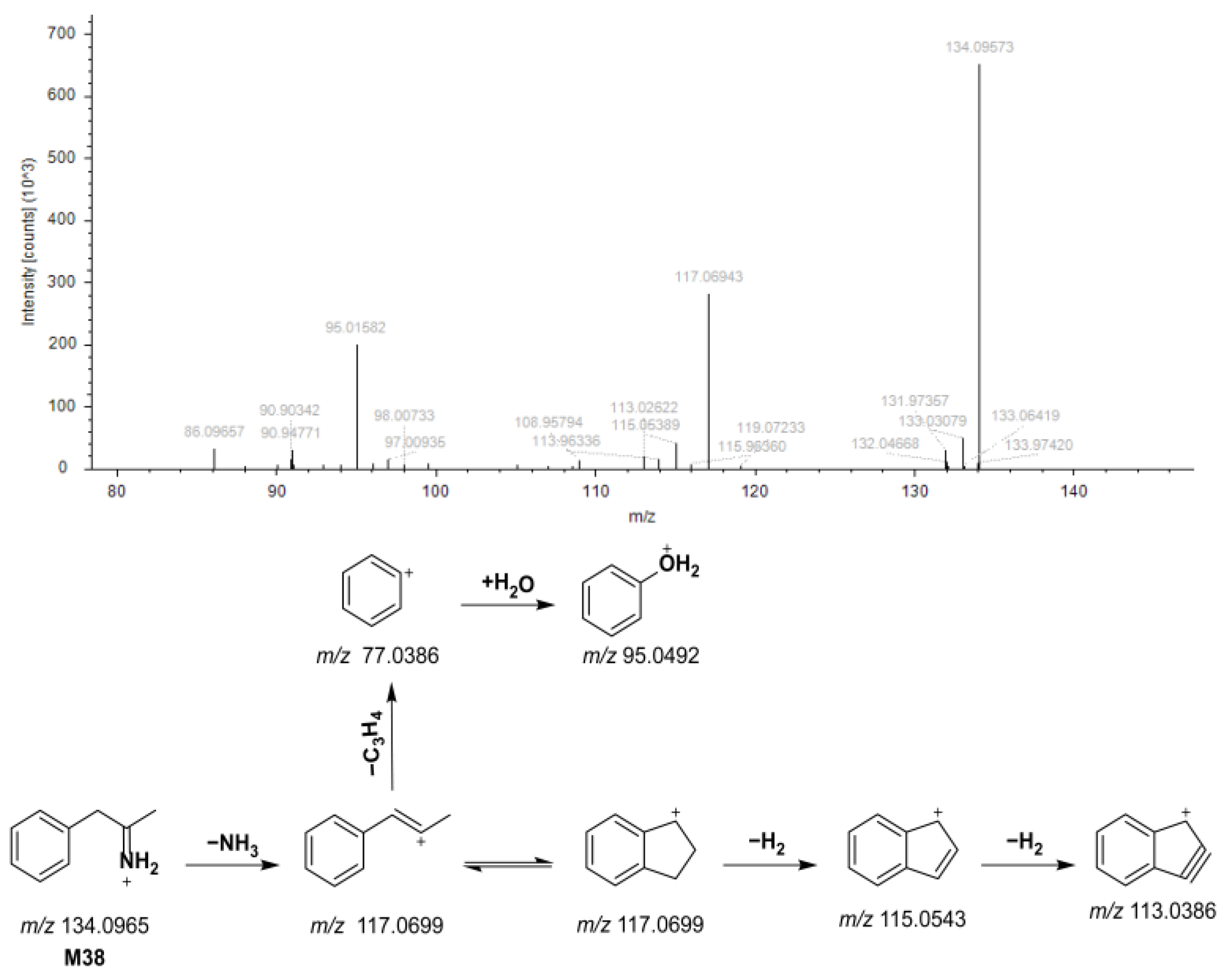
P2 belongs to the alkaloid group of compounds, and the predominant alkaloids in YPG are ephedra alkaloids and isomers [37]. M38 (RT = 11.08 min) exhibited the [M + H]+ ion at m/z 134.0965, which was ascertained to be C9H11N with a molecular weight 18.0105 Da (H2O) less than that of P2. The fragment ions of M38 have been identified as m/z 117.0699, 115.0543, 113.0386, 95.0492. The MS2 spectrum and possible fragmentation pathway of M38 is shown in Figure 3.
Figure 3.
MS/MS spectrum of [M + H]+ ions and possible fragmentation pathway of M38.
3.2.2. N4-Related Metabolites
M6 was screened out as a xenobiotic associated with N4. M6 was generated from N4 after a series of metabolic reactions, including dehydration, reduction, and cysteine conjugation. M6 (RT = 10.92 min) showed the [M + H]+ ion at m/z 298.0955, which was determined to be C10H19NO7S, 105.0248 Da (C3H7NOS) greater than that of N4. Since the characteristic fragments after sequentially losing 162.0224 Da (C5H8NO3S) at m/z 136.0731 was observed. The MS2 spectrum and possible fragmentation pathways of M6 are shown in Figure 4.
Figure 4.
MS/MS spectrum of [M + H]+ ions and possible fragmentation pathway of M6.
3.2.3. N45-Related Metabolites
M102 was discovered after N45 underwent phase I metabolic sulfation. M102 (RT = 20.10 min, m/z 274.0147) has a molecular formula of C10H19NO7S, with a weight of 79.9568 Da (SO3), greater than that of N45. The fragment ions of M102 are m/z 193.0506, 149.0608, 178.0271, and 134.0373. The MS2 spectrum and possible cleavage pathways of M102 are shown in Figure 5.
Figure 5.
MS/MS spectrum of [M − H]− ions and possible fragmentation pathway of M102.
3.2.4. P15-Related Metabolites
M61 (RT = 17.99 min) was identified as the metabolite of P15 underwent hydration. M61 exhibited the [M − H]− ion at m/z 565.1562, which was quantified as C26H30O14, 18.0105 Da (H2O) greater than that of P15. The characteristic fragments after sequentially losing 338.1001Da (C16H18O8), 114.0317 Da (C5H6O3), and 142.0266 Da (C6H6O4) at m/z 227.0561, 113.0244, and 85.0295 were observed. The MS2 spectrum and possible fragmentation pathway of M61 are shown in Figure 6.
Figure 6.
MS/MS spectrum of [M − H]− ions and possible fragmentation pathway of M61.
In total, 230 xenobiotics were found in the plasma samples, which included 39 prototype compounds, and 191 metabolites were tentatively characterized. Our results indicate that the major xenobiotics of YPG were flavonoids and a small number of alkaloids and terpenoids. The four representative metabolites of YPG that we selected belong to alkaloids, carboxylic acids, and flavonoids. Flavonoids, as one of the most fundamental natural products in plant medicine, exhibit a broad range of biological activities and therapeutic efficacies [37,39]. In addition, we have identified a small number of terpenoids, which were mainly concentrated in Lonicerae Japonicae Thunb, Glycyrrhizae Radix, and Puerariae Lobatae Radix. For example, P25 is the primary bioactive component of Glycyrrhizae Radix, which has many pharmacological effects, including anti-inflammation and detoxification [38,44,45,46].
3.3. Pharmacokinetics of Seven Representative Components
The pharmacokinetic investigation of compounds in TCM has emerged as a prominent area of research, facilitating the elucidation of the absorption and metabolic processes of these compounds within the human body [47,48,49]. In this study, utilizing a UHPLC-MS system operating in negative ion mode, the plasma concentration levels of seven major components in YPG, including quinic acid (N4), amygdalin (N22), chlorogenic acid (P12), puerarin (P16), 3′-methoxypuerarin (P17), polydatin (N38), and glycyrrhizic acid (P25), were concurrently quantified in samples collected at different time after oral administration of YPG. Icariin was employed as the IS for the experiments. The pharmacokinetic behaviors of these compounds were investigated by analyzing the temporal patterns of their pharmacokinetics.
3.3.1. Establishment of Quantitative UHPLC-MS Method
Combined with the results of drug metabolism analysis, an UHPLC-MS detection and analysis method was established for the simultaneous determination of seven representative components of YPG. The list of target ions detected under optimized detection conditions and their mass spectrometry information measured in the UHPLC-MS system are shown in Table 1.
Table 1.
Parameters of quantification method for seven main components of YPG and IS.
3.3.2. Analysis of Pharmacokinetic Parameters
The blood concentration was performed in accordance with the standard curve equation. The concentration–time curves were subsequently generated using GraphPad Prism 9 software, as shown in Figure 7. The data were then analyzed using DAS 3.2.6 software, and seven main parameters were obtained: time to peak concentration (Tmax), peak plasma concentration (Cmax), area under the drug–time curve (AUC0–∞), terminal elimination half-life (t1/2), mean residence time (MRT0–∞), clearance (CLz/F), apparent volume of distribution (Vz/F). The detailed results are presented in Table 2.
Figure 7.
Pharmacokinetic profiles of seven constituents: (A) quinic acid; (B) chlorogenic acid; (C) amygdalin; (D) puerarin; (E) 3′-methoxypuerarin; (F) polydatin; (G) glycyrrhizic acid.
Table 2.
Pharmacokinetic parameters of seven constituents in YPG.
The findings indicated that the seven analytes were detected in rat plasma within 5 min post-administration, with Tmax of less than 2 h, followed by a gradual decline in concentration over a 10 h period. We found that P12, P16, N38, and P17 had higher content ratios in YPG [14], but the AUC0–∞ of P12, P17, and N38 in rat plasma was low. The Tmax of P12, P16, and P17 were consistent, and showed similar pharmacokinetic profiles. In contrast, N38 exhibited the shortest Tmax, a phenomenon strongly correlated with its structural advantages that enhance passive transintestinal epithelial diffusion efficiency [50], indicative of the most rapid absorption rate and the earliest attainment of peak plasma concentration. P12 was characterized to possess the shortest MRT0–∞ in rats, while N4 displayed the highest metabolic rate. This metabolic difference may be related to the isoform-specific catalytic efficiency of cytochrome P450 3A4 in [51]. Conversely, P25 showed the longest MRT0–t in rats, as its hydrophilic sugar chain may delay transmembrane transport. N22 showed a faster absorption rate after oral administration in rats [52], and its rapid absorption may be related to the glycosyl part of the cyanoglycoside structure. The abovementioned results suggested that YPG is rapidly absorbed and exhibits a swift onset of action.
3.3.3. Method Validation Results
The UHPLC-MS method developed in this study was validated, demonstrating linearity from 0.10–7000 ng/mL with high selectivity and sensitivity. Intra-day precision for three concentration levels of the seven analytes ranged from 2.6% to 10.6%, while inter-day precision ranged from 3.5% to 11.3%, with recoveries of more than 80% and no obvious matrix effect. The results of the study demonstrated that presence of the endogenous background did not interfere with the efficacy of the substances under investigation. Representative chromatograms are shown in Figure 8.
Figure 8.
Chromatograms of seven compounds and IS from rat plasma: (A) blank plasma; (B) blank plasma spiked with seven analytes and IS; (C) drugged plasma samples obtained from rat after oral administration of YPG.
The analytical curves were constructed as presented in Table 3, with all of the correlation coefficients (R2) > 0.998.
Table 3.
Standard curves of seven main components in YPG.
The precision, accuracy, and stability are shown in Table 4, and the results are all less than 15%, thereby satisfying the relevant requirements for the analysis of biological samples.
Table 4.
Precision, accuracy, and stability of seven main components in YPG.
As shown in Table 5, the developed sample preparation method showed 91.8–98.8% analyte recovery efficiency with ≤15% RSD, coupled with 93.6–103.6% matrix effects (RSD < 15%) in biological matrices, fulfilling FDA bioanalytical method validation guidelines.
Table 5.
Extraction recovery and matrix effect of seven main components in YPG.
In this study, a sensitive analytical method based on UHPLC-MS was established, which can quantitatively detect seven major components within 25 min, thus breaking through the analytical bottleneck in the pharmacokinetic study of multiple herbs. The method demonstrated excellent linearity (R2 > 0.998), precision, and recovery (RSD < 15%). Secondly, N38 was identified as a marker for rapid absorption (Tmax was 0.42 h), suggesting its potential as an indicator for bioavailability evaluation of preparations. In addition, the metabolic conjugates of N4, N22 and cysteine were observed by qualitative analysis in vivo. These metabolic conjugates may form stable metabolites through covalent bonds, thereby changing their pharmacokinetic characteristics. This finding provides a new theoretical basis for predicting the interaction between herbs and drugs, and provides an important reference for the transformation strategy in clinical application.
4. Conclusions
In summary, a rapid and effective UHPLC-MS-based protocol was used to qualitatively characterize the metabolic profiles of YPG in rats. A total of 230 components and metabolites were tentatively identified in rat serum after the oral administration of YPG. The detected compounds included 39 prototype components and 191 metabolites. In addition, we also studied the pharmacokinetics of seven components of YPG in vivo, including quinic acid, chlorogenic acid, amygdalin, 3′-methoxypuerarin, puerarin, glycyrrhizic acid, and polydatin. The pharmacokinetic study showed that the seven analytes were detected in rat plasma within 5 min post-administration, with Tmax of less than 2 h, followed by a gradual decline in concentration over a 10 h period. The method demonstrated excellent linearity (R2 > 0.998), precision, and recovery (RSD < 15%). As the first systematic characterization of YPG’ s in vivo components and metabolites using UHPLC-MS, the present investigation may contribute to comprehensively elucidating the metabolic profiles of the major components in YPG, and provide a critical foundation for further investigation on the QC and bioactivity research of YPG.
Supplementary Materials
The following supporting information can be downloaded at: https://www.mdpi.com/article/10.3390/separations12050113/s1, Method Validation of Pharmacokinetics; Figure S1: BPCs of YPG in negative (A) and positive (B) modes; Table S1: UHPLC-MS data of prototype compounds and their related metabolites in rat plasma after oral administration of YPG extract.
Author Contributions
Conceptualization, H.W. (Haitong Wan); methodology, H.W. (Haofang Wan) and C.L.; validation, Y.L.; formal analysis, Y.H.; investigation, N.G., H.W. (Haofang Wan) and I.Y.; resources, H.W. (Haitong Wan); data curation, Y.L. and C.L.; writing—original draft preparation, N.G. and H.W. (Haofang Wan); writing—review and editing, C.L. and H.W. (Haitong Wan); supervision, H.W. (Haitong Wan); project administration, C.L.; funding acquisition, H.W. (Haitong Wan). All authors have read and agreed to the published version of the manuscript.
Funding
This research was funded by the National Natural Science Foundation of China [81930111] and Zhejiang Chinese Medical University [2021JKZKTS009A].
Institutional Review Board Statement
All experimental procedures strictly followed the National Institutions of Health Guide for the Care and Use of Laboratory Animals, and the animal study protocol was approved by the Laboratory animal management and ethics committee of ZCMU (Approval No. [IACUC-20230320-08]). Every effort was made to minimize animal suffering and reduce the number of animals used, following the ARRIVE guidelines 2.0.
Data Availability Statement
The raw data supporting the conclusions of this article will be made available by the authors on request.
Acknowledgments
Financial support from the National Natural Science Foundation of China [81930111] and Zhejiang Chinese Medical University [2021JKZKTS009A] are gratefully acknowledged.
Conflicts of Interest
The authors declare no conflicts of interest.
Abbreviations
The following abbreviations are used in this manuscript:
| YPG | Yinhua Pingguan Granules |
| QC | quality control |
| UHPLC-MS | ultra-high-performance liquid chromatography coupled with high-resolution orbitrap mass spectrometry |
| TCM | traditional Chinese medicine |
| NMPA | National Medical Products Administration |
| Q-14 | Huashi Baidu decoction |
| HESI | electrospray ionization source |
| RT | retention time |
| DAS | Drug and Statistics |
| BPCs | base peak chromatograms |
| Tmax | time to peak concentration |
| Cmax | peak plasma concentration |
| AUC0–∞ | area under the drug-time curve |
| t1/2 | terminal elimination half-life |
| MRT0–∞ | mean residence time |
| CLz/F | clearance |
| Vz/F | apparent volume of distribution |
References
- Wang, J.; Hu, H.; Du, H.; Luo, M.; Cao, Y.; Xu, J.; Chen, T.; Guo, Y.; Li, Q.; Chen, W.; et al. Clinical Efficacy Protocol of Yinhuapinggan Granules: A Randomized, Double-Blind, Parallel, and Controlled Clinical Trial Program for the Intervention of Community-Acquired Drug-Resistant Bacterial Pneumonia as a Complementary Therapy. Front. Pharmacol. 2022, 13, 852604. [Google Scholar]
- Kubo, T.; Nishimura, H. Antipyretic effect of Mao-to, a Japanese herbal medicine, for treatment of type A influenza infection in children. Phytomedicine 2007, 14, 96–101. [Google Scholar] [CrossRef] [PubMed]
- Nabeshima, S.; Kashiwagi, K.; Ajisaka, K.; Masui, S.; Takeoka, H.; Ikematsu, H.; Kashiwagi, S. A randomized, controlled trial comparing traditional herbal medicine and neuraminidase inhibitors in the treatment of seasonal influenza. J. Infect. Chemother. 2012, 18, 534–543. [Google Scholar] [CrossRef] [PubMed]
- Nagai, T.; Kataoka, E.; Aoki, Y.; Hokari, R.; Kiyohara, H.; Yamada, H. Alleviative Effects of a Kampo (a Japanese Herbal) Medicine “Maoto (Ma-Huang-Tang)” on the Early Phase of Influenza Virus Infection and Its Possible Mode of Action. Evid. Based Complement. Alternat. Med. 2014, 2014, 187036. [Google Scholar] [CrossRef] [PubMed]
- Du, H.; Zhou, H.; Yang, J.; Lu, Y.; He, Y.; Wan, H. Preliminary study of Yinhuapinggan granule against H1N1 influenza virus infection in mice through inhibition of apoptosis. Pharm. Biol. 2020, 58, 979–991. [Google Scholar] [CrossRef]
- Du, H.; Zhou, H.; Wan, H.; Yang, J.; Lu, Y.; He, Y.; Wan, H. Antiviral effects and mechanisms of Yinhuapinggan granule against H1N1 influenza virus infection in RAW264.7 cells. Inflammopharmacology 2018, 26, 1455–1467. [Google Scholar] [CrossRef]
- Li, R.; Hou, Y.; Huang, J.; Pan, W.; Ma, Q.; Shi, Y.; Li, C.; Jin, Z.; Jia, Z.; Jiang, H.; et al. Lianhuaqingwen exerts anti-viral and anti-inflammatory activity against novel coronavirus (SARS-CoV-2). Pharmacol. Res. 2020, 156, 104761. [Google Scholar]
- Lee, D.; Li, Q.; Liu, J.; Efferth, T. Traditional Chinese herbal medicine at the forefront battle against COVID-19: Clinical experience and scientific basis. Phytomedicine 2021, 80, 153337. [Google Scholar] [CrossRef]
- Chen, X.; Wu, Y.; Chen, C.; Gu, Y.; Zhu, C.; Wang, S.; Chen, J.; Zhang, L.; Lv, L.; Zhang, G.; et al. Identifying potential anti-COVID-19 pharmacological components of traditional Chinese medicine Lianhuaqingwen capsule based on human exposure and ACE2 biochromatography screening. Acta Pharm. Sin. B 2021, 11, 222–236. [Google Scholar] [CrossRef]
- Wang, X.; Zhang, X.; Li, J.; Fu, J.; Zhao, M.; Zhang, W.; Weng, W.; Li, Q. Network Pharmacology and LC-MS Approachs to Explore the Active Compounds and Mechanisms of Yuanjiang Decoction for Treating Bradyarrhythmia. Comput. Biol. Med. 2023, 152, 106435. [Google Scholar] [CrossRef]
- Wei, J.; Sun, J.; Zeng, J.; Ji, E.; Xu, J.; Tang, C.; Huo, H.; Zhang, Y.; Li, H.; Yang, H. Precise Investigation of the Efficacy of Multicomponent Drugs Against Pneumonia Infected with Influenza Virus. Front. Pharmacol. 2021, 12, 604009. [Google Scholar] [CrossRef] [PubMed]
- Xie, K.; Guan, S.; Jing, H.; Ji, W.; Kong, X.; Du, S.; Jia, M.; Wang, H. Efficacy and Safety of Traditional Chinese Medicine Adjuvant Therapy for Severe Pneumonia: Evidence Mapping of the Randomized Controlled Trials, Systematic Reviews, and Meta-Analyses. Front. Pharmacol. 2023, 14, 1227436. [Google Scholar] [CrossRef] [PubMed]
- Zhao, D.; Chen, X.; Wang, L.; Zhang, J.; Lv, R.; Tan, L.; Chen, Y.; Tao, R.; Li, X.; Chen, Y.; et al. Improvement Influenza Vaccine Immune Responses with Traditional Chinese Medicine and Its Active Ingredients. Front. Microbiol. 2023, 14, 1111886. [Google Scholar] [CrossRef] [PubMed]
- Yalkun, I.; Wan, H.; Ye, L.; Yu, L.; He, Y.; Li, C.; Wan, H. Qualitative and Quantitative Analysis of Chemical Components in Yinhua Pinggan Granule with High-Performance Liquid Chromatography Coupled with Q-Exactive Mass Spectrometry. Molecules 2024, 29, 2300. [Google Scholar] [CrossRef]
- Hu, L.; Yao, Z.; Qin, Z.; Liu, L.; Song, X.; Dai, Y.; Kiyohara, H.; Yamada, H.; Yao, X. In Vivo Metabolic Profiles of Bu-Zhong-Yi-Qi-Tang, a Famous Traditional Chinese Medicine Prescription, in Rats by Ultra-High-Performance Liquid Chromatography Coupled with Quadrupole Time-of-Flight Tandem Mass Spectrometry. J. Pharm. Biomed. Anal. 2019, 171, 81–98. [Google Scholar] [CrossRef]
- Mahana, A.; Hammoda, H.M.; Khalifa, A.A.; Elblehi, S.S.; Harraz, F.M.; Shawky, E. Integrated Serum Pharmacochemistry and Network Pharmacology Analyses Reveal the Bioactive Metabolites and Potential Functional Mechanism of Ground Cherry (Physalis pruinosa L.) in Treatment of Type 2 Diabetes Mellitus in Rats. J. Ethnopharmacol. 2023, 300, 115750. [Google Scholar] [CrossRef]
- Yang, X.; Feng, Y.; Liu, Y.; Ye, X.; Ji, X.; Sun, L.; Gao, F.; Zhang, Q.; Li, Y.; Zhu, B.; et al. Fuzheng Jiedu Xiaoji Formulation Inhibits Hepatocellular Carcinoma Progression in Patients by Targeting the AKT/CyclinD1/P21/P27 Pathway. Phytomedicine 2021, 87, 153575. [Google Scholar] [CrossRef]
- Guo, Z.; Duan, Y.; Zhao, Z.; Yang, D.; Xu, X. HPLC Fingerprint Analysis of Cibotii Rhizoma from Different Regions and Identification of Common Peaks by LC-MS. Pharmaceuticals 2024, 17, 313. [Google Scholar] [CrossRef]
- Liu, Y.; Hu, M.; Qian, J.; Wang, Y.; Wang, S. Characterization of the Chemical Constituents of Jie-Geng-Tang and the Metabolites in the Serums and Lungs of Mice after Oral Administration by LC-Q-TOF-MS. Chin. J. Nat. Med. 2021, 19, 284–294. [Google Scholar] [CrossRef]
- Han, F.; Li, Y.; Ma, L.; Liu, T.; Wu, Y.; Xu, R.; Song, A.; Yin, R. A Rapid and Sensitive UHPLC-FT-ICR MS/MS Method for Identification of Chemical Constituents in Rhodiola Crenulata Extract, Rat Plasma and Rat Brain after Oral Administration. Talanta 2016, 160, 183–193. [Google Scholar] [CrossRef]
- Xiang, H.; Zhang, L.; Song, J.; Fan, B.; Nie, Y.; Bai, D.; Lei, H. The Profiling and Identification of the Absorbed Constituents and Metabolites of Guizhi Decoction in Rat Plasma and Urine by Rapid Resolution Liquid Chromatography Combined with Quadrupole-Time-of-Flight Mass Spectrometry. Int. J. Mol. Sci. 2016, 17, 1409. [Google Scholar] [CrossRef] [PubMed]
- Xie, P.; Fang, Y.; Shen, Z.; Shao, Y.; Ma, Q.; Yang, Z.; Zhao, J.; Li, H.; Li, R.; Dong, S.; et al. Broad Antiviral and Anti-Inflammatory Activity of Qingwenjiere Mixture against SARS-CoV-2 and Other Human Coronavirus Infections. Phytomedicine 2021, 93, 153808. [Google Scholar] [CrossRef]
- Li, Z.; Hou, J.; Deng, Y.; Zhi, H.; Wu, W.; Yan, B.; Chen, T.; Tu, J.; Zhu, Z.; Wu, W.; et al. Exploring the Protective Effects of Danqi Tongmai Tablet on Acute Myocardial Ischemia Rats by Comprehensive Metabolomics Profiling. Phytomedicine 2020, 74, 152918. [Google Scholar] [CrossRef]
- Xu, H.; Li, S.; Liu, J.; Cheng, J.; Kang, L.; Li, W.; Zhong, Y.; Wei, C.; Fu, L.; Qi, J.; et al. Bioactive Compounds from Huashi Baidu Decoction Possess Both Antiviral and Anti-Inflammatory Effects against COVID-19. Proc. Natl. Acad. Sci. USA 2023, 120, e2301775120. [Google Scholar] [CrossRef]
- Gong, P.; Cui, N.; Wu, L.; Liang, Y.; Hao, K.; Xu, X.; Tang, W.; Wang, G.; Hao, H. Chemicalome and Metabolome Matching Approach to Elucidating Biological Metabolic Networks of Complex Mixtures. Anal. Chem. 2012, 84, 2995–3002. [Google Scholar] [CrossRef]
- Liu, L.; Li, H.; Xu, F.; Wang, H.; Zhang, Y.; Liu, G.; Shang, M.; Wang, X.; Cai, S. Exploring the In Vivo Existence Forms (23 Original Constituents and 147 Metabolites) of Astragali Radix Total Flavonoids and Their Distributions in Rats Using HPLC-DAD-ESI-IT-TOF-MSn. Molecules 2020, 25, 5560. [Google Scholar] [CrossRef]
- Sun, L.; Zhao, M.; Li, J.; Liu, J.; Wang, M.; Zhao, C. Exploration of the Anti-Liver Injury Active Components of Shaoyao Gancao Decoction by Network Pharmacology and Experiments in Vivo. Phytomedicine 2023, 112, 154717. [Google Scholar] [CrossRef]
- Kong, S.; Ou, S.; Liu, Y.; Xie, M.; Mei, T.; Zhang, Y.; Zhang, J.; Wang, Q.; Yang, B. Surface-Enhanced Raman Spectroscopy Analysis of Astragalus Saponins and Identification of Metabolites After Oral Administration in Rats by Ultrahigh-Performance Liquid Chromatography/Quadrupole Time-of-Flight Mass Spectrometry Analysis. Front. Pharmacol. 2022, 13, 828449. [Google Scholar] [CrossRef]
- Chen, Q.; Wan, J.; Zhang, Y.; He, Y.; Bao, Y.; Yu, L.; Yang, J. Pharmacokinetic-Pharmacodynamic Modeling Analysis for Hydroxysafflor Yellow A-Calycosin in Compatibility in Normal and Cerebral Ischemic Rats: A Comparative Study. Biomed. Pharmacother. 2022, 150, 112950. [Google Scholar] [CrossRef]
- Truver, M.T.; Smith, C.R.; Garibay, N.; Kopajtic, T.A.; Swortwood, M.J.; Baumann, M.H. Pharmacodynamics and Pharmacokinetics of the Novel Synthetic Opioid, U-47700, in Male Rats. Neuropharmacology 2020, 177, 108195. [Google Scholar] [CrossRef]
- Arora, P.; Gudelsky, G.; Desai, P.B. Gender-Based Differences in Brain and Plasma Pharmacokinetics of Letrozole in Sprague-Dawley Rats: Application of Physiologically-Based Pharmacokinetic Modeling to Gain Quantitative Insights. PLoS ONE 2021, 16, e0248579. [Google Scholar] [CrossRef] [PubMed]
- Pinterova-Leca, N.; Horsley, R.R.; Danda, H.; Žídková, M.; Lhotková, E.; Šíchová, K.; Štefková, K.; Balíková, M.; Kuchař, M.; Páleníček, T. Naphyrone (Naphthylpyrovalerone): Pharmacokinetics, Behavioural Effects and Thermoregulation in Wistar Rats. Addict. Biol. 2021, 26, e12906. [Google Scholar] [CrossRef] [PubMed]
- Krotulski, A.J.; Garibay, N.; Walther, D.; Walton, S.E.; Mohr, A.L.A.; Logan, B.K.; Baumann, M.H. Pharmacokinetics and Pharmacodynamics of the Synthetic Cannabinoid, 5F-MDMB-PICA, in Male Rats. Neuropharmacology 2021, 199, 108800. [Google Scholar] [CrossRef] [PubMed]
- Syrová, K.; Šíchová, K.; Danda, H.; Lhotková, E.; Jorratt, P.; Pinterová-Leca, N.; Vejmola, Č.; Olejníková-Ladislavová, L.; Hájková, K.; Kuchař, M.; et al. Acute Pharmacological Profile of 2C-B-Fly-NBOMe in Male Wistar Rats-Pharmacokinetics, Effects on Behaviour and Thermoregulation. Front. Pharmacol. 2023, 14, 1120419. [Google Scholar] [CrossRef]
- National Pharmacopoeia Committee. Pharmacopoeia of the People’s Republic of China: 2020 Edition; China Medical Science Press: Beijing, China, 2020; Volume IV, pp. 515–517. ISBN 978-7-5214-1599-5. [Google Scholar]
- Gao, J.; Xu, E.; Wang, H.; Wang, L.; Chen, S.; Wang, C.; Meng, F. Integrated Serum Pharmacochemistry, Network Pharmacology, and Pharmacokinetics to Clarify the Effective Components and Pharmacological Mechanisms of the Proprietary Chinese Medicine Jinkui Shenqi Pill in Treating Kidney Yang Deficiency Syndrome. J. Pharm. Biomed. Anal. 2024, 247, 116251. [Google Scholar] [CrossRef]
- Song, W.; Li, Y.; Qiao, X.; Qian, Y.; Ye, M. Chemistry of the Chinese herbal medicine Puerariae Radix (Ge-Gen): A review. J. Chin. Pharm. Sci. 2014, 23, 347–360. [Google Scholar] [CrossRef]
- Chen, X.; Li, R.; Liang, T.; Zhang, K.; Gao, Y.; Xu, L. Puerarin improves metabolic function leading to hepatoprotective effects in chronic alcohol-induced liver injury in rats. Phytomedicine 2013, 20, 849–852. [Google Scholar] [CrossRef]
- Lv, Y.; Wang, S.; Liang, P.; Wang, Y.; Zhang, X.; Jia, Q.; Fu, J.; Han, S.; He, L. Screening and Evaluation of Anti-SARS-CoV-2 Components from Ephedra Sinica by ACE2/CMC-HPLC-IT-TOF-MS Approach. Anal. Bioanal. Chem. 2021, 413, 2995–3004. [Google Scholar] [CrossRef]
- Krizevski, R.; Bar, E.; Shalit, O.; Sitrit, Y.; Ben-Shabat, S.; Lewinsohn, E. Composition and Stereochemistry of Ephedrine Alkaloids Accumulation in Ephedra Sinica Stapf. Phytochemistry 2010, 71, 895–903. [Google Scholar] [CrossRef]
- Yun, N.; Kim, H.J.; Park, S.C.; Park, G.; Kim, M.K.; Choi, Y.H.; Jang, Y.P. Localization of Major Ephedra Alkaloids in Whole Aerial Parts of Ephedrae Herba Using Direct Analysis in Real Time-Time of Flight-Mass Spectrometry. Molecules 2021, 26, 580. [Google Scholar] [CrossRef]
- Wang, L.; Jiang, Q.; Hu, J.; Zhang, Y.; Li, J. Research Progress on Chemical Constituents of Lonicerae Japonicae Flos. BioMed Res. Int. 2016, 2016, 8968940. [Google Scholar]
- Shah, M.-A.; Kang, J.-B.; Park, D.-J.; Kim, M.-O.; Koh, P.-O. Chlorogenic Acid Alleviates Cerebral Ischemia-Induced Neuroinflammation via Attenuating Nuclear Factor Kappa B Activation. Neurosci. Lett. 2022, 773, 136495. [Google Scholar] [CrossRef] [PubMed]
- Zhao, Z.; Xiao, Y.; Xu, L.; Liu, Y.; Jiang, G.; Wang, W.; Li, B.; Zhu, T.; Tan, Q.; Tang, L.; et al. Glycyrrhizic Acid Nanoparticles as Antiviral and Anti-Inflammatory Agents for COVID-19 Treatment. ACS Appl. Mater. Interfaces 2021, 13, 20995–21006. [Google Scholar] [CrossRef]
- Wang, L.; Yang, R.; Yuan, B.; Liu, Y.; Liu, C. The antiviral and antimicrobial activities of licorice, a widely-used Chinese herb. Acta Pharm. Sin. B 2015, 5, 310–315. [Google Scholar] [CrossRef]
- Yu, S.; Zhu, Y.; Xu, J.; Yao, G.; Zhang, P.; Wang, M.; Zhao, Y.; Lin, G.; Chen, H.; Chen, L.; et al. Glycyrrhizic acid exerts inhibitory activity against the spike protein of SARS-CoV-2. Phytomedicine 2021, 85, 153364. [Google Scholar] [CrossRef]
- Ma, Y.; Zhao, Y.; Luo, M.; Jiang, Q.; Liu, S.; Jia, Q.; Bai, Z.; Wu, F.; Xie, J. Advancements and challenges in pharmacokinetic and pharmacodynamic research on the traditional Chinese medicine saponins: A comprehensive review. Front. Pharmacol. 2024, 15, 1393409. [Google Scholar] [CrossRef]
- Ma, S.; Wei, T.; Zhang, B.; Zhang, Y.; Lai, J.; Qu, J.; Liu, J.; Yin, P.; Shang, D. Integrated pharmacokinetic properties and tissue distribution of multiple active constituents in Qing-Yi Recipe: A comparison between granules and decoction. Phytomedicine 2024, 129, 155645. [Google Scholar] [CrossRef]
- Choi, M.K.; Jin, S.; Jeon, J.H.; Kang, W.Y.; Seong, S.J.; Yoon, Y.R.; Han, Y.H.; Song, I.S. Tolerability and pharmacokinetics of ginsenosides Rb1, Rb2, Rc, Rd, and compound K after single or multiple administration of red ginseng extract in human beings. J. Ginseng Res. 2020, 44, 229–237. [Google Scholar] [CrossRef]
- Rao Gajula, S.; Talari, S.; Chilvery, S.; Godugu, C.; Sonti, R. A Unique in Vivo Pharmacokinetic Profile, in Vitro Metabolic Stability and Hepatic First-Pass Metabolism of Garcinol, a Promising Novel Anticancer Phytoconstituent, by Liquid Chromatography–Mass Spectrometry. RPS Pharm. Pharmacol. Rep. 2023, 2, rqad017. [Google Scholar] [CrossRef]
- Rodríguez-Antona, C.; Sayi, J.; Gustafsson, L.; Bertilsson, L.; Ingelman-Sundberg, M. Phenotype–Genotype Variability in the Human CYP3A Locus as Assessed by the Probe Drug Quinine and Analyses of Variant CYP3A4 Alleles. Biochem. Biophys. Res. Commun. 2005, 338, 299–305. [Google Scholar] [CrossRef]
- Zhang, C.; Zhang, D.; Wang, Y.; Zhang, L.; Qi, S.; Fang, Q.; Xu, Y.; Chen, J.; Cheng, X.; Liu, P.; et al. Pharmacokinetics and Anti-Liver Fibrosis Characteristics of Amygdalin: Key Role of the Deglycosylated Metabolite Prunasin. Phytomedicine 2022, 99, 154018. [Google Scholar] [CrossRef] [PubMed]
Disclaimer/Publisher’s Note: The statements, opinions and data contained in all publications are solely those of the individual author(s) and contributor(s) and not of MDPI and/or the editor(s). MDPI and/or the editor(s) disclaim responsibility for any injury to people or property resulting from any ideas, methods, instructions or products referred to in the content. |
© 2025 by the authors. Licensee MDPI, Basel, Switzerland. This article is an open access article distributed under the terms and conditions of the Creative Commons Attribution (CC BY) license (https://creativecommons.org/licenses/by/4.0/).







