Abstract
Quercetin in Taraxacum mongolicum was extracted by ultrasound-assisted extraction in synergy with an ionic liquid–enzyme complex system, and the antioxidant function of quercetin was investigated based on network pharmacology. From 1-butyl-3-methylimidazolium chloride, 1-butyl-3-methylimidazolium acetate, 1-butyl-3-methylimidazolium tetrafluoroborate, 1-butyl-3-methylimidazolium bromide, and 1-butyl-3-methylimidazolium tetrafluoroborate, the first step was to choose the appropriate ionic liquid. Subsequently, a response surface methodology and single-factor experiment were used to optimize the extraction process. The quercetin and the key targets for antioxidants were obtained from a public database. Antioxidant activity was assessed by measuring the scavenging rate of 1,1-diphenyl-2-picrylhydrazyl (DPPH) radicals and hydroxyl radicals(•OH). The approach revealed that the optimal extraction process was the liquid–solid ratio of 31.62:1 mL/g, enzymatic temperature of 55 °C, and the amount of cellulase added was 14.79% of the dry weight of dandelion. Under this condition, the yield of quercetin was 0.24 ± 0.011 mg/g, which was 1.3 times higher than that of the conventional reflux extraction method of 0.185 ± 0.015 mg/g. Pharmacological findings showed 57 cross-targets of quercetin with antioxidants. Gene ontology (GO) and Kyoto Encyclopedia of Genes and Genomes (KEGG) pathway enrichment analysis indicated that antioxidant function may be related to chemical carcinogenesis-reactive oxygen species, and the Phosphoinositide 3-kinase/protein kinase B signaling pathway. Quercetin has strong DPPH and •OH radical scavenging activity. The development and use of industrial dandelion are supported by this sustainable and effective method of extracting quercetin from dandelion.
1. Introduction
Taraxacum mongolicum Hand.-Mazz. is a perennial herb of the genus Dandelion, family Asteraceae, which can be used as medicine, and its stems and leaves can be eaten raw [1,2]. As a medicinal plant, dandelion has anti-colitis, anti-viral, antibacterial, anti-arthritic, anti-cancer, diuretic, and hepatoprotective properties [3]. The major active components of dandelion are flavonoids, carotenoids, phenolic acids, polysaccharides, and sterols [4,5]. Flavonoids have strong antioxidant activity and can scavenge free radicals involved in the antioxidant response to protect the body from chronic diseases and inflammation [6]. Quercetin belongs to the group of flavonols with biological activities such as anti-inflammatory, antioxidant, anti-cardiovascular, anti-tuberculosis, anti-diabetic, and anti-malarial [7] activities. In addition, quercetin promotes the proliferation of human fibroblasts and increases the hyaluronic acid and collagen content of human fibroblasts.
Extraction methods for quercetin include maceration, soxhlet distillation, and thermal reflux extraction [8]. However, these techniques require a longer processing time, higher temperatures, and large amounts of solvents, are environmentally unfriendly, and are not cost-effective. Therefore, to overcome these drawbacks, an ionic liquid–enzyme complex system-assisted ultrasonic extraction of quercetin from dandelion was successfully employed in this study. Ionic liquids (ILs), also known as molten salts, have a lower melting point of 100 °C and serve the dual function of solvent and catalyst [9]. Compared with organic solvents, ionic liquids have higher extraction efficiency, good thermal and chemical stability, and less contamination [10]. Ionic liquids can be used for the extraction of natural products and their extraction efficiency is related to the structure of anions and cations [11]. Cations mainly include imidazolium, ammonium, pyridinium, phosphonium, sulfonium, and pyrrolidinium. Anions include halides, acetate, nitrate, hydrogen, and sulfate. It has been found that IL anions affect extraction efficiency through hydrogen bond strength and hydrophobicity [12]. The use of ILs for the extraction of flavonoids has been reported. Zeng et al. studied the extraction of rutin from bitter ginseng by 1-butyl-3methylimidazole ionic liquid with different anions. It was found that the aqueous 1-butyl-3methylimidazole bromide solution gave the best results [13]. Zhao et al. investigated the feasibility of ionic liquids based on ultrasound-assisted extraction of resveratrol from Polygonum cuspidatum. The results showed that the yield of resveratrol could reach 2.90 ± 0.15 mg/g by using 0.5 mol/L 1-butyl-3methylimidazolium bromide as the extraction solvent. Ionic liquids can be used as an alternative to conventional volatile organic solvents [14]. Ultrasound-assisted extraction (UAE) uses high-intensity ultrasound to accelerate the interparticle collision, leading to the fragmentation of cell structures and the overflow of active ingredients [15]. Ionic liquid-based ultrasonic-assisted extraction (IL-UAE) can effectively extract active ingredients from plants, such as alkaloids [16], flavonoids [17], ginsenosides [18], and terpenoids [19]. Enzymes commonly used in enzyme-assisted extraction methods include cellulase and pectinase, mainly through the enzyme degradation or destruction of cell walls and membranes, which can better release and effectively extract biologically active substances, and is characterized by a fast extraction speed, low dosage, and low energy consumption [20,21]. Network pharmacology uses systems biology as a guide and combines techniques from multiple disciplines to study disease–drug interactions [22]. By predicting the active ingredient targets and possible disease targets of Chinese herbal medicines and constructing a “component-target-pathway” network, the main active ingredients and mechanisms of action of Chinese herbal medicines will be explored [23].
Fewer studies have reported on the extraction process of quercetin from dandelion, mainly focusing on the extraction of total flavonoids from dandelion. In this study, the ultrasonic-assisted extraction of quercetin from dandelion was carried out using an ionic liquid–enzyme complex system, and the content of quercetin in the extract was determined by high-performance liquid chromatography. Based on a single factor, response surface methodology was applied to optimize the extraction conditions, with a view to providing technical references for the utilization of quercetin in dandelion. The prediction of quercetin action targets and antioxidant targets based on network pharmacology and the construction of a component–target–function network provide new ideas for the study of quercetin antioxidant effects.
2. Materials and Methods
2.1. Chemicals and Reagents
Dandelion was obtained from Heilongjiang Wangda Traditional Chinese Medicine Drinking Tablets Technology Co. (Harbin, Heilongjiang, China). Quercetin standard, 1-butyl-3-methylimidazole bromide, 2,2-diphenyl-1-picrylhydrazyl (DPPH), and ferrous sulfate were purchased from Shanghai Yuanye Biotechnology Co., Ltd. (Shanghai, China). Salicylic acid was acquired from Tianjin Zhiyuan Chemical Reagent Co., Ltd. (Tianjin, China). Ascorbic acid and anhydrous ethanol were acquired from Tianjin Zhongtian Chemical Co., Ltd. (Tianjin, China). Chromatography-grade methanol was acquired from Puyang Wangda Chemical Co., Ltd. (Puyang, China). Chromatography-grade acetonitrile was acquired from Tianjin Guangfu Science and Technology Co., Ltd. (Tianjin, China). Cellulase and pectinase came from Shandong Longket Enzyme Preparation Co., Ltd. (Shandong, China), and a 0.22 μm needle filter was acquired from Tianjin Pilot Experimental Equipment Co., (Tianjin, China).
For the preparation of 0.2 mmol/L DPPH· solutions, weigh 0.0198 g of 2,2-diphenyl-1-picrylhydrazyl and place it in a beaker, add 250 mL of anhydrous ethanol, stir to dissolve, and store it in a brown bottle; for the preparation of 9 mmol/L FeSO4, weigh 0.25 g of FeSO4 and place it in a beaker, add 100 mL of water, and stir to dissolve it; for the preparation of 8.8 mmol/L H2O2, take 30% of H2O2 solution 0.09 mL placed in a beaker, add 100 mL of water; 9 mmol/L salicylic acid-ethanol solution was prepared by weighing 0.12 g of salicylic acid in a conical flask, adding 100 mL of ethanol, stirring to dissolve, and stored away from light; quercetin products were prepared with chromatographic methanol to formulate five gradient concentrations of 0.03125, 0.0625, 0.125, 0.25, 0.25, and 0.5 mg/mL for the subsequent plotting of the curve.
2.2. Instrumentation
An SB-5200DT ultrasonic cleaner (Ningbo Xinzhi Bio-technology Co., Ltd., Ningbo, China); a small sealed XL-30C pulverizer (Guangzhou Xulang Mechanical Equipment Co., Ltd., Guangzhou, China); a Tp-213 electronic balance (Sartorius Scientific Instruments Co., Ltd., Beijing, China); and a Waters 2695 HPLC instrument from Waters Co. (Milford, MA, USA) were used. In addition, a HiQ Sil-C18 reversed-phase column (4:6 mm × 250 mm, 5 μm, KYA TECH Corp., Tokyo, Japan) was used for chromatographic separation; the following were also used: TG16-WS Centrifuge (Changsha Hi-Tech Industrial Zone Xiangyi Centrifuge Instrument Co., Ltd., Changsha, China); DHG-9030A electric blast drying oven (Shanghai Yiheng Scientific Instrument Co., Ltd., Shanghai, China); and BioTeK SYNERGY HTX multi-function Enzyme Labeler (American Boteng Instrument Co., Ltd., Le Mesnil-Saint-Denis, France).
2.3. Dandelion Water Content Assessment
Dandelion was crushed into powder and three 1 g portions of dandelion powder were weighed and kept in an oven for 24 h. Absolute dry weight was measured and used to calculate moisture content. Finally, the water content of dandelion was determined to be 11.5%.
where Y corresponds to water content, as a percentage; a represents wet weight; and b represents dry weight.
Y = (a − b)/a × 100%,
2.4. Determination of Quercetin in Dandelions
The appropriate amount of quercetin standard was weighed and prepared into 0.03125, 0.0625, 0.125, 0.25, and 0.5 mg/mL samples for high-performance liquid chromatography (HPLC) detection. The standard curve was plotted using the quercetin standard concentration (X) as the horizontal coordinate and peak area (Y) as the vertical coordinate. In this study, the mobile phase acetonitrile-water (30:70, v/v) was used for HPLC analysis at a flow rate of 1.0 mL/min with an injection volume of 10 μL, a detection wavelength of 360 nm, and the column temperature was set at 30 °C. Quercetin yield was calculated from Equation (2).
where y denotes the dandelion quercetin yield, mg/g; C denotes the concentration of dandelion quercetin in the extract, calculated from the curve, mg/mL; V is the volume of dandelion extract, mL; and M denotes the number of dandelion samples involved in the extraction, g.
y = (C × V)/M,
2.5. Single-Factor Experiment
The quercetin yield was used as a reference index, and the ultrasonication time of 60 min and enzyme digestion time of 60 min were set. Due to the significant solubility of imidazolium ionic liquids for cellulose [24], imidazolium ionic liquids were chosen for this study containing different anions (1-butyl-3-methylimidazolium chloride, 1-butyl-3-methylimidazolium acetate, 1-butyl-3-methylimidazolium tetrafluoroborate, 1-butyl-3-methylimidazolium bromide). In this study, the ionic liquid type was investigated, as were the ionic liquid concentration (0.1, 0.2, 0.3, 0.4, 0.5, and 0.6 mol/L), liquid–solid ratio (10:1, 15:1, 20:1, 25:1, 30:1, and 35:1 mL/g), ultrasonication temperature (40 °C, 50 °C, 60 °C, 70 °C, and 80 °C), enzyme type (pectinase and cellulase), enzyme addition (5%, 10%, 15%, and 20% (g enzyme/g dandelion powder)), and enzyme digestion temperatures (10 °C, 30 °C, 50 °C, 70 °C, and 90 °C) on the quercetin yield of dandelion.
2.6. Response Surface Experiment
Based on the results of the single-factor experiment, three factors that had a significant impact on the extraction of quercetin were selected, namely, the enzymatic hydrolysis temperature, enzyme addition, and liquid–solid ratio, for a three-factor, three-level response surface Box–Behnken design (BBD), as shown in Table 1.
Table 1.
Level and code of factors chosen for response surface experiment.
2.7. Method Validation
The method was validated for linearity, LOD, LOQ, repeatability, stability, and recovery based on the optimized response surface extraction conditions [25]. The standard solutions of quercetin at different concentrations (0.03125~0.5 mg/mL) were used for HPLC to obtain the standard curves. In order to ensure the accuracy and reproducibility of the method, the determination was repeated three times with different concentrations of standard solutions. LOD and LOQ were calculated using LOD = 3.3 σ/S and LOQ = 10 σ/S, where σ is the deviation from the response value and S is the slope of the standard curve [26]. The stability of quercetin was determined under optimal process conditions. The initial concentration of the quercetin sample solution was determined by HPLC, and a defined mass of quercetin control was added to calculate the recovery. In addition, six sample solutions were prepared for HPLC under optimal extraction conditions to confirm the reproducibility of the method.
2.8. Comparison with Conventional Method
The reflux extraction method was used to compare with the present experimental extraction method. In total, 0.50 g of dandelion powder was weighed and placed in a 250 mL round-bottomed flask, and 70% ethanol solution was added in accordance with a liquid–solid ratio of 15:1, and the extraction was carried out by refluxing at 80 °C for 2 h. The extract of quercetin from dandelion was obtained by cooling and filtration.
2.9. Network Pharmacology
The chemical constituent quercetin in dandelion was found in the HERB Materia Medica Historia database, and quercetin was entered into the PubChem database to obtain Canonical SMILES [27]. SwissTargetPrediction was used for active ingredient target prediction. The GeneCards database was searched for antioxidant targets using the keyword “antioxidant” [28,29]. The intersection of quercetin targets and related targets of antioxidants was selected. The shared targets were imported into the DAVID database for gene ontology (GO) and Kyoto Encyclopedia of Genes and Genomes (KEGG) pathway enrichment analysis.
2.10. In Vitro Antioxidant Activity
2.10.1. Determination of DPPH Radical Scavenging Activity
The activity of scavenging DPPH free radicals was assayed according to the established method with the following modifications [30]. Quercetin standards were prepared as solutions with concentrations of 0.01, 0.02, 0.04, 0.06, 0.08, and 0.1 mg/mL, respectively. Take 2.0 mL of each standard solution of different concentrations, add 2.0 mL of 0.2 mmol/L DPPH• solution, mix well with shaking, and keep away from light for 30 min, and the measurement of absorbance (Abs) was performed at a wavelength of 517 nm. The parallel test was repeated three times with ascorbic acid as a positive control. The capacity of DPPH free radical scavenging was determined using the following Equation (3):
DPPH radical scavenging activity (%) = [Abs0 − (Abs2 − Abs1)]/Abs0 × 100,
Abs0 represents the Abs of the control, Abs1 represents the Abs of the solution to be measured mixed with the solvent, and Abs2 represents the Abs of the solution to be measured mixed with DPPH• solution.
2.10.2. Determination of Hydroxyl (•OH) Radical Scavenging Activity
•OH radical scavenging activity was determined by referring to the method described by Wang et al. [31]. With slight modifications, 2.0 mL of each 0.1, 0.2, 0.4, 0.6, 0.8, and 1 mg/mL of quercetin standard solution was taken in a test tube, and 2.0 mL each of 9 mmol/L FeSO4 solution, 9 mmol/L salicylic acid-ethanol solution, and 8.8 mmol/L H2O2 solution were added sequentially and mixed well for 10 min, and the absorbance was measured at 510 nm. The parallel test was repeated three times with anhydrous ethanol as a blank control. The •OH radical scavenging activity of the samples was determined using the provided Equation (4):
•OH radical scavenging activity (%) = [Abs0 − (Abs2 − Abs1)]/Abs0 × 100,
Abs0 represents the absorbance measured in the blank control group, Abs1 represents the absorbance of the solution to be tested without H2O2, and Abs2 represents the absorbance of the solution to be tested with H2O2.
2.11. Statistical Analyses
Design Expert 13 (Stat-Ease, Inc., Minneapolis, MN, USA) was used to design the response surface experiment in order to optimize the extraction process. Origin 2024 (OriginLab Corporation, Northampton, MA, USA), Cytoscape 3.10.1, and SPSS 25 (IBM Corporation, Armonk, NY, USA) were used for data processing and analysis. Duncan’s multiple-comparisons check and one-way analysis of variance (ANOVA) were used to account for significant differences at the p < 0.05 level.
3. Results
3.1. Optimizing the Extraction Parameters for Quercetin
3.1.1. The Effect of Different IL Solutions
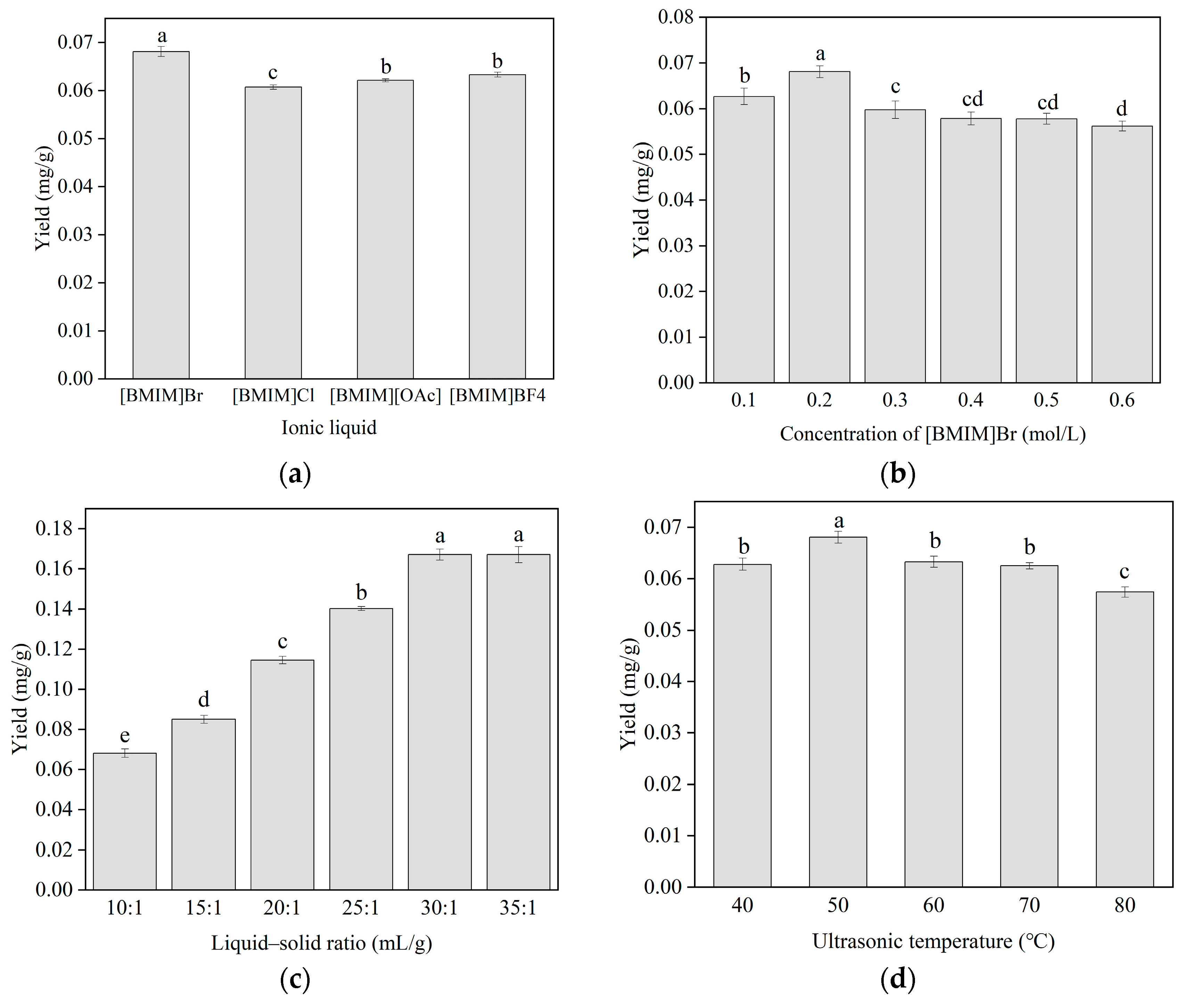
Four ionic liquids, 1-butyl-3-methylimidazolium chloride ([BMIM]Cl), 1-butyl-3-methylimidazolium acetate ([BMIM][Ac]), 1-butyl-3-methylimidazolium tetrafluoroborate ([BMIM]BF4), and 1-butyl-3-methylimidazolium bromide ([BMIM]Br), were selected for the present experiment. When 1-butyl-3-methylimidazolium bromide solution was used as an extractant, the yield of dandelion quercetin was high, with a rate of 0.0681 mg/g (Figure 1a). The extraction of active components by ionic liquids is related to the formation of hydrogen bonds, and [BMIM]Br exhibits strong water solubility, so it is easy to establish a hydrogen bonding network, thus improving the extraction efficiency of the system. [BMIM]Br was chosen for the subsequent experiments.

Figure 1.
The effect of different parameters on the extraction yield of quercetin from dandelion: (a) ionic liquid; (b) the concentration of [BMIM]Br; (c) liquid–solid ratio; (d) ultrasonic temperature; (e) enzyme addition; (f) enzymatic hydrolysis temperature. The data are shown as mean ± SD (n = 3). Different letters have significant differences in the mean at the 0.05 level.
3.1.2. The Effect of IL Concentration
Six solutions of 1-butyl-3-methylimidazole bromide with different concentrations (0.1, 0.2, 0.3, 0.4, 0.5, and 0.6 mol/L) were prepared. The optimum quercetin yield was achieved when the ionic liquid concentration was 0.2 mol/L (Figure 1b). Afterward, the quercetin yield decreased significantly with higher ionic liquid concentration. It may be due to the high concentration of ionic liquids resulting in high viscosity, which is not conducive to the diffusion of solvents into plant tissues [32].
3.1.3. The Effect of Liquid–Solid Ratio
From Figure 1c, it can be seen that the liquid–solid ratio had a significant effect on the quercetin yield when the liquid–solid ratio was between 10:1 and 25:1, the quercetin yield of dandelion showed a significant upward trend, and the quercetin yield of dandelion showed a weak change and tended to be stabilized when the liquid–solid ratio was greater than 25:1. The highest yield of dandelion quercetin, i.e., 0.1671 mg/g, was obtained at a liquid–solid ratio of 30:1. When the liquid–solid ratio was 10:1, the liquid was too viscous to allow better diffusion of dandelion quercetin molecules. With the increase in the liquid–solid ratio, the concentration of dandelion quercetin in the solution decreased, the dandelion quercetin in the tissues was better dissolved in the liquid, and the yield increased. So, the liquid–solid ratio of 30:1 was used for subsequent one-way experiments.
3.1.4. The Effect of Ultrasound Temperature
The quercetin yield peaked at an ultrasound temperature of 50 °C. When the ultrasonication temperature was further increased, the yield decreased significantly, probably due to the high temperature destroying the quercetin structure, resulting in the decrease in quercetin. When the ultrasonication temperature was 50 °C, the quercetin yield rate was 0.0681 mg/g (Figure 1d). So, the ultrasonic temperature of 50 °C was chosen as the subsequent experimental condition.
3.1.5. The Effects of Cellulase and Pectinase
The yield of quercetin was higher when cellulase was added, i.e., 0.1897 mg/g (Table 2). Cellulases can improve the yield of target extracts by hydrolyzing the glycosidic linkages of flavonoid glycosides [33]. Therefore, the subsequent tests were carried out under the condition of the addition of cellulase.
Table 2.
Effect of enzyme types on quercetin extraction.
3.1.6. The Effect of Cellulase Addition
When the cellulase addition was greater than 15%, quercetin yield did not rise and began to gradually smooth (Figure 1e); the reason may be that, for the dandelion in the compounds that can be reacted with cellulose, all of the reaction is complete, and there is an excess of cellulase; so, considering environmental protection, as well as saving resources, one should choose enzyme additions of 15% for the subsequent experiments.
3.1.7. The Effect of Enzymatic Hydrolysis Temperature
The highest quercetin yield, i.e., 0.221 mg/g, was obtained at an enzymatic temperature of 50 °C (Figure 1f). The low enzymatic digestion temperature affected the cellulase activity, and when the temperature was higher than 50 °C, the quercetin yield decreased because the high temperature resulted in the partial inactivation of cellulase. Therefore, the enzymatic digestion temperature of 50 °C was chosen for subsequent experiments.
3.2. Optimization Test by Response Surface Methodology
The three-factor, three-level central combination experimental design featured enzymatic hydrolysis temperature (A), enzyme addition (B), and liquid–solid ratio (C) as independent variables, and the response surface optimization experimental design and results are shown in Table 3. The results show that there is a second-order polynomial relationship between these three independent variables:
Yield (mg/g) = 0.2348 + 0.0151A − 0.0016B + 0.0167C − 0.0068AB + 0.0015AC +
0.0005BC − 0.0298A−0.0393B2 − 0.0265C2
Table 3.
The RSM experiment design and results.
The ANOVA and significance test are shown in Table 4, the regression model was significant, with p < 0.01, and the coefficient of determination R2 = 0.9723, which indicated that the model could explain 97.23% of the variation of the response value, and the model was well-fitted. The lack of fit was 0.6536 (p > 0.05), indicating that the model had a high degree of fitting. The effects of the three factors on the amount of quercetin extracted from dandelion quercetin were, in descending order, liquid–solid ratio > enzymatic hydrolysis temperature > enzyme addition.
Table 4.
Test of significance for regression coefficient.
3.2.1. Response Surface Analysis
The effects of the interaction of two factors on the extraction of quercetin from dandelion are shown in Figure 2. The denser the contours, the closer the shape is to an ellipse, and the steeper the slope of the response surface, the greater the interaction of the two factors. Compared with A and C and B and C, the interaction of A and B had a greater effect on the extraction of quercetin.
Figure 2.
Contour plots and response surface plots of dandelion extracts affected by enzymatic hydrolysis temperature (A), enzyme addition (B), and liquid–solid ratio (C) on quercetin yield.
3.2.2. Verification Tests
The optimum solution designed by the Design Expert software 13 was an enzyme digestion temperature of 55 °C, enzyme addition of 14.79%, and liquid–solid ratio of 31.62:1 mL/g. Based on these process conditions, three parallel experiments of quercetin extraction from dandelion were carried out, and the actual yield was obtained to be 0.24 ± 0.011 mg/g.
3.3. Methodological Validation
3.3.1. Linearity, Limits of Detection, and Quantification
The linear regression equation was obtained as Y = (47430574.62 ± 9090.48) X − (291145.83 ± 1755.19) (r2 = 0.9988, n = 5). Quercetin showed good linearity in the range of 0.03125~0.5 mg/mL. Based on the limit of detection (LOD) and limit of quantification (LOQ) equations, the LOD and LOQ of quercetin were calculated as 0.12 μg/mL and 0.37 μg/mL, respectively.
3.3.2. Stability
Under the extraction conditions, the stability of the target was evaluated in terms of recovery, and the stability of the quercetin control solution was determined after the ionic liquid–enzyme complex extraction and after 7 d of extraction, respectively [34]. The average recovery of quercetin under process conditions was 98.09%. After 7 d of storage, the average spiked recovery was 97.24% stability (Table 5).
Table 5.
Method validation studies.
3.3.3. Recovery
The recovery of ionic liquid–enzyme complex extraction under the extraction conditions was investigated. To the samples quercetin control solution was added and they were treated with ionic liquid–enzyme complex system extraction and the HPLC results are shown in Table 5. The average spiked recovery of quercetin was 99.431%.
3.3.4. Repeatability
To verify the reproducibility of the experimental technique, the extraction of the ionic liquid–enzyme complex system was carried out under optimal extraction conditions. The results of six parallel experiments showed that the quercetin yield was reproducible with an RSD of 1.31%, demonstrating that the ionic liquid–enzyme complex extraction is highly reliable.
3.4. Comparison with Conventional Methods
Reflux extraction was used for comparison with our ionic liquid–enzyme complex extraction. The extraction process was as follows: 0.5 g of dried sample was mixed with 75% ethanol solution and then extracted at reflux at 80 °C for 2 h. The yield of dandelion quercetin was 0.185 ± 0.015 mg/g.
3.5. Network Pharmacology Analysis
3.5.1. Screening of Quercetin and Antioxidant-Related Targets
The existence of 100 potential targets of quercetin in dandelion was predicted by SwissTargetPrediction, and 4901 antioxidant-related targets were retrieved from related databases, and 1286 antioxidant-related targets were obtained by filtering with a relevance score ≥0.88 as the criterion. The intersection of quercetin potential targets and antioxidant-related targets was taken to draw a Venn diagram, and 57 intersecting targets were obtained, as shown in Figure 3a. The quercetin–target–function network diagram in dandelion was drawn using Cytoscape 3.10.1, as shown in Figure 3b.
Figure 3.
Network pharmacology analysis of quercetin–antioxidant relationship: (a) Venn diagram of quercetin–antioxidant targets; (b) quercetin–antioxidant target network. Green rectangular nodes represent dandelions; blue hexagonal nodes represent quercetin; orange octagonal nodes represent antioxidant functions; and purple oval nodes represent intersecting targets.
3.5.2. Construction of PPI Protein Interaction Network
The 57 intersecting targets were imported into the STRING database to obtain the PPI network and visualized (Figure 4) and screened using Cytosacpe 3.10.1 based on Closeness, Betweenness, and Degree, to obtain the core targets AKT serine/threonine kinase 1 (AKT1), Epidermal Growth Factor Receptor (EGFR), Matrix metallopeptidase 9 (MMP9), glycogen synthase kinase 3β (GSK3B), and matrix metallopeptidase 2 (MMP2), as shown in Table 6.
Figure 4.
Protein–protein interaction (PPI) network.
Table 6.
Potential hub proteins ranked as top 10.
3.5.3. GO Enrichment Analysis and KEGG Enrichment Analysis
The 57 intersecting targets were imported into the DAVID database, yielding 333 GO entries and 76 KEGG pathways. The biological processes involved in the quercetin antioxidant targets include the daunorubicin metabolic process, doxorubicin metabolic process, negative regulation of the apoptotic process, positive regulation of protein kinase B signaling, protein phosphorylation, and the positive regulation of protein localization to the nucleus. Cellular components include the membrane raft, extracellular exosome, cytosol, receptor complex, plasma membrane, and mitochondrion. Molecular processes include alditol: NADP+1-oxidoreductase activity, oxidoreductase activity, protein tyrosine kinase activity, ATP binding, and protein kinase activity, as shown in Figure 5a. Following the analysis of KEGG pathways, it can be seen that the main antioxidant pathways of quercetin are chemical carcinogenesis-reactive oxygen species, endocrine resistance, EGFR tyrosine kinase inhibitor resistance, the PI3K/Akt signaling pathway, prostate cancer, proteoglycans in cancer, pathways in cancer, focal adhesion, the adherens junction, and ovarian steroidogenesis, as shown in Figure 5b.
Figure 5.
GO and KEGG analysis of the targets: (a) GO function enrichment of quercetin–antioxidant targets; (b) KEGG enrichment of quercetin–antioxidant targets. GO: gene ontology; KEGG: Kyoto Encyclopedia of Genes and Genomes. BP: Biological Process; CC: Cellular Component; MF: Molecular Function.
3.6. In Vitro Antioxidant Activity of Quercetin
The antioxidant activity of quercetin was determined by the DPPH and •OH methods and ascorbic acid was used as the control. As shown in Figure 6, in the DPPH assay, quercetin was measured in the concentration range of 0.04 to 0.06 mg/mL, and clearance increased with concentration. The antioxidant activity of quercetin (94.19 ± 1.01%) was close to that of ascorbic acid (95.08 ± 1.31%) when the concentration was up to 0.08 mg/mL (Figure 6a). The IC50 value of quercetin for scavenging DPPH radicals was 0.005 mg/mL. When the concentration of quercetin increased to 0.4 mg/mL, the clearance rate was 61.51 ± 4.75% in the •OH assay (Figure 6b). Quercetin’s IC50 value for hydroxyl radical scavenging was 0.579 mg/mL. These results indicated that the quercetin had strong DPPH and •OH radical scavenging activity.
Figure 6.
The antioxidant ability of the quercetin: (a) DPPH radical scavenging activity; (b) •OH radical scavenging activity. Data are shown as the mean ± SD (n = 3).
4. Discussion
Ionic liquid can dissolve cellulose, and plant cell walls, with a high extraction efficiency, and stable physical and chemical properties [35]. It has been shown that ultrasound-assisted extraction of quercetin from edible feijoa flowers usually yielded a value in the range of 10.86–16.13 μg/g [36]. Quercetin in dandelion was extracted using conventional reflux with a yield of 0.185 ± 0.015 mg/g, while the ionic liquid–enzyme composite system-assisted ultrasonic extraction of quercetin from dandelion yielded 0.24 ± 0.011 mg/g, which was 1.3 times higher than that of the conventional reflux extraction. The ionic liquid we used is a new type of green solvent, which has good solubility and can break the hydrogen bond between the cellulose molecules [37]. At the same time, the anions of ionic liquid have interactions with natural compounds, and strong interactions can improve the extraction rate of natural compounds, and the interactions between the cationic carbon chains of ionic liquids and solutes can also improve the extraction efficiency [38]. Compared with the organic solvent extraction method, ionic liquid extraction has less dosage, environmental protection, and a high extraction efficiency [39]. The cellulase used is a complex enzyme system composed of a variety of hydrolases, which can destroy the cell wall, promote the spill of active ingredients from the cell, and reduce the extraction time [40]. Quercetin and its glycosides, including quercetin-7-O-β-D-glucoside and quercetin-3-O-β-D-glucoside, are present in dandelion [41]. Cellulase facilitates the conversion of quercitrin to quercetin in dandelion and improves the extraction rate of quercetin from dandelion [42]. An ionic liquid–enzyme complex system can effectively overcome the disadvantages of a single extraction method, such as a low yield, long extraction time, and large amounts of volatile reagents [43,44]. On an industrial scale, the choice of an ionic liquid–enzyme composite system is significantly cost-effective and sustainable [45,46]. Compared to the conventional reflux extraction method, the ionic liquid–enzyme composite system helps to shorten the extraction time, reduce the use of organic solvents, and is environmentally friendly [47]. Ionic liquids are recoverable green solvents. Although their recovery requires a high energy consumption, Ionic Liquid Membrane (ILM) technology has emerged as a new way to overcome this drawback [48].
The average recovery of quercetin after 7 days was 97.24%, with good stability. However, the stability of quercetin changes significantly under specific conditions of temperature, light, oxygen, and humidity. Both hydroxylation and oxidation reactions lead to the degradation of quercetin [49]. The stability of quercetin and its bioavailability can be improved by encapsulated delivery systems, such as nanoparticles, liposomes, and micelles. Quercetin exhibits strong antioxidant effects mainly by affecting enzyme activities, transduction pathways, and reactive oxygen species (ROS) [50]. PPI analysis of quercetin and antioxidant intersection targets was performed to screen core targets including AKT1, EGFR, and MMP9. AKT1, one of the major isomers of AKT, is involved in cell proliferation, cell growth, oxidative stress, and other signaling pathways [51]. AKT can inhibit the response of ASK1 to oxidative stress, weaken the apoptotic signal induced by H2O2, and thus inhibit oxidative stress-induced apoptosis [52]. EGFR belongs to the family of receptor tyrosine kinases (RTKs), and Cardone L experiments demonstrated that alleles carrying EGFR or PIK3CAGD are involved in antioxidants via the expression of MnSOD and catalase genes [53]. MMP9 belongs to a family of MMPs that can degrade extracellular matrix components and play an important role in localized protein hydrolysis in the extracellular matrix. Quercetin can inhibit cancer cell migration and invasion by reducing the protein level of MMP9 [54]. GO functional enrichment analysis showed that quercetin could affect oxidoreductase, protein tyrosine kinase activity, the negative regulation of apoptosis, and the positive regulation of protein kinase B signaling to achieve antioxidant effects. KEGG signaling pathway analysis showed that quercetin may exert its antioxidant effects through the pathways of chemical carcinogenesis-reactive oxygen species, endocrine resistance, EGFR tyrosine kinase inhibitor resistance, PI3K/Akt signaling, the cancer pathway, prostate cancer, and proteoglycans in cancer. PI3K/Akt is one of the major intracellular signaling pathways that regulate various cellular functions, such as apoptosis, cell migration, and angiogenesis. Quercetin can reduce intracellular ROS and apoptosis through the PIK3/Akt signaling pathway [55]. Molecular docking, gene expression microarray analysis, and mouse models can be used to validate the predictive molecular targets of quercetin [56].
5. Conclusions
In this study, the ionic liquid–enzyme composite system-assisted ultrasonic extraction method was used to optimize the process parameters of dandelion quercetin by response surface design, which were as follows: a liquid–solid ratio of 31.62:1 (mL/g), an enzymatic hydrolysis temperature of 55 °C, a cellulase addition of 14.79% of the absolute dry weight, and a yield of quercetin of 0.24 ± 0.011 mg/g. Quercetin is a powerful antioxidant that scavenges reactive oxygen species from the body, protects cells from oxidative damage, and plays an important role in anti-tumor, anti-inflammatory, and cardiovascular protection. It therefore has a strong therapeutic potential. Quercetin regulates core targets such as AKT1, EGFR, and MMP9, activates signaling pathways such as chemical carcinogenesis-reactive oxygen species, endocrine resistance, EGFR tyrosine kinase inhibitor resistance, the PI3K-Akt signaling pathway, the cancer pathway, proteoglycans in cancer, and other signaling pathways to regulate the balance of oxidative stress, and exerts an antioxidant function. This study provides data-backed support regarding the efficiency of the extraction process, and the excellent antioxidant ability of the quercetin of Taraxacum mongolicum. However, the biological activity of quercetin is susceptible to a variety of factors, and its long-term stability is an issue that needs to be explored. In a follow-up study, we can experimentally verify the pharmacological targets and further explore the antioxidant mechanism of quercetin.
Author Contributions
Conceptualization and methodology, J.H.; writing—original draft preparation, Y.S.; formal analysis and data curation, Y.P.; writing—review and editing, N.D.; software, Y.Z.; validation, X.Z. and H.L. All authors have read and agreed to the published version of the manuscript.
Funding
This research was funded by the Project of Basic Research Operating Costs of Heilongjiang Provincial Department of Education: Study on the purification process of isoglycyrrhizin extraction from licorice and the mechanism of its derivatives on the apoptosis and action of Caki-1 in renal cancer cells (1451MSYYB005); Project of Natural Science Foundation of Heilongjiang Province: Research on the graded extraction and purification process of active ingredients of Schisandra chinensis and efficient utilization of resources (LH2022C099); Heilongjiang Province Higher Education Teaching Reform Research Program: Construction and Practice of “1234” Innovative Nurturing Mode of “Science and Education + Shuangchuang” Integration of Undergraduate and Master’s Degree (SJGY20220619); Special Project of “Teacher Education Collaborative Quality Enhancement Program”: Research on the Path of Localized Cultivation and Use of Teacher Trainees in Collaborative Quality Enhancement Institutions in the Context of Rural Revitalization (20240002211ZXC); Ministry of Education’s University-Industry Cooperation Program: Practice of First-class Curriculum System Construction Based on “Dual Synergy” Model (231001282103411).
Data Availability Statement
The data presented in this study are available on request from the corresponding author.
Conflicts of Interest
The authors declare no conflicts of interest. Author Heming Liu was employed by the company Zhejiang Sanling Luling Technology Development Co., Ltd., Hangzhou 311100, China. The remaining authors declare that the research was conducted in the absence of any commercial or financial relationships that could be construed as a potential conflict of interest.
References
- Li, Y.; Chen, Y.; Sun-Waterhouse, D. The Potential of Dandelion in the Fight against Gastrointestinal Diseases: A Review. J. Ethnopharmacol. 2022, 293, 115272. [Google Scholar] [CrossRef]
- Fan, M.; Zhang, X.; Song, H.; Zhang, Y. Dandelion (Taraxacum genus): A Review of Chemical Constituents and Pharmacological Effects. Molecules 2023, 28, 5022. [Google Scholar] [CrossRef]
- Di Napoli, A.; Zucchetti, P. A Comprehensive Review of the Benefits of Taraxacum officinale on Human Health. Bull. Natl. Res. Cent. 2021, 45, 110. [Google Scholar] [CrossRef]
- Kania-Dobrowolska, M.; Baraniak, J. Dandelion (Taraxacum officinale L.) as a Source of Biologically Active Compounds Supporting the Therapy of Co-Existing Diseases in Metabolic Syndrome. Foods 2022, 11, 2858. [Google Scholar] [CrossRef]
- Wang, R.; Li, W.; Fang, C.; Zheng, X.; Liu, C.; Huang, Q. Extraction and Identification of New Flavonoid Compounds in Dandelion Taraxacum mongolicum Hand.-Mazz. with Evaluation of Antioxidant Activities. Sci. Rep. 2023, 13, 2166. [Google Scholar] [CrossRef]
- Liu, N.; Song, M.; Wang, N.; Wang, Y.; Wang, R.; An, X.; Jingwei, Q. The Effects of Solid-State Fermentation on the Content, Composition and In Vitro Antioxidant Activity of Flavonoids from Dandelion. PLoS ONE 2020, 15, e0239076. [Google Scholar] [CrossRef]
- Georgiou, N.; Kakava, M.G.; Routsi, E.A.; Petsas, E.; Stavridis, N.; Freris, C.; Zoupanou, N.; Moschovou, K.; Kiriakidi, S.; Mavromoustakos, T. Quercetin: A Potential Polydynamic Drug. Molecules 2023, 28, 8141. [Google Scholar] [CrossRef]
- Manzoor, M.F.; Hussain, A.; Sameen, A.; Sahar, A.; Khan, S.; Siddique, R.; Aadil, R.M.; Xu, B. Novel Extraction, Rapid Assessment and Bioavailability Improvement of Quercetin: A Review. Ultrason. Sonochem. 2021, 78, 105686. [Google Scholar] [CrossRef]
- Kaur, G.; Kumar, H.; Singla, M. Diverse Applications of Ionic Liquids: A Comprehensive Review. J. Mol. Liq. 2022, 351, 118556. [Google Scholar] [CrossRef]
- Zhuo, Y.; Cheng, H.-L.; Zhao, Y.-G.; Cui, H.-R. Ionic Liquids in Pharmaceutical and Biomedical Applications: A Review. Pharmaceutics 2024, 16, 151. [Google Scholar] [CrossRef]
- Flieger, J.; Feder-Kubis, J.; Tatarczak-Michalewska, M. Chiral Ionic Liquids: Structural Diversity, Properties and Applications in Selected Separation Techniques. Int. J. Mol. Sci. 2020, 21, 4253. [Google Scholar] [CrossRef]
- Fan, Y.; Li, X.; Song, L.; Li, J.; Zhang, L. Effective Extraction of Quinine and Gramine from Water by Hydrophobic Ionic Liquids: The Role of Anion. Chem. Eng. Res. Des. 2017, 119, 58–65. [Google Scholar] [CrossRef]
- Zeng, H.; Wang, Y.; Kong, J.; Nie, C.; Yuan, Y. Ionic Liquid-Based Microwave-Assisted Extraction of Rutin from Chinese Medicinal Plants. Talanta 2010, 83, 582–590. [Google Scholar] [CrossRef]
- Zhao, H.; Wang, J.; Han, Y.; Wang, X.; Sheng, Z. Optimization of Process Conditions for Ionic Liquid-Based Ultrasound-Enzyme-Assisted Extraction of Resveratrol from Polygonum cuspidatum. Ultrason. Sonochem. 2024, 108, 106973. [Google Scholar] [CrossRef]
- Shen, L.; Pang, S.; Zhong, M.; Sun, Y.; Qayum, A.; Liu, Y.; Rashid, A.; Xu, B.; Liang, Q.; Ma, H.; et al. A Comprehensive Review of Ultrasonic Assisted Extraction (UAE) for Bioactive Components: Principles, Advantages, Equipment, and Combined Technologies. Ultrason. Sonochem. 2023, 101, 106646. [Google Scholar] [CrossRef]
- Yohannes, A.; Zhang, B.; Dong, B.; Yao, S. Ultrasonic Extraction of Tropane Alkaloids from Radix Physochlainae Using as Extractant an Ionic Liquid with Similar Structure. Molecules 2019, 24, 2897. [Google Scholar] [CrossRef]
- Wang, L.; Bai, M.; Qin, Y.; Liu, B.; Wang, Y.; Zhou, Y. Application of Ionic Liquid-Based Ultrasonic-Assisted Extraction of Flavonoids from Bamboo Leaves. Mol. J. Synth. Chem. Nat. Prod. Chem. 2018, 23, 2309. [Google Scholar] [CrossRef]
- Liang, Q.; Zhang, J.; Su, X.; Meng, Q.; Dou, J. Extraction and Separation of Eight Ginsenosides from Flower Buds of Panax Ginseng Using Aqueous Ionic Liquid-Based Ultrasonic-Assisted Extraction Coupled with an Aqueous Biphasic System. Molecules 2019, 24, 778. [Google Scholar] [CrossRef]
- Liu, X.; Niu, Y.; Liu, J.; Shi, M.; Xu, R.; Kang, W. Efficient Extraction of Anti-Inflammatory Active Ingredients from Schefflera Octophylla Leaves Using Ionic Liquid-Based Ultrasonic-Assisted Extraction Coupled with HPLC. Molecules 2019, 24, 2942. [Google Scholar] [CrossRef]
- Nadar, S.S.; Rao, P.; Rathod, V.K. Enzyme Assisted Extraction of Biomolecules as an Approach to Novel Extraction Technology: A Review. Food Res. Int. 2018, 108, 309–330. [Google Scholar] [CrossRef]
- Amulya, P.R.; ul Islam, R. Optimization of Enzyme-Assisted Extraction of Anthocyanins from Eggplant (Solanum melongena L.) Peel. Food Chem. X 2023, 18, 100643. [Google Scholar] [CrossRef] [PubMed]
- Zhang, R.; Zhu, X.; Bai, H.; Ning, K. Network Pharmacology Databases for Traditional Chinese Medicine: Review and Assessment. Front. Pharmacol. 2019, 10, 123. [Google Scholar] [CrossRef]
- Noor, F.; Tahir Ul Qamar, M.; Ashfaq, U.A.; Albutti, A.; Alwashmi, A.S.S.; Aljasir, M.A. Network Pharmacology Approach for Medicinal Plants: Review and Assessment. Pharmaceuticals 2022, 15, 572. [Google Scholar] [CrossRef]
- Zheng, Y.; Ji, S.; Li, X.; Feng, Q. Active Ingredients and Molecular Targets of Taraxacum Mongolicum against Hepatocellular Carcinoma: Network Pharmacology, Molecular Docking, and Molecular Dynamics Simulation Analysis. PeerJ 2022, 10, e13737. [Google Scholar] [CrossRef]
- Singh, L.; Agarwal, T. Comparative Analysis of Conventional and Greener Extraction Methods and Method Validation for Analyzing PAHs in Cooked Chicken and Roasted Coffee. Food Chem. 2021, 364, 130440. [Google Scholar] [CrossRef]
- Ping, Y.; Yang, Y.; Gao, H.; Liu, X.; Pan, J.; Zhang, K.; Gu, H.; Tian, H.; Yang, L. Natural Surfactant Used as an Additive in the Enzymatic-Homogenate Synergistic Extraction of Piceatannol, Resveratrol, and Myricetin from the Myrtle (Rhodomyrtus tomentosa) Fruit. Food Biosci. 2024, 62, 105224. [Google Scholar] [CrossRef]
- Liu, F.-J.; Yang, J.; Chen, X.-Y.; Yu, T.; Ni, H.; Feng, L.; Li, P.; Li, H.-J. Chemometrics Integrated with in Silico Pharmacology to Reveal Antioxidative and Anti-Inflammatory Markers of Dandelion for Its Quality Control. Chin. Med. 2022, 17, 125. [Google Scholar] [CrossRef]
- Liu, D.-L.; Liu, S.-J.; Hu, S.-Q.; Chen, Y.-C.; Guo, J. Probing the Potential Mechanism of Quercetin and Kaempferol against Heat Stress-Induced Sertoli Cell Injury: Through Integrating Network Pharmacology and Experimental Validation. Int. J. Mol. Sci. 2022, 23, 11163. [Google Scholar] [CrossRef]
- Domínguez-Rodríguez, G.; Marina, M.L.; Plaza, M. Enzyme-Assisted Extraction of Bioactive Non-Extractable Polyphenols from Sweet Cherry (Prunus avium L.) Pomace. Food Chem. 2021, 339, 128086. [Google Scholar] [CrossRef]
- Yang, Y.; Xu, S.; Yang, K.; Sun, Y.; Yang, R.; Hu, Y.; Chen, G.; Cai, H. Characterization and In Vitro Antioxidant and Anti-Inflammatory Activities of Ginsenosides Extracted from Forest-Grown Wild Panax quinquefolius L. Foods 2023, 12, 4316. [Google Scholar] [CrossRef] [PubMed]
- Wang, W.; Zhang, X.; Liu, Q.; Lin, Y.; Zhang, Z.; Li, S. Study on Extraction and Antioxidant Activity of Flavonoids from Hemerocallis fulva (Daylily) Leaves. Molecules 2022, 27, 2916. [Google Scholar] [CrossRef]
- Liu, Z.; Jia, J.; Chen, F.; Yang, F.; Zu, Y.; Yang, L. Development of an Ionic Liquid-Based Microwave-Assisted Method for the Extraction and Determination of Taxifolin in Different Parts of Larix Gmelinii. Molecules 2014, 19, 19471. [Google Scholar] [CrossRef]
- Hu, Y.; Kang, G.; Wang, L.; Gao, M.; Wang, P.; Yang, D.; Huang, H. Current Status of Mining, Modification, and Application of Cellulases in Bioactive Substance Extraction. Curr. Issues Mol. Biol. 2021, 43, 687. [Google Scholar] [CrossRef]
- Yang, Y.; Zhao, R.; Gao, H.; Wang, Z.; Yang, X.; Ruan, M.; Gu, H.; Yang, L.; Tian, H.; Fan, C.; et al. β-Cyclodextrin as a Booster for Ultrasound-Assisted Extraction of Secoiridoids from Gentiana rigescens Using a Biobased Deep Eutectic Solvent. Ind. Crops Prod. 2023, 204, 117410. [Google Scholar] [CrossRef]
- Fumino, K.; Peppel, T.; Geppert-Rybczyńska, M.; Zaitsau, D.H.; Lehmann, J.K.; Verevkin, S.P.; Köckerling, M.; Ludwig, R. The Influence of Hydrogen Bonding on the Physical Properties of Ionic Liquids. Phys. Chem. Chem. Phys. 2011, 13, 14064–14075. [Google Scholar] [CrossRef]
- Gil, K.A.; Jokić, S.; Cikoš, A.-M.; Banožić, M.; Jakovljević Kovač, M.; Fais, A.; Tuberoso, C.I.G. Comparison of Different Green Extraction Techniques Used for the Extraction of Targeted Flavonoids from Edible Feijoa (Acca sellowiana (O.Berg) Burret) Flowers. Plants 2023, 12, 1461. [Google Scholar] [CrossRef]
- Zhang, Y.; Cao, Y.; Wang, H. Multi-Interactions in Ionic Liquids for Natural Product Extraction. Molecules 2020, 26, 98. [Google Scholar] [CrossRef] [PubMed]
- Ji, S.; Wang, Y.; Gao, S.; Shao, X.; Cui, W.; Du, Y.; Guo, M.; Tang, D. Highly Efficient and Selective Extraction of Minor Bioactive Natural Products Using Pure Ionic Liquids: Application to Prenylated Flavonoids in Licorice. J. Ind. Eng. Chem. 2019, 80, 352–360. [Google Scholar] [CrossRef]
- Ventura, S.P.M.; e Silva, F.A.; Quental, M.V.; Mondal, D.; Freire, M.G.; Coutinho, J.A.P. Ionic-Liquid-Mediated Extraction and Separation Processes for Bioactive Compounds: Past, Present, and Future Trends. Chem. Rev. 2017, 117, 6984. [Google Scholar] [CrossRef] [PubMed]
- Wang, W.; Gao, Y.-T.; Wei, J.-W.; Chen, Y.-F.; Liu, Q.-L.; Liu, H.-M. Optimization of Ultrasonic Cellulase-Assisted Extraction and Antioxidant Activity of Natural Polyphenols from Passion Fruit. Molecules 2021, 26, 2494. [Google Scholar] [CrossRef] [PubMed]
- Chen, H.-J.; Inbaraj, B.S.; Chen, B.-H. Determination of Phenolic Acids and Flavonoids in Taraxacum formosanum Kitam by Liquid Chromatography-Tandem Mass Spectrometry Coupled with a Post-Column Derivatization Technique. Int. J. Mol. Sci. 2012, 13, 260–285. [Google Scholar] [CrossRef] [PubMed]
- Zhang, W.; Yin, Z.; Guo, Q.; Chen, L.; Zhang, J. Ionic Liquid-Based Ultrasonic-Assisted Extraction Coupled with HPLC to Analyze Isoquercitrin, Trifolin and Afzelin in Amygdalus persica L. Flowers. BMC Chem. 2023, 17, 102. [Google Scholar] [CrossRef] [PubMed]
- Shi, M.; He, N.; Li, W.; Li, C.; Kang, W. Simultaneous Determination of Myricetrin, Quercitrin and Afzelin in Leaves of Cercis chinensis by a Fast and Effective Method of Ionic Liquid Microextraction Coupled with HPLC. Chem. Cent. J. 2018, 12, 23. [Google Scholar] [CrossRef] [PubMed]
- Greer, A.J.; Jacquemin, J.; Hardacre, C. Industrial Applications of Ionic Liquids. Molecules 2020, 25, 5207. [Google Scholar] [CrossRef] [PubMed]
- Palomar, J.; Lemus, J.; Navarro, P.; Moya, C.; Santiago, R.; Hospital-Benito, D.; Hernández, E. Process Simulation and Optimization on Ionic Liquids-MC. Chem. Rev. 2024, 124, 1649–1737. Available online: https://pmc.ncbi.nlm.nih.gov/articles/PMC10906004/ (accessed on 20 January 2025). [CrossRef]
- Streimikyte, P.; Viskelis, P.; Viskelis, J. Enzymes-Assisted Extraction of Plants for Sustainable and Functional Applications. Int. J. Mol. Sci. 2022, 23, 2359. [Google Scholar] [CrossRef]
- Khan, R.A.; Mohammed, H.A.; Sulaiman, G.M.; Subaiyel, A.A.; Karuppaiah, A.; Rahman, H.; Makhathini, S.; Ramburrun, P.; Choonara, Y.E. Molecule(s) of Interest: I. Ionic Liquids–Gateway to Newer Nanotechnology Applications: Advanced Nanobiotechnical Uses’, Current Status, Emerging Trends, Challenges, and Prospects. Int. J. Mol. Sci. 2022, 23, 14346. [Google Scholar] [CrossRef] [PubMed]
- Wang, W.; Sun, C.; Mao, L.; Ma, P.; Liu, F.; Yang, J.; Gao, Y. The Biological Activities, Chemical Stability, Metabolism and Delivery Systems of Quercetin: A Review. Trends Food Sci. Technol. 2016, 56, 21–38. [Google Scholar] [CrossRef]
- Frenț, O.-D.; Stefan, L.; Morgovan, C.M.; Duteanu, N.; Dejeu, I.L.; Marian, E.; Vicaș, L.; Manole, F. A Systematic Review: Quercetin—Secondary Metabolite of the Flavonol Class, with Multiple Health Benefits and Low Bioavailability. Int. J. Mol. Sci. 2024, 25, 12091. [Google Scholar] [CrossRef]
- Xu, D.; Hu, M.-J.; Wang, Y.-Q.; Cui, Y.-L. Antioxidant Activities of Quercetin and Its Complexes for Medicinal Application. Molecules 2019, 24, 1123. [Google Scholar] [CrossRef]
- Abeyrathna, P.; Su, Y. The Critical Role of Akt in Cardiovascular Function. Vasc. Pharmacol. 2015, 74, 38–48. [Google Scholar] [CrossRef] [PubMed]
- Kim, A.H.; Khursigara, G.; Sun, X.; Franke, T.F.; Chao, M.V. Akt Phosphorylates and Negatively Regulates Apoptosis Signal-Regulating Kinase 1. Mol. Cell. Biol. 2001, 21, 893–901. [Google Scholar] [CrossRef]
- Cardone, L.; Bardelli, A.; Avvedimento, V.E. Activation of β-Catenin by Oncogenic PIK3CA and EGFR Promotes Resistance to Glucose Deprivation by Inducing a Strong Antioxidant Response. PLoS ONE 2012, 7, e37526. [Google Scholar] [CrossRef] [PubMed]
- Lai, W.-W.; Hsu, S.-C.; Chueh, F.-S.; Chen, Y.-Y.; Yang, J.-S.; Lin, J.-P.; Lien, J.-C.; Tsai, C.-H.; Chung, J.-G. Quercetin Inhibits Migration and Invasion of SAS Human Oral Cancer Cells through Inhibition of NF-κB and Matrix Metalloproteinase-2/-9 Signaling Pathways. Anticancer Res. 2013, 33, 1941–1950. [Google Scholar] [PubMed]
- Sabarathinam, S. Unraveling the Therapeutic Potential of Quercetin and Quercetin-3-O-Glucuronide in Alzheimer’s Disease through Network Pharmacology, Molecular Docking, and Dynamic Simulations. Sci. Rep. 2024, 14, 14852. [Google Scholar] [CrossRef] [PubMed]
- Suzuki, T.; Kono, K.; Shimomura, K.; Minami, H. Preparation of Cellulose Particles Using an Ionic Liquid. J. Colloid Interface Sci. 2014, 418, 126–131. [Google Scholar] [CrossRef] [PubMed]
Disclaimer/Publisher’s Note: The statements, opinions and data contained in all publications are solely those of the individual author(s) and contributor(s) and not of MDPI and/or the editor(s). MDPI and/or the editor(s) disclaim responsibility for any injury to people or property resulting from any ideas, methods, instructions or products referred to in the content. |
© 2025 by the authors. Licensee MDPI, Basel, Switzerland. This article is an open access article distributed under the terms and conditions of the Creative Commons Attribution (CC BY) license (https://creativecommons.org/licenses/by/4.0/).






